Durability of Wood Exposed above Ground—Experience with the Bundle Test Method
Abstract
:1. Introduction
- (1)
- Natural exposure to precipitation and solar radiation, but without soil contact
- (2)
- Low risk of accumulation of biomass, e.g., pollen and litter, in and on the test specimens
- (3)
- Accelerated decay progress (i.e., median lifetime of the non-durable reference specimens < 5 years in Central Europe) through moisture trapping
- (4)
- Rapid natural infestation of wood specimens by decay fungi without the use of feeder elements or external infestation
- (5)
- Applicability for testing untreated, treated, and modified wood as well as wood composites
- (6)
- Test design representing in-service conditions (e.g., a poorly designed wooden deck)
- (7)
- Objective, easy, rapid, and a minimum of destructive sampling for decay assessment
- (8)
- Use of a specimen size which can be manufactured from Scots pine (Pinus sylvestris) sapwood portions of a commonly available width
- (9)
- Simple and inexpensive manufacturing of specimens with the same cross-section as specimens according to EN 252 [10] used for durability field tests in ground contact
- (10)
- Low costs and effort for assembling and replacing specimens or their parts
- (11)
- Low liability to wind loads and damages by animals
2. Materials and Methods
2.1. Comparative Above-Ground Field Tests
- (1)
- Bundle tests, 1 m above ground
- (2)
- Bundle tests, 20 cm above ground
- (3)
- Segmented horizontal double-layer tests, 20 cm above ground [9]
2.2. Bundle Tests with Different Wood-Based Materials
2.3. Decay Assessment and Durability Classification
3. Results and Discussion
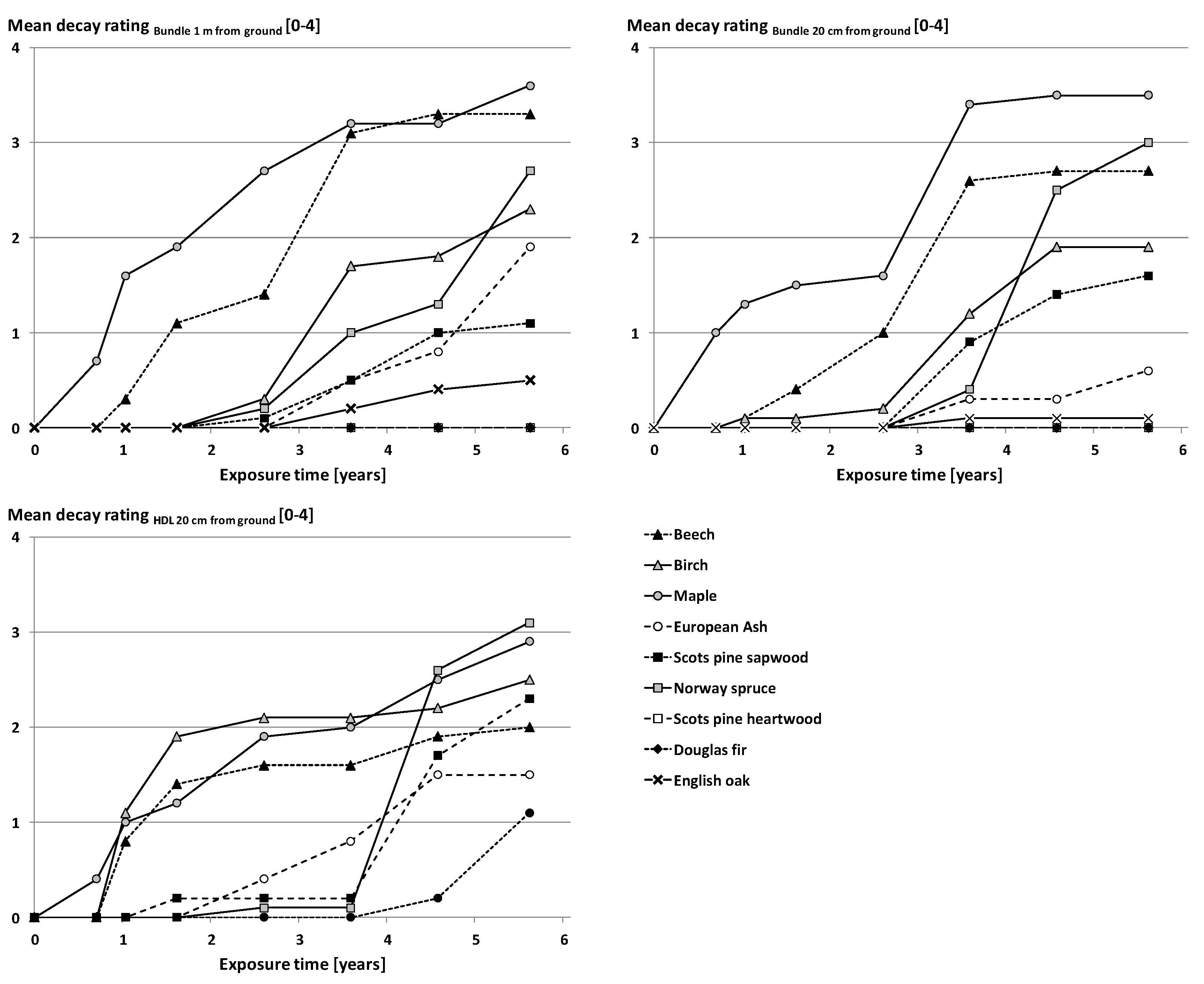
3.1. Decay Rates in Different Test Set-Ups
3.2. Durability Classification of Different Wood-Based Materials Based on Bundle Tests
3.3. Field Observations
4. Conclusions
Author Contributions
Funding
Data Availability Statement
Conflicts of Interest
References
- prEN 12037:2020; Wood Preservatives—Field Test Method for Determining the Relative Protective Effectiveness of a Wood Preservative Exposed Out of Ground Contact—Horizontal Lap-Joint Method. European Committee for Standardization: Brussels, Belgium, 2020.
- EN 330:2015; Wood Preservatives—Determination of the Relative Protective Effectiveness of a Wood Preservative for Use under a Coating and Exposed Out of Ground Contact—Field Test: L-Joint Method. European Committee for Standardization: Brussels, Belgium, 2015.
- AWPA E16; Standard Field Test for Evaluation of Wood Preservatives to Be Used above Ground (UC3B): Horizontal Lap-Joint Test. American Wood Protection Association: Birmingham, AL, USA, 2013.
- AWPA E9; Standard Field Test for the Evaluation of Wood Preservatives to Be Used above Ground (UC3A and UC3B): L-Joint Test. American Wood Protection Association: Birmingham, AL, USA, 2013.
- AWPA E25; Standard Field Test for Evaluation of Wood Preservatives to Be Used above Ground (UC3B): Decking Test. American Wood Protection Association: Birmingham, AL, USA, 2013.
- AWPA E2; Standard Field Test for Evaluation of Wood Preservatives to Be Used above Ground (UC3B): Accelerated Horizontal Lap-Joint Test. American Wood Protection Association: Birmingham, AL, USA, 2013.
- AWPA E18; Standard Field Test for Evaluation of Wood Preservatives to Be Used above Ground (UC3B): Ground Proximity Decay Test. American Wood Protection Association: Birmingham, AL, USA, 2013.
- Meyer, L.; Brischke, C.; Preston, A.F. Testing the natural durability of timber exposed above ground—A review on methodology. Wood Mat. Sci. Eng. 2016, 11, 283–304. [Google Scholar] [CrossRef]
- Meyer-Veltrup, L.; Brischke, C.; Källander, B. Testing the durability of timber above ground: Evaluation of different test methods. Eur. J. Wood Wood Prod. 2016, 75, 291–304. [Google Scholar] [CrossRef]
- EN 252:2015; Field Test Method for Determining the Relative Protective Effectiveness of a Wood Preservative in Ground Contact. European Committee for Standardization: Brussels, Belgium, 2015.
- EN 335:2013; Durability of Wood and Wood-Based Products—Use Classes: Definitions, Application to Solid Wood and Wood-Based Products. European Committee for Standardization: Brussels, Belgium, 2013.
- Augusta, U. Untersuchung der natürlichen Dauerhaftigkeit wirtschaftlich bedeutender Holzarten bei verschiedener Beanspruchung im Außenbereich. Doctoral Thesis, University of Hamburg, Hamburg, Germany, 2007. [Google Scholar]
- Zahora, A. Above ground field testing—Influence of test method and location on the relative performance of various preservative systems. In Proceedings of the IRG Annual Meeting, IRG/WP 08-20393, Istanbul, Turkey, 25–29 May 2008. [Google Scholar]
- Laks, P.E.; Morris, P.I.; Larkin, G.M.; Ingram, J.K. Field tests of naturally durable North American wood species. In Proceedings of the IRG America’s Regional Meeting, IRG/WP 08-10675, Americas Regional Meeting, Playa Flamingo, Costa Rica, 30 November–2 December 2008. [Google Scholar]
- DIN 68800-1:2019; Wood Preservation—Part 1: General. Beuth: Berlin, Germany, 2019.
- Ugovšek, A.; Šubic, B.; Starman, J.; Rep, G.; Humar, M.; Lesar, B.; Thaler, N.; Brischke, C.; Meyer-Veltrup, L.; Jones, D.; et al. Short-term performance of wooden windows and facade elements made of thermally modified and non-modified Norway spruce in different natural environments. Wood Mat. Sci. Eng. 2019, 14, 42–47. [Google Scholar] [CrossRef]
- EN 350:2016; Durability of Wood and Wood-Based Products—Testing and Classification of the Durability to Biological Agents of Wood and Wood-Based Materials. European Committee for Standardization: Brussels, Belgium, 2016.
- Råberg, U.; Edlund, M.L.; Terziev, N.; Land, C.J. Testing and evaluation of natural durability of wood in above ground conditions in Europe—An overview. J. Wood Sci. 2005, 51, 429–440. [Google Scholar] [CrossRef]
- Rapp, A.O.; Augusta, U. The full guideline for the ‘double layer test method’—A field test method for determining the durability of wood out of ground. In Proceedings of the IRG Annual Meeting, IRG/WP 04-20290, Ljubljana, Slovenia, 6–10 June 2004. [Google Scholar]
- Pfeffer, A.; Krause, A.; Militz, H. Testing modified wood and natural durability in use class 3 with the block-test approach. In Proceedings of the Cost Action E37 Final Conference, Bordeaux, France, 29–30 September 2008. [Google Scholar]
- Brischke, C.; Welzbacher, C.R.; Meyer, L.; Bornemann, T.; Larsson-Brelid, P.; Pilgård, A.; Frühwald Hansson, E.; Westin, M.; Rapp, A.O.; Thelandersson, S.; et al. Service life prediction of wooden components—Part 3: Approaching a comprehensive test methodology. In Proceedings of the IRG Annual Meeting, IRG/WP 11-20464, Queenstown, New Zealand, 8–12 May 2011. [Google Scholar]
- Stirling, R.; Alfredsen, G.; Brischke, C.; De Windt, I.; Francis, L.P.; Frühwald Hansson, E.; Humar, M.; Jermer, J.; Klamer, M.; Kutnik, M.; et al. Global survey on durability variation–on the effect of the reference species. In Proceedings of the IRG Annual Meeting, IRG/WP 16-20573, Lisbon, Portugal, 15–19 May 2016. [Google Scholar]
- Larsson-Brelid, P.; Brischke, C.; Pilgård, A.; Hansson, M.; Westin, M.; Rapp, A.O.; Jermer, J. Methods of field data evaluation—time versus reliability. In Proceedings of the IRG Annual Meeting, IRG/WP 11-20466, Queenstown, New Zealand, 8–12 May 2011. [Google Scholar]
- Brischke, C.; Melcher, E. Performance of wax-impregnated timber out of ground contact: Results from long-term field testing. Wood Sci. Technol. 2015, 49, 189–204. [Google Scholar] [CrossRef]
- Brischke, C.; Alfredsen, G.; Emmerich, L.; Humar, M.; Meyer-Veltrup, L. Field durability testing of wood above ground—Part 2: The full guideline of the Bundle method. In Proceedings of the IRG Annual Meeting, IRG/WP 23-20696, Cairns, Australia, 28 May–1 June 2023. [Google Scholar]







| Test | Measure | Beech | English Oak | Norway Spruce | Scots Pine | Mean | |
|---|---|---|---|---|---|---|---|
| Heartwood | Sapwood | ||||||
| In-ground test [10] | ToW (%) | 93 | 97 | 79 | 94 | 94 | 91 |
| Horizontal double-layer a | 86 | 84 | 67 | 44 | 95 | 75 | |
| Sandwich test, 20 cm b | 97 | 85 | 88 | 2 | 96 | 73 | |
| Sandwich test, 1 m b | 96 | 73 | 68 | 20 | 89 | 69 | |
| Bundle test | 81 | 67 | 58 | 9 | 74 | 58 | |
| Decking test c | 72 | 44 | 5 | 1 | 47 | 34 | |
| In-ground test [10] | v% (%/year) | 137 | 30 | 63 | 39 | 55 | 65 |
| Horizontal double-layer a | 38 | 16 | 34 | 20 | 33 | 28 | |
| Sandwich test, 20 cm b | 27 | 13 | 23 | 7 | 3 | 15 | |
| Sandwich test, 1 m b | 25 | 10 | 21 | 0 | 3 | 12 | |
| Bundle test | 25 | 0 | 23 | 0 | 0 | 10 | |
| Decking test c | 25 | 34 | 8 | 0 | 3 | 14 | |
| Rating | Description | Definition |
|---|---|---|
| 0 | Sound | No evidence of decay. Any change of colour without softening has to be rated as 0. |
| 1 | Slight attack | Visible signs of decay, but of very limited intensity or distribution: changes which only reveal themselves externally by very superficial degradation, softening of the wood being the most common symptom, to an apparent depth in the order of one millimetre. |
| 2 | Moderate attack | Clear changes to a moderate extent according to the apparent symptoms: changes which reveal themselves by softening of the wood to a depth of approximately 1 to 3 millimetres over more than 1 cm2 per segment |
| 3 | Severe attack | Severe changes: marked decay in the wood to a depth of more than 3 millimetres over a wide surface (more than 20 cm2) or by softening deeper than 10 mm over more than 1 cm2 per segment. |
| 4 | Failure | Impact failure of the segment or more than 50% of the cross-sectional area shows clear signs of decay. |
| Material | Ljubljana | Hanover/Goettingen | ||||||||
|---|---|---|---|---|---|---|---|---|---|---|
| dmean | vmedian | f | x | DC | dmean | vmedian | f | x | DC | |
| (0–4) | (%/year) | (-) | (-) | (0–4) | (%/year) | (-) | (-) | |||
| Norway spruce | 4.0 | 16.7 | 1.47 | 1.25 | 4 | 3.9 | 30.2 | 1.33 | n.a. | 4 |
| Scots pine sapwood | 4.0 | 12.5 | 1.34 | 1.67 | 4 | 1.4 | 5.0 | 8.02 | n.a. | 1 |
| European larch | 2.6 | 8.1 | 2.06 | n.a. | 3 | 0.6 | 2.1 | 19.10 | n.a. | 1 |
| Beech | 4.0 | 21.3 | 1.00 | 1.00 | 5 | 4.0 | 40.1 | 1.00 | 1.00 | 5 |
| Poplar | 4.0 | 19.0 | 1.12 | n.a. | 5 | 3.9 | 15.6 | 2.57 | n.a. | 3 |
| Norway spruceTMT I | 3.0 | 9.4 | 2.27 | n.a. | 3 | 0.7 | 2.5 | 16.04 | n.a. | 1 |
| Norway spruceTMT II | 2.7 | 8.5 | 2.51 | n.a. | 3 | 3.3 | 14.0 | 2.86 | n.a. | 3 |
| Norway spruceTMT plus wax I | 0.5 | 1.6 | 13.31 | n.a. | 1 | 0.5 | 1.8 | 22.28 | n.a. | 1 |
| Norway spruceTMT plus wax II | 0.5 | 1.6 | 13.31 | n.a. | 1 | 0.2 | 0.7 | 57.29 | n.a. | 1 |
| Norway spruceCu-ethanolamine | 0.0 | 0.0 | ∞ | n.a. | 1 | 0.0 | 0.0 | ∞ | n.a. | 1 |
| European larch TMT | 0.0 | 0.0 | ∞ | n.a. | 1 | - | - | - | - | - |
| Poplar TMT | 0.0 | 0.0 | ∞ | n.a. | 1 | 0.0 | 0.0 | ∞ | 1 | |
| Beech TMT | 0.0 | 0.0 | ∞ | n.a. | 1 | 0.0 | 0.0 | ∞ | 1 | |
Disclaimer/Publisher’s Note: The statements, opinions and data contained in all publications are solely those of the individual author(s) and contributor(s) and not of MDPI and/or the editor(s). MDPI and/or the editor(s) disclaim responsibility for any injury to people or property resulting from any ideas, methods, instructions or products referred to in the content. |
© 2023 by the authors. Licensee MDPI, Basel, Switzerland. This article is an open access article distributed under the terms and conditions of the Creative Commons Attribution (CC BY) license (https://creativecommons.org/licenses/by/4.0/).
Share and Cite
Brischke, C.; Alfredsen, G.; Emmerich, L.; Humar, M.; Meyer-Veltrup, L. Durability of Wood Exposed above Ground—Experience with the Bundle Test Method. Forests 2023, 14, 1460. https://doi.org/10.3390/f14071460
Brischke C, Alfredsen G, Emmerich L, Humar M, Meyer-Veltrup L. Durability of Wood Exposed above Ground—Experience with the Bundle Test Method. Forests. 2023; 14(7):1460. https://doi.org/10.3390/f14071460
Chicago/Turabian StyleBrischke, Christian, Gry Alfredsen, Lukas Emmerich, Miha Humar, and Linda Meyer-Veltrup. 2023. "Durability of Wood Exposed above Ground—Experience with the Bundle Test Method" Forests 14, no. 7: 1460. https://doi.org/10.3390/f14071460
APA StyleBrischke, C., Alfredsen, G., Emmerich, L., Humar, M., & Meyer-Veltrup, L. (2023). Durability of Wood Exposed above Ground—Experience with the Bundle Test Method. Forests, 14(7), 1460. https://doi.org/10.3390/f14071460

