Crosslinking Mechanism of Tannin-Based Adhesives Based on Model Compounds: Copolycondensation of Resorcinol with Dimethylol Urea
Abstract
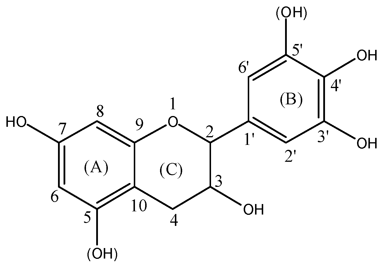
1. Introduction
2. Materials and Methods
2.1. Materials
2.2. Sample Preparation
2.3. 13C–NMR Test
3. Results and Discussion
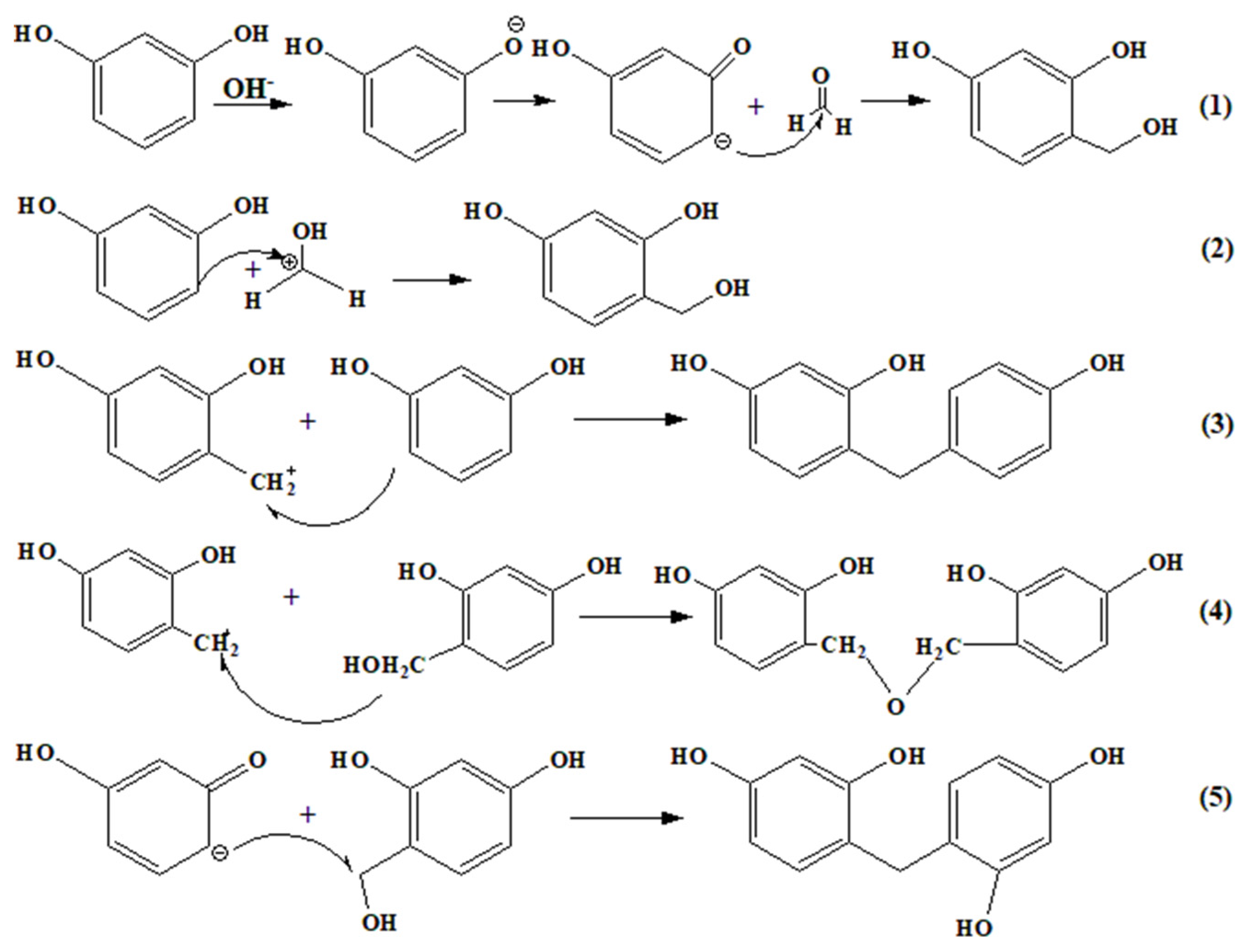
3.1. The Reaction Law of Model Compounds Resorcinol and Formaldehyde
3.2. The Polycondensation Law of Model Compounds Resorcinol and Dimethylol Urea
3.3. Verification of Resorcinol–Urea–Formaldehyde Reaction Rule
4. Conclusions
Author Contributions
Funding
Data Availability Statement
Conflicts of Interest
References
- Arbenz, A.; Avérous, L. Chemical modification of tannins to elaborate aromatic biobased macromoleculararchitectures. Green Chem. 2015, 17, 2626–2646. [Google Scholar] [CrossRef]
- Jiang, S.; Liu, S.; Du, G.; Wang, S.; Zhou, X.; Yang, J.; Shi, Z.; Yang, Z.; Li, T. Chitosan-tannin adhesive: Fully biomass, synthesis-free and high performance for bamboo-based composite bonding. Int. J. Biol. Macromol. 2023, 230, 123115. [Google Scholar] [CrossRef] [PubMed]
- MokaleKognou, A.J.; Shrestha, S.; Jiang, Z.; Xu, C.; Sun, F.; Qin, W. High-fructose corn syrup production and its new applications for 5-hydroxymethylfurfural and value-added furan derivatives: Promises and challenges. J. Bioresour. Bioprod. 2022, 7, 148–160. [Google Scholar] [CrossRef]
- Guerrero, P.; Garrido, T.; Garcia-Orue, I.; Santos-Vizcaino, E.; Igartua, M.; Hernandez, R.M.; de la Caba, K. Characterization of Bio-Inspired Electro-Conductive Soy Protein Films. Polymers 2021, 13, 416. [Google Scholar] [CrossRef] [PubMed]
- Gan, W.; Liu, J.; Zhang, J.; Fang, J.; Hou, Z.; Zhang, Y. Research progress on utilizing liquefaction of lignin to modify phenolic resin. J. For. Eng. 2022, 7, 11–19. [Google Scholar]
- Wang, J.; Euring, M.; Ostendorf, K.; Zhang, K. Biobased materials for food packaging. J. Bioresour. Bioprod. 2022, 7, 1–13. [Google Scholar] [CrossRef]
- Lin, Q.; Cai, W.; Zhao, Z. Investigation of synthesis and curing process of sucrose-dephenolized cottonseed protein adhesive. J. For. Eng. 2023, 8, 93–100. [Google Scholar]
- Yuan, C.; Chen, M.; Luo, J.; Li, X.; Gao, Q.; Li, J. A novel water-based process produces eco-friendly bio-adhesive made from green cross-linked soybean soluble polysaccharide and soy protein. Carbohydr. Polym. 2017, 169, 417–425. [Google Scholar] [CrossRef] [PubMed]
- Du, L.; Liu, Z.; Ye, Z.; Hao, X.; Qu, R.; Liu, T.; Wang, Q. Dynamic cross-linked polyurethane hot-melt adhesive with high biomass content and high adhesive strength simultaneously. Eur. Polym. J. 2023, 182, 111732. [Google Scholar] [CrossRef]
- Pizzi, A. Tannin-based adhesives. J. Macromol. Sci.—Rev. Macromol. Chem. 1980, 18, 247–315. [Google Scholar] [CrossRef]
- Dhawale, P.V.; Vineeth, S.K.; Gadhave, R.V.; Fatima, M.J.J.; Superkar, M.; Thakur, V.; Raghavan, P. Tannin as a renewable raw material for adhesive applications: A review. Mater. Adv. 2022, 3, 3365–3388. [Google Scholar] [CrossRef]
- Shirmohammadli, Y.; Efhamisisi, D.; Pizzi, A. Tannins as a sustainable raw material for green chemistry: A review. Ind. Crops Prod. 2018, 126, 316–332. [Google Scholar] [CrossRef]
- Dunky, M. Wood Adhesives Based on Natural Resources: A Critical Review: Part III. Tannin- and Lignin-Based Adhesives. Prog. Adhes. Adhes. 2021, 6, 383–529. [Google Scholar]
- Santos, J.; Antorrena, G.; Freire, M.S.; Pizzi, A.; González-Álvarez, J. Environmentally friendly wood adhesives based on chestnut (Castanea sativa) shell tannins. Eur. J. Wood Wood Prod. 2017, 75, 89–100. [Google Scholar] [CrossRef]
- Peng, J.; Yan, C.; Yang, F.; Hong, M.; Yang, Z.; Du, G.; Zhou, X. Preparation of tannin-urea-formaldehyde resin by carbonated tannin and its bonding properties. J. For. Eng. 2023, 8, 119–125. [Google Scholar]
- Xu, Z.; Li, J.; Li, P.; Cai, C.; Chen, S.; Ding, B.; Liu, S.; Ge, M.; Jin, M. Efficient lignin biodegradation triggered by alkali-tolerant ligninolytic bacteria through improving lignin solubility in alkaline solution. J. Bioresour. Bioprod. 2023, 8, 461–477. [Google Scholar] [CrossRef]
- Liu, B.; Li, X.; Zhou, Y.; Zhou, Z.; Zhou, X.; Zhang, J.; Du, G. Preparation of a foam using tannin-glyoxal-furfuryl alcohol copolycondensation resin. J. For. Eng. 2022, 7, 107–114. [Google Scholar]
- Xu, G.; Zhang, Q.; Xi, X.; Lei, H.; Cao, M.; Du, G.; Wu, Z. Tannin-based wood adhesive with good water resistance crosslinked by hexanediamine. Int. J. Biol. Macromol. 2023, 234, 123644. [Google Scholar] [CrossRef]
- Boran, S.; Usta, M.; Ondaral, S.; Gümüskaya, E. The efficiency of tannin as a formaldehyde scavenger chemical in medium density fiberboard. Compos. Part B 2012, 43, 2487–2491. [Google Scholar] [CrossRef]
- Bisanda, E.; Ogola, W.; Tesha, J. Characterisation of tannin resin blends for particle board applications. Cement Concrete Comp. 2003, 25, 593–598. [Google Scholar] [CrossRef]
- Tian, F.; Mao, W.; Zhu, C.; Xu, D.; Jia, C.; Xu, X. Effect of nano-montmorillonite modified phenol formaldehyde resin on properties of large particleboards. J. For. Eng. 2023, 8, 35–42. [Google Scholar]
- Grigsby, W.; Warnes, J. Potential of tannin extracts as resorcinol replacements in cold cure thermoset adhesives. Holz Roh Werkst. 2004, 62, 433–438. [Google Scholar] [CrossRef]
- Casanova, M.; Morgan, K.T.; Gross, E.A.; Moss, O.R.; Heck, H.D. DNA-protein cross-links and cell replication at specific sites in the nose of F344 rats exposed subchronically to formaldehyde. Fundam. Appl. Toxicol. 1994, 23, 525–536. [Google Scholar] [CrossRef] [PubMed]
- Barbu, M.C.; Montecuccoli, Z.; Förg, J.; Barbeck, U.; Klímek, P.; Petutschnigg, A.; Tudor, E.M. Potential of Brewer’s Spent Grain as a Potential Replacement of Wood in pMDI, UF or MUF Bonded Particleboard. Polymers 2021, 13, 319. [Google Scholar] [CrossRef] [PubMed]
- Xi, X.; Pizzi, A.; Frihart, C.R.; Lorenz, L.; Gerardin, C. Tannin plywood bioadhesives with non-volatile aldehydes generation by specific oxidation of mono- and disaccharides. Int. J. Adhes. Adhes. 2020, 98, 102499. [Google Scholar] [CrossRef]
- Li, K.; Geng, X.; Simonsen, J.; Karchesy, J. Novel wood adhesives from condensed tannins and polyethylenimine. Int. J. Adhes. Adhes. 2004, 24, 327–333. [Google Scholar] [CrossRef]
- Li, H.; Gao, Y.; Zhao, Z.; Yang, F.; Zou, Y.; Wang, Y.; Tang, Y.; Zhou, Q.; Li, C. Low-Cost and High-Strength Soybean Meal Adhesives Modified by Tannin–Phenol–Formaldehyde Resin. Forests 2023, 14, 1947. [Google Scholar] [CrossRef]
- Wang, W.; Zhou, Y.; Liu, B.; Essawy, H.; Liu, Z.; Deng, S.; Zhou, X.; Zhang, J. Tannin-Epoxidized Soybean Oil as Bio-Based Resin for Fabrication of Grinding Wheel. Polymers 2022, 14, 5423. [Google Scholar] [CrossRef]
- Gholami, M.; Shakeri, A.; Zolghadr, M.; Yamini, G. Non-isocyanate polyurethane from the extracted tannin of sumac leaves: Synthesis, characterization, and optimization of the reaction parameters. Ind. Crops Prod. 2021, 161, 113195. [Google Scholar] [CrossRef]
- Ghahri, S.; Pizzi, A. Improving soy-based adhesives for wood particleboard by tannins addition. Wood Sci. Technol. 2018, 52, 261–279. [Google Scholar] [CrossRef]
- Xu, G.; Tian, H.; Xi, X.; Song, J.; Lei, H.; Du, G. Preparation and characterization of urea–formaldehyde adhesives modified with glyoxalated tannin. Eur. J. Wood Wood Prod. 2022, 80, 1215–1223. [Google Scholar] [CrossRef]
- Liu, J.; Wang, L.; Li, J.; Li, C.; Zhang, S.; Gao, Q.; Zhang, W.; Li, Z. Degradation mechanism of Acacia mangium tannin in NaOH/urea aqueous solution and application of degradation products in phenolic adhesives. Int. J. Adhes. Adhes. 2020, 98, 102556. [Google Scholar] [CrossRef]
- Danielli, D.; Pires, M.R.; da Silva Araujo, E. Application of Myrcia splendens tannins in the composition of urea-formaldehyde adhesive for sustainable wood bonding. Res. Soc. Dev. 2021, 10, e370101220543. [Google Scholar] [CrossRef]
- Zhang, B.; Chen, X.; Pizzi, A.; Petrissans, M.; Dumarcay, S.; Petrissans, A.; Zhou, X.; Du, G.; Colin, B.; Xi, X. Highly Branched Tannin-Tris (2-aminoethyl) amine-Urea Wood Adhesives. Polymers 2023, 15, 890. [Google Scholar] [CrossRef] [PubMed]
- Sain, S.; Matsakas, L.; Rova, U.; Christakopoulos, P.; Öman, T.; Skrifvars, M. Spruce Bark-Extracted Lignin and Tannin-Based Bioresin-Adhesives: Effect of Curing Temperatures on the Thermal Properties of the Resins. Molecules 2021, 26, 3523. [Google Scholar] [CrossRef] [PubMed]
- Zhou, X.; Pizzi, A. Tannin–resorcinol–aldehyde cold-set wood adhesives with only formaldehyde as hardener. Eur. J. Wood Wood Prod. 2013, 71, 537–538. [Google Scholar] [CrossRef]
- Pizzi, A.; Roux, D. The chemistry and development of tannin based weather and boil proof cold setting and fast setting adhesives for wood. J. Appl. Polym. Sci. 1978, 22, 1945–1954. [Google Scholar] [CrossRef]
- Xu, G.; Liang, J.; Zhang, B.; Wu, Z.; Lei, H.; Du, G. Performance and structures of urea-formaldehyde resins prepared with different formaldehyde solutions. Wood Sci. Technol. 2021, 55, 1419–1437. [Google Scholar] [CrossRef]
- Li, T.; Guo, X.; Liang, J.; Wang, H.; Xie, X.; Du, G. Competitive formation of the methylene and methylene ether bridges in the urea-formaldehyde reaction in alkaline solution: A combined experimental and theoretical study. Wood Sci. Technol. 2015, 49, 475–493. [Google Scholar] [CrossRef]
- García-Valverde, M.T.; Chatzimitakos, T.; Lucena, R.; Cárdenas, S.; Stalikas, C.D. Melamine Sponge Functionalized with Urea-Formaldehyde Co-Oligomers as a Sorbent for the Solid-Phase Extraction of Hydrophobic Analytes. Molecules 2018, 23, 2595. [Google Scholar] [CrossRef]
- Dorieh, A.; Mahmoodi, N.; Mamaghani, M.; Pizzi, A.; Mohammadi Zeydi, M. Comparison of the properties of urea-formaldehyde resins by the use of formalin or urea formaldehyde condensates. J. Adhes. Sci. Technol. 2018, 32, 2537–2551. [Google Scholar] [CrossRef]
- Gao, S.; Liu, Y.; Wang, C.; Chu, F.; Xu, F.; Zhang, D. Synthesis of lignin-based polyacid catalyst and its utilization to improve water resistance of urea-formaldehyde resins. Polymers 2020, 12, 175. [Google Scholar] [CrossRef] [PubMed]
- Liu, J.; Yue, K.; Xu, L.; Wu, J.; Chen, Z.; Wang, L.; Liu, W.; Lu, W. Bonding performance of melamine-urea-formaldehyde and phenol-resorcinol-formaldehyde adhesive glulams at elevated temperatures. Int. J. Adhes. Adhes. 2020, 98, 102500. [Google Scholar] [CrossRef]
- Wang, X.; Xu, W.; Xie, Y.; Yao, Y.; Xia, L. Improving particle characteristic and encapsulated indicators of urea-formaldehyde/epoxy self-healing microcapsule by incorporating resorcinol. Mater. Technol. 2019, 34, 51–58. [Google Scholar] [CrossRef]
- Pushkar, P.; Mungray, A.K. Synthesis of 3-Dimensional Resorcinol-Urea-Formaldehyde Carbon xerogel electrode and its application in benthic microbial fuel cell. Electrochim. Acta 2019, 317, 281–288. [Google Scholar] [CrossRef]
- Erzin, F.; Konuklu, Y. Facile synthesis of resorcinol-melamine-formaldehyde microcapsules containing hexadecane for thermal energy storage. J. Energy Storage 2021, 44, 103285. [Google Scholar] [CrossRef]
- Treu, A.; Bredesen, R.; Bongers, F. Enhanced bonding of acetylated wood with an MUF-based adhesive and a resorcinol-formaldehyde-based primer. Holzforschung 2020, 74, 382–390. [Google Scholar] [CrossRef]
- Zhang, Q.; Xu, G.; Pizzi, A.; Lei, H.; Xi, X.; Du, G. A Green Resin Wood Adhesive from Synthetic Polyamide Crosslinking with Glyoxal. Polymers 2022, 14, 2819. [Google Scholar] [CrossRef]
- Lian, S.; Lin, H.; Zhang, W.; Lei, H.; Cao, M.; Mao, J.; Li, T.; Chen, S.; Yang, R. Effects of the Addition of Amino-Terminated Highly Branched Polyurea on Curing Properties of Phenol-Formaldehyde Resin. Materials 2023, 16, 3620. [Google Scholar] [CrossRef]
- Selakjani, P.P.; Dorieh, A.; Pizzi, A.; Shahavi, M.H.; Hasankhah, A.; Shekarsaraee, S.; Ashouri, M.; Movahaed, S.G.; Abatari, M.N. Reducing free formaldehyde emission, improvement of thickness swelling and increasing storage stability of novel medium density fiberboard by urea-formaldehyde adhesive modified by phenol derivatives. Int. J. Adhes. Adhes. 2021, 111, 102962. [Google Scholar] [CrossRef]
- Pizzi, A.; Pasch, H.; Simon, C.; Dode, K. Structure of resorcinol, phenol, and furan resins by MALDI-TOF mass spectrometry and 13C NMR. J. Appl. Polym. Sci. 2004, 92, 2665–2674. [Google Scholar] [CrossRef]
- Christiansen, A.W. Resorcinol-formaldehyde reactions in dilute solution observed by carbon-13 NMR spectroscopy. J. Appl. Polym. Sci. 2000, 75, 1760–1768. [Google Scholar] [CrossRef]
- Liu, J.; Xuan, D.; Chai, J.; Guo, D.; Huang, Y.; Liu, S.; Chew, Y.; Li, S.; Zheng, Z. Synthesis and Thermal Properties of Resorcinol–Furfural Thermosetting Resin. ACS Omega 2020, 5, 10011–10020. [Google Scholar] [CrossRef] [PubMed]
- Moudrakovski, I.L.; Ratcliffe, C.I.; Ripmeester, J.A.; Wang, L.; Exarhos, G.Y.; Baumann, T.F.; Satcher, J.H. Nuclear Magnetic Resonance Studies of Resorcinol-Formaldehyde Aerogels. J. Phys. Chem. B 2005, 109, 11215–11222. [Google Scholar] [CrossRef] [PubMed]
- Schwan, M.; Ratke, L. Flexibilisation of resorcinol–formaldehyde aerogels. J. Mater. Chem. A 2013, 1, 13462–13468. [Google Scholar] [CrossRef]
- Gaca, K.Z.; Parkinson, J.A.; Sefcik, J. Kinetics of early stages of resorcinol-formaldehyde polymerization investigated by solution-phase nuclear magnetic resonance spectroscopy. Polymer 2017, 110, 62–73. [Google Scholar] [CrossRef]
- Li, T.; Cao, M.; Liang, J.; Xie, X.; Du, G. Mechanism of base-catalyzed resorcinol-formaldehyde and phenol-resorcinol-formaldehyde condensation reactions: A theoretical study. Polymers 2017, 9, 426. [Google Scholar] [CrossRef]
- Wei, J.; Deng, W.; Li, S.; Wu, Z.; Cai, J.; Luo, J. Sandwich-like chitosan porous carbon spheres/MXene composite with high specific capacitance and rate performance for supercapacitors. J. Bioresour. Bioprod. 2022, 7, 63–72. [Google Scholar] [CrossRef]
- Cao, M.; Li, T.; Liang, J.; Wu, Z.; Zhou, X.; Du, G. A 13C–Study on the 1,3-Dimethylolurea-Phenol Co-condensation reaction: A model for amino-phenolic co-condensed resin synthesis. Polymers 2016, 8, 391. [Google Scholar] [CrossRef]
- Li, T.; Cao, M.; Liang, J.; Xie, X.; Du, G. New mechanism proposed for the base-catalyzed urea-formaldehyde condensation reactions: A theoretical study. Polymers 2017, 9, 203. [Google Scholar] [CrossRef]
- Li, T.; Cao, M.; Zhang, B.; Yang, L.; Du, G. Effects of molar ratio and pH on the condensed structures of melamine-formaldehyde polymers. Materials 2018, 11, 2571. [Google Scholar] [CrossRef] [PubMed]







| Synthesis Scheme | Sample Name |
|---|---|
| R + F, pH = 2~2.5 | RF1 |
| R + F, pH = 3~4 | RF2 |
| R + F, pH = 5~6 | RF3 |
| R + F, pH = 7~8 | RF4 |
| R + F, pH = 9~10 | RF5 |
| Synthesis Scheme | Sample Name |
|---|---|
| R + UF2, pH = 1~2 | UFR1 |
| R +UF2, pH = 2~3 | UFR2 |
| R + UF2, pH = 3~4 | UFR3 |
| R + UF2, pH = 5~6 | UFR4 |
| R + UF2, pH = 8~9 | UFR5 |
| R + UF2, pH = 10~11 | UFR6 |
| Synthesis Scheme | Sample Name |
|---|---|
| R + F + U, pH = 2~2.5 | RUF1 |
| R + F + U, pH = 3~4 | RUF2 |
| R + F + U, pH = 5~6 | RUF3 |
| R + F + U, pH = 8~9 | RUF4 |
| R + F + U, pH = 10~11 | RUF5 |
| Structures | Chemical Shifts/ppm | RF1 | RF2 | RF3 | RF4 | RF5 |
|---|---|---|---|---|---|---|
![]() | 14–15 | 0 | 0 | 0 | 0 | 0 |
![]() | 23–24 | 3.06 | 0 | 0 | 0 | 20.32 |
![]() | 29–30 | 32.75 | 3.82 | 4.17 | 19.78 | 74.87 |
![]() | 54–55 | 0 | 0 | 0 | 0 | 0 |
![]() | 60–61 | 0 | 0.64 | 12.50 | 73.83 | 4.81 |
![]() | 66–67 | 0 | 0 | 4.17 | 0 | 0 |
![]() | 62–63 | 0 | 0 | 0 | 0 | 0 |
![]() | 62–6371–72 | 0 | 0 | 0 | 0 | 0 |
![]() | 70–71 | 0 | 0 | 0 | 0 | 0 |
| Methyl diol and its self-condensation polymers | 83–95 | 64.19 | 95.54 | 79.17 | 6.40 | 0 |
| Total | 100 | 100 | 100 | 100 | 100 |
| Structures | Chemical Shifts/ppm | pH Value | |||||
|---|---|---|---|---|---|---|---|
| 1~2 | 2~3 | 3~4 | 5~6 | 7~8 | 9~10 | ||
| Φ-CH2-Φ oo-o′o′ | 14–15 | ||||||
| Φ-CH2-Φ oo- p′o′ | 23–24 | 1.29 | 8.30 | 11.70 | |||
| Φ-CH2-Φ po- p′o′ | 29–30 | 59.87 | 28.49 | 7.78 | 5.56 | 53.43 | 83.47 |
| Φ-CH2-U oo- U | 35–36 | 7.13 | 7.26 | 7.59 | 2.98 | ||
| Φ-CH2-U po- U | 40–41 | 31.72 | 64.25 | 83.26 | 45.29 | ||
| -NH-CH2-NH- (I) | 47–48 | 1.37 | 7.42 | ||||
| -NH-CH2-N= (II) | 53–55 | ||||||
| =N-CH2-N= (III) | 59–60 | ||||||
| -NH-CH2OCH2NH- (I) | 69–70 | 3.83 | |||||
| -NH-CH2OCH2N= (II) | 75–77 | ||||||
| Uron | 78–80 | ||||||
| oo-R-CH2OH | 54–55 | 0.81 | 8.30 | 4.82 | |||
| po-R-CH2OH | 61–62 | 5.36 | 16.97 | ||||
| -NH-CH2OH (I) | 65–66 | 25.21 | 13.00 | ||||
| -NH(-CH2)-CH2OH (II) | 71–72 | ||||||
| -NH-CH2-O-CH3 | 72–73 | ||||||
| HO-CH2-OH | 83–84 | 3.54 | |||||
| HOCH2-O-CH2-OCH2OH | 86–87 | ||||||
| HOCH2-O-CH2-OCH2OH | 90–91 | ||||||
| H(CH2O)nOCH2OCH3 | 94–95 | ||||||
| Total | 100.00 | 100.00 | 100.00 | 100.00 | 100.00 | 100.00 | |
| Structures | Chemical Shifts/ppm | pH Value | |||||
|---|---|---|---|---|---|---|---|
| 2~2.5 | 3~4 | 5~6 | 7~8 | 9~10 | 2~2.5 | ||
| Φ-CH2-Φ oo-o′o′ | 14–15 | ||||||
| Φ-CH2-Φ oo- p′o′ | 23–24 | 1.29 | 8.30 | 11.70 | |||
| Φ-CH2-Φ po- p′o′ | 29–30 | 59.87 | 28.49 | 7.78 | 5.56 | 53.43 | 83.47 |
| Φ-CH2-Uoo- U | 35–36 | 7.13 | 7.26 | 7.59 | 2.98 | ||
| Φ-CH2-Upo- U | 40–41 | 31.72 | 64.25 | 83.26 | 45.29 | ||
| -NH-CH2-NH- (I) | 47–48 | 1.37 | 7.42 | ||||
| -NH-CH2-N= (II) | 53–55 | ||||||
| =N-CH2-N= (III) | 59–60 | ||||||
| 69–70 | 3.83 | ||||||
| -NH-CH2OCH2NH- (I) | 75–77 | ||||||
| -NH-CH2OCH2N= (II) | 78–80 | ||||||
| Uron | 54–55 | 0.81 | 8.30 | 4.82 | |||
| oo-R-CH2OH | 61–62 | 5.36 | 16.97 | ||||
| po-R-CH2OH | 65–66 | 25.21 | 13.00 | ||||
| -NH-CH2OH (I) | 71–72 | ||||||
| -NH(-CH2)-CH2OH (II) | 72–73 | ||||||
| -NH-CH2-O-CH3 | 83–84 | 3.54 | |||||
| HO-CH2-OH | 86–87 | ||||||
| HOCH2-O-CH2-OCH2OH | 90–91 | ||||||
| HOCH2-O-CH2-OCH2OH | |||||||
| H(CH2O)nOCH2OCH3 | 94–95 | ||||||
| Total | 100.00 | 100.00 | 100.00 | 100.00 | 100.00 | 100.00 | |
Disclaimer/Publisher’s Note: The statements, opinions and data contained in all publications are solely those of the individual author(s) and contributor(s) and not of MDPI and/or the editor(s). MDPI and/or the editor(s) disclaim responsibility for any injury to people or property resulting from any ideas, methods, instructions or products referred to in the content. |
© 2024 by the authors. Licensee MDPI, Basel, Switzerland. This article is an open access article distributed under the terms and conditions of the Creative Commons Attribution (CC BY) license (https://creativecommons.org/licenses/by/4.0/).
Share and Cite
Liang, J.; Li, D.; Zhong, X.; Wu, Z.; Cao, M.; Yang, G.; Yin, S.; Gong, F. Crosslinking Mechanism of Tannin-Based Adhesives Based on Model Compounds: Copolycondensation of Resorcinol with Dimethylol Urea. Forests 2024, 15, 98. https://doi.org/10.3390/f15010098
Liang J, Li D, Zhong X, Wu Z, Cao M, Yang G, Yin S, Gong F. Crosslinking Mechanism of Tannin-Based Adhesives Based on Model Compounds: Copolycondensation of Resorcinol with Dimethylol Urea. Forests. 2024; 15(1):98. https://doi.org/10.3390/f15010098
Chicago/Turabian StyleLiang, Jiankun, De Li, Xiao Zhong, Zhigang Wu, Ming Cao, Guifen Yang, Shuang Yin, and Feiyan Gong. 2024. "Crosslinking Mechanism of Tannin-Based Adhesives Based on Model Compounds: Copolycondensation of Resorcinol with Dimethylol Urea" Forests 15, no. 1: 98. https://doi.org/10.3390/f15010098
APA StyleLiang, J., Li, D., Zhong, X., Wu, Z., Cao, M., Yang, G., Yin, S., & Gong, F. (2024). Crosslinking Mechanism of Tannin-Based Adhesives Based on Model Compounds: Copolycondensation of Resorcinol with Dimethylol Urea. Forests, 15(1), 98. https://doi.org/10.3390/f15010098










