Next Article in Journal
The Spatial Pattern of the Tertiary Relict Plant Tetracentron sinense Oliver and Its Influencing Factors
Previous Article in Journal
Ultrasound-Assisted Cold Alkaline Extraction: Increasing Hemicellulose Extraction and Energy Production from Populus Wood
 
 
Font Type:
Arial Georgia Verdana
Font Size:
Aa Aa Aa
Line Spacing:
Column Width:
Background:
Article

Estimation of the Short-Term Impact of Climate-Change-Related Factors on Wood Supply in Poland in 2023–2025

1
Łukasiewicz Research Network—Institute of Aviation, al. Krakowska 110/114, 02-256 Warsaw, Poland
2
Faculty of Economic Sciences and Management, Nicolaus Copernicus University, Gagarina 13a, 87-100 Toruń, Poland
*
Author to whom correspondence should be addressed.
Forests 2024, 15(1), 108; https://doi.org/10.3390/f15010108
Submission received: 15 November 2023 / Revised: 28 December 2023 / Accepted: 31 December 2023 / Published: 5 January 2024

Abstract

In this study, we analyzed in situ data from the years 2018–2022 encompassing entire forest plantations in Poland. Based on data regarding stand density and the occurrence of fungal, water-related, climate-related, fire, and insect factors that may intensify with climate changes, we determined the correlation between their occurrence and the decline in wood increments for six tree species: pine, birch, oak, spruce, beech, and alder. Subsequently, we identified age intervals in which the species–factor interaction exhibited statistically significant effects. Next, we developed neural network models for short-term wood increment predictions. Utilizing these models, we estimated a reduction in wood supply harvested in accordance with the plans for the years 2023–2025 assuming a tenfold greater intensity of factors than in 2022. Findings indicate: birch: water-related factors may reduce wood production by 0.1%–0.2%. This aligns with previous research linking drought to birch wood decline, highlighting its sensitivity to water-related issues. Oak: fungal and insect factors could decrease wood production by up to 0.1%. Prior studies emphasize the significant influence of fungal diseases on oak health and regeneration, as well as the impact of insect infestation on wood production. Alder: water-related factors may lead to a slight reduction in wood production, approximately 0.02%. The impact is significant within specific age ranges, indicating potential effects on harvesting. Pine: water- and climate-related factors may result in up to a 0.05% reduction in wood production. Pine, a key forest-forming species in Poland, is notably sensitive to these factors, especially as it nears harvesting age. Spruce: insects, fungi, and climate-related factors could lead to a reduction in wood production of up to 0.2%–0.3%. Analyses demonstrate sensitivity, resulting in a noticeable growth differential compared to the typical rate. Short-term predictions based on neural networks were developed, acknowledging their suitability for short-term forecasts due to uncertainties regarding long-term factor impacts. Additionally, our study discussed modeling wood increments in divisions well below the harvesting time, emphasizing that the influence of current and 2023–2025 factors on wood increments and supply may only manifest several decades from now. These results imply important indications for the economic and financial performance of the wood industry.

1. Introduction

Forests are increasingly vulnerable to the impacts of climate change, with rising temperatures, altered precipitation patterns [1,2], and more frequent extreme weather events posing significant challenges to their health and stability [3]. Forests also play a crucial role in mitigating climate change. They act as carbon sinks, absorbing substantial amounts of carbon dioxide from the atmosphere and storing it in trees and soil [4].
Climate change also has significant implications for forests in Poland [5,6]. The primary causes potentially related to climate change observed in Polish forests include fungal diseases [7,8] and insect pests, such as the bark beetle [9]. Over the past approximately 15 years, there has been a trend towards milder winters, cooler summers, and reduced rainfall during the growing seasons [10]. These changes have led to increased mortality among various tree species [5]. Alterations in soil moisture levels have contributed to a heightened impact of fungal diseases, both in terms of root pathogens—Phytophthora spp., Armillaria spp., Heterobasidion spp. [11,12,13]—and above-ground pathogens like Hymenoscyphus sp. [14], which is responsible for crown dieback. Furthermore, shifts in rainfall patterns have resulted in fluctuations in groundwater levels, further complicating the challenges faced by Polish forests [15]. The increasing intensity of climate change effects, characterized by a heightened impact of factors such as insect pests, fungal pathogens, water-related variables (such as declining groundwater levels), and wildfires, may lead to a decline in the growth rates of key tree species cultivated in Poland. As a consequence, this could result in a reduced supply of wood in the forestry sector. All of these factors collectively pose significant challenges to the sustained growth and supply of important timber species in Poland’s forestry industry. The Polish wood sector as a whole generates approximately 2.5 percent of national GDP, provides budget revenues exceeding PLN 30 billion annually, and directly employs approximately 350,000 employees. Wood harvesting is an extremely important element of this sector. Each change in the wood supply has a significant impact on the economic result of the entire wood sector.
Forests in Poland, primarily managed by the State Forests National Forest Holding, cover a vast expanse of approximately 6,980,000 hectares (according to a holding report in 2022). These forests boast a total wood volume of around 2070 million cubic meters. The average stand volume across the forested area stands at 297 cubic meters per hectare. The forests exhibit robust growth, with an annual increment in wood volume reaching 63.6 million cubic meters, so an average wood production is approximately 9 cubic meters per hectare. In 2022, the forestry sector harvested a total of 42.3 million cubic meters of wood. The sale of timber from these forests reached a substantial 41.7 million cubic meters [16].
Even a marginal 1% reduction in the rate of wood increment in Poland would have significant consequences on future timber supply, resulting in a decline of nearly 0.5 million cubic meters per year. However, it is important to note that this decline will not appear immediately in wood supply. The forest management guidelines specify the optimal harvesting age for individual species, and the impact of current factors would reduce harvested wood volume several, if not tens, of years down the line. Thus, the consequences of these influences may only become fully evident over an extended period, emphasizing the long-term and complex nature of forest management and its connection to future timber supply.
Machine-learning methods were used previously for predicting tree diameter increment, particularly focusing on mixed and uneven-aged forests. In Bayat et al. (2022) [17], the authors employ multilayer perceptron (MLP) artificial neural networks and linear mixed-effect models to assess tree diameter increment under current and anticipated climate change scenarios. Despite the modest impact of predicted climate change, the MLP model outperforms the linear mixed-effect model, emphasizing the effectiveness of neural networks in capturing complex, nonlinear relationships within forest ecosystems. In Salehnasab et al. (2022) [18], the study investigates the application of MLP and an adaptive neuro-fuzzy inference system (ANFIS) for developing diameter increment models in the Hyrcanian forests. Evaluating four distinct species groups, the ANFIS technique demonstrated superior performance for beech and chestnut-leaved oak, while the ANN excelled with hornbeam and other species. The authors emphasize the deep relationship between modeling techniques and the nature of tree species, providing valuable insights for future studies in diverse forests worldwide. The choice of neural networks in these studies is justified by their ability to model complex, nonlinear relationships within the datasets. The flexible nature of neural networks allows them to capture intricate patterns influenced by various factors affecting tree growth. The use of MLPs in these articles reflects a recognition of the capacity of artificial neural networks to provide accurate predictions in the context of complex ecological systems, reaffirming their efficacy in forestry-related applications. Importantly, we did not want to assume the nature of the influence of individual factors; hence, we opted for the neural network version allowing for the modeling of both linear and nonlinear influences.
In this article, we have used forest assessment data gathered by the Polish national forestry holding between 2018 and 2022. These comprehensive datasets include the entirety of the forests managed by the holding. Based on these data, wood increments were computed for each forest division and each tree species. These wood increments were then linked to data on the occurrence of various factors, potentially related to climate change, including wildfires, fungal pathogens, insect pests, climatic conditions (snow, hurricane winds, windfalls etc.), and hydrological factors. Subsequently, for the primary tree species, specific age periods were determined in which the wood increments were statistically (p < 0.05) sensitive to the occurrence of these factors.
To build growth models for trees, convolutional neural networks (CNNs) were developed separately for forest divisions unaffected by external factors and those affected by each of the factors. Using a sample of 100,000 forest divisions, the growth models were developed. These models were then applied to the current (2022) wood volumes, taking into account two scenarios: (1) the absence of any external factor and (2) the occurrence of factors in each of the years from 2023 to 2025. Subsequently, the wood volumes harvested for both scenarios, based on the harvesting ages for all tree species, were compared. This analysis allowed us to estimate the potential maximum change in wood supply for the years 2023–2025 caused by occurrence of potentially climatic-related factors. Our results help to predict the economic performance of the wood industry and encourage sustainable and efficient management of forestry.

2. Methods

To investigate the impact of climate-related factors on wood increment values, we used forest inventory data from the Forest Data Bank. A representative sample of 100,000 forest divisions was selected from a set of 3,494,871 forest divisions. From this subset, we selected forest divisions affected by factors such as wildfires, climatic factors, water-related factors, insects, and fungal pathogens. Comparisons were calculated between wood increment rates of dominant tree species in stands unaffected by any factor versus those influenced. Sensitivity ranges of tree age to specific factors were estimated. Using these sensitivity ranges, convolutional neural network (CNN) models were developed to predict growth, with the presence or absence of each factor as one of the input parameters. Utilizing these CNN models, forecasts for wood supply were formulated for scenarios representing minimum and maximum occurrences of the factors from the years 2023 to 2025.

2.1. Data Sample

The data used in this analysis were sourced from the Forest Data Bank, which is regularly updated on an annual basis through in situ forest inventory conducted by forestry authorities [19]. Each record within the dataset describes an individual forest stand, defined in forestry as a homogenous forest area characterized by economically significant features, necessitating uniform management practices. The typical area of these individual forest stands ranges from one to several hectares. The database for the year 2022 covered a total of 3,494,871 records. For further analysis, specific categories of stand parameters were taken into account, including: (1) forest habitat type, (2) soil type on which cultivation occurs, (3) habitat degradation level, (4) moisture regime, (5) economic and protective functions of the stands, and (6) species composition and age structure of the stands (see: Figure 1).
Each record of the forest division contains 398 parameters from the aforenamed categories. To create a representative sample of all forest stands in Poland, a supervised classification was performed using the ISOCLASS algorithm [20] in the 398-dimensional space. This resulted in the formation of 9 classes, collectively encompassing over 98% of all forest stands. Subsequently, a random sample of 100,000 stands was randomly selected for further analyses, representing each of the derived classes.
Data from the years 2018–2022 were downloaded from the database and stored locally on disk. Data processing and analysis were carried out using Python (version 3.0) with pandas and numpy libraries. The ISOCLASS algorithm, responsible for data classification, was applied within the code, with a condition added to ensure that the maximum proportion of records outside the classes was less than 5%. The classification process was performed using data from 2022. The resulting classes are presented in Table 1.
One hundred thousand randomly selected forest divisions represented all derived classes. The sample of forest divisions was collected as follows:
  • For each class i, the number ni of divisions belonging to that class was determined, and the ratio ki = ni/N was calculated, where N = 3,494,871 is the total number of forest divisions in Poland.
  • For all divisions in class i, the average position r in the 398-dimensional space and the standard deviation dr of the Cartesian distance d between the position of divisions in the class and the average position were computed.
  • Among the divisions in class i, ki × 100,000 divisions meeting the condition d < dr were randomly selected. These selected divisions were added to the sample.
This process resulted in the selection of the most representative divisions for forest cultivation in Poland.

2.2. Historical Impact Analysis

In the initial stage of data analysis, historical data for a selected sample of forest stands were examined to identify age periods for the main tree species (pine, oak, alder, birch, spruce, and beech), in which wood volume increment in stands affected by specific factors was statistically different (p-value < 0.05) from increments in stands unaffected by any factor. Due to the limited scope of data reflecting wood increment for only a few consecutive vegetative seasons in individual forest plantations, we opted to employ tree age as the temporal axis on our timeline. This decision allowed us to construct growth curves for the dominant tree species over an extended period, spanning from 20 to 120 years of age. By aggregating data from 100,000 forest plantations across five vegetative seasons, we were able to model growth curves for both reference scenarios and forest plantations affected by external factors. This approach not only facilitated the representation of baseline growth curves but also provided insights into the growth patterns of forest stands impacted by various environmental and external influences. We analyzed only volume increments in the vegetation season immediately following the occurrence of the factor. The statistics were performed separately for each tree species and age with a temporal resolution of 1 year.
The procedure involved selecting forest stands for each tree species s and each age sa between 20 and 120 years, where the species covered at least 10% of the stand’s area. Subsequently, the dataset of forest stands was divided into two subsets: those with the presence of the factor and those where none of the examined factors occurred. This step was repeated for each of the studied factors. The mean wood volume increment was calculated for both subsets, and a t-Student test was conducted to determine whether the observed difference in means was statistically significant. In cases where the data distribution did not follow a normal distribution, the obtained result was excluded from further analysis, considering it statistically insignificant. This algorithm is illustrated in Figure 2.
This process yielded, for each dominant tree species (pine, oak, birch, spruce, alder, beech), age periods during which they were sensitive to the studied factors: insect pests, fungal pathogens, wildfires, climatic factors, and water-related factors. Subsequently, it was assumed that only during age periods where the difference was statistically significant did a given factor have an impact on the wood increment of that species.
The applied simplifications in the analysis were as follows:
(a)
Only information about the occurrence of the factor was extracted from the database, without considering its intensity or severity.
(b)
It was assumed that the factor had an impact on the subsequent vegetation season following its occurrence.
(c)
It was assumed that the factor only affected the wood increment in the specific forest stand where it occurred, without influencing the growth of neighboring stands.
These simplifications were made to streamline the analysis and focus on the most essential aspects of the data, although they do represent certain limitations in terms of the depth of analysis and the real-world complexity of ecological systems.
The division of a tree’s lifespan into periods where the statistically significant impact of external factors on wood increment is observed and those where data did not indicate statistically significant influence does not imply the absence of such an impact. Several reasons could account for the lack of observed negative or positive effects on wood increment. For instance, the absence of a sufficient quantity of data illustrating the increment of a specific species under the influence of a particular factor at a precise age may be a contributing factor. Other influential environmental parameters, such as soil conditions, economic or protective management practices, variances in validation, and similar factors, may overshadow the impact of external factors. The outlined division in this publication merely reflects the statistical analysis of a selectively chosen sample of 100,000 delineated forest plantations. It is essential to recognize that the absence of statistically significant influence during certain periods does not negate the potential influence of external factors, emphasizing the complexities involved in understanding the nuanced relationship between tree growth and environmental variables.

2.3. Neural Network Wood Increment Prediction Model

Neural networks are currently used for predicting wood growth increments [21,22]. We developed and used neural network models in simulations. For each species s, the following procedure was performed. From a sample database containing 100,000 records, forest divisions containing species s were selected. This way, the sample database was limited to samples for species s. Then, in order to create a neural network model that predicts increments for divisions without external factors, divisions were selected where either no external factor was present or the external factor was present but did not have a statistically significant impact on the growth of that species at a given age based on historical studies. Using this constructed database, reference models were developed. Next, for each pair of species s–external factor f from the sample for species s, a subset where the factor f occurred was selected. Models were then developed for each sf pair. This scheme is illustrated in Figure 3.
Each neural network model has the following data as input in its first layer: habitat type, soil, moisture variant, degradation, forest stand function, tree stand age, and the current volume of the studied species. The output of the model had a single parameter: the wood volume increment of the studied species (see Figure 4).
To assess the maximum potential impact of a given factor on forest cultivations, two models of wood volume increments were developed. In the first model, it was assumed that the factor occurred in each year of the time period 2023–2025 with probability analogue as in 2022. In the second model, it was assumed that the factor occurred in each year: 2023, 2024, and 2025 in every forest stand with probability 10 times higher. In the year 2022, within the scrutinized sample of 100,000 delineated forest plantations reported by forestry services, the occurrence rates of individual factors were carefully selected. We focused on factors reported by forestry services within the studied sample of 100,000 forest plantations, specifically choosing those that occurred in at least 500 plantations. An exception to this criterion was made for forest fires, which, although less frequent during the study period, were included for comprehensive analysis. Additionally, only factors affecting at least 20% of the forest plantation area were considered. The selected factors and their occurrence rates in 2022 are as follows: insect pests accounted for 1.18%, fungal pathogens for 3.46%, wildfires for 0.04%, climatic factors for 2.05%, and water-related factors for 0.54%. This selection process aimed to capture the most impactful and prevalent factors affecting forest plantations, providing a robust basis for our analysis.
This resulted in wood volume increment values in these two scenarios: (a) current reference scenario and (b) tenfold increase in the frequency of all factors. To estimate the impact on the volume of harvested wood in the years 2023–2025, it was assumed that all trees are harvested according to their harvesting time specified in the instructions.
Finally, the harvested wood volumes in both scenarios were compared, and the percentage decrease in the scenario where the factor occurred in each year was calculated. This analysis provided insights into the potential impact of the factor on wood production in the studied forest cultivations.

3. Results

The sample size of 100,000 records allowed for obtaining statistically significant insights into the differences in wood increment between conditions with and without external factors for the following tree species: pine, oak (both pedunculate and sessile oak, as there were insufficient data for other oak species in the sample), alder, birch, spruce, and beech. The spatial distribution of the sample forest stands is presented in Appendix A (Figure A1).

3.1. The Influence of External Factors on Historical Wood Growth Increments

In Table 2 we present species–factor pairs for which significant impacts on wood increment were observed.
The charts indicating the average increment for a given species and its change in the presence of an external factor are presented below.

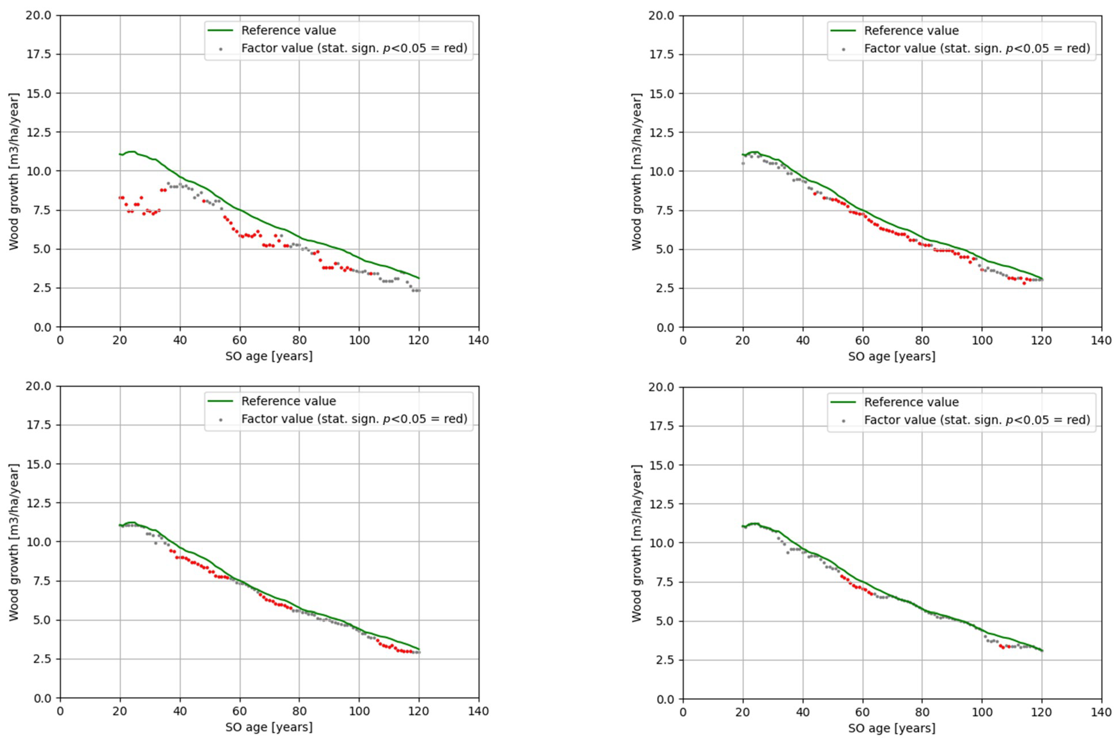
3.1.1. Pine

Figure 5 show the average annual increments of pine wood volume in a sample of 100,000 forest stands in Poland, as well as the average increments in forest stands affected by external factors: water, climate, fungi and insects. The age of trees, for which the growth differences are statistically significant, has been highlighted.

3.1.2. Oak

Figure 6 show the average annual increments of oak wood volume in a sample of 100,000 forest stands in Poland, as well as the average increments in forest stands affected by external factors: water, climate, fungi and insects. The age of trees, for which the growth differences are statistically significant, has been highlighted.

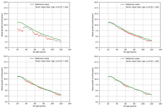
3.1.3. Alder

Figure 7 show depict the average annual increments of alder wood volume in a sample of 100,000 forest stands in Poland, as well as the average increments in forest stands affected by external factors: water and climate. The age of trees, for which the growth differences are statistically significant, has been highlighted.

3.1.4. Birch

Figure 8 show below depict the average annual increments of birch wood volume in a sample of 100,000 forest stands in Poland, as well as the average increments in forest stands affected by external factors: water and climate. The age of trees, for which the growth differences are statistically significant, has been highlighted.

3.1.5. Spruce

Figure 9 show depict the average annual increments of spruce wood volume in a sample of 100,000 forest stands in Poland, as well as the average increments in forest stands affected by external factors: insects, fungi and climate. The age of trees, for which the growth differences are statistically significant, has been highlighted.

3.1.6. Beech

Figure 10 show depict the average annual increments of beech wood volume in a sample of 100,000 forest stands in Poland, as well as the average increments in forest stands affected by external factors: insects and climate. The age of trees, for which the growth differences are statistically significant, has been highlighted.

3.2. Estimation of the Potential Impact of External Factors on Wood Supply in the Years 2023–2025 Using Neural Networks

The variations in growth increments between the scenarios with the occurrence of a factor in each growing season (2023, 2024, 2025) for individual species are illustrated in: Figure 11—birch, Figure 12—oak, Figure 13—alder, Figure 14—pine and Figure 15—spruce. For each year, the percentage difference in the growth increments of trees at harvest age is indicated. Only the results of models for which the estimated cumulative three-year impact of a single factor was higher than 0.1% are presented. The charts also include the estimated impact for the year 2022.

3.2.1. Birch

Below, we present the impact of water relations disturbance on birch harvesting volume. It is assumed that the intensity of the factor increased tenfold compared to 2022. Figure 11 presents the results based on a neural network model: during the period of 2023–2025, the harvesting volume diminishes, reaching a decline of nearly 0.2% in 2025 compared to the scenario without the occurrence of this factor.

3.2.2. Oak

Below, we present the impact of fungi and insects on oak harvesting volume. It is assumed that the intensity of these factors increased tenfold compared to 2022. Figure 12 presents the results based on a neural network model: during the period of 2023–2025, fungi caused a decline in harvesting volume, especially in 2024–2025, with a decrease exceeding 0.1%. In contrast, insects led to a decrease in harvesting volume by less than 0.1% in 2024–2025 compared to the scenario without the occurrence of these factors.

3.2.3. Alder

The impact of water-related factors on alder harvesting volume is less significant. Figure 13 presents the results based on a neural network model: during the period of 2023–2025, water-related factors caused a decrease in harvesting volume, with the decline staying below 0.05% for each year compared to the scenario without the occurrence of these factors.

3.2.4. Pine

Below, we present the impact of water-related factors and climate-related factors (snow icing, hurricane winds, droughts, and frosts) on pine harvesting volume. It is assumed that the intensity of these factors increased tenfold compared to 2022. Figure 14 presents the results based on a neural network model: during the period of 2023–2025, both water-related and climate-related factors contribute to a decrease in harvesting volume, particularly in 2024–2025, with the decline remaining below 0.1% compared to the scenario without the occurrence of these factors.

3.2.5. Spruce

The impact of fungi, climate, and insects on the harvesting volume of spruce is the most significant. It is assumed that the intensity of these factors increased tenfold compared to 2022. Figure 15 presents the results based on a neural network model: during the period of 2023–2025, both fungi and climate-related factors contribute to the highest decrease in harvesting volume among the studied species, reaching above 0.2%. In 2024, it amounts to 0.3% for both fungi and climate-related factors. The influence of insects on harvesting volume is most pronounced in 2025, with a decrease exceeding 0.05%.

4. Discussion

Below, we present a discussion of the results for each species separately.

4.1. Birch: Reduction in Wood Production Due to Water-Related Factors up to 0.1%–0.2%

In previous studies, the impact of water-related factors, such as drought, on the growth of birch trees has been closely examined, and these investigations have often linked these influences to climate change. Kharuk et al. (2013) [23] examined the phenomenon of declining birch wood production in Trans-Baikal using forest inventory and satellite data. In the first decade of the 21st century, a decrease and mortality of birch trees were observed in approximately 5% of the total area within their 1250 km2 study area. The decline and mortality of birch forests primarily occurred on the outskirts of stands, within the forest-steppe ecotone, on sun-exposed slopes. During the first decade of the 21st century, summer precipitation (June–August) was approximately 25% below average. Soil moisture measurements revealed the lowest values in areas where trees had died, the highest in healthy forests, and intermediate levels in damaged areas. Rojo et al. (2021) [24] examined the sensitivity of birch trees to climate change using data from 28 research stations in Bavaria. Their study revealed that the birch population is declining in lowland areas, and there is a migration of this species to higher elevations. The research spanned a 30-year period and primarily focused on the impact of summer droughts. Our research confirms the relationship between droughts and birch wood production observed in the literature. Dox et al. (2022) [25] observed the impact of drought on accelerating the cessation of wood growth (CWG) by approximately 5–6 weeks. Interestingly, despite the prolonged retention of green canopies in trees, this phenomenon led to a reduction in wood production. Their findings underscore the significant influence of dry conditions and warm summers on growth patterns in both the current and subsequent years.
We have demonstrated that, in Poland, birch is sensitive to water-related factors throughout its entire growth period, from 20 to 80 years of age (Figure 8, left). The age of birch harvesting in Poland is precisely 80 years, and therefore, all factors associated with insufficient water supply will have an impact on wood growth and birch wood supply. The upper estimation limit of birch wood production decline is near 0.2% in 2025 (Figure 4). Drought and other water-related factors can be considered as the primary factors that may potentially cause this decrease in production in the near future, as well as in the long term.

4.2. Oak: Reduction in Wood Production Due to Fungal and Insect Factors of up to 0.1%

Relations between oak wood production and the presence of fungal and insect factors were described in the literature. Marçais and Desprez-Loustau (2014) [26] have described how fungal diseases can significantly impact the natural regeneration of oak trees and play a significant role in reducing the health of mature trees. Climate change can influence the severity of the disease primarily by altering the phenological synchrony between the host plant and the pathogen. The high impact of the disease was often associated with modified growth patterns, either due to environmental factors (such as insects or frost). Also, wide research on fungal impact on oak decline and wood production was performed in Poland. Oszako et al. (2005) [27] emphasized the detrimental impact of fungal diseases, particularly Phytophthora sp. on oak wood production. The indirect influence of fungal diseases on the wood growth of already weakened trees was also indicated in the doctoral thesis by G. Attocchi [28]. It is also indicated that damage to oak forest stands in typical cultivation or felling works is the reason for the formation of input ports in which fungal decay may cause further wood depreciation (devaluation) or even lower increments [29]. Marcais and Desprez-Loustau (2014) [26] showed that fungal factors can have important impacts in natural oak regenerations and a significant role in the decline of mature trees.
A similar relationship was noted in the literature between the occurrence of insect pests and the production of oak wood. The potential impact on wood production by insects was already noted by Rafes (1973) [30]. He noted that the consumption of wood tissue itself reduces wood production, however, wood consumption usually affects weakened plants, and the damage to the entire stand caused by xylophages is not as great as with the consumption of leaves. The opposite result was obtained by Grigri et al. (2020) [31]. The authors, in their research on oaks (n > 700), indicated that simulated insect infestation did not affect wood production but did lead to a reduction in leaf area at the end of the growing season. The authors hypothesized that wood production would be disrupted in subsequent growing seasons.
In our study, we found that the growth of oak wood was influenced by fungal diseases, primarily below 30 years and above 110 years of age (Figure 6, left) and by insects at around 40 years and also above 110 years (Figure 6, right). Trees within the age range of timber harvesting may experience reduced growth in the presence of fungal and insect diseases, as evident in our forecasts for the years 2024–2025, indicating a potential decline in oak wood supply not higher than 0.1% (Figure 12).

4.3. Alder: Reduction in Wood Production Due to Water-Related Factors up to 0.02%

The age of alder felling in Poland is around 70. According to Figure 7, this is the age between two periods in which the impact of water-related factors is statistically significant, meaning—theoretically—that the impact of water-related factors would be lower than for birch harvesting. The obtained result indicates a 0.02% lower harvest of this species in 2024 and 2025. This result does not reflect the impact on the harvesting of alder wood in general, which may manifest itself in subsequent years, because the impact of water-related factors—according to our result—on younger individuals is of the order of 1–2.5 m3/ha for normal growth of 4–8 m3/ha.
Nossov et al. (2010) [32] demonstrated that increased precipitation and river discharge, particularly in June and August, positively impact alder growth, while dry conditions and low hyporheic flow during these months can limit its growth, underscoring the susceptibility of alder to early-season moisture deficits. Similar results are presented in various papers [33,34,35]. However, it is important to note that our study only partially confirmed these influences, highlighting the need for further investigations and long-term simulations. It should be noted that in the studies, younger alder trees were primarily examined, which were younger than the typical harvesting age in Poland investigated in our research (e.g., average age = 39 years—see Table 1 in [34]).

4.4. Pine: Reduction in Wood Production Due to Water- and Climate-Related Factors up to 0.05%

Pine covers 67% of Poland’s forested land area and stands as the primary forest-forming species in the country, thriving in a wide range of environmental conditions. While the study identified the influence of four factors on pine growth (insects, fungi, water-related factors, and climatic factors), only water-related and climatic factors exert direct effects on pine growth just before the harvesting age of pine (100 years). The remaining factors are projected to exert their impact in the subsequent years. These findings are further corroborated by the supply reduction simulations derived from machine-learning models.
Eilmann et al. (2011) [36] examined the impact of water-related factors on mature pine growth in the Inner Alpine region. They found that trees without irrigation had significantly shorter wood formation periods and lower growth. The significant reduction in the growth period of control trees suggests that the actual wood formation period can be much shorter under drought conditions than the “potential” period, which corresponds to the phenological growth period. This finding is relevant to our study, which also includes mature pine trees. Seidling et al. (2012) [37] observed that the decline in pine stem growth was particularly noticeable in relation to water deficiency during early springs. Matveev et al. (2017) [38] examined the correlation between pine circumference increments and climatic factors spanning from the 20th to the 21st century. They uncovered trends, variability in climate indices, and corresponding radial tree growth in regional Scots pine stands. Our result aligns with the findings of the latest publication. Although the prediction of a decrease in wood supply due to water-related factors stands at only 0.05%, it should still be considered, given the significant presence of pine in forestry practices in Poland.

4.5. Spruce: Reduction in Wood Production Due to Insects, Fungi, and Climate-Related Factors up to 0.2%–0.3%

Our analyses have revealed that spruce trees were sensitive to three factors: climatic conditions, insects, and fungal pathogens. In the case of insects, the sensitivity was observed in trees above the age of 60, while for climatic factors and fungal pathogens, it was prominent in trees exceeding 90 years of age. Across all three scenarios, there was a growth differential ranging from 1.5 to 2.5 m3/ha, compared to the typical growth rate of 5.0–7.5 m3/ha. Results of machine-learning-based model simulations have indicated that under scenarios involving climatic factors and fungal pathogens, there could be a decrease in wood supply of approximately 0.2%–0.3% in the years 2024 and 2025. In the case of insect-related scenarios, the decline in wood supply remained below 0.1% in the year 2025. It should be emphasized that the supply simulation for insect-related factors included a model version that did not exhibit statistically significant influence on wood production during the last two years prior to the harvesting age, i.e., at 120 years. This could potentially explain the lower impact of this factor on supply in the years 2023 and 2024.
Mäkinen et al. (2007) [39] have previously observed that mechanical damage to spruce trees can lead to wood decay. The source of the disease could originate from both root and stem damage. Hrib et al. (1983) [40] observed the influence of wood-inhabiting fungi from the Amalaria sp. family on wood increments. It should be emphasized here that, similar to many other species, fungal pathogens attack trees weakened by various factors such as drought, floods, mechanical damage, and a range of other factors. Such damage can result from the direct influence of climatic factors, for example, in windbreaks or during droughts. This convergence in predicting a reduction in spruce wood supply between climatic factors and fungal pathogens is observed as a result of machine-learning-based simulations.

4.6. The Short-Term Predictions Based on Neural Networks

During the design of our experiment, we assumed that, at the initial stage of the study, we should not use developed neural networks models for long-term predictions. This was due to uncertainties regarding the following issues and open questions:
(1)
In estimating the impact of factors on the growth of individual tree species, we assumed during the development process that this impact occurs over the course of one year, i.e., a single growing season. We could speculate that the use of machine-learning models in long-term forecasting would not account for overlooked dependencies. Hence, the forecast based on the prepared models covers a period comparable to the time frame of the reference data.
(2)
Due to the limited observation period in the reference data, spanning only a few years, we are uncertain about how the occurrence of multiple factors simultaneously or even one factor for two or more consecutive years may interfere with each other. Our simulation assumed that a single factor occurs for three consecutive years (2023, 2024, 2025). In this way, we wanted to estimate the maximum impact of a given factor on wood supply. Here, we assumed that this impact is additive. Naturally, this approach limits the feasibility of using it for long-term forecasting.
The obtained forecasts actually depict changes in the stands and those already at the harvesting age. These results serve as a good starting point for developing long-term forecasts, which would also encompass trees currently in the maintenance stage.
A similar issue arises in modeling wood increments in divisions significantly below the harvesting age. These stands, which will determine wood supply in 10, 20, or 50 years, can be treated as a “stock state.” As shown in Figure 5, the impact of factors is often significant in a period prior to harvesting (e.g., water factors’ impact on birch and alder, or insects’ impact on pine). It can be assumed that the main influence on wood increments and wood supply of factors occurring currently and in the years 2023–2025 will only be observed several decades from now.

5. Summary

Our research analyzes the individual impacts of various factors (climate, water-related, fungi, insects, and fires) on wood production for the main tree species in Poland (pine, oak, spruce, birch, alder, and beech). The following summary pertains to the impact on short-term wood supply in the years 2023–2025. The research underlines usability of our results for assessing economic and financial implications of wood supply changes.
Birch: Water-related factors may lead to a reduction in wood production of up to 0.1%–0.2%. Previous studies have established a connection between drought and declining birch wood production. Our research supports this, showing a sensitivity to water-related factors throughout the growth period.
Oak: Fungal and insect factors can reduce wood production by up to 0.1%. Previous research highlights the significant impact of fungal diseases on oak regeneration and mature tree health. Similarly, insect infestation can affect wood production, especially in weakened plants.
Alder: Water-related factors may lead to a slight reduction in wood production, around 0.02%. The impact of these factors is statistically significant between specific age ranges, suggesting a potential impact on harvesting.
Pine: Water- and climate-related factors can reduce wood production by up to 0.05%. Pine, being the primary forest-forming species in Poland, is sensitive to these factors, particularly as it approaches its harvesting age.
Spruce: Insects, fungi, and climate-related factors may lead to a reduction in wood production of up to 0.2%–0.3%. Our analyses indicate sensitivity to these factors, with a noticeable growth differential compared to the typical growth rate.
Additionally, short-term predictions based on neural networks were discussed. It was noted that these models were designed for short-term forecasts due to uncertainties regarding the long-term impact of various factors.
Furthermore, modeling wood increments in divisions significantly below the harvesting age was discussed. These stands were referred to as a “stock state,” and it was acknowledged that the impact of current and 2023–2025 factors on wood increments and supply may only become apparent several decades from now.

6. Conclusions

In conclusion, our study utilized in situ data spanning 2018–2022 to analyze entire forest plantations in Poland, focusing on factors affecting wood increments for six tree species. We identified age intervals exhibiting statistically significant effects of species-factor interactions and developed neural network models for short-term wood increment predictions. Estimating a potential reduction in wood supply for 2023–2025 due to intensified factors, our findings highlight specific impacts on different tree species. For birch: water-related factors may decrease wood production by 0.1%–0.2%, aligning with prior research on birch sensitivity to drought. For oak: fungal and insect factors could lead to a 0.1% reduction in wood production, emphasizing the significant influence of fungal diseases and insect infestation on oak health. For alder: water-related factors may slightly reduce wood production (approximately 0.02%), with a statistically significant impact within specific age ranges, hinting at potential effects on harvesting. For pine: water- and climate-related factors may result in a 0.05% reduction in wood production, underscoring the sensitivity of this key forest-forming species in Poland. For spruce: insects, fungi, and climate-related factors may cause a 0.2%–0.3% reduction in wood production, showcasing noticeable growth differentials compared to the typical rate.
Our short-term predictions based on neural networks acknowledge their suitability in light of uncertainties regarding long-term factor impacts. Furthermore, our study discussed the modeling of wood increments in divisions well below harvesting time, emphasizing that the influence of current and 2023–2025 factors on wood increments and supply may only manifest several decades from now. These results carry crucial implications for the economic and financial performance of the wood industry, providing insights into the potential impacts of various factors on short-term wood supply in the coming years.

Author Contributions

Conceptualization, J.K. and S.B.; methodology, J.K and S.B.; software, J.K.; validation, S.B.; formal analysis, S.B.; investigation, J.K.; writing—original draft preparation, J.K.; writing—review and editing, J.K. and S.B.; supervision, S.B.; All authors have read and agreed to the published version of the manuscript.

Funding

This research received no external funding.

Data Availability Statement

Wood volume data for forests is accessible through the Forest Data Bank: www.bdl.lasy.gov.pl. Neural network models are available upon request in the form of MD5 files after contacting Jan Kotlarz.

Conflicts of Interest

The authors declare no conflict of interest.

Appendix A

Figure A1. The spatial distribution of 100,000 forest plantations and their classification into classes—the description of classes is provided in Table 1.
Figure A1. The spatial distribution of 100,000 forest plantations and their classification into classes—the description of classes is provided in Table 1.
Forests 15 00108 g0a1

References

  1. Kirilenko, A.P.; Sedjo, R.A. Climate change impacts on forestry. Proc. Natl. Acad. Sci. USA 2007, 104, 19697–19702. [Google Scholar] [CrossRef] [PubMed]
  2. De Frenne, P.; Lenoir, J.; Luoto, M.; Scheffers, B.R.; Zellweger, F.; Aalto, J.; Ashcroft, M.B.; Christiansen, D.M.; Decocq, G.; De Pauw, K.; et al. Forest microclimates and climate change: Importance, drivers and future research agenda. Glob. Change Biol. 2021, 27, 2279–2297. [Google Scholar] [CrossRef] [PubMed]
  3. De Rigo, D.; Libertà, G.; Durrant, T.H.; Vivancos, T.A.; San-Miguel-Ayanz, J. Forest fire danger extremes in Europe under climate change: Variability and uncertainty. Ph.D. Thesis, Publications Office of the European Union, Luxembourg, 2017. [Google Scholar]
  4. Luyssaert, S.; Marie, G.; Valade, A.; Chen, Y.Y.; Njakou Djomo, S.; Ryder, J.; Otto, J.; Naudts, K.; Lansø, A.S.; Ghattas, J.; et al. Trade-offs in using European forests to meet climate objectives. Nature 2018, 562, 259–262. [Google Scholar] [CrossRef] [PubMed]
  5. Sierota, Z.; Grodzki, W.; Szczepkowski, A. Abiotic and biotic disturbances affecting forest health in Poland over the past 30 years: Impacts of climate and forest management. Forests 2019, 10, 75. [Google Scholar] [CrossRef]
  6. Wypych, A.; Sulikowska, A.; Ustrnul, Z.; Czekierda, D. Variability of growing degree days in Poland in response to ongoing climate changes in Europe. Int. J. Biometeorol. 2017, 61, 49–59. [Google Scholar] [CrossRef] [PubMed]
  7. Skrzecz, I.; Perlinska, A. Current problems and tasks of forest protection in Poland. Folia For. Polonica Ser. A For. 2018, 60, 161–172. [Google Scholar] [CrossRef]
  8. Kubiak, K.; Żółciak, A.; Damszel, M.; Lech, P.; Sierota, Z. Armillaria pathogenesis under climate changes. Forests 2017, 8, 100. [Google Scholar] [CrossRef]
  9. Nowakowska, J.A.; Hsiang, T.; Patynek, P.; Stereńczak, K.; Olejarski, I.; Oszako, T. Health assessment and genetic structure of monumental Norway spruce trees during a bark beetle (Ips typographus L.) outbreak in the Białowieża Forest District, Poland. Forests 2020, 11, 647. [Google Scholar] [CrossRef]
  10. Sierota, Z.; Starzyk, J.R.; Grodzki, W. Ochrona lasu i ochrona drzewostanów–spojrzenie retrospektywne. Sylwan 2020, 164, 1011–1026. [Google Scholar]
  11. Jung, T.; Orlikowski, L.; Henricot, B.; Abad-Campos, P.; Aday, A.G.; Aguín Casal, O.; Bakonyi, J.; Cacciola, S.O.; Cech, T.; Chavarriaga, D.; et al. Widespread Phytophthora infestations in European nurseries put forest, semi-natural and horticultural ecosystems at high risk of Phytophthora diseases. For. Pathol. 2016, 46, 134–163. [Google Scholar] [CrossRef]
  12. Kotlarz, J.; Nasiłowska, S.A.; Rotchimmel, K.; Kubiak, K.; Kacprzak, M. Species diversity of oak stands and its significance for drought resistance. Forests 2018, 9, 126. [Google Scholar] [CrossRef]
  13. Nasiłowska, S.A.; Kotlarz, J.; Kacprzak, M.; Rynkiewicz, A.; Rotchimmel, K.; Kubiak, K. The impact of drought in 2015 on the health forest condition determined using Landsat-8 OLI images. Leśne Pr. Badaw. 2019, 80, 55–68. [Google Scholar] [CrossRef][Green Version]
  14. Landolt, J.; Gross, A.; Holdenrieder, O.; Pautasso, M. Ash dieback due to Hymenoscyphus fraxineus: What can be learnt from evolutionary ecology? Plant Pathol. 2016, 65, 1056–1070. [Google Scholar] [CrossRef]
  15. Sojka, M.; Kozłowski, M.; Kęsicka, B.; Wróżyński, R.; Stasik, R.; Napierała, M.; Jaskuła, J.; Liberacki, D. The effect of climate change on controlled drainage effectiveness in the context of groundwater dynamics, surface, and drainage outflows. Central-western Poland case study. Agronomy 2020, 10, 625. [Google Scholar] [CrossRef]
  16. Lasy Polskie. Sprawozdanie Finansowo-Gospodarcze PGL LP za Rok 2022. 2022. Available online: https://www.lasy.gov.pl/pl/informacje/publikacje/informacje-statystyczne-i-raporty/sprawozdanie-finansowo-gospodarcze-pgl-lp/sprawozdanie-finansowo-gospodarcze-pgl-lp-za-rok-2022.pdf/view (accessed on 1 September 2023).
  17. Bayat, M.; Knoke, T.; Heidari, S.; Hamidi, S.K.; Burkhart, H.; Jaafari, A. Modeling Tree Growth Responses to Climate Change: A Case Study in Natural Deciduous Mountain Forests. Forests 2022, 13, 1816. [Google Scholar] [CrossRef]
  18. Salehnasab, A.; Bayat, M.; Namiranian, M.; Khaleghi, B.; Omid, M.; Masood Awan, H.U.; Al-Ansari, N.; Jaafari, A. Machine learning for the estimation of diameter increment in mixed and uneven-aged forests. Sustainability 2022, 14, 3386. [Google Scholar] [CrossRef]
  19. Talarczyk, A. Bank Danych o Lasach w Polsce na tle baz danych i systemów udostępniania informacji z zakresu leśnictwa w innych krajach. Probl. World Agric./Probl. Rol. Swiat. 2015, 15, 150–158. [Google Scholar] [CrossRef]
  20. Kotlarz, J.; Kacprzak, M. Algorytm automatycznego oszacowania zróżnicowania gatunkowego drzewostanu z wykorzystaniem zdjęć RGB koron drzew. Pomiary Autom. Robot. 2017, 21, 63–70. [Google Scholar] [CrossRef]
  21. De Freitas, E.C.S.; de Paiva, H.N.; Neves, J.C.L.; Marcatti, G.E.; Leite, H.G. Modeling of eucalyptus productivity with artificial neural networks. Ind. Crops Prod. 2020, 146, 112149. [Google Scholar] [CrossRef]
  22. Bayat, M.; Bettinger, P.; Hassani, M.; Heidari, S. Ten-year estimation of Oriental beech (Fagus orientalis Lipsky) volume increment in natural forests: A comparison of an artificial neural networks model, multiple linear regression and actual increment. For. Int. J. For. Res. 2021, 94, 598–609. [Google Scholar] [CrossRef]
  23. Kharuk, V.I.; Ranson, K.J.; Oskorbin, P.A.; Im, S.T.; Dvinskaya, M.L. Climate induced birch mortality in Trans-Baikal lake region, Siberia. For. Ecol. Manag. 2013, 289, 385–392. [Google Scholar] [CrossRef]
  24. Rojo, J.; Oteros, J.; Picornell, A.; Maya-Manzano, J.M.; Damialis, A.; Zink, K.; Werchan, M.; Werchan, B.; Smith, M.; Menzel, A.; et al. Effects of future climate change on birch abundance and their pollen load. Glob. Change Biol. 2021, 27, 5934–5949. [Google Scholar] [CrossRef] [PubMed]
  25. Dox, I.; Skrøppa, T.; Decoster, M.; Prislan, P.; Gascó, A.; Gričar, J.; Lange, H.; Campioli, M. Severe drought can delay autumn senescence of silver birch in the current year but advance it in the next year. Agric. For. Meteorol. 2022, 316, 108879. [Google Scholar] [CrossRef]
  26. Marçais, B.; Desprez-Loustau, M.L. European oak powdery mildew: Impact on trees, effects of environmental factors, and potential effects of climate change. Ann. For. Sci. 2014, 71, 633–642. [Google Scholar] [CrossRef]
  27. Oszako, T.; Orlikowski, L.B. First data on the occurrence of Phytophthora cinnamomi on pedonculate oak in Poland. Sylwan 2005, 149, 47–53. [Google Scholar]
  28. Attocchi, G. Silviculture of oak for high-quality wood production. Acta Univ. Agric. Sueciae 2015, 39, 1–86. [Google Scholar]
  29. Tsioras, P.A.; Liamas, D.K. Hauling damages in a mixed beech oak stand. In Proceedings of the FORMEC 2010, Padova, Italy, 11–14 July 2010; pp. 1–8. [Google Scholar]
  30. Rafes, P.M. Estimation of the effects of phytophagous insects on forest production. In Analysis of Temperate Forest Ecosystems; Springer: Berlin/Heidelberg, Germany, 1973; pp. 100–106. [Google Scholar]
  31. Grigri, M.S.; Atkins, J.W.; Vogel, C.; Bond-Lamberty, B.; Gough, C.M. Aboveground wood production is sustained in the first growing season after phloem-disrupting disturbance. Forests 2020, 11, 1306. [Google Scholar] [CrossRef]
  32. Nossov, D.R.; Ruess, R.W.; Hollingsworth, T.N. Climate sensitivity of thinleaf alder growth on an interior Alaskan floodplain. Ecoscience 2010, 17, 312–320. [Google Scholar] [CrossRef]
  33. Elferts, D.; Dauškane, I.; Ūsele, G.; Treimane, A. Effect of water level and climatic factors on the radial growth of black alder. Proc. Latv. Acad. Sci. Sect. B Nat. Exact Appl. Sci. 2011, 65, 164–169. [Google Scholar] [CrossRef]
  34. Rodríguez-González, P.M.; Campelo, F.; Albuquerque, A.; Rivaes, R.; Ferreira, T.; Pereira, J.S. Sensitivity of black alder (Alnus glutinosa [L.] Gaertn.) growth to hydrological changes in wetland forests at the rear edge of the species distribution. Plant Ecol. 2014, 215, 233–245. [Google Scholar] [CrossRef]
  35. Zhu, L.; Liao, Z.; Liu, L.; Du, B. Effects of Extreme Drought and Heat Events on Leaf Metabolome of Black Alder (Alnus glutinosa L.) Growing at Neighboring Sites with Different Water Availability. Forests 2023, 14, 151. [Google Scholar] [CrossRef]
  36. Eilmann, B.; Zweifel, R.; Buchmann, N.; Graf Pannatier, E.; Rigling, A. Drought alters timing, quantity, and quality of wood formation in Scots pine. J. Exp. Bot. 2011, 62, 2763–2771. [Google Scholar] [CrossRef] [PubMed]
  37. Seidling, W.; Ziche, D.; Beck, W. Climate responses and interrelations of stem increment and crown transparency in Norway spruce, Scots pine, and common beech. For. Ecol. Manag. 2012, 284, 196–204. [Google Scholar] [CrossRef]
  38. Matveev, S.M.; Chendev, Y.G.; Lupo, A.R.; Hubbart, J.A.; Timashchuk, D.A. Climatic changes in the East-European forest-steppe and effects on Scots pine productivity. Pure Appl. Geophys. 2017, 174, 427–443. [Google Scholar] [CrossRef]
  39. Mäkinen, H.; Hallaksela, A.M.; Isomäki, A. Increment and decay in Norway spruce and Scots pine after artificial logging damage. Can. J. For. Res. 2007, 37, 2130–2141. [Google Scholar] [CrossRef]
  40. Hřib, J.; Kyncl, J.; ČErný, A. A tree-ring study of Norway spruce infected with the wood-destroying fungus Armillaria mellea. Eur. J. For. Pathol. 1983, 13, 160–165. [Google Scholar] [CrossRef]
Figure 1. The structure of data describing forest stands in Poland used in the analysis. Each record contains data describing: habitat type, soil type and subtype, moisture, degradation, functions, and trees’ species and current age.
Figure 1. The structure of data describing forest stands in Poland used in the analysis. Each record contains data describing: habitat type, soil type and subtype, moisture, degradation, functions, and trees’ species and current age.
Forests 15 00108 g001
Figure 2. The algorithm determines the age range in which the impact of factor f on the cultivation of species s is statistically significant. The same algorithm was repeated for all considered species, for each factor, and for ages between 20 and 120 years.
Figure 2. The algorithm determines the age range in which the impact of factor f on the cultivation of species s is statistically significant. The same algorithm was repeated for all considered species, for each factor, and for ages between 20 and 120 years.
Forests 15 00108 g002
Figure 3. Development process of wood increment models using neural networks. Each tree species—external factor pair has its own neural network. Reference outputs marked by green and affected by external factors marked by red.
Figure 3. Development process of wood increment models using neural networks. Each tree species—external factor pair has its own neural network. Reference outputs marked by green and affected by external factors marked by red.
Forests 15 00108 g003
Figure 4. Structure of a neural network model for an individual tree species and for an individual external factor or the absence of such a factor. The input of the neural networks includes information: habitat type (H), soil (S), moisture (M), habitat degradation (D), cultivation functions (F), tree stand age (A), current volume of the species (V). At the output, we obtain the value dV, which represents the volume increment. Input data are derived from forest stands where the studied species is present and where cultivation occurs at an age sensitive to the occurrence of a given factor (or the absence of any factor).
Figure 4. Structure of a neural network model for an individual tree species and for an individual external factor or the absence of such a factor. The input of the neural networks includes information: habitat type (H), soil (S), moisture (M), habitat degradation (D), cultivation functions (F), tree stand age (A), current volume of the species (V). At the output, we obtain the value dV, which represents the volume increment. Input data are derived from forest stands where the studied species is present and where cultivation occurs at an age sensitive to the occurrence of a given factor (or the absence of any factor).
Forests 15 00108 g004
Figure 5. External factors: water (top left), climate (top right), fungi (bottom left), insects (bottom right) influence on the average annual increments of pine wood volume.
Figure 5. External factors: water (top left), climate (top right), fungi (bottom left), insects (bottom right) influence on the average annual increments of pine wood volume.
Forests 15 00108 g005
Figure 6. External factors: water (top left), climate (top right), fungi (bottom left), insects (bottom right) influence on the average annual increments of oak wood volume.
Figure 6. External factors: water (top left), climate (top right), fungi (bottom left), insects (bottom right) influence on the average annual increments of oak wood volume.
Forests 15 00108 g006
Figure 7. External factors: water (left), climate (right) influence on the average annual increments of alder wood volume.
Figure 7. External factors: water (left), climate (right) influence on the average annual increments of alder wood volume.
Forests 15 00108 g007
Figure 8. External factors: water (left), climate (right) influence on the average annual increments of birch wood volume.
Figure 8. External factors: water (left), climate (right) influence on the average annual increments of birch wood volume.
Forests 15 00108 g008
Figure 9. External factors: insects (top left), fungi (top right), climate (bottom) influence on the average annual increments of spruce wood volume.
Figure 9. External factors: insects (top left), fungi (top right), climate (bottom) influence on the average annual increments of spruce wood volume.
Forests 15 00108 g009
Figure 10. External factors: insects (left), climate (right) influence on the average annual increments of beech wood volume.
Figure 10. External factors: insects (left), climate (right) influence on the average annual increments of beech wood volume.
Forests 15 00108 g010
Figure 11. The impact of external factors on birch wood supply from 2022–2025.
Figure 11. The impact of external factors on birch wood supply from 2022–2025.
Forests 15 00108 g011
Figure 12. The impact of external factors on oak wood supply from 2022–2025.
Figure 12. The impact of external factors on oak wood supply from 2022–2025.
Forests 15 00108 g012
Figure 13. The impact of external factors on alder wood supply from 2022–2025.
Figure 13. The impact of external factors on alder wood supply from 2022–2025.
Forests 15 00108 g013
Figure 14. The impact of external factors on pine wood supply from 2022–2025.
Figure 14. The impact of external factors on pine wood supply from 2022–2025.
Forests 15 00108 g014
Figure 15. The impact of external factors on spruce wood supply from 2022–2025.
Figure 15. The impact of external factors on spruce wood supply from 2022–2025.
Forests 15 00108 g015
Table 1. Classification of forest cultivation in Poland using the ISOCLASS algorithm based on habitat data, soil, environmental moisture, tree species, cultivation functions, and degradation.
Table 1. Classification of forest cultivation in Poland using the ISOCLASS algorithm based on habitat data, soil, environmental moisture, tree species, cultivation functions, and degradation.
ClassHabitatSoilSpeciesMoisture VariantDegradationFunctions
1fresh coniferous forestmainly rusty podzol, additionally rusty, ferrouspine with a mixture of birchfreshnaturalmainly economic forest
2deciduous or mixed forest, fresh, upland or mountainousbrown, podzol, river alluvialmainly: beech, oak, spruce, pine, additionally: birch, Douglas fir, hornbeamfreshnatural and lightly degradedmainly protective
3mixed forestrustypine, oakfreshlightly degraded, naturaleconomic forest
4deciduous forestrustypinefreshlightly degradedeconomic forest
5mixed moist conifer or deciduous forest, aldergleyic podzol, gley, precipitation-dependentpine, birch, sprucemoist, very moist, marshy, floodplainmainly naturalprotective
6fresh forestspodzols, ferricpine, additionally sprucevery moistlightly degraded, naturaleconomic forest
7alder, ashpeaty soils of low peat bogs, peat—marsh soilsbirch, ash, spruce, pinemarshy or floodplainnaturalprotective
8mixed fresh coniferous forestpodzols, ferricpine, additionally sprucemoistvariedprotective
9mixed forest—fresh, mountain or uplandbrown, acidic or leachedpine, fir, sprucevery moistlightly degradedprotective
Table 2. The age ranges of tree species for which the annual wood volume increment significantly depended on the occurrence of external factors. The statistical analysis was conducted based on a sample of 100,000 forest stands from across Poland, using assessment data. The lack of influence of wildfires on the increments is due to insufficient data to achieve statistical significance (p < 0.05).
Table 2. The age ranges of tree species for which the annual wood volume increment significantly depended on the occurrence of external factors. The statistical analysis was conducted based on a sample of 100,000 forest stands from across Poland, using assessment data. The lack of influence of wildfires on the increments is due to insufficient data to achieve statistical significance (p < 0.05).
PineOakAlderBirchSpruceBeech
Insects51–63
106–109
40–42
113–117
64, 6766, 6765–11875–85
Fungi37–56
67–76
106–117
23–28
112–120
82–83-36–38
87–120
46
Fires------
Climate50–97
109–115
88, 9125–3170–75
98–101
87–120107–114
Water20–35
55–77
85–97
20–25
92
20–67
75–90
20–85--
Disclaimer/Publisher’s Note: The statements, opinions and data contained in all publications are solely those of the individual author(s) and contributor(s) and not of MDPI and/or the editor(s). MDPI and/or the editor(s) disclaim responsibility for any injury to people or property resulting from any ideas, methods, instructions or products referred to in the content.

Share and Cite

MDPI and ACS Style

Kotlarz, J.; Bejger, S. Estimation of the Short-Term Impact of Climate-Change-Related Factors on Wood Supply in Poland in 2023–2025. Forests 2024, 15, 108. https://doi.org/10.3390/f15010108

AMA Style

Kotlarz J, Bejger S. Estimation of the Short-Term Impact of Climate-Change-Related Factors on Wood Supply in Poland in 2023–2025. Forests. 2024; 15(1):108. https://doi.org/10.3390/f15010108

Chicago/Turabian Style

Kotlarz, Jan, and Sylwester Bejger. 2024. "Estimation of the Short-Term Impact of Climate-Change-Related Factors on Wood Supply in Poland in 2023–2025" Forests 15, no. 1: 108. https://doi.org/10.3390/f15010108

APA Style

Kotlarz, J., & Bejger, S. (2024). Estimation of the Short-Term Impact of Climate-Change-Related Factors on Wood Supply in Poland in 2023–2025. Forests, 15(1), 108. https://doi.org/10.3390/f15010108

Note that from the first issue of 2016, this journal uses article numbers instead of page numbers. See further details here.

Article Metrics

Back to TopTop