Effects of the Dominate Plant Families on Elevation Gradient Pattern of Community Structure in a Subtropical Forest
Abstract
:1. Introduction
2. Materials and Methods
2.1. Study Area
2.2. Data Sampling
2.3. Data Analysis
3. Results
3.1. The Community Species Composition
3.2. Species Diversity and Basal Area of Different Elevation Communities
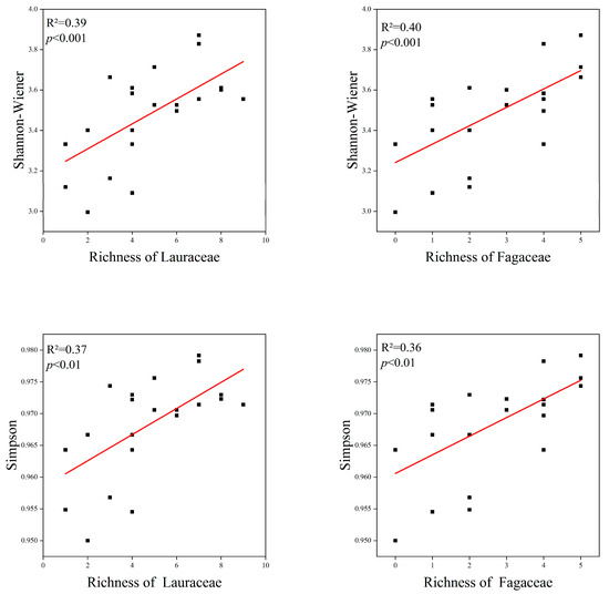
3.3. Relationship between Lauraceae, Fagaceae and Species Diversity
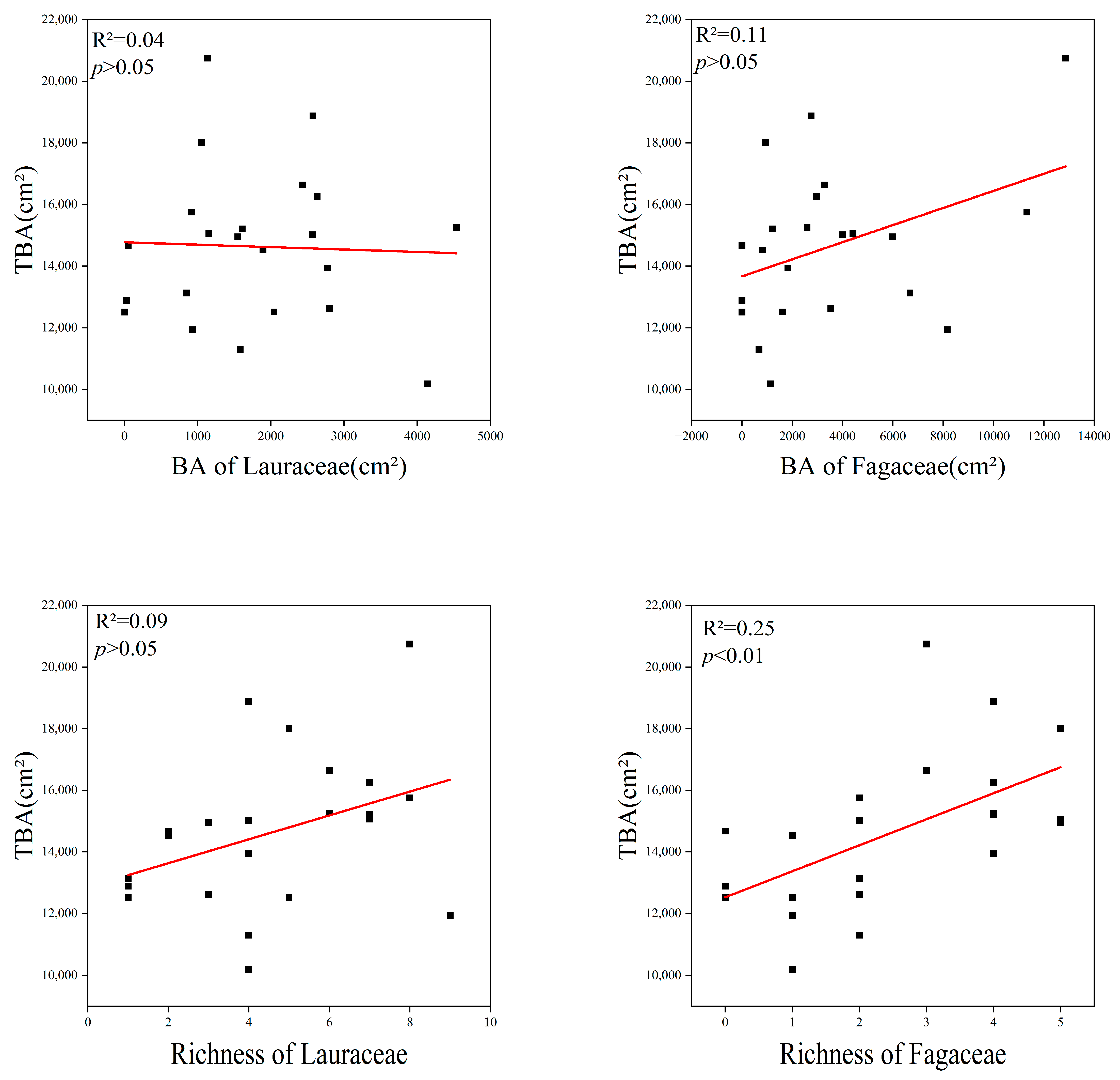
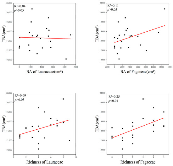
3.4. Relationship between Lauraceae, Fagaceae and TBA
3.5. Influence of Plant Factors on Species Diversity and TBA
3.6. Relationship between Species Diversity, TBA and Environmental Factors
4. Discussion
4.1. Response of Community Structure to Dominate Plant Families
4.2. Response of Community Structure to Elevation
4.3. Response of Community Structure to Environmental Factors
4.4. Implications
5. Conclusions
Supplementary Materials
Author Contributions
Funding
Data Availability Statement
Acknowledgments
Conflicts of Interest
References
- Liu, X.; Li, X.; Li, X.; Ma, W.; Guo, Q.; Zhu, X.; Xing, F. Dominant Plant Identity Determines Soil Extracellular Enzyme Activities of Its Entire Community in a Semi-Arid Grassland. Appl. Soil Ecol. 2021, 161, 103872. [Google Scholar] [CrossRef]
- Zhang, G.; Wang, X.; Wu, X.; Gao, H.; Xiao, S.; Zhang, W.; Shang, J.; Qiao, F.; Liu, G.; Chen, T.; et al. Dominant Woody Plants Alter Soil Microbial Community Composition during Succession. Glob. Ecol. Conserv. 2021, 31, e01852. [Google Scholar] [CrossRef]
- Avolio, M.L.; Forrestel, E.J.; Chang, C.C.; La Pierre, K.J.; Burghardt, K.T.; Smith, M.D. Demystifying Dominant Species. New Phytol. 2019, 223, 1106–1126. [Google Scholar] [CrossRef] [PubMed]
- Yang, X.; Wang, X.; Xiao, S.; Liu, Z.; Zhou, X.; Du, G.; Liu, K.; Wang, Y.; Chen, S.; Nielsen, U.N. Dominant Plants Affect Litter Decomposition Mainly through Modifications of the Soil Microbial Community. Soil Biol. Biochem. 2021, 161, 108399. [Google Scholar] [CrossRef]
- Frieswyk, C.B.; Johnston, C.A.; Zedler, J.B. Identifying and Characterizing Dominant Plants as an Indicator of Community Condition. J. Great Lakes Res. 2007, 33, 125–135. [Google Scholar] [CrossRef]
- Grime, J.P. Benefits of Plant Diversity to Ecosystems: Immediate, Filter and Founder Effects. J Ecol. 1998, 86, 902–910. [Google Scholar] [CrossRef]
- Eckberg, J.N.; Hubbard, A.; Schwarz, E.T.; Smith, E.T.; Sanders, N.J. The Dominant Plant Species Solidago Canadensis Structures Multiple Trophic Levels in an Old-field Ecosystem. Ecosphere 2023, 14, e4393. [Google Scholar] [CrossRef]
- Arnillas, C.A.; Borer, E.T.; Seabloom, E.W.; Alberti, J.; Baez, S.; Bakker, J.D.; Boughton, E.H.; Buckley, Y.M.; Bugalho, M.N.; Donohue, I.; et al. Opposing Community Assembly Patterns for Dominant and Nondominant Plant Species in Herbaceous Ecosystems Globally. Ecol. Evol. 2021, 11, 17744–17761. [Google Scholar] [CrossRef]
- Akhmetzhanova, A.A. Assessment of Phytomass Changes in an Alpine Geranium-Hedysarum Meadow after the Removal of Dominants: The Results of a Ten-Year Experiment. Russ. J. Ecol. 2010, 41, 38–43. [Google Scholar] [CrossRef]
- Crutsinger, G.M.; Strauss, S.Y.; Rudgers, J.A. Genetic Variation within a Dominant Shrub Species Determines Plant Species Colonization in a Coastal Dune Ecosystem. Ecology 2010, 91, 1237–1243. [Google Scholar] [CrossRef]
- Arellano, G.; Macía, M.J. Local and Regional Dominance of Woody Plants along an Elevational Gradient in a Tropical Montane Forest of Northwestern Bolivia. Plant Ecol. 2014, 215, 39–54. [Google Scholar] [CrossRef]
- Song, X.; Cao, M.; Li, J.; Kitching, R.L.; Nakamura, A.; Laidlaw, M.J.; Tang, Y.; Sun, Z.; Zhang, W.; Yang, J. Different Environmental Factors Drive Tree Species Diversity along Elevation Gradients in Three Climatic Zones in Yunnan, Southern China. Plant Divers. 2021, 43, 433–443. [Google Scholar] [CrossRef] [PubMed]
- Shimono, A.; Zhou, H.; Shen, H.; Hirota, M.; Ohtsuka, T.; Tang, Y. Patterns of Plant Diversity at High Altitudes on the Qinghai-Tibetan Plateau. J. Plant Ecol. 2010, 3, 1–7. [Google Scholar] [CrossRef]
- Zhao, C.-M.; Chen, W.-L.; Tian, Z.-Q.; Xie, Z.-Q. Altitudinal Pattern of Plant Species Diversity in Shennongjia Mountains, Central China. J. Integr. Plant Biol. 2005, 47, 1431–1449. [Google Scholar] [CrossRef]
- Meng, H.; Li, K.; Nie, M.; Wan, J.-R.; Quan, Z.-X.; Fang, C.-M.; Chen, J.-K.; Gu, J.-D.; Li, B. Responses of Bacterial and Fungal Communities to an Elevation Gradient in a Subtropical Montane Forest of China. Appl. Microbiol. Biotechnol. 2013, 97, 2219–2230. [Google Scholar] [CrossRef] [PubMed]
- Hooper, D.U.; Adair, E.C.; Cardinale, B.J.; Byrnes, J.E.K.; Hungate, B.A.; Matulich, K.L.; Gonzalez, A.; Duffy, J.E.; Gamfeldt, L.; O’Connor, M.I. A Global Synthesis Reveals Biodiversity Loss as a Major Driver of Ecosystem Change. Nature 2012, 486, U105–U129. [Google Scholar] [CrossRef]
- Edlinger, A.; Saghaï, A.; Herzog, C.; Degrune, F.; Garland, G. Towards a Multidimensional View of Biodiversity and Ecosystem Functioning in a Changing World. New Phytol. 2020, 228, 820–822. [Google Scholar] [CrossRef]
- Zhao, Z.; Feng, X.; Zhang, Y.; Wang, Y.; Zhou, Z. Species Richness, Endemism, and Conservation of Wild Rhododendron in China. Glob. Ecol. Conserv. 2023, 41, e02375. [Google Scholar] [CrossRef]
- Zhang, X.; Zhang, B.; Yao, Y.; Liu, J.; Wang, J.; Yu, F.; Li, J. Variation Model of North-South Plant Species Diversity in the Qinling-Daba Mountains in China. Glob. Ecol. Conserv. 2022, 38, e02190. [Google Scholar] [CrossRef]
- Hamberg, L.J.; Fraser, R.A.; Robinson, D.T.; Trant, A.J.; Murphy, S.D. Surface Temperature as an Indicator of Plant Species Diversity and Restoration in Oak Woodland. Ecol. Indic. 2020, 113, 106249. [Google Scholar] [CrossRef]
- Li, C.; Wang, B.; Fang, Z.; Yu, H.; Huang, J. Plant Species Diversity Is Driven by Soil Base Cations under Acid Deposition in Desert Coal-Mining Region in Northwestern China. Ecol. Indic. 2022, 145, 109682. [Google Scholar] [CrossRef]
- Floder, S.; Burns, C.W. The Influence of Fluctuating Light on Diversity and Species Number of Nutrient-Limited Phytoplankton1. J. Phycol. 2005, 41, 950–956. [Google Scholar] [CrossRef]
- Bhat, J.A.; Kumar, M.; Negi, A.K.; Todaria, N.P.; Malik, Z.A.; Pala, N.A.; Kumar, A.; Shukla, G. Species Diversity of Woody Vegetation along Altitudinal Gradient of the Western Himalayas. Glob. Ecol. Conserv. 2020, 24, e01302. [Google Scholar] [CrossRef]
- Mseddi, K.; Alghamdi, A.; Abdelgadir, M.; Sharawy, S.; Chaieb, M.; Miller, T. Phytodiversity Distribution in Relation to Altitudinal Gradient in Salma Mountains—Saudi Arabia. Glob. Ecol. Conserv. 2021, 27, e01525. [Google Scholar] [CrossRef]
- Sharma, N.; Kala, C.P. Patterns in Plant Species Diversity along the Altitudinal Gradient in Dhauladhar Mountain Range of the North-West Himalaya in India. Trees For. People 2022, 7, 100196. [Google Scholar] [CrossRef]
- Kessler, M. Patterns of Diversity and Range Size of Selected Plant Groups along an Elevational Transect in the Bolivian Andes. Biodivers. Conserv. 2001, 10, 1897–1921. [Google Scholar] [CrossRef]
- Page, L.M.; Cameron, A.D.; Clarke, G.C. Influence of Overstorey Basal Area on Density and Growth of Advance Regeneration of Sitka Spruce in Variably Thinned Stands. For. Ecol. Manag. 2001, 151, 25–35. [Google Scholar] [CrossRef]
- Midgley, J.J.; Niklas, K.J. Does Disturbance Prevent Total Basal Area and Biomass in Indigenous Forests from Being at Equilibrium with the Local Environment? J. Trop. Ecol. 2004, 20, 595–597. [Google Scholar] [CrossRef]
- Lam, T.Y.; Guan, B.T. Modeling Stand Basal Area Growth of Cryptomeria Japonica D. Don under Different Planting Densities in Taiwan. J. For. Res. 2020, 25, 174–182. [Google Scholar] [CrossRef]
- Poage, N.J.; Tappeiner, J.C. Long-Term Patterns of Diameter and Basal Area Growth of Old-Growth Douglas-Fir Trees in Western Oregon. Can. J. For. Res. 2002, 32, 1232–1243. [Google Scholar] [CrossRef]
- Gilman, A.C.; Letcher, S.G.; Fincher, R.M.; Perez, A.I.; Madell, T.W.; Finkelstein, A.L.; Corrales-Araya, F. Recovery of Floristic Diversity and Basal Area in Natural Forest Regeneration and Planted Plots in a Costa Rican Wet Forest. Biotropica 2016, 48, 798–808. [Google Scholar] [CrossRef]
- Acharya, B.K.; Chettri, B.; Vijayan, L. Distribution Pattern of Trees along an Elevation Gradient of Eastern Himalaya, India. Acta Oecologica 2011, 37, 329–336. [Google Scholar] [CrossRef]
- Homeier, J.; Breckle, S.-W.; Günter, S.; Rollenbeck, R.T.; Leuschner, C. Tree Diversity, Forest Structure and Productivity along Altitudinal and Topographical Gradients in a Species-Rich Ecuadorian Montane Rain Forest: Ecuadorian Montane Forest Diversity and Structure. Biotropica 2010, 42, 140–148. [Google Scholar] [CrossRef]
- Hinsinger, D.D.; Strijk, J.S. Toward Phylogenomics of Lauraceae: The Complete Chloroplast Genome Sequence of Litsea Glutinosa (Lauraceae), an Invasive Tree Species on Indian and Pacific Ocean Islands. Plant Gene 2017, 9, 71–79. [Google Scholar] [CrossRef]
- Brown, S.P.; Clark, S.L.; Ford, E.; Mirza, N.; Odeh, A.; Schlarbaum, S.E.; Jumpponen, A.; Baird, R. Convergent Shifts in Soil Fungal Communities Associated with Fagaceae Reforestation in the Southern Appalachian Mountains. For. Ecol. Manag. 2023, 531, 120805. [Google Scholar] [CrossRef]
- Wu, T.-Y.; Yeh, K.-T.; Hsu, H.-C.; Yang, C.-K.; Tsai, M.-J.; Kuo, Y.-F. Identifying Fagaceae and Lauraceae Species Using Leaf Images and Convolutional Neural Networks. Ecol. Inform. 2022, 68, 101513. [Google Scholar] [CrossRef]
- Chen, H.; Morrell, P.L.; Ashworth, V.E.T.M.; de la Cruz, M.; Clegg, M.T. Tracing the Geographic Origins of Major Avocado Cultivars. J. Hered. 2008, 100, 56–65. [Google Scholar] [CrossRef]
- Salleh, W.M.N.H.; Ahmad, F.; Yen, K.H.; Zulkifli, R.M. Essential Oil Compositions of Malaysian Lauraceae: A Mini Review. Pharm. Sci. 2016, 22, 60–67. [Google Scholar] [CrossRef]
- Zhang, J.; Huang, T.; Zhang, J.; Shi, Z.; He, Z. Chemical Composition of Leaf Essential Oils of Four Cinnamomum Species and Their Larvicidal Activity Against Anophelus sinensis (Diptera: Culicidae). J. Essent. Oil Bear. Plants 2018, 21, 1284–1294. [Google Scholar] [CrossRef]
- Kremer, A.; Abbott, A.G.; Carlson, J.E.; Manos, P.S.; Plomion, C.; Sisco, P.; Staton, M.E.; Ueno, S.; Vendramin, G.G. Genomics of Fagaceae. Tree Genet. Genomes 2012, 8, 583–610. [Google Scholar] [CrossRef]
- Cheng, Y.-B.; Liu, F.-J.; Wang, C.-H.; Hwang, T.-L.; Tsai, Y.-F.; Yen, C.-H.; Wang, H.-C.; Tseng, Y.-H.; Chien, C.-T.; Chen, Y.-M.; et al. Bioactive Triterpenoids from the Leaves and Twigs of Lithocarpus Litseifolius and L. Corneus. Planta Med. 2018, 84, 49–58. [Google Scholar] [CrossRef]
- Shang, A.; Liu, H.-Y.; Luo, M.; Xia, Y.; Yang, X.; Li, H.-Y.; Wu, D.-T.; Sun, Q.; Geng, F.; Gan, R.-Y. Sweet Tea (Lithocarpus polystachyus Rehd.) as a New Natural Source of Bioactive Dihydrochalcones with Multiple Health Benefits. Crit. Rev. Food Sci. Nutr. 2022, 62, 917–934. [Google Scholar] [CrossRef]
- Wang, X.; Yu, S.; Zhou, L.; Fu, S. Soil Microbial Characteristics and the Influencing Factors in Subtropical Forests. Acta Ecol. Sin. 2016, 36, 8–15. [Google Scholar] [CrossRef]
- Fu, W.; Dong, J.; Ding, L.; Yang, H.; Ye, Z.; Zhao, K. Spatial Correlation of Nutrients in a Typical Soil-Hickory System of Southeastern China and Its Implication for Site-Specific Fertilizer Application. Soil Tillage Res. 2022, 217, 105265. [Google Scholar] [CrossRef]
- Hong, S.; Piao, S.; Chen, A.; Liu, Y.; Liu, L.; Peng, S.; Sardans, J.; Sun, Y.; Peñuelas, J.; Zeng, H. Afforestation Neutralizes Soil PH. Nat. Commun. 2018, 9, 520. [Google Scholar] [CrossRef] [PubMed]
- Wang, C.; Cheng, T.; Tang, S.; Li, M.; Zhang, D.; Pan, X. Protective-Mechanism-Exclusive Thermal Stability Modes of Soil Organic Matter: Novel Implication for Wildfire Effect on Soil Organic Carbon. Sci. Total Environ. 2023, 861, 160734. [Google Scholar] [CrossRef] [PubMed]
- Lee, M.-H.; Park, J.-H.; Matzner, E. Sustained Production of Dissolved Organic Carbon and Nitrogen in Forest Floors during Continuous Leaching. Geoderma 2018, 310, 163–169. [Google Scholar] [CrossRef]
- Bettinger, P.; Boston, K.; Siry, J.P.; Grebner, D.L. Valuing and Characterizing Forest Conditions. In Forest Management and Planning; Elsevier: Amsterdam, The Netherlands, 2017; pp. 21–63. ISBN 978-0-12-809476-1. [Google Scholar]
- Magurran, A.E. Ecological Diversity and Its Measurement; Springer: Dordrecht, The Netherlands, 1988. [Google Scholar]
- Molla, T.; Asfaw, Z.; Muluneh, M.G.; Worku, B.B. Diversity of Woody Species in Traditional Agroforestry Practices in Wondo District, South-Central Ethiopia. Heliyon 2023, 9, e13549. [Google Scholar] [CrossRef]
- Pandey, B.; Pan, K.; Dakhil, M.A.; Liao, Z.; Timilsina, A.; Khanal, M.; Zhang, L. Contrasting Gymnosperm Diversity Across an Elevation Gradient in the Ecoregion of China: The Role of Temperature and Productivity. Front. Ecol. Evol. 2021, 9, 679439. [Google Scholar] [CrossRef]
- Wood, S.N. Stable and Efficient Multiple Smoothing Parameter Estimation for Generalized Additive Models. J. Am. Stat. Assoc. 2004, 99, 673–686. [Google Scholar] [CrossRef]
- McKenna, S.; Meyer, M.; Gregg, C.; Gerber, S. S-CorrPlot: An Interactive Scatterplot for Exploring Correlation. J. Comput. Graph. Stat. 2016, 25, 445–463. [Google Scholar] [CrossRef]
- Li, Z.; Li, Z.; Tong, X.; Zhang, J.; Dong, L.; Zheng, Y.; Ma, W.; Zhao, L.; Wang, L.; Wen, L.; et al. Climatic Humidity Mediates the Strength of the Species Richness–Biomass Relationship on the Mongolian Plateau Steppe. Sci. Total Environ. 2020, 718, 137252. [Google Scholar] [CrossRef]
- Shi, G.-L.; Xie, Z.-M.; Li, H.-M. High Diversity of Lauraceae from the Oligocene of Ningming, South China. Palaeoworld 2014, 23, 336–356. [Google Scholar] [CrossRef]
- Huang, G.; Huang, Z.; Huang, L.; Zheng, X.; Zhou, H. The Climate Characteristics and Study on Weather Index of Daming Mountain Scenic Region in Guangxi. J. Meteorol. Res. Appl. 2015, 36, 76–79. [Google Scholar]
- Cheuk, M.L.; Fischer, G.A. The Impact of Climate Change on the Distribution of Castanopsis (Fagaceae) Species in South China and Indo-China Region. Glob. Ecol. Conserv. 2021, 26, e01388. [Google Scholar] [CrossRef]
- Zhou, R.; Ci, X.; Hu, J.; Zhang, X.; Cao, G.; Xiao, J.; Liu, Z.; Li, L.; Thornhill, A.H.; Conran, J.G.; et al. Transitional Areas of Vegetation as Biodiversity Hotspots Evidenced by Multifaceted Biodiversity Analysis of a Dominant Group in Chinese Evergreen Broad-Leaved Forests. Ecol. Indic. 2023, 147, 110001. [Google Scholar] [CrossRef]
- Kamimura, V.D.A.; Moraes, P.L.R.D.; Ribeiro, H.L.; Joly, C.A.; Assis, M.A. Tree Diversity and Elevational Gradient: The Case of Lauraceae in the Atlantic Rainforest. Flora 2017, 234, 84–91. [Google Scholar] [CrossRef]
- Hernández Gordillo, A.L.; Vilchez Mendoza, S.; Ngo Bieng, M.A.; Delgado, D.; Finegan, B. Altitude and Community Traits Explain Rain Forest Stand Dynamics over a 2370-m Altitudinal Gradient in Costa Rica. Ecosphere 2021, 12, e03867. [Google Scholar] [CrossRef]
- Culmsee, H.; Leuschner, C.; Moser, G.; Pitopang, R. Forest Aboveground Biomass along an Elevational Transect in Sulawesi, Indonesia, and the Role of Fagaceae in Tropical Montane Rain Forests. J. Biogeogr. 2010, 37, 960–974. [Google Scholar] [CrossRef]
- Ding, Y.; Zang, R.; Lu, X.; Huang, J. The Impacts of Selective Logging and Clear-Cutting on Woody Plant Diversity after 40 Years of Natural Recovery in a Tropical Montane Rain Forest, South China. Sci. Total Environ. 2017, 579, 1683–1691. [Google Scholar] [CrossRef]
- Zhu, Z.-X.; Nizamani, M.M.; Sahu, S.K.; Kunasingam, A.; Wang, H.-F. Tree Abundance, Richness, and Phylogenetic Diversity along an Elevation Gradient in the Tropical Forest of Diaoluo Mountain in Hainan, China. Acta Oecologica 2019, 101, 103481. [Google Scholar] [CrossRef]
- Haq, S.M.; Calixto, E.S.; Rashid, I.; Srivastava, G.; Khuroo, A.A. Tree Diversity, Distribution and Regeneration in Major Forest Types along an Extensive Elevational Gradient in Indian Himalaya: Implications for Sustainable Forest Management. For. Ecol. Manag. 2022, 506, 119968. [Google Scholar] [CrossRef]
- Zhou, Y.; Ochola, A.C.; Njogu, A.W.; Boru, B.H.; Mwachala, G.; Hu, G.; Xin, H.; Wang, Q. The Species Richness Pattern of Vascular Plants along a Tropical Elevational Gradient and the Test of Elevational Rapoport’s Rule Depend on Different Life-forms and Phytogeographic Affinities. Ecol. Evol. 2019, 9, 4495–4503. [Google Scholar] [CrossRef] [PubMed]
- Lomolino, M.V. Elevation Gradients of Species-Density: Historical and Prospective Views: Elevation Gradients of Species-Density. Glob. Ecol. Biogeogr. 2001, 10, 3–13. [Google Scholar] [CrossRef]
- Aynekulu, E.; Aerts, R.; Moonen, P.; Denich, M.; Gebrehiwot, K.; Vågen, T.-G.; Mekuria, W.; Boehmer, H.J. Altitudinal Variation and Conservation Priorities of Vegetation along the Great Rift Valley Escarpment, Northern Ethiopia. Biodivers. Conserv. 2012, 21, 2691–2707. [Google Scholar] [CrossRef]
- Kessler, M.; Kluge, J.; Hemp, A.; Ohlemüller, R. A Global Comparative Analysis of Elevational Species Richness Patterns of Ferns: Global Analysis of Fern Transects. Glob. Ecol. Biogeogr. 2011, 20, 868–880. [Google Scholar] [CrossRef]
- Manish, K.; Pandit, M.K.; Telwala, Y.; Nautiyal, D.C.; Koh, L.P.; Tiwari, S. Elevational Plant Species Richness Patterns and Their Drivers across Non-Endemics, Endemics and Growth Forms in the Eastern Himalaya. J. Plant Res. 2017, 130, 829–844. [Google Scholar] [CrossRef]
- Gao, J.; Liu, Y. Climate Stability Is More Important than Water-Energy Variables in Shaping the Elevational Variation in Species Richness. Ecol. Evol. 2018, 8, 6872–6879. [Google Scholar] [CrossRef]
- Kluge, J.; Kessler, M.; Dunn, R.R. What Drives Elevational Patterns of Diversity? A Test of Geometric Constraints, Climate and Species Pool Effects for Pteridophytes on an Elevational Gradient in Costa Rica: Drivers of Pteridophyte Richness. Glob. Ecol. Biogeogr. 2006, 15, 358–371. [Google Scholar] [CrossRef]
- Ali, A.; Lin, S.-L.; He, J.-K.; Kong, F.-M.; Yu, J.-H.; Jiang, H.-S. Climatic Water Availability Is the Main Limiting Factor of Biotic Attributes across Large-Scale Elevational Gradients in Tropical Forests. Sci. Total Environ. 2019, 647, 1211–1221. [Google Scholar] [CrossRef]
- Colwell, R.K.; Lees, D.C. The Mid-Domain Effect: Geometric Constraints on the Geography of Species Richness. Trends Ecol. Evol. 2000, 15, 70–76. [Google Scholar] [CrossRef] [PubMed]
- Dani, R.S.; Divakar, P.K.; Baniya, C.B. Diversity and Composition of Plants Species along Elevational Gradient: Research Trends. Biodivers. Conserv. 2023, 32, 2961–2980. [Google Scholar] [CrossRef]
- Lee, C.-B.; Chun, J.-H.; Cho, H.-J.; Song, H.-K. Altitudinal Patterns of Plant Species Richness on the Ridge of the Baekdudaegan Mountains, South Korea: Area and Mid-Domain Effect. For. Sci. Technol. 2012, 8, 154–160. [Google Scholar] [CrossRef]
- Murphy, H.T.; VanDerWal, J.; Lovett-Doust, J. One, Two and Three-Dimensional Geometric Constraints and Climatic Correlates of North American Tree Species Richness. Ecography 2011, 34, 267–275. [Google Scholar] [CrossRef]
- Wang, X.-H.; Kent, M.; Fang, X.-F. Evergreen Broad-Leaved Forest in Eastern China: Its Ecology and Conservation and the Importance of Resprouting in Forest Restoration. For. Ecol. Manag. 2007, 245, 76–87. [Google Scholar] [CrossRef]
- Poorter, L.; Craven, D.; Jakovac, C.C.; Van Der Sande, M.T.; Amissah, L.; Bongers, F.; Chazdon, R.L.; Farrior, C.E.; Kambach, S.; Meave, J.A.; et al. Multidimensional Tropical Forest Recovery. Science 2021, 374, 1370–1376. [Google Scholar] [CrossRef]
- Sandoya, V.; Saura-Mas, S.; Granzow-de la Cerda, I.; Arellano, G.; Macía, M.J.; Tello, J.S.; Lloret, F. Contribution of Species Abundance and Frequency to Aboveground Forest Biomass along an Andean Elevation Gradient. For. Ecol. Manag. 2021, 479, 118549. [Google Scholar] [CrossRef]
- Viani, R.A.G.; Rodrigues, R.R.; Dawson, T.E.; Oliveira, R.S. Savanna Soil Fertility Limits Growth but Not Survival of Tropical Forest Tree Seedlings. Plant Soil 2011, 349, 341–353. [Google Scholar] [CrossRef]
- Yaseen, M.; Fan, G.; Zhou, X.; Long, W.; Feng, G. Plant Diversity and Soil Nutrients in a Tropical Coastal Secondary Forest: Association Ordination and Sampling Year Differences. Forests 2022, 13, 376. [Google Scholar] [CrossRef]
- Rogers, R. TEMPERATE ECOSYSTEMS|Fagaceae. In Encyclopedia of Forest Sciences; Elsevier: Amsterdam, The Netherlands, 2004; pp. 1419–1427. ISBN 978-0-12-145160-8. [Google Scholar]
- Rohwer, J.G. Lauraceae. In Flowering Plants · Dicotyledons; Kubitzki, K., Rohwer, J.G., Bittrich, V., Eds.; Springer: Berlin/Heidelberg, Germany, 1993; pp. 366–391. ISBN 978-3-642-08141-5. [Google Scholar]
- Lennon, J.J.; Koleff, P.; Greenwood, J.J.D.; Gaston, K.J. Contribution of Rarity and Commonness to Patterns of Species Richness: Richness Patterns and Rarity/Commonness. Ecol. Lett. 2003, 7, 81–87. [Google Scholar] [CrossRef]
- Pool, T.K.; Grenouillet, G.; Villéger, S. Species Contribute Differently to the Taxonomic, Functional, and Phylogenetic Alpha and Beta Diversity of Freshwater Fish Communities. Divers. Distrib. 2014, 20, 1235–1244. [Google Scholar] [CrossRef]









| Elevation Zone | Forest Type | Elevation (m) | Plot | Latitude | Longitude | Slope (°) | Canopy Density |
|---|---|---|---|---|---|---|---|
| 1400 | montane elfin forest | 1476 | DMS-01 | 23°28′47.75″ | 108°26′05.63″ | 8 | 0.81 |
| montane elfin forest | 1460 | DMS-02 | 23°28′47.47″ | 108°26′06.36″ | 6 | 0.83 | |
| montane elfin forest | 1455 | DMS-03 | 23°28′48.06″ | 108°26′08.99″ | 4 | 0.8 | |
| 1200 | montane elfin forest | 1248 | DMS-04 | 23°30′57.88″ | 108°26′02.12″ | 2 | 0.61 |
| montane elfin forest | 1257 | DMS-05 | 23°30′56.39″ | 108°25′59.27″ | 2 | 0.67 | |
| montane elfin forest | 1258 | DMS-06 | 23°30′56.04″ | 108°26′01.25″ | 2 | 0.74 | |
| montane elfin forest | 1288 | DMS-07 | 23°29′57.90″ | 108°26′53.92″ | 3 | 0.81 | |
| montane elfin forest | 1273 | DMS-08 | 23°29′54.32″ | 108°26′54.89″ | 2 | 0.83 | |
| montane elfin forest | 1250 | DMS-09 | 23°29′53.69″ | 108°26′55.92″ | 2 | 0.8 | |
| 1100 | evergreen deciduous mixed forest | 1196 | DMS-10 | 23°29′55.56″ | 108°25′46.66″ | 10 | 0.89 |
| evergreen deciduous mixed forest | 1190 | DMS-11 | 23°29′53.80″ | 108°25′47.38″ | 9 | 0.84 | |
| evergreen deciduous mixed forest | 1165 | DMS-12 | 23°29′58.75″ | 108°25′48.05″ | 16 | 0.86 | |
| evergreen broad-leaved forest | 1121 | DMS-13 | 23°31′07.96″ | 108°23′01.20″ | 14 | 0.83 | |
| evergreen broad-leaved forest | 1110 | DMS-14 | 23°31′07.34″ | 108°23′00.61″ | 11 | 0.87 | |
| evergreen broad-leaved forest | 1130 | DMS-15 | 23°31′07.22″ | 108°23′02.64″ | 19 | 0.78 | |
| evergreen broad-leaved forest | 1118 | DMS-16 | 23°31′08.02″ | 108°23′07.01″ | 20 | 0.93 | |
| 700 | illicium verum forest | 780 | DMS-17 | 23°31′50.74″ | 108°21′45.21″ | 23 | 0.75 |
| illicium verum forest | 770 | DMS-18 | 23°31′51.43″ | 108°21′43.35″ | 20 | 0.47 | |
| illicium verum forest | 774 | DMS-19 | 23°31′57.94″ | 108°21′46.80″ | 15 | 0.45 | |
| 300 | monsoon evergreen broad-leaved forest | 358 | DMS-20 | 23°28′03.35″ | 108°22′38.13″ | 19 | 0.79 |
| monsoon evergreen broad-leaved forest | 376 | DMS-21 | 23°28′08.03″ | 108°22′32.70″ | 27 | 0.85 | |
| monsoon evergreen broad-leaved forest | 280 | DMS-22 | 23°28′02.10″ | 108°22′26.35″ | 28 | 0.79 |
| Elevation | Lauraceae | Fagaceae | ||
|---|---|---|---|---|
| Proportion of Richness | Proportion of Basal Area | Proportion of Richness | Proportion of Basal Area | |
| 300 | 6.52% | 13.75% | 8.70% | 27.38% |
| 700 | 4.65% | 0.21% | 0.00% | 0.00% |
| 1100 | 14.91% | 9.72% | 9.65% | 45.64% |
| 1200 | 12.68% | 15.57% | 8.45% | 12.57% |
| 1400 | 14.00% | 21.40% | 6.00% | 13.37% |
Disclaimer/Publisher’s Note: The statements, opinions and data contained in all publications are solely those of the individual author(s) and contributor(s) and not of MDPI and/or the editor(s). MDPI and/or the editor(s) disclaim responsibility for any injury to people or property resulting from any ideas, methods, instructions or products referred to in the content. |
© 2023 by the authors. Licensee MDPI, Basel, Switzerland. This article is an open access article distributed under the terms and conditions of the Creative Commons Attribution (CC BY) license (https://creativecommons.org/licenses/by/4.0/).
Share and Cite
Li, J.; Luo, Y.; Song, X.; Jiang, D.; He, Q.; Bai, A.; Li, R.; Zhang, W. Effects of the Dominate Plant Families on Elevation Gradient Pattern of Community Structure in a Subtropical Forest. Forests 2023, 14, 1860. https://doi.org/10.3390/f14091860
Li J, Luo Y, Song X, Jiang D, He Q, Bai A, Li R, Zhang W. Effects of the Dominate Plant Families on Elevation Gradient Pattern of Community Structure in a Subtropical Forest. Forests. 2023; 14(9):1860. https://doi.org/10.3390/f14091860
Chicago/Turabian StyleLi, Jialiang, Yinghua Luo, Xiaoyang Song, Dongdong Jiang, Qiaoping He, Aiqin Bai, Ruilan Li, and Wenliu Zhang. 2023. "Effects of the Dominate Plant Families on Elevation Gradient Pattern of Community Structure in a Subtropical Forest" Forests 14, no. 9: 1860. https://doi.org/10.3390/f14091860
APA StyleLi, J., Luo, Y., Song, X., Jiang, D., He, Q., Bai, A., Li, R., & Zhang, W. (2023). Effects of the Dominate Plant Families on Elevation Gradient Pattern of Community Structure in a Subtropical Forest. Forests, 14(9), 1860. https://doi.org/10.3390/f14091860

