Abstract
Both nitrogen (N) deposition and heavy metal pollution are important environmental concerns that threaten ecosystem stability and ecological safety. Limited research has been conducted on the effects of N deposition on the physiological processes and allocation patterns of heavy metals (HMs) in poplars, especially under combined pollution. In our study, we used Populus deltoides as a model to investigate the effects of two levels of N addition (LN, 6 g N·m−2·a−1; HN, 12 g N·m−2·a−1) on growth, activities of antioxidant enzymes, profiles of low-molecular-weight organic acids, as well as accumulation and allocation of HMs among different organs and root orders under single Cd (30 mg kg−1) or Mn pollution (168.6 mg kg−1), and their combination. The effects of N addition depended on the dosage effects of N and the types of HMs. The combined pollution did not have more negative effects on overall growth and oxidative damage in the root tips of P. deltoides compared to single Cd or Mn pollution. Both levels of N deposition, especially LN, promoted growth in P. deltoides to varying extents under all HM pollution conditions. However, N addition only mitigated oxidative damage to the fine roots under Cd-containing pollution, which may be attributed to higher levels of low-molecular-weight organic acids such as citric acid and malic acid. In contrast, HN decreased the levels of key organic acids, such as lactic acid and pantothenic acid, potentially exacerbating Mn toxicity under Mn pollution. Both levels of N addition decreased the total amount of Cd accumulated in P. deltoides under Cd pollution alone but increased the accumulation of Cd in combined pollution (especially under LN). However, under Mn-containing pollution, the addition of N increased the accumulation of Mn and its transfer to leaves, potentially aggravating Mn toxicity. Therefore, N deposition, especially under HN, may lead to more severe HM stress for plants in soils polluted by combined Cd and Mn.
1. Introduction
With the rapid development of industry and agriculture, Cd pollution has become a major environmental concern, posing threats to ecological safety and the health of humans and animals due to its high toxicity []. Excessive Cd in cells can negatively affect various physiological, biochemical, molecular, and metabolic processes in plants. For example, it can lead to oxidative damage by promoting the overproduction of reactive oxygen species (ROS), which, in turn, causes protein denaturation, lipid peroxidation, and DNA damage []. To counteract Cd toxicity, plants employ mechanisms such as forming complexes through chelation with metallothioneins, phytochelins (PCs), and organic acids, and through sequestration []. On the other hand, Mn is the second most common trace element in the Earth’s crust, following iron (Fe) []. In the soil, most Mn exists as ferromanganese oxides and residual forms, with low biological activity []. However, environmental changes like N deposition and soil acidification can trigger the activation and release of Mn in the soil, which disrupts normal plant growth and physiological processes, thereby resulting in detrimental impacts on plant diversity, community structure, and ecosystem functioning [,]. To mitigate Mn toxicity, plants typically activate their antioxidant system, chelate Mn with organic compounds, and sequester it into subcellular compartments [].
Fast-growing woody plants, such as poplars, are proposed for potential application in phytoremediation due to their high biomass, perennial nature, long lifespan, high transpiration rate, and deep and highly branched root system compared to hyperaccumulator herbaceous plants [,]. Some poplars exhibit remarkable capabilities for HM enrichment and excellent tolerance to Cd. For example, Populus × canescens can accumulate nearly 200 mg kg−1 of Cd in their aerial tissues when exposed to 200 μM CdSO4 solution [], surpassing the critical value of Cd concentration in aboveground organs of hyperaccumulators. Although HM concentration in poplars is usually lower than that in hyperaccumulator plants, they can accumulate a larger total amount of HMs due to their larger size. For instance, Populus can annually extract 250 g Cd ha−1, whereas Thlaspi caerulescens can only extract about 125 g Cd ha−1 in soil contaminated with 7–8 kg Cd ha−1 []. Furthermore, compared to single pollution, multiple HM pollution can lead to mutual promotion in HM uptake by poplars, for example, the interaction of Pb and Zn in Chen et al. [], or mutual inhibition, as observed in the case of single Cd pollution and the coexistence of Cd, Cu, Pb, and Zn in Dos Santos Utmazian et al. []. However, limited research is available on the effects of combined pollution involving Mn and Cd on the uptake and allocation of HMs in poplars.
In recent years, the increasing global atmospheric N deposition has posed a serious threat to species richness and biodiversity in terrestrial ecosystems []. Long-term high inputs of N have been found to alter various ecological processes in soils, including soil acidification, reduced biologically available cations (especially Ca and Mg) in soils, and the release of metallic elements such as aluminum (Al) and Mn [,]. The toxic effects of Al and Mn resulting from soil acidification exert a negative impact on plant diversity, community composition, and ecosystem functioning []. However, for plants suffering from HM stress, short-term N deposition or appropriate N supply can effectively promote plant growth and positively modulate physiological processes []. It has been found to significantly regulate the Cd-responsive regulatory network and expression of stress-resistant proteins in poplars [], thereby enhancing the plant’s ability to detoxify HMs. In addition, the increase in N, particularly in the form of nitrate, generally enhances the uptake, translocation, and accumulation of Cd in plants []. Yi et al. [] found N deposition (6 g N·m−2·a−1 and 9 g N·m−2·a−1) could improve biomass and Cd accumulation to enhance the phytoremediation capacity of P. deltoides × P. nigra for Cd. However, there is limited research on the effects of N on the physiological processes and allocation patterns of poplars under combined pollution.
Populus deltoides is an important tree species that is widely cultivated in short rotation plantations worldwide []. Due to its superior tolerance and ability to accumulate HMs, P. deltoides is considered a suitable candidate for phytoremediation [,]. For instance, in a 5-month bioremediation experiment [], P. deltoides, assisted by rhizobacterium D14, removed 54% of As in 300 mg kg−1 As-amended soils. Nikolić et al. [] also found that P. deltoides showed excellent phytoextraction performance under Cd stress, with higher tolerance, undisturbed N metabolism, and increased Cd translocation to stems compared to P. × euramericana. In general, Cd is the most common soil HM pollutant, while Mn is one of the most abundant HM elements in soil. N deposition may alter chemical forms and bioavailabilities of these HMs, impacting phytoremediation processes and ecological safety. Therefore, in our study, we used P. deltoides as a model to investigate the accumulation, allocation, and physiological detoxification mechanisms of Cd and Mn under short-term N deposition. Our aim is to examine the effects of N deposition on the physiology and phytoremediation capacity of P. deltoides and to provide a theoretical basis for the application and N management of P. deltoides in areas polluted by HMs. Specifically, we propose the following scientific hypotheses: (1) Distinct patterns in Cd and Mn accumulation and distribution among P. deltoides organs exist between single pollution and combined pollution due to interactions between HMs. (2) Short-term N addition attenuates the toxicological effects induced by HMs, and there is a dose–response relationship between N deposition and its mitigating effect.
2. Materials and Methods
2.1. Experimental Design and Plant Materials
This experiment employed a completely randomized experimental design with three factors: two levels of Cd, two levels of Mn, and three levels of N addition, resulting in a total of 12 treatments. The experimental soil used was clean and free of Cd. Two levels of Mn pollution were included, consisting of a control without Mn addition and Mn pollution. Under control conditions, the total concentration of Mn in soils was 562 mg·kg−1, and the bioavailable concentration was 84.3 mg·kg−1. For the Mn elevation treatment, the amount of Mn added, namely, 168.6 mg·kg−1, was twice the available Mn concentration in the soil. MnCl2·4H2O was used as the exogenously added substance. Two levels of Cd pollution were included, consisting of an unpolluted control and Cd pollution (30 mg·kg−1). For the Cd pollution treatment, CdCl2·2.5H2O was prepared as an exogenous additive at a concentration of 25 μM, which was added to the soil to achieve the predetermined pollution level. After the addition of exogenous HMs to the soil, the soil was thoroughly mixed and equilibrated for three months.
Cylindrical planting bags with a diameter of 34 cm and a height of 28 cm were used for planting. Each planting bag was filled with 15 kg of homogenized soil corresponding to the respective treatment. Once annual P. deltoides cuttings in a seedbed reached approximately 10 cm in height, healthy cuttings with similar heights were selected for the experimental treatment, and one cutting was transplanted into each pot. Each treatment contained nine plants (three replicates, three cuttings per replicate). The experiment was conducted in a naturally illuminated greenhouse located at the Chengdu campus of Sichuan Agricultural University.
The exogenous N treatment was initiated on the 5th of June, one month after the cuttings were transplanted. Two elevated levels of N addition were established based on the average N deposition (12 g N m−2 a−1) in the Chengdu area during the last decade []: low N (LN, 6 g N·m−2·a−1) and high N (HN, 12 g N·m−2·a−1), corresponding to a 50% and 100% increase in the background value, respectively. A control group without N application was also included. NH4NO3 was used as the N source for N addition, and the total amount of N addition was determined based on the proportion of precipitation from June to September and the average inorganic N concentration in precipitation in the Chengdu area over the last decade. The N deposition amount was calculated based on the area of the upper facet of the planting pots. The monthly N addition was divided into eight equal portions, and N was added twice a week on average. For each N treatment, the required amount of N was dissolved in 300 mL of water and evenly applied to the soil surface of each pot. An equal amount of clean water was added as a control. Weeds and insects were controlled as needed during the experiment. The experimental treatment lasted for one growing season and ended at the end of September 2020.
2.2. Growth and Biomass Determination
At the end of the experiment, three cuttings from each treatment were randomly selected to determine growth indices and biomass accumulation. Prior to harvest, plant height and base diameter were measured. A laser leaf area meter (CI-203, CID Inc., Camas, WA, USA) was used to measure the total area of leaves of each cutting. The plants were then harvested and separated into roots, stems, and leaves. The stems and leaves were washed under running water to remove any dust and rinsed in deionized water. Biomass of stems and leaves was determined after drying at 70 °C for 48 h, following a predrying treatment at 105 °C for 30 min. Specific leaf area was calculated by dividing the leaf area by the leaf dry weight. The roots were gently removed and carefully cleaned with sterile water. They were then immersed in 20 mM Na-EDTA for 20 min to remove adsorbed and apoplastically bound metal ions from the root surface. The roots were graded using Pregitzer’s method []: the root tips at the first end were classified as the 1st order of roots, the parent roots of the 1st order of roots were classified as the 2nd order of roots, and so on. A total of five root orders were used for the roots, and they were weighed after drying. The 1st and 2nd orders of roots, which had similar morphological traits, physiology, and metabolic activity [], were combined for analysis.
2.3. Measurement of Membrane Lipid Peroxidation and Antioxidant Enzyme Activity
For each treatment, three cuttings were randomly selected to collect roots of 1st–2nd orders for the determination of membrane lipid peroxidation products (MDA) and antioxidant enzyme activities. Fresh root samples were quickly rinsed with deionized water at 4 °C and stored at −80 °C after collection. The extent of lipid peroxidation was evaluated based on the concentration of malondialdehyde (MDA) using the thiobarbituric acid (TBA) method, as described by Heath and Packer (1968). Briefly, fresh root samples (0.2 g) were homogenized in 1.5 mL of 10% (w/v) trichloroacetic acid (TCA) containing 0.25% (w/v) TBA. The mixture was then incubated in boiling water for 30 min, followed by rapid cooling in an ice bath. After centrifugation at 10,000× g for 10 min, the supernatant was collected, and its absorbance was measured at 532 nm. The MDA concentration was expressed as μmol g−1 fresh weight (FW) after normalization with fresh weight.
An amount of 0.2 g of fresh root samples was ground in liquid nitrogen. Then, 1% (w/v) polyvinyl pyrrolidone (PVP) and 5 mL of 0.5 mol L−1 potassium phosphate buffer (pH 6.8) were added, and the mixture was further ground to create a homogenate. Subsequently, the resulting mixture was centrifuged at 12,000× g at 4 °C for 20 min. Then, the supernatant (crude enzyme) was collected for the determination of antioxidant enzyme activity [].
To measure peroxidase (POD) activity, 80 μL of the crude enzyme solution was added to 3 mL of a reaction solution containing 50 mM Na2HPO4-NaH2PO4 phosphate buffer (pH = 7.8), 40 mM guaiacol, and 10 mM H2O2. A blank solution, consisting of 80 μL phosphate buffer and 3 mL of the reaction solution, was used to zero the spectrophotometer. The POD activity was determined by recording the increase in absorbance at 470 nm for 2 min using a spectrophotometer. The amount of enzyme required to produce 1 mmol of guaiacol oxide per minute was measured as one unit of POD activity, as described by Chen et al. [].
The activity of superoxide dismutase (SOD) in the supernatant was determined using the nitroblue tetrazolium (NBT) reduction method []. The reaction mixture consisted of 1.5 mL of 50 mM Na2HPO4-NaH2PO4 phosphate buffer (pH = 7.8), 0.3 mL of 150 mM L-methionine (MET), 0.1 mM EDTA, 20 μM riboflavin, 0.6 mL of 750 μM NBT, and 0.1 mL of the supernatant. A blank was prepared by replacing the supernatant with an equal volume of deionized water. The reaction solution was thoroughly mixed and exposed to 4000 lux light for 20 min. The absorbance of the liquid in the test tube was measured at 560 nm, and the SOD activity in the leaves was calculated based on the absorbance value. One unit of SOD activity (U g−1 FW) was defined as the amount of enzyme required to inhibit 50% of NBT photoreduction.
2.4. Analysis of Organic Acids in Fine Roots
The chromatographic conditions used for organic acid determination were as follows: Acquity UPLC BEH C18 column (2.1 mm × 100 mm, 1.7 μm; Waters Corp., Milford, MA, USA); mobile phase A, water (containing 0.1% formic acid); mobile phase B, methanol (containing 0.1% formic acid); flow rate of 0.4 mL min−1; column temperature set at 40 °C; injection volume of 5 μL. The gradient elution system was operated as follows: 10%–30% B (0–3 min); 30%–50% B (3–5 min); 50%–90% B (5–7 min); hold at 90% B (7–9 min); 90%–30% B (9–12 min); 30%–10% B (12–13 min). Eleven types of organic acids with known concentrations were diluted in a 30% methanol solution (containing 0.1% formic acid) to create a series of mixed standard solutions. These solutions were used for LC-MS analysis to generate standard curves of organic acids.
2.5. Enrichment and Allocation of Cd and Mn in P. deltoides
The dried plant organs were ground into a powder and passed through a 100-mesh sieve. A 0.1 g plant sample was added to 7 mL of a HNO3-HF solution (5:1, v/v) for digestion in a microwave digestion system (CEM Mars 5, CEM Corp., Matthews, NC, USA). The digested solutions were diluted to a final volume of 50 mL by adding deionized water. The concentrations of Cd2+ and Mn2+ in the solution were measured using a flame atomic absorption spectrophotometer (AA7000, Shimadzu, Kyoto, Japan). The concentrations of Cd2+ and Mn2+ in the plant samples were calculated based on the dried mass per kg−1, and the accumulated amounts of Cd2+ and Mn2+ in each organ were calculated by multiplying the concentrations of each HM with the biomass.
The bioaccumulation factor (BCF) was calculated as the ratio of average concentration of HMs in plant roots to that in the soil, which could reflect the capacity of plants to enrich HMs. The translocation factor (TF) for HMs was calculated as the ratio of the average concentration of HMs in plant shoots to that in plant roots.
2.6. Statistical Analysis
All data were statistically analyzed using SPSS 26.0 software. One-way analysis of variance (ANOVA) was conducted for all parameters, and multiple comparisons between the means of different treatments were analyzed using Tukey’s test at a significance level of α = 0.05. Three-way analyses of variance (ANOVA) were employed to test the overall effects of N, Cd, and Mn on growth, physiological, and biochemical parameters. Normality and homogeneity of variances were assessed for all data, and log transformations were applied to correct deviations from these assumptions when needed.
3. Results
3.1. Effects of N Addition on Growth and Biomass of P. deltoides under Cd and Mn Pollution
Based on ANOVA, N deposition as an independent factor significantly affected stem biomass, root biomass, and total biomass. Cd pollution as an independent factor significantly affected plant height, leaf biomass, stem biomass, total biomass, and R/S. Mn pollution as an independent factor significantly affected basal diameter, plant height, leaf area, leaf biomass, stem biomass, root biomass, total biomass, and R/S (Table S1). In comparison to the control, Cd pollution alone did not have a significant effect on all parameters related to growth and biomass accumulation (Table 1). However, single Mn pollution significantly decreased all parameters except for root biomass and R/S. Under combined pollution, the growth status of P. deltoides was slightly better than that under single Mn pollution, particularly in terms of plant height. Both levels of N addition did not have a significant effect on the growth and biomass accumulation of P. deltoides when compared to the control. When exposed to HM pollution (including single Cd, single Mn, and the combined treatment), both LN and HN slightly promoted growth and biomass accumulation, with a higher increase occurring under LN treatment. Particularly, LN significantly enhanced both stem biomass and total biomass under various pollution conditions.

Table 1.
Morphological growth, biomass accumulation, and allocation in different pollution treatments under different levels of N deposition.
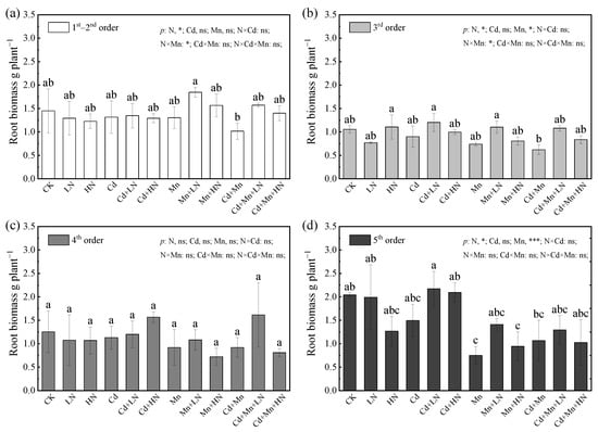
Based on ANOVA (Figure 1), N deposition as an independent factor significantly affected the biomass of all root orders except for the 4th root order. Mn pollution as an independent factor significantly affected the biomass of the 3rd and the 5th root orders. In addition, the biomass of the first three root orders was significantly affected by the interactive effect of N deposition and Mn pollution. Compared to the control, both single Cd pollution and the combined pollution did not significantly affect the biomass of all root orders in P. deltoides (Figure 1). Single Mn pollution did not significantly affect the biomass of the first four orders of roots but significantly reduced the biomass of the 5th order of roots. Under nonpolluted conditions, both levels of N addition did not have a significant effect on the biomass of all root orders. Under single Cd pollution, both levels of N addition did not significantly affect the biomass of the first four orders of roots but slightly increased the biomass of the 5th order of roots, particularly in the LN treatment. Under single Mn pollution, LN addition slightly increased the biomass of all orders of roots except for the 4th root order. Under the combined pollution, both N addition treatments slightly increased the growth of the first three orders of roots.

Figure 1.
The effects of N addition, Cd pollution, and Mn pollution on the biomass of different root orders in Populus deltoides. (a) The 1st–2nd-order root biomass; (b) the 3rd-order root biomass; (c) the 4th-order root biomass; and (d) the 5th-order root biomass. Different lowercase letters above the bars represent significant differences between the treatments according to Tukey’s test (p < 0.05). Values are given as mean ± SE (n = 3). The significance of ANOVA: N, the effect of N deposition; Cd, the effect of Cd pollution; Mn, the effect of Mn pollution; N × Cd, the interactive effect of N deposition and Cd pollution; N × Mn, the interactive effect of N deposition and Mn pollution; Cd × Mn, the interactive effect of Cd pollution and Mn pollution; N × Cd × Mn, the interactive effect of N deposition, Cd pollution, and Mn pollution. ns, not significant; * p < 0.05, *** p ≤ 0.001.
3.2. Effects of N Addition on Activities of Antioxidant Enzymes and MDA of P. deltoides under Cd and Mn Pollution
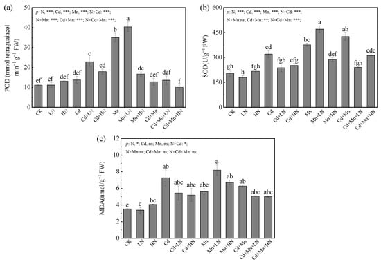
The POD activity in the first two orders of roots of P. deltoides significantly increased under Mn pollution alone but not under Cd pollution alone or under their interaction. Under Cd pollution and Mn pollution alone, LN increased the POD activity in the first two orders of roots by 65.70% and 15.11%, respectively. However, no significant effect of N addition on POD activity was observed under combined pollution (Figure 2a). Additionally, the POD activity was significantly affected by N, Cd, and Mn as independent factors, their pairwise interactions, and the interaction of the three factors (Figure 2a).

Figure 2.
The effects of N addition, Cd pollution, and Mn pollution on activities of antioxidant enzymes ((a) POD activity; (b) SOD activity) and membrane lipid peroxidation level as indicated by MDA content (c) in 1st–2nd orders of roots of Populus deltoides. Different lowercase letters above the bars in a–h represent significant differences between the treatments according to Tukey’s test (p < 0.05). Values are given as mean ± SE (n = 3). The significance of ANOVA: N, the effect of N deposition; Cd, the effect of Cd pollution; Mn, the effect of Mn pollution; N × Cd, the interactive effect of N deposition and Cd pollution; N × Mn, the interactive effect of N deposition and Mn pollution; Cd × Mn, the interactive effect of Cd pollution and Mn pollution; N × Cd × Mn, the interactive effect of N deposition, Cd pollution, and Mn pollution. ns, not significant; * p < 0.05, ** 0.01 ≤ p < 0.01, and *** p ≤ 0.001.
The activity of SOD showed significant increases of 55.78%, 83.09%, and 107.30% under single Cd pollution, single Mn pollution, and their interaction, respectively, compared to the control. Two levels of N addition significantly decreased SOD activity under single Cd pollution. Under Mn pollution alone, the activity of SOD in roots of the 1st–2nd order was induced when exposed to LN, while HN significantly decreased SOD activity. Under the combined pollution, the activity of SOD decreased by 43.51% and 26.65% under LN and HN, respectively (Figure 2b). In addition, the activity of SOD was significantly affected by N, Cd, and Mn as independent factors, as well as by interactions of N × Cd, Cd × Mn, and the interaction of the three factors (Figure 2b).
Compared to the control, the concentration of MDA significantly increased in Cd pollution alone and in combined pollution (Figure 2c), whereas the concentration of MDA did not change significantly in the first two orders of roots under single Mn pollution. Compared to single Cd or Mn pollution, the MDA content in roots of 1–2 order did not change significantly under combined pollution. Under both single Cd pollution and combined pollution, both levels of N addition reduced the content of MDA to some extent, making them not significantly different from that under control conditions. Under single Mn pollution, both levels of N addition increased the content of MDA to different degrees, especially LN. Additionally, MDA content was significantly affected by N as an independent factor and by the interactions of N × Cd.
3.3. Effects of N Addition on Concentrations of Organic Acids in Roots of P. deltoides under Cd and Mn Pollution
According to Table 2, compared to the control, under Cd pollution alone, the content of lactic acid, succinic acid, fumaric acid, malic acid, citric acid, glucuronic acid, pantothenic acid, L-pyroglutamic acid, and 3-hydroxy-3-methylglutamic acid in roots of the 1st–2nd orders significantly increased. Among them, malic acid and citric acid had the highest content and the largest increase. Compared to the control, under single Mn pollution, the content of lactic acid, malonic acid, glucuronic acid, pantothenic acid, and L-pyroglutamic acid significantly increased. Under single Mn pollution, lactic acid and pantothenic acid had the highest content in fine roots, showing an increase by 56.54% and 43.10%, respectively, compared to the control, while the content of fumaric acid, malic acid, and citric acid decreased by 51.81%, 51.20%, and 65.02%, respectively, when compared to the control. Under combined pollution conditions, the content of lactic acid, glucuronic acid, pantothenic acid, niacin, L-pyroglutamic acid, and 3-hydroxy-3-methylglutamic acid significantly increased. Among them, lactic acid and pantothenic acid had the highest content, and the combined pollution significantly decreased the content of citric acid.

Table 2.
Effects of N addition, Cd pollution, and Mn pollution on the concentrations of low-molecular-weight organic acids in the 1st–2nd orders of roots of Populus deltoides.
Based on the results of multiple comparisons (Table 2), roots of the 1st–2nd orders under the Cd + LN condition had significantly higher levels of fumaric acid, malic acid, citric acid, and pantothenic acid compared to those under Cd pollution alone. In contrast, roots of the 1st–2nd orders under Cd + HN showed lower levels of lactic acid and citric acid but higher levels of succinic acid, fumaric acid, and pantothenic acid in comparison to Cd pollution alone. On the other hand, roots under Mn + LN displayed decreased levels of lactic acid compared to those under Mn pollution alone. In contrast, roots under Mn + HN exhibited reduced levels of lactic acid, succinic acid, citric acid, malonic acid, glucuronic acid, L-pyroglutamic acid, and 3-hydroxy-3-methylglutamic acid compared to Mn pollution alone. In addition, Cd + Mn + LN significantly decreased the content of lactic acid and 3-hydroxy-3-methylglutamic acid in fine roots while increasing the content of malic acid, glucuronic acid, and pantothenic acid when compared to the Cd + Mn treatment. Conversely, Cd + Mn + HN significantly lowered the content of succinic acid, fumaric acid, malic acid, citric acid, malonic acid, pantothenic acid, and 3-hydroxy-3-methylglutamic acid in fine roots when compared to the combined pollution alone.
Based on ANOVA (Table S2), lactic acid, succinic acid, fumaric acid, malic acid, citric acid, glucuronic acid, pantothenic acid, and 3-hydroxy-3-methylglutamic acid were significantly affected by N addition, Cd pollution, and Mn pollution as independent factors. Malonic acid was significantly influenced by N addition and Mn pollution as independent factors. Niacin was significantly affected by Mn pollution as an independent factor. L-pyroglutamic acid was significantly influenced by Cd and Mn pollution as independent factors.
3.4. Effects of N Addition on Cd Concentration in P. deltoides
Both Cd and Mn concentrations in the root system gradually decreased with an increase in root order, with the highest Cd concentration observed in roots of the first two orders across all treatments. No Cd was detected in the treatments without Cd addition. Compared to Cd pollution alone, combined pollution reduced the Cd concentration in the roots of the first two orders but increased it in roots of the 4th and 5th orders. Under Cd pollution conditions, both LN and HN decreased the Cd concentration in roots of the first two orders by 8.26% and 16.99%, respectively. Under combined pollution conditions, LN significantly increased Cd concentration in roots of the first two orders, while HN treatment significantly decreased Cd concentration in roots of the first two orders. In addition, both LN and HN significantly reduced Cd concentration in roots of the 3rd, 4th, and 5th orders under combined pollution (Figure 3a).

Figure 3.
The effects of N addition, Cd pollution, and Mn pollution on Cd concentration (a,c) and accumulation (b,d) in root orders, stems, and leaves of Populus deltoides. Different lowercase letters above the bars in a–d represent significant differences between the treatments according to Tukey’s test (p < 0.05).
Compared to single Cd pollution, combined pollution led to a significant increase in Cd concentration in the stems, while no significant increase was observed in the leaves (Figure 3c). Under single Cd pollution conditions, both LN and HN treatments significantly reduced the Cd concentration in the stems by 41.67% and 43.38%, respectively, and also decreased Cd concentration in the leaves by 35.82% and 40.75%, respectively. However, the Cd + Mn + LN and Cd + Mn + HN treatments only induced a significant decrease in Cd concentration in the stems by 30.55% and 25.29%, respectively, compared to the Cd + Mn treatment, while there was no significant effect of N addition on Cd concentration in the leaves.
In addition, Cd concentration in all root orders (except 1st–2nd-order roots), stems, and leaves was significantly affected by N and Mn as independent factors and their interactions except for Cd concentration in stems, which was not significantly affected by the interaction of N and Mn (Table S3).
3.5. Effects of N Addition on Cd Accumulation in P. deltoides
Cd accumulation in the roots decreased with increasing root order in all treatments with Cd pollution, and the highest Cd accumulation was observed in the roots of the first two orders. Compared to single Cd pollution, Cd accumulation in the first three orders of roots decreased significantly, while Cd accumulation in the 4th and the 5th orders of roots increased under the combined pollution. Under single Cd pollution, LN significantly reduced the Cd accumulation in roots of the 3rd and 5th orders, while HN significantly reduced the Cd accumulation in roots of the first two orders but significantly increased the Cd accumulation in the other orders of roots. Under the combined pollution, LN increased Cd accumulation in roots of the first two orders and the 4th order but decreased Cd accumulation in the 5th order (Figure 3b). Similarly, HN also increased Cd accumulation in roots of the first two orders but significantly reduced Cd accumulation in the remaining orders of roots.
The accumulated amount of Cd in the stems and leaves of P. deltoides under combined pollution was significantly lower than that under Cd pollution (Figure 3d). Under single Cd pollution, LN and HN significantly reduced Cd accumulation in the stems of poplar by 37.54% and 48.32%, respectively, and reduced Cd accumulation in the leaves by 24.61% and 48.11%, respectively. Under combined pollution, N addition had no significant effect on Cd accumulation in the stems (Figure 3d), while Cd accumulation in leaves under LN and HN increased by 35.39% and 39.44%, respectively (Figure 3d).
When compared to single Cd pollution, the total Cd accumulated in P. deltoides was remarkably reduced by 25.35% under the interactive pollution. Under Cd pollution alone, the total accumulated Cd decreased by 26.01% and 39.21% with the addition of LN and HN, respectively. However, under the interactive pollution, LN and HN induced a significant increase in the total accumulated Cd by 27.59% and 15.10%, respectively (Figure 4a). In addition, the amount of Cd accumulated in the stem was significantly affected by N as an independent factor. The amount of Cd accumulated in the 3rd-order roots was significantly affected by Mn as an independent factor. The interaction of N × Mn significantly affected the amount of Cd accumulated in the 1st–2nd orders of roots, stems, and leaves, and the total amount of Cd accumulated in P. deltoides (Table S3, Figure 4a).

Figure 4.
The effects of N addition, Cd pollution, and Mn pollution on total amount of Cd (a) and Mn (b) accumulated in Populus deltoides. Different lowercase letters above the bars in a and b represent significant differences between the treatments according to Tukey’s test (p < 0.05). Values are given as mean ± SE (n = 3). The significance of ANOVA: N, the effect of N deposition; Cd, the effect of Cd pollution; Mn, the effect of Mn pollution; N × Cd, the interactive effect of N deposition and Cd pollution; N × Mn, the interactive effect of N deposition and Mn pollution; Cd × Mn, the interactive effect of Cd pollution and Mn pollution; N × Cd × Mn, the interactive effect of N deposition, Cd pollution, and Mn pollution. ns, not significant; * p < 0.05, ** 0.01 ≤ p < 0.01, and *** p ≤ 0.001. “/” indicates that corresponding parameters were not calculated.
3.6. Effects of N Addition on Mn Concentration in P. deltoides
Mn was detected in all plants under all treatments, with the highest concentration detected in the first two orders of roots. Compared to single Mn pollution, the combined pollution led to a decrease in the Mn concentration in all root orders (except for the 4th order). Under single Mn pollution conditions, LN significantly reduced the Mn concentration in all root orders (except for the 4th order), while HN significantly reduced Mn concentration in roots of the 3rd and 5th orders. Under the combined pollution, LN addition significantly reduced the Mn concentration in all root orders, while HN addition significantly increased the Mn concentration in roots of the 4th order and decreased it in the 5th order, with no significant effect on the Mn concentration in roots of other orders (Figure 5a).

Figure 5.
The effects of N addition, Cd pollution, and Mn pollution on Mn concentration (a,c) and accumulation (b,d) in root orders, stems, and leaves of Populus deltoides. Different lowercase letters above the bars in a–h represent significant differences between the treatments according to Tukey’s test (p < 0.05).
Compared to single Mn pollution, the Mn concentration in the stems significantly decreased under the combined pollution (Figure 5c). Under single Mn pollution, LN and HN decreased Mn concentration in the stems by 29.40% and 34.75%, respectively. However, LN and HN addition increased Mn concentration in the stems by 41.14% and 35.64%, respectively, under the combined pollution. Compared to single Mn pollution, the combined pollution induced a significant decrease in Mn concentration in the leaves (Figure 5c). Under single Mn pollution, LN and HN resulted in an increase in Mn concentration in leaves by 47.28% and 56.47%, respectively. Under the combined pollution, LN and HN resulted in a decrease in Mn concentration in leaves by 17.91% and 60.38%, respectively.
In addition, Mn concentration in all root orders, stems, and leaves was significantly affected by N, Cd, and Mn as independent factors, their pairwise interactions, and the interaction of the three factors. However, Mn concentration in roots of the first two orders was not significantly affected by Cd as an independent factor and the interaction of N, Cd, and Mn. Mn concentration in roots of the 3rd order was not significantly affected by the interaction of N and Cd. Mn concentration in roots of the 5th order was not significantly affected by Cd as an independent factor. Furthermore, Mn concentration in stems was not significantly affected by N as an independent factor (Table S3).
3.7. Effects of N Addition on Mn Accumulation in P. deltoides
The amount of Mn accumulated in the first three orders of roots significantly decreased under the interactive pollution compared to Mn pollution alone. Under single Mn pollution, the LN treatment significantly increased the accumulated amount of Mn in the 3rd order of roots without affecting the accumulated amount in other root orders. However, the HN treatment remarkably increased Mn accumulation in the first two orders of roots but decreased the amount of Mn in both the 4th and 5th orders of roots. Under combined pollution, LN addition increased the amount of Mn accumulated in all root orders except for the 5th order of roots, while HN increased the amount of Mn accumulated in the first three orders of roots but decreased it in the 5th order of roots (Figure 5b).
The accumulated amount of Mn in both stems and leaves of P. deltoides under the combined pollution decreased significantly compared to Mn pollution alone. Under single Mn pollution, LN significantly increased the accumulated amount of Mn in the stems of P. deltoides by 49.13%, while LN and HN significantly increased the accumulated amount of Mn in the leaves by 77.08% and 61.85%, respectively. Under interactive pollution, both LN and HN significantly increased the accumulated amount of Mn in the stems by 139.29% and 102.60%, respectively (Figure 5d), while LN and HN induced increases in the accumulated amount of Mn in leaves by 73.03% and 108.27%, respectively (Figure 5d).
Compared to Mn pollution alone, the total amount of Mn accumulated in P. deltoides significantly decreased under combined pollution. Under Mn pollution alone, LN and HN treatments significantly increased the total amount of Mn by 58.48% and 40.65%, respectively. LN and HN induced an increase in the total amount of Mn by 82.88% and 93.47% under interactive pollution, respectively (Figure 4b).
In addition, Mn as an independent factor significantly affected Mn amount accumulated in all organs or root orders, as well as the total amount of Mn accumulated in P. deltoides (Table S3, Figure 4b). The Mn amount accumulated in the first three orders of roots, stems, and leaves was significantly affected by N as an independent factor. Cd as an independent factor significantly affected roots of the 1st–2nd, 4th, and 5th orders and leaves.
3.8. Effects of N Addition on Enrichment and Allocation of HMs in P. deltoides
Compared to Cd pollution alone, combined pollution significantly increased BCFCd by 33.18% and TFCd by 19.05%. Under Cd pollution alone, LN decreased BCFCd by 15.45%, while HN increased BCFCd by 5.45%. LN and HN significantly reduced TFCd by 23.81% and 38.10%, respectively. Under combined pollution, both LN and HN significantly decreased BCFCd, while HN significantly increased TFCd by 24.00% (Table 3). Additionally, BCFCd was significantly affected by Mn as an independent factor. TFCd was significantly affected by Mn as an independent factor, as well as by the interaction of N and Mn (Table S4).

Table 3.
The effects of N addition, Cd pollution, and Mn pollution on the bioaccumulation factor (BCF) and translocation factor (TF) for Cd and Mn.
Compared to the control, Mn pollution significantly increased the BCFMn by 195.83% but had no significant effect on TFMn. The combined pollution significantly reduced BCFMn by 22.54% and TFMn by 28.85% compared to single Mn pollution, respectively. LN decreased BCFMn by 34.51% and 25.45% under single Mn pollution and combined pollution, respectively. However, HN decreased BCFMn by 16.90% under single Mn pollution without significantly affecting BCFMn under combined pollution. Both levels of N addition promoted TFMn of P. deltoides under Mn pollution alone, with the highest increase proportion (71.15%) observed under LN treatment. LN and HN increased the TFMn under interactive pollution, with an increase of 48.65% and 51.35%, respectively (Table 3). Additionally, BCFMn was significantly affected by Mn as an independent factor, as well as by the interaction of N × Mn and Cd × Mn. Moreover, TFMn was significantly affected by N, Cd, and Mn as independent factors, their pairwise interactions (except for N × Cd), and the interaction of the three factors (Table S4).
4. Discussion
Poplar trees, with the largest cultivated area in China, are highly favored due to their fast growth, short rotation period, and strong ecological adaptability. A large number of studies have demonstrated their strong growth adaptation to soils contaminated with HMs. For example, Komárková et al. [] found that exposure to a 100 μM CdCl2 solution for ten days did not significantly affect the growth of P. × canescens. Low levels of HM pollution, such as 0.5 or 1 mg kg−1 Cd in soils, did not have a negative impact on the growth of P. alba, and in some cases, these levels even promoted growth and biomass accumulation []. In this study, soils contaminated with 30 mg kg−1 Cd did not exert significantly negative effects on the growth and biomass accumulation of P. deltoides after a growth season, indicating its strong tolerance to Cd pollution. However, exposure to supplementation of Mn at a dose of 168.6 mg kg−1 resulted in a decrease in all growth-related parameters except for root biomass, suggesting toxic effects from Mn exposure. Similarly, Lei et al. [] found that 0.1 mM in hydroponics for three months significantly reduced the growth and biomass of P. cathayana. Compared to single Mn pollution, P. deltoides exhibited better growth under combined pollution, as evidenced by relatively higher plant height, basal diameter, leaf biomass, stem biomass, and total biomass. Similar antagonistic effects between HMs were observed in Li et al. and Kou et al. [,]. Furthermore, we found LN, rather than HN, significantly promoted stem biomass and total biomass under both single and combined pollution, suggesting that appropriate N supply can alleviate the negative effects of HM pollution on the growth of poplars, which aligns with the findings of Yotsova et al. []. This may be because optimal N supply can alleviate subcellular damage induced by HMs, optimize N allocation towards the water-soluble fraction responsible for C fixation, and promote photosynthesis and productivity [,].
MDA is a direct indicator of membrane lipid peroxidation []. In our study, the combined pollution did not further increase MDA concentration compared to single pollution, suggesting no additional damage to the root system from interactive pollution. This finding is consistent with the results from previous studies on poplars exposed to Pb and Zn [] and Lupinus albus exposed to Mn and Cd []. Under both single Cd pollution and the combined pollution, both LN and HN treatments reduced MDA concentration to some extent, indicating that N addition can alleviate oxidative stress caused by HMs. Similarly, previous studies have shown that N application can mitigate HM toxicity by increasing the activity of antioxidant enzymes, repairing the PSII reaction center, and reducing lipid peroxidation [,]. Adequate N supply can be used to synthesize more detoxifying proteins that form complexes with the toxic ions of HMs, facilitating ion sequestration in vacuoles []. However, under single Mn pollution, both levels of N addition increased the MDA concentration to varying extents. It should be noted that although both levels of N deposition reduced the Mn concentration in roots, they significantly promoted Mn transfer towards the leaves, potentially intensifying Mn toxicity. Thus, it is predicable that Mn toxicity should be given more attention in the context of increasing N deposition. On the other hand, in our study, correlation analysis indicated a positive correlation between the MDA concentration in roots of P. deltoides and the activities of SOD and POD. This suggests that both enzymes are induced by ROS and play an important role in scavenging ROS. However, under different HM pollution conditions, the impact of N addition on the activities of antioxidant enzymes did not yield similar results. For example, under single Cd pollution, N addition (especially LN) increased the activity of POD but reduced the activity of SOD. In contrast, under single Mn pollution, N addition exhibited a dosage effect on the activity of POD and SOD, which aligns with the findings of Li et al. []. Therefore, it can be concluded that the effects of N addition on antioxidant systems are contingent upon the dosage of N and the specific HMs present.
Low-molecular-weight organic acids synthesized in root cells play a crucial role in chelating HM ions []. Several organic acids in root cells, especially citric acid, malic acid, and oxalic acid, can bind to HM ions, converting them into less toxic complexes [,]. In general, the responses in low-molecular-weight organic acids depend on the types of HMs and exhibit species-specific patterns. For example, the increase in malic acid content was the most significant in roots of maize under Cd stress conditions []. In contrast, Catharanthus roseus primarily synthesizes oxalic acid to mitigate Pb toxicity []. In our study, the content of several organic acids, including lactic acid, succinic acid, fumaric acid, malic acid, citric acid, glucuronic acid, pantothenic acid, L-pyroglutamic acid, and 3-hydroxy-3-methylglutamic acid in roots of the 1st–2nd orders significantly increased under Cd pollution alone, with the highest increment observed for malic acid and citric acid. In contrast, unlike the response in the profiles of low-molecular-weight organic acids under single Cd treatment, the content of citric acid, fumaric acid, malic acid, and citric acid significantly decreased, while the content of lactic acid, malonic acid, glucuronic acid, pantothenic acid, and L-pyroglutamic acid significantly increased under Mn pollution alone. Lactic acid and pantothenic acid, with the largest increase, may play an important role in chelating Mn ions to reduce Mn toxicity. Furthermore, the addition of N altered the profiles of low-molecular-weight organic acids in the roots of P. deltoides under HM pollution, possibly due to changes in metal concentration within the fine roots after N addition. Specifically, under Mn-containing treatment conditions, HN significantly reduced the content of several organic acids in the fine roots, especially succinic acid, malic acid, and pantothenic acid, which may not be beneficial for the detoxification of HMs.
Allocation of more HM ions to inactive tissues, organs, or organelles can help plants adapt to soils contaminated by HMs []. In our study, the concentrations of Cd and Mn in the roots of P. deltoides were the highest among all organs, which is consistent with previous findings []. Similar to the findings of Wang et al. [] and Guo et al. [], in our study, the concentrations of both Cd and Mn decreased with increasing root orders, with the highest concentration detected in the roots of the first two orders. This is probably due to the larger specific root length and surface area of the 1st- and 2nd-order roots compared to other root orders, which confer upon them stronger absorption capacity []. The abundant exudates from roots of lower orders can chelate HM ions efficiently and thus precipitate them on cell walls, thereby restricting the transfer of HM ions within the root system []. Additionally, the Casparian strip can hinder the migration of HM ions from the absorbing roots to higher-order roots []. However, although the concentration of Cd in the aboveground parts was much lower than in the root system, the higher aboveground biomass relative to root biomass facilitated a greater accumulation of Cd in the aboveground parts. In contrast, in the case of single Mn pollution, besides the roots, Mn concentration in the leaves of P. deltoides was very high, indicating that both roots and leaves are the major organs for Mn accumulation in poplar trees, which was also observed in P. cathayana []. In addition, compared to the single Cd or Mn pollution, the concentration, accumulation, and total accumulated amount of both Cd and Mn in most root orders or organs of P. deltoides significantly decreased under combined pollution (except for the 4th and 5th orders of roots). This may be because during the process of Mn and Cd absorption in root cells, they may utilize the same transport pathway or transport proteins, such as Nramp and ZIP transporter gene families [,], leading to competition for their uptake [].
N deposition can impact the enrichment of HMs in plants by altering the availability of HMs through a decrease in soil pH and modulating physiological processes that affect HM absorption []. In our study, short-term N addition did not significantly affect the pH value or chemical forms of HMs in the rhizosphere, suggesting that the effect of N addition on HM enrichment primarily occurred through alterations in metabolic activities related to HM uptake and growth reactions. Under Cd pollution alone, N deposition in this study resulted in a decrease in the total amount of Cd accumulated in P. deltoides. These results differ from previous studies that showed N deposition could significantly enhance Cd uptake by plants [,]. This discrepancy may be attributed to variations in N dosage or application periods. However, under combined pollution, both levels of N addition increased the total amount of Cd accumulated in P. deltoides due to the increase in biomass. Additionally, both levels of N addition promoted the total amount of Mn accumulated in P. deltoides under Mn-containing treatments, which is consistent with the findings of Li et al. [].
BCF and TF can reflect the capacity of plants to absorb HMs and their ability to transport them to the aboveground parts, respectively. In this study, under single Cd pollution, both levels of N addition led to a varying degree of decrease in Cd concentration in most organs or root orders of P. deltoides, as well as a decrease in its migration to the aboveground parts, indicated by the decrease in TF of Cd. Consequently, both levels of N addition, especially LN, decreased the total amount of Cd accumulated in P. deltoides, thereby reducing the toxicity of Cd. Under single Mn pollution, both levels of N addition resulted in a varying degree of reduction in Mn concentration in some root orders and stems of P. deltoides, while increased Mn concentration in the leaves. This response to N addition led to a decrease in BCFMn but an increase in the TFMn, which increased the occurrence of Mn toxicity. Due to the promotion of biomass in all organs under N addition, especially LN, both levels of N addition stimulated the overall accumulation of Mn. Similar to our findings, Li et al. [] discovered that N application reduced Mn concentration in the roots of Camellia oleifera while promoting its accumulation in the leaves. Moreover, under combined pollution, both levels of N addition decreased the BCF of Cd and Mn in the roots but promoted their translocation to the aboveground parts, particularly under HN. Therefore, in soils exposed to combined pollution of Cd and Mn, high N deposition may result in more severe HM stress.
5. Conclusions
In this study, compared to single pollution, combined pollution did not exert an additive or synergistic negative impact on the growth and physiology of P. deltoides. In all pollution conditions, both levels of N addition promoted growth of P. deltoides to varying extents, especially LN. For pollution containing Cd, including single pollution and combined pollution, N addition was beneficial in mitigating oxidative damage to the fine roots. Under different pollution conditions, there were variations in the profile of low-molecular-weight organic acids, and HN decreased the content of certain key organic acids, such as lactic acid and pantothenic acid, which might exacerbate Mn toxicity. In the case of single Cd pollution, N addition (especially HN) reduced accumulation efficiency of Cd, but N addition increased the accumulation ability of Cd in combined pollution (especially LN). Under Mn-containing pollution, N addition promoted Mn accumulation, especially LN. Therefore, P. deltoides exhibits a strong tolerance to Cd pollution, and N deposition may reduce its efficiency in accumulating Cd. In contrast, in Mn-containing pollution, N deposition could stimulate growth of P. deltoides and increase the efficiency of Mn and/or Cd accumulation, but it also can promote the transfer of Cd and Mn to the aboveground parts (especially in the HN condition), thereby increasing the likelihood of Mn toxicity.
Supplementary Materials
The following supporting information can be downloaded at: https://www.mdpi.com/article/10.3390/f14091707/s1, Table S1: The significance testing for the effects of N addition, Cd and Mn pollution and their interaction on morphological growth, biomass accumulation, and allocation; Table S2: The significance testing for the effects of N addition, Cd and Mn pollution and their interaction on the concentrations of low-molecular-weight organic acids in the 1st–2nd order roots of Populus deltoides; Table S3: The significance testing for the effects of N addition, Cd and Mn pollution and their interaction on Cd and Mn concentrations, as well as their amount accumulated in various root orders, stems and leaves; Table S4: The significance testing for the effects of N addition, Cd and Mn pollution and their interaction on BCFCd and TFCd in Populus deltoides.
Author Contributions
X.W. (Xue Wang): conceptualization, methodology, investigation, writing—original draft. L.H.: conceptualization, methodology, formal analysis. J.M.: methodology, resources. M.Y.: supervision, resources. C.X.: supervision. X.W. (Xueqin Wan): visualization. F.Z.: resources, project administration. H.Y.: formal analysis. F.H.: data analysis. H.H.: data analysis. L.C.: resources, writing—review and editing. All authors have read and agreed to the published version of the manuscript.
Funding
This research was funded by the Sichuan Science and Technology Program (2021YFYZ0032-06).
Data Availability Statement
The data presented in this study are available on request from the corresponding author.
Conflicts of Interest
The authors declare no conflict of interest.
References
- Hao, L.; Chen, L.; Zhu, P.; Zhang, J.; Zhang, D.; Xiao, J.; Xu, Z.; Zhang, L.; Liu, Y.; Li, H.; et al. Sex-Specific Responses of Populus deltoides to Interaction of Cadmium and Salinity in Root Systems. Ecotoxicol. Environ. Saf. 2020, 195, 110437. [Google Scholar] [CrossRef]
- Bora, M.S.; Gogoi, N.; Sarma, K.P. Tolerance Mechanism of Cadmium in Ceratopteris pteridoides: Translocation and Subcellular Distribution. Ecotoxicol. Environ. Saf. 2020, 197, 110599. [Google Scholar] [CrossRef] [PubMed]
- Huang, X.; Duan, S.; Wu, Q.; Yu, M.; Shabala, S. Reducing Cadmium Accumulation in Plants: Structure-Function Relations and Tissue-Specific Operation of Transporters in the Spotlight. Plants 2020, 9, 223. [Google Scholar] [CrossRef] [PubMed]
- Geszvain, K.; Butterfield, C.; Davis, R.E.; Madison, A.S.; Lee, S.-W.; Parker, D.L.; Soldatova, A.; Spiro, T.G.; Luther, G.W., III; Tebo, B.M. The Molecular Biogeochemistry of Manganese(II) Oxidation. Biochem. Soc. Trans. 2012, 40, 1244–1248. [Google Scholar] [CrossRef] [PubMed]
- Bai, Y.; Zhou, Y.; Gong, J. Physiological Mechanisms of the Tolerance Response to Manganese Stress Exhibited by Pinus massoniana, a Candidate Plant for the Phytoremediation of Mn-Contaminated Soil. Environ. Sci. Pollut. Res. 2021, 28, 45422–45433. [Google Scholar] [CrossRef]
- Nagajyoti, P.C.; Lee, K.D.; Sreekanth, T.V.M. Heavy Metals, Occurrence and Toxicity for Plants: A Review. Environ. Chem. Lett. 2010, 8, 199–216. [Google Scholar] [CrossRef]
- Tian, Q.; Liu, N.; Bai, W.; Li, L.; Chen, J.C.; Reich, P.B.; Yu, Q.; Guo, D.; Smith, M.D.; Knapp, A.K.; et al. A Novel Soil Manganese Mechanism Drives Plant Species Loss with Increased Nitrogen Deposition in a Temperate Steppe. Ecology 2016, 97, 65–74. [Google Scholar] [CrossRef]
- Sheng, H.; Zeng, J.; Liu, Y.; Wang, X.; Wang, Y.; Kang, H.; Fan, X.; Sha, L.; Zhang, H.; Zhou, Y. Sulfur Mediated Alleviation of Mn Toxicity in Polish Wheat Relates to Regulating Mn Allocation and Improving Antioxidant System. Front. Plant Sci. 2016, 7, 1382. [Google Scholar] [CrossRef]
- Pulford, I. Phytoremediation of Heavy Metal-Contaminated Land by Trees—A Review. Environ. Int. 2003, 29, 529–540. [Google Scholar] [CrossRef]
- Luo, J.; Zhou, J.; Li, H.; Shi, W.; Polle, A.; Lu, M.; Sun, X.; Luo, Z.-B. Global Poplar Root and Leaf Transcriptomes Reveal Links between Growth and Stress Responses under Nitrogen Starvation and Excess. Tree Physiol. 2015, 35, 1283–1302. [Google Scholar] [CrossRef]
- He, J.; Li, H.; Luo, J.; Ma, C.; Li, S.; Qu, L.; Gai, Y.; Jiang, X.; Janz, D.; Polle, A.; et al. A Transcriptomic Network Underlies Microstructural and Physiological Responses to Cadmium in Populus × canescens. Plant Physiol. 2013, 162, 424–439. [Google Scholar] [CrossRef]
- Marmiroli, M.; Pietrini, F.; Maestri, E.; Zacchini, M.; Marmiroli, N.; Massacci, A. Growth, Physiological and Molecular Traits in Salicaceae Trees Investigated for Phytoremediation of Heavy Metals and Organics. Tree Physiol. 2011, 31, 1319–1334. [Google Scholar] [CrossRef] [PubMed]
- Chen, L.; Gao, S.; Zhu, P.; Liu, Y.; Hu, T.; Zhang, J. Comparative Study of Metal Resistance and Accumulation of Lead and Zinc in Two Poplars. Physiol. Plant. 2014, 151, 390–405. [Google Scholar] [CrossRef] [PubMed]
- Dos Santos Utmazian, M.N.; Wieshammer, G.; Vega, R.; Wenzel, W.W. Hydroponic Screening for Metal Resistance and Accumulation of Cadmium and Zinc in Twenty Clones of Willows and Poplars. Environ. Pollut. 2007, 148, 155–165. [Google Scholar] [CrossRef] [PubMed]
- Stevens, C.J. Nitrogen in the Environment. Science 2019, 363, 578–580. [Google Scholar] [CrossRef]
- Lu, X.; Mao, Q.; Gilliam, F.S.; Luo, Y.; Mo, J. Nitrogen Deposition Contributes to Soil Acidification in Tropical Ecosystems. Glob. Chang. Biol. 2014, 20, 3790–3801. [Google Scholar] [CrossRef]
- Li, X.; Zhang, C.; Zhang, B.; Wu, D.; Shi, Y.; Zhang, W.; Ye, Q.; Yan, J.; Fu, J.; Fang, C.; et al. Canopy and Understory Nitrogen Addition Have Different Effects on Fine Root Dynamics in a Temperate Forest: Implications for Soil Carbon Storage. New Phytol. 2021, 231, 1377–1386. [Google Scholar] [CrossRef]
- Chen, L.; Han, Y.; Jiang, H.; Korpelainen, H.; Li, C. Nitrogen Nutrient Status Induces Sexual Differences in Responses to Cadmium in Populus yunnanensis. J. Exp. Bot. 2011, 62, 5037–5050. [Google Scholar] [CrossRef]
- Yang, Y.; Xiong, J.; Tao, L.; Cao, Z.; Tang, W.; Zhang, J.; Yu, X.; Fu, G.; Zhang, X.; Lu, Y. Regulatory Mechanisms of Nitrogen (N) on Cadmium (Cd) Uptake and Accumulation in Plants: A Review. Sci. Total Environ. 2020, 708, 135186. [Google Scholar] [CrossRef]
- Yi, L.; Wu, M.; Yu, F.; Song, Q.; Zhao, Z.; Liao, L.; Tong, J. Enhanced Cadmium Phytoremediation Capacity of Poplar Is Associated with Increased Biomass and Cd Accumulation under Nitrogen Deposition Conditions. Ecotoxicol. Environ. Saf. 2022, 246, 114154. [Google Scholar] [CrossRef]
- Sun, J.; Jiao, W.; Wang, Q.; Wang, T.; Yang, H.; Jin, J.; Feng, H.; Guo, J.; Feng, L.; Xu, X.; et al. Potential Habitat and Productivity Loss of Populus deltoides Industrial Forest Plantations Due to Global Warming. For. Ecol. Manag. 2021, 496, 119474. [Google Scholar] [CrossRef]
- Radojčić Redovniković, I.; De Marco, A.; Proietti, C.; Hanousek, K.; Sedak, M.; Bilandžić, N.; Jakovljević, T. Poplar Response to Cadmium and Lead Soil Contamination. Ecotoxicol. Environ. Saf. 2017, 144, 482–489. [Google Scholar] [CrossRef] [PubMed]
- Ma, C.; Chen, Y.; Ding, S.; Li, Z.; Shi, W.-G.; Zhang, Y.; Luo, Z.-B. Sulfur Nutrition Stimulates Lead Accumulation and Alleviates Its Toxicity in Populus deltoides. Tree Physiol. 2018, 38, 1724–1741. [Google Scholar] [CrossRef]
- Wang, Q.; Xiong, D.; Zhao, P.; Yu, X.; Tu, B.; Wang, G. Effect of Applying an Arsenic-resistant and Plant Growth-Promoting Rhizobacterium to Enhance Soil Arsenic Phytoremediation by Populus deltoides LH05-17. J. Appl. Microbiol. 2011, 111, 1065–1074. [Google Scholar] [CrossRef] [PubMed]
- Nikolić, N.; Zorić, L.; Cvetković, I.; Pajević, S.; Borišev, M.; Orlović, S.; Pilipović, A. Assessment of Cadmium Tolerance and Phytoextraction Ability in Young Populus Deltoides L. and Populus × euramericana Plants through Morpho-Anatomical and Physiological Responses to Growth in Cadmium Enriched Soil. Iforest-Biogeosci. For. 2017, 10, 635. [Google Scholar] [CrossRef]
- Song, L.; Liu, X.; Skiba, U.; Zhu, B.; Zhang, X.; Liu, M.; Twigg, M.; Shen, J.; Dore, A.; Reis, S.; et al. Ambient Concentrations and Deposition Rates of Selected Reactive Nitrogen Species and Their Contribution to PM2.5 Aerosols at Three Locations with Contrasting Land Use in Southwest China. Environ. Pollut. 2018, 233, 1164–1176. [Google Scholar] [CrossRef] [PubMed]
- Pregitzer, K.S. Tree Root Architecture: Form and Function. New Phytol. 2008, 180, 562–564. [Google Scholar] [CrossRef]
- Komárková, M.; Chromý, J.; Pokorná, E.; Soudek, P.; Máchová, P. Physiological and Transcriptomic Response of Grey Poplar (Populus × canescens Aiton Sm.) to Cadmium Stress. Plants 2020, 9, 1485. [Google Scholar] [CrossRef]
- Romè, C.; Romeo, S.; Francini, A.; Andreucci, A.; Sebastiani, L. Leaves Position in Populus alba Villafranca Clone Reveals a Strategy towards Cadmium Uptake Response. Plant Growth Regul. 2016, 79, 355–366. [Google Scholar] [CrossRef]
- Lei, Y.; Chen, K.; Tian, X.; Korpelainen, H.; Li, C. Effect of Mn Toxicity on Morphological and Physiological Changes in Two Populus cathayana Populations Originating from Different Habitats. Trees 2007, 21, 569–580. [Google Scholar] [CrossRef]
- Li, X.; Cui, X.; Zhang, X.; Liu, W.; Cui, Z. Combined Toxicity and Detoxification of Lead, Cadmium and Arsenic in Solanum nigrum L. J. Hazard. Mater. 2020, 389, 121874. [Google Scholar] [CrossRef] [PubMed]
- Kou, M.; Hou, J.; Chen, C.; Xiong, J.; Wei, R.; Wang, M.; Tan, W. Quantitative Analysis of Dose Interval Effect of Pb-Cd Interaction on Oryza sativa L. Root. Ecotoxicol. Environ. Saf. 2023, 252, 114622. [Google Scholar] [CrossRef] [PubMed]
- Yotsova, E.; Dobrikova, A.; Stefanov, M.; Misheva, S.; Bardáčová, M.; Matušíková, I.; Žideková, L.; Blehová, A.; Apostolova, E. Effects of Cadmium on Two Wheat Cultivars Depending on Different Nitrogen Supply. Plant Physiol. Biochem. 2020, 155, 789–799. [Google Scholar] [CrossRef] [PubMed]
- Li, R.; Yu, D.; Zhang, Y.; Han, J.; Zhang, W.; Yang, Q.; Gessler, A.; Li, M.-H.; Xu, M.; Guan, X.; et al. Investment of Needle Nitrogen to Photosynthesis Controls the Nonlinear Productivity Response of Young Chinese Fir Trees to Nitrogen Deposition. Sci. Total Environ. 2022, 840, 156537. [Google Scholar] [CrossRef]
- Yang, L.P.; Zhu, J.; Wang, P.; Zeng, J.; Tan, R.; Yang, Y.Z.; Liu, Z.M. Effect of Cd on Growth, Physiological Response, Cd Subcellular Distribution and Chemical Forms of Koelreuteria paniculata. Ecotoxicol. Environ. Saf. 2018, 160, 10–18. [Google Scholar] [CrossRef]
- Zornoza, P.; Sánchez-Pardo, B.; Carpena, R.O. Interaction and Accumulation of Manganese and Cadmium in the Manganese Accumulator Lupinus albus. J. Plant Physiol. 2010, 167, 1027–1032. [Google Scholar] [CrossRef]
- Qin, S.; Liu, H.; Nie, Z.; Rengel, Z.; Gao, W.; Li, C.; Zhao, P. Toxicity of Cadmium and Its Competition with Mineral Nutrients for Uptake by Plants: A Review. Pedosphere 2020, 30, 168–180. [Google Scholar] [CrossRef]
- Song, J.; Finnegan, P.M.; Liu, W.; Li, X.; Yong, J.W.H.; Xu, J.; Zhang, Q.; Wen, Y.; Qin, K.; Guo, J.; et al. Mechanisms Underlying Enhanced Cd Translocation and Tolerance in Roots of Populus euramericana in Response to Nitrogen Fertilization. Plant Sci. 2019, 287, 110206. [Google Scholar] [CrossRef]
- Li, Y.; Liu, K.; Zhu, J.; Jiang, Y.; Huang, Y.; Zhou, Z.; Chen, C.; Yu, F. Manganese Accumulation and Plant Physiology Behavior of Camellia Oleifera in Response to Different Levels of Nitrogen Fertilization. Ecotoxicol. Environ. Saf. 2019, 184, 109603. [Google Scholar] [CrossRef]
- Hall, J.L. Cellular Mechanisms for Heavy Metal Detoxification and Tolerance. J. Exp. Bot. 2002, 53, 1–11. [Google Scholar] [CrossRef]
- Li, J.; Jia, Y.; Dong, R.; Huang, R.; Liu, P.; Li, X.; Wang, Z.; Liu, G.; Chen, Z. Advances in the Mechanisms of Plant Tolerance to Manganese Toxicity. Int. J. Mol. Sci. 2019, 20, 5096. [Google Scholar] [CrossRef]
- Yan, L.; Riaz, M.; Liu, J.; Yu, M.; Cuncang, J. The Aluminum Tolerance and Detoxification Mechanisms in Plants; Recent Advances and Prospects. Crit. Rev. Environ. Sci. Technol. 2022, 52, 1491–1527. [Google Scholar] [CrossRef]
- Guo, B.-Y.; Peng, Z.-L.; Han, F.; Shan, X.-Q.; Lin, J.-M. Study of Low-Molecular Weight Organic Acids in Maize Roots under the Stress of Cadmium Using Capillary Zone Electrophoresis. J. Sep. Sci. 2007, 30, 2742–2747. [Google Scholar] [CrossRef] [PubMed]
- Xie, X.; Weiss, D.J.; Weng, B.; Liu, J.; Lu, H.; Yan, C. The Short-Term Effect of Cadmium on Low Molecular Weight Organic Acid and Amino Acid Exudation from Mangrove (Kandelia obovata (S., L.) Yong) Roots. Environ. Sci. Pollut. Res. 2013, 20, 997–1008. [Google Scholar] [CrossRef] [PubMed]
- Jiang, H.; Zhao, X.; Fang, J.; Xiao, Y. Physiological Responses and Metal Uptake of Miscanthus under Cadmium/Arsenic Stress. Environ. Sci. Pollut. Res. 2018, 25, 28275–28284. [Google Scholar] [CrossRef] [PubMed]
- Wang, J.; Wang, H.; Chen, J.; Zhang, S.; Xu, J.; Han, X.; Feng, Y.; Chen, Y.; Zhang, X.; Dong, G.; et al. Xylem Development, Cadmium Bioconcentration, and Antioxidant Defense in Populus × euramericana Stems under Combined Conditions of Nitrogen and Cadmium. Environ. Exp. Bot. 2019, 164, 1–9. [Google Scholar] [CrossRef]
- Guo, Y.-Y.; Wang, J.-J.; Kong, D.-L.; Wang, W.; Guo, D.-L.; Wang, Y.-B.; Xie, Q.-L.; Liu, Y.-S.; Zeng, H. Fine Root Branch Orders Contribute Differentially to Uptake, Allocation, and Return of Potentially Toxic Metals. Environ. Sci. Technol. 2013, 47, 11465–11472. [Google Scholar] [CrossRef] [PubMed]
- Sasaki, A.; Yamaji, N.; Yokosho, K.; Ma, J.F. Nramp5 Is a Major Transporter Responsible for Manganese and Cadmium Uptake in Rice. Plant Cell 2012, 24, 2155–2167. [Google Scholar] [CrossRef] [PubMed]
- Socha, A.; Guerinot, M.L. Mn-Euvering Manganese: The Role of Transporter Gene Family Members in Manganese Uptake and Mobilization in Plants. Front. Plant Sci. 2014, 5, 106. [Google Scholar] [CrossRef]
- Ahmad, A.; Hadi, F.; Ali, N.; Jan, A.U. Enhanced Phytoremediation of Cadmium Polluted Water through Two Aquatic Plants Veronica anagallis-Aquatica and Epilobium laxum. Environ. Sci. Pollut. Res. 2016, 23, 17715–17729. [Google Scholar] [CrossRef]
- Liu, W.; Zhang, C.; Hu, P.; Luo, Y.; Wu, L.; Sale, P.; Tang, C. Influence of Nitrogen Form on the Phytoextraction of Cadmium by a Newly Discovered Hyperaccumulator Carpobrotus rossii. Environ. Sci. Pollut. Res. 2016, 23, 1246–1253. [Google Scholar] [CrossRef] [PubMed]
Disclaimer/Publisher’s Note: The statements, opinions and data contained in all publications are solely those of the individual author(s) and contributor(s) and not of MDPI and/or the editor(s). MDPI and/or the editor(s) disclaim responsibility for any injury to people or property resulting from any ideas, methods, instructions or products referred to in the content. |
© 2023 by the authors. Licensee MDPI, Basel, Switzerland. This article is an open access article distributed under the terms and conditions of the Creative Commons Attribution (CC BY) license (https://creativecommons.org/licenses/by/4.0/).