Afforestation Influences Soil Aggregate Stability by Regulating Aggregate Transformation in Karst Rocky Desertification Areas
Abstract
1. Introduction
2. Materials and Methods
2.1. Study Area and Soil Sampling
2.2. Soil Analysis
2.3. Soil Aggregate Stability Index
2.4. Statistical Analysis
3. Results
3.1. Soil Aggregate Size Distribution
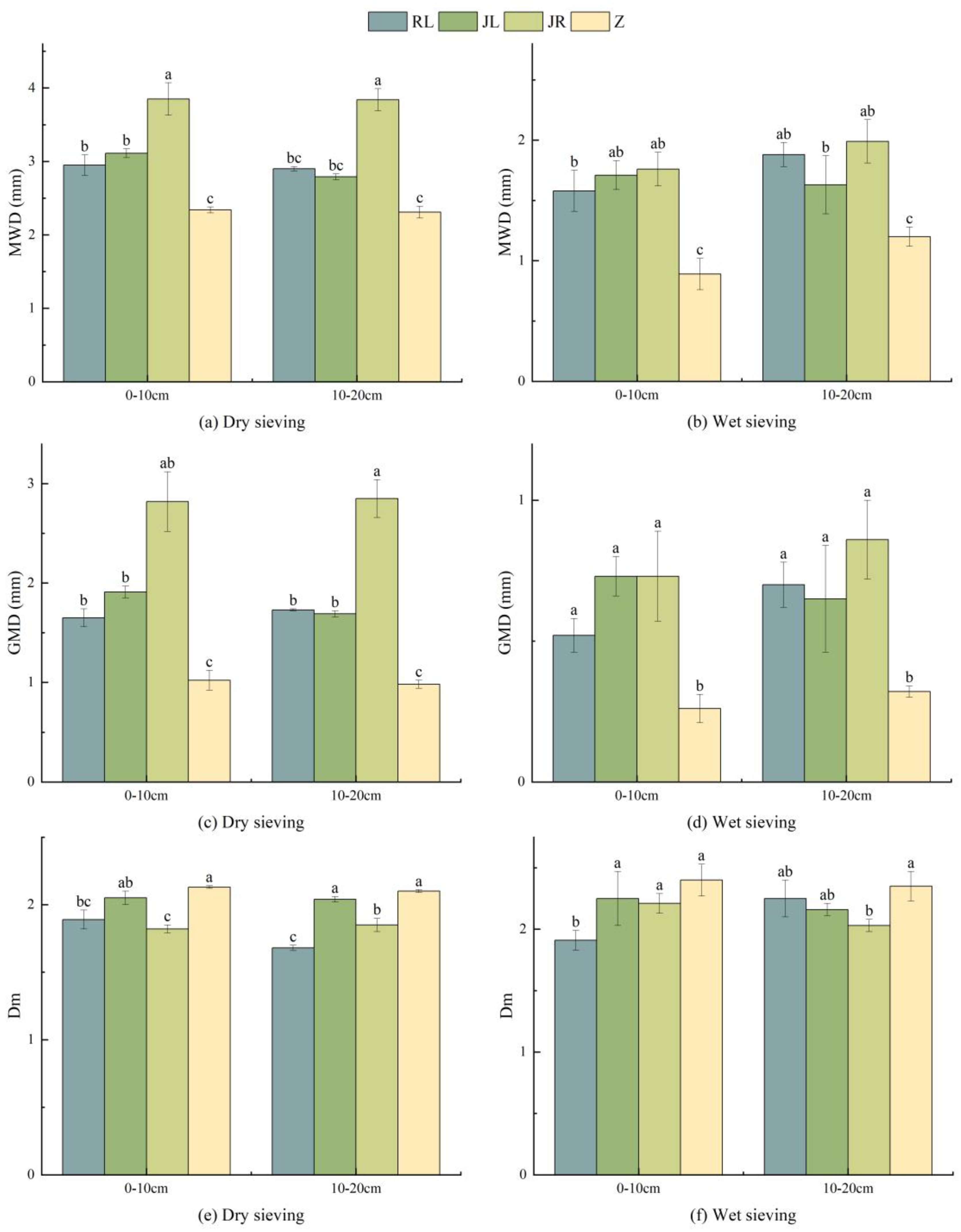
3.2. Soil Aggregate Stability
3.3. Soil Nutrients of Different Vegetation Restoration Types
3.4. Relationships between Aggregate Stability and Soil Nutrients
4. Discussion
4.1. Effects of Artificial Afforestation on Soil Aggregate and Chemical Properties
4.2. Differences in Soil Structure and Chemical Properties of Different Vegetation Types
4.3. Limitations and Prospects
5. Conclusions
Author Contributions
Funding
Data Availability Statement
Conflicts of Interest
References
- Liu, X.B.; Zhang, X.Y.; Wang, Y.X.; Sui, Y.Y.; Zhang, S.L.; Herbert, S.J.; Ding, G. Soil degradation: A problem threatening the sustainable development of agriculture in Northeast China. Plant Soil Environ. 2010, 56, 87–97. [Google Scholar] [CrossRef]
- Dong, L.B.; Li, J.W.; Liu, Y.L.; Hai, X.Y.; Li, M.Y.; Wu, J.Z.; Wang, X.Z.; Shangguan, Z.P.; Zhou, Z.C.; Deng, L. Forestation delivers significantly more effective results in soil C and N sequestrations than natural succession on badly degraded areas: Evidence from the Central Loess Plateau case. Catena 2022, 208, 105734. [Google Scholar] [CrossRef]
- Lan, J. Changes of soil aggregate stability and erodibility after cropland conversion in degraded karst region. J. Soil Sci. Plant Nutr. 2021, 21, 3333–3345. [Google Scholar] [CrossRef]
- He, J.H.; Zhang, K.L.; Cao, Z.; Ke, Q.H. Tracer vertical movement and its affecting factors in karst soil profiles in simulated leaching context. J. Soils Sediments 2021, 22, 229–237. [Google Scholar] [CrossRef]
- Jiang, Z.; Lian, Y.; Qin, X. Rocky desertification in Southwest China: Impacts, causes, and restoration. Earth-Sci. Rev. 2014, 132, 1–12. [Google Scholar] [CrossRef]
- Six, J.; Bossuyt, H.; Degryze, S.; Denef, K. A history of research on the link between (micro) aggregates, soil biota, and soil organic matter dynamics. Soil Tillage Res. 2004, 79, 7–31. [Google Scholar] [CrossRef]
- Le Bissonnais, Y. Aggregate stability and assessment of soil crustability and erodibility: I. Theory and methodology. Eur. J. Soil Sci. 1996, 47, 425–437. [Google Scholar] [CrossRef]
- Wuddivira, M.N.; Stone, R.J.; Ekwue, E.I. Clay, organic matter, and wetting effects on splash detachment and aggregate breakdown under intense rainfall. Soil Sci. Soc. Am. J. 2009, 73, 226–232. [Google Scholar] [CrossRef]
- Zhang, K.L.; Shu, A.P.; Xu, X.L.; Yang, Q.K.; Yu, B. Soil erodibility and its estimation for agricultural soils in China. J. Arid. Environ. 2008, 72, 1002–1011. [Google Scholar] [CrossRef]
- Park, S.I.; Yang, H.I.; Park, H.J.; Seo, B.S.; Jeong, Y.J.; Lim, S.S.; Kwak, J.H.; Kim, H.Y.; Yoon, K.S.; Lee, S.M.; et al. Rice straw cover decreases soil erosion and sediment-bound C, N, and P losses but increases dissolved organic C export from upland maize fields as evidenced by δ13C. Sci. Total Environ. 2021, 753, 142053. [Google Scholar] [CrossRef]
- Lan, M.; Xue, C.; Yang, J.; Wang, N.; Sun, C.; Wu, G.; Chen, H.; Su, Z. Changes in Plant Diversity and Soil Factors under Different Rocky Desertification Degrees in Northern Guangdong, China. Forests 2023, 14, 694. [Google Scholar] [CrossRef]
- Yılmaz, E.; Çanakcı, M.; Topakcı, M.; Sönmez, S.; Ağsaran, B.; Alagöz, Z.; Çıtak, S.; Uras, D.S. Effect of vineyard pruning residue application on soil aggregate formation, aggregate stability and carbon content in different aggregate sizes. Catena 2019, 183, 104219. [Google Scholar] [CrossRef]
- Guo, M.M.; Chen, Z.X.; Wang, W.L.; Wang, T.C.; Wang, W.X.; Cui, Z.Q. Revegetation induced change in soil erodibility as influenced by slope situation on the Loess Plateau. Sci. Total Environ. 2021, 772, 145540. [Google Scholar] [CrossRef]
- Wang, H.; Wang, J.; Zhang, G. Impact of landscape positions on soil erodibility indexes in typical vegetation-restored slope-gully systems on the Loess Plateau of China. Catena 2021, 201, 105235. [Google Scholar] [CrossRef]
- Guan, Y.J.; Zhou, W.; Bai, Z.K.; Cao, Y.G.; Huang, Y.H.; Huang, H.Y. Soil nutrient variations among different land use types after reclamation in the Pingshuo opencast coal mine on the Loess Plateau, China. Catena 2020, 188, 104427. [Google Scholar] [CrossRef]
- Dong, L.; Li, J.; Zhang, Y.; Bing, M.Y.; Liu, Y.L.; Wu, J.Z.; Hai, X.Y.; Li, A.; Wang, K.B.; Wu, P.X.; et al. Effects of vegetation restoration types on soil nutrients and soil erodibility regulated by slope positions on the Loess Plateau. J. Environ. Manag. 2022, 302, 113985. [Google Scholar] [CrossRef]
- Yan, H.; Wang, L.; Wang, T.W.; Wang, Z.; Shi, Z.H. A synthesized approach for estimating the C-factor of RUSLE for a mixed-landscape watershed: A case study in the Gongshui watershed, southern China. Agric. Ecosyst. Environ. 2020, 301, 107009. [Google Scholar] [CrossRef]
- Zheng, J.Y.; Zhao, J.S.; Shi, Z.H.; Wang, L. Soil aggregates are key factors that regulate erosion-related carbon loss in citrus orchards of southern China: Bare land vs. grass-covered land. Agric. Ecosyst. Environ. 2021, 309, 107254. [Google Scholar] [CrossRef]
- Yoder, R.E. A direct method of aggregate analysis of soils and a study of the physical nature of erosion losses. Soil Sci. Soc. Am. J. 1936, 28, 337–351. [Google Scholar] [CrossRef]
- Bao, S.D. Analysis of Soil Agrochemical, 3rd ed.; Agriculture Press: Beijing, China, 2000. [Google Scholar]
- Van Bavel, C.H.M. Mean weight-diameter of soil aggregates as a statistical index of aggregation. Proc. Soil Sci. Soc. Am. 1950, 14, 20–23. [Google Scholar] [CrossRef]
- Gardner, W.R. Representation of soil aggregate-size distribution by a logarithmic-normal distribution. Soil Sci. Soc. Am. J. 1956, 20, 151–153. [Google Scholar] [CrossRef]
- Shirazi, M.A.; Boersma, L. A unifying quantitative analysis of soil texture. Soil Sci. Soc. Am. J. 1984, 48, 142–147. [Google Scholar] [CrossRef]
- Yang, P.L.; Luo, Y.P.; Shi, Y.C. Soil fractal characteristics characterized by weight distribution of particle size. Chin. Sci. Bull. 1993, 20, 1896–1899. [Google Scholar]
- Liu, W.L.; Wu, J.G.; Fu, M.J.; Liang, Y.J.; Zhao, X.Y. Effect of different cultivation years on composition and stability of soil aggregate fractions in orchard. J. Soil Water Conserv. 2014, 28, 129–135. [Google Scholar]
- Tang, X.; Qiu, J.; Xu, Y.; Li, J.H.; Chen, J.H.; Li, B.; Lu, Y. Responses of soil aggregate stability to organic C and total N as controlled by land-use type in a region of south China affected by sheet erosion. Catena 2022, 218, 106543. [Google Scholar] [CrossRef]
- Zhu, D.; Xiong, K.; Xiao, H. Multitime scale variability of rainfall erosivity and erosivity density in the karst region of southern China, 1960–2017. Catena 2021, 197, 104977. [Google Scholar] [CrossRef]
- Zhang, J.; Yang, M.; Deng, X.; Liu, Z.; Zhang, F. The effects of tillage on sheet erosion on sloping fields in the wind-water erosion crisscross region of the Chinese Loess Plateau. Soil Tillage Res. 2019, 187, 235–245. [Google Scholar] [CrossRef]
- Barreto, R.C.; Madari, B.E.; Maddock, J.E.L.; Machado, P.L.; Torres, E.; Franchini, J.; Costa, A.R. The impact of soil management on aggregation, carbon stabilization and carbon loss as CO2 in the surface layer of a Rhodic Ferralsol in Southern Brazil. Agric. Ecosyst. Environ. 2009, 132, 243–251. [Google Scholar] [CrossRef]
- He, Y.; Zhang, Q.; Wang, S.; Jiang, C.; Lan, Y.; Zhang, H.; Ye, S. Mixed Plantations Induce More Soil Macroaggregate Formation and Facilitate Soil Nitrogen Accumulation. Forests 2023, 14, 735. [Google Scholar] [CrossRef]
- Li, H.; Zhu, H.; Liang, C.; Wei, X.; Yao, Y. Soil erosion significantly decreases aggregate-associated OC and N in agricultural soils of Northeast China. Agric. Ecosyst. Environ. 2022, 323, 107677. [Google Scholar] [CrossRef]
- Zeng, Q.; Darboux, F.; Man, C.; Zhu, Z.; An, S. Soil aggregate stability under different rain conditions for three vegetation types on the Loess Plateau (China). Catena 2018, 167, 276–283. [Google Scholar] [CrossRef]
- Ruiz-Colmenero, M.; Bienes, R.; Eldridge, D.J.; Marques, M.J. Vegetation cover reduces erosion and enhances soil organic carbon in a vineyard in the central Spain. Catena 2013, 104, 153–160. [Google Scholar] [CrossRef]
- Ayoubi, S.; Karchegani, P.M.; Mosaddeghi, M.R.; Honarjoo, N. Soil aggregation and organic carbon as affected by topography and land use change in western Iran. Soil Tillage Res. 2012, 121, 18–26. [Google Scholar] [CrossRef]
- Wang, X.; Cammeraat, E.L.H.; Cerli, C.; Kalbitz, K. Soil aggregation and the stabilization of organic carbon as affected by erosion and deposition. Soil Biol. Biochem. 2014, 72, 55–65. [Google Scholar] [CrossRef]
- Liu, M.; Han, G.; Li, X. Contributions of soil erosion and decomposition to SOC loss during a short-term paddy land abandonment in Northeast Thailand. Agric. Ecosyst. Environ. 2021, 321, 107629. [Google Scholar] [CrossRef]
- Zheng, Z.C.; He, S.Q.; Li, T.X.; Wang, Y.D. Effect of land use patterns on stability and distributions of organic carbon in the hilly region of Western Sichuan, China. Afr. J. Biotechnol. 2011, 10, 13107–13114. [Google Scholar] [CrossRef]
- Liu, D.; Ju, W.; Jin, X.; Li, M.; Shen, G.T.; Duan, C.J.; Guo, L.; Liu, Y.; Zhao, W.; Fang, L. Associated soil aggregate nutrients and controlling factors on aggregate stability in semiarid grassland under different grazing prohibition timeframes. Sci. Total Environ. 2021, 777, 146104. [Google Scholar] [CrossRef]
- Nciizah, A.D.; Wakindiki, I.I.C. Physical indicators of soil erosion, aggregate stability and erodibility. Arch. Agron. Soil Sci. 2015, 61, 827–842. [Google Scholar] [CrossRef]
- Guo, Y.; Fan, R.; Zhang, X.; Zhang, Y.; Wu, D.; Mclaughlin, N.; Zhang, S.; Chen, X.; Jia, S.; Liang, A. Tillage-induced effects on SOC through changes in aggregate stability and soil pore structure. Sci. Total Environ. 2020, 703, 134617. [Google Scholar] [CrossRef]
- Fonte, S.J.; Nesper, M.; Hegglin, D.; Velásquez, J.E.; Ramirez, B.; Rao, I.M.; Bernasconi, S.M.; Bünemann, E.K.; Frossard, E.; Oberson, A. Pasture degradation impacts soil phosphorus storage via changes to aggregate-associated soil organic matter in highly weathered tropical soils. Soil Biol. Biochem. 2014, 68, 150–157. [Google Scholar] [CrossRef]
- Yan, Y.C.; Wang, X.; Guo, Z.J.; Chen, J.Q.; Xin, X.P.; Xu, D.W.; Yan, R.R.; Chen, B.R.; Xu, L.J. Influence of wind erosion on dry aggregate size distribution and nutrients in three steppe soils in northern China. Catena 2018, 170, 159–168. [Google Scholar] [CrossRef]
- Jiang, W.; Li, Z.; Xie, H.; Ouyang, K.; Yuan, H.; Duan, L. Land use change impacts on red slate soil aggregates and associated organic carbon in diverse soil layers in subtropical China. Sci. Total Environ. 2023, 856, 159194. [Google Scholar] [CrossRef]
- Robert, J.H.; Sarah, J.R.; Ian, A.D.; Duane, A.P.; David, A.C. Species-and community-level patterns in fine root traits along a 120,000-year soil chronosequence in temperate rainforest. J. Ecol. 2011, 99, 954–963. [Google Scholar] [CrossRef]
- Cleveland, C.C.; Townsend, A.R.; Taylor, P.; Alvarez-Clare, S.; Bustamante, M.M.C.; Chuyong, G.; Dobrowski, S.Z.; Grierson, P.; Harms, K.E.; Houlton, B.Z.; et al. Relationships among net primary productivity, nutrients and climate in tropical rainforest: A pan-tropical analysis. Ecol. Lett. 2011, 14, 939–947. [Google Scholar] [CrossRef]
- Wang, S.Q.; Huang, Y.Z.; Ye, S.M. Distribution of organic carbon and nutrients in soil aggregates under different stand types of Cunninghamia lanceolata in southern Guangxi of China. Soil Sci. Plant Nutr. 2021, 67, 427–438. [Google Scholar] [CrossRef]
- Hou, E.Q.; Wen, D.Z.; Jiang, L.F.; Luo, X.Z.; Kuang, Y.W.; Lu, X.K.; Chen, C.R.; Allen, K.T.; He, X.J.; Huang, X.Z.; et al. Latitudinal patterns of terrestrial phosphorus limitation over the globe. Ecol. Lett. 2021, 24, 1420–1431. [Google Scholar] [CrossRef]
- Zhang, Y.; Zhang, B.; Xu, Q.; Gao, D.; Xu, W.; Ren, R.; Jiang, J.; Wang, S. The effects of plant and soil characteristics on partitioning different rainfalls to soil in a subtropical Chinese fir forest ecosystem. Forests 2022, 13, 123. [Google Scholar] [CrossRef]
- Philippot, L.; Raaijmakers, J.M.; Lemanceau, P.; Van der Putten, W.H. Going back to the roots: The microbial ecology of the rhizosphere. Nat. Rev. Microbiol. 2013, 11, 789–799. [Google Scholar] [CrossRef]
- Luo, X.; Hou, E.; Zhang, L.; Kuang, Y.; Wen, D. Altered soil microbial properties and functions after afforestation increase soil carbon and nitrogen but not phosphorus accumulation. Biol. Fertil. Soils 2023, 1–14. [Google Scholar] [CrossRef]
- Lan, J.; Long, Q.; Huang, M.; Jiang, Y.; Hu, N. Afforestation-induced large macroaggregate formation promotes soil organic carbon accumulation in degraded karst area. For. Ecol. Manag. 2022, 505, 119884. [Google Scholar] [CrossRef]
- Wang, X.; Huang, X.; Xiong, K.; Hu, J.; Zhang, Z.; Zhang, J. Mechanism and Evolution of Soil Organic Carbon Coupling with Rocky Desertification in South China Karst. Forests 2022, 13, 28. [Google Scholar] [CrossRef]






| Land Use Type | Longitude | Latitude | Altitude/m | Slope Inclination/◦ | Slope Aspect | Land Use | 
|---|---|---|---|---|---|---|
| Zea mays L. (Z) | 105°06′38″E | 27°15′10″ N | 1760 | 17 | Half shady slope | Still growing Zea mays L. | 
| Rosa roxburghii Tratt.-Lolium perenne L. (RL) | 105°06′08″E | 27°14′49″ N | 1826 | 16 | Half shady slope | Reforestation in 2010 | 
| Juglans regia L.-Lolium perenne L. (JL) | 105°06′27″E | 27°14′35″ N | 1892 | 19 | Half shady slope | Reforestation in 2010 | 
| Juglans regia L.-Rosa roxburghii Tratt. (JR) | 105°06′13″E | 27°13′44″ N | 1751 | 14 | Half shady slope | Reforestation in 2009 | 
| LMA | SMA | MIA | SCA | SST | K | LMAN | SMAN | MIAN | SCAN | |
|---|---|---|---|---|---|---|---|---|---|---|
| LMA | 1 | −0.55 ** | −0.74 ** | 0.36 | 0.83 ** | −0.61 ** | 0.63 ** | 0.56 ** | 0.53 ** | 0.40 | 
| SMA | 1 | −0.15 | −0.06 | −0.14 | −0.12 | −0.17 | −0.05 | −0.06 | 0.14 | |
| MIA | 1 | −0.42 * | −0.87 ** | 0.82 ** | −0.63 ** | −0.64 ** | −0.60 ** | −0.60 ** | ||
| SCA | 1 | 0.51 * | −0.36 | 0.54 ** | 0.47* | 0.58 ** | 0.51 * | |||
| SST | 1 | −0.90 ** | 0.61 ** | 0.59 ** | 0.60 ** | 0.55 ** | ||||
| K | 1 | −0.52 ** | −0.55 ** | −0.56 ** | −0.56 ** | |||||
| LMAN | 1 | 0.95 ** | 0.91 ** | 0.82 ** | ||||||
| SMAN | 1 | 0.95 ** | 0.89 ** | |||||||
| MIAN | 1 | 0.92 ** | ||||||||
| SCAN | 1 | 
| Disclaimer/Publisher’s Note: The statements, opinions and data contained in all publications are solely those of the individual author(s) and contributor(s) and not of MDPI and/or the editor(s). MDPI and/or the editor(s) disclaim responsibility for any injury to people or property resulting from any ideas, methods, instructions or products referred to in the content. | 
© 2023 by the authors. Licensee MDPI, Basel, Switzerland. This article is an open access article distributed under the terms and conditions of the Creative Commons Attribution (CC BY) license (https://creativecommons.org/licenses/by/4.0/).
Share and Cite
Zhu, D.; Yang, Q.; Zhao, Y.; Cao, Z.; Han, Y.; Li, R.; Ni, J.; Wu, Z. Afforestation Influences Soil Aggregate Stability by Regulating Aggregate Transformation in Karst Rocky Desertification Areas. Forests 2023, 14, 1356. https://doi.org/10.3390/f14071356
Zhu D, Yang Q, Zhao Y, Cao Z, Han Y, Li R, Ni J, Wu Z. Afforestation Influences Soil Aggregate Stability by Regulating Aggregate Transformation in Karst Rocky Desertification Areas. Forests. 2023; 14(7):1356. https://doi.org/10.3390/f14071356
Chicago/Turabian StyleZhu, Dayun, Qian Yang, Yingshan Zhao, Zhen Cao, Yurong Han, Ronghan Li, Ju Ni, and Zhigao Wu. 2023. "Afforestation Influences Soil Aggregate Stability by Regulating Aggregate Transformation in Karst Rocky Desertification Areas" Forests 14, no. 7: 1356. https://doi.org/10.3390/f14071356
APA StyleZhu, D., Yang, Q., Zhao, Y., Cao, Z., Han, Y., Li, R., Ni, J., & Wu, Z. (2023). Afforestation Influences Soil Aggregate Stability by Regulating Aggregate Transformation in Karst Rocky Desertification Areas. Forests, 14(7), 1356. https://doi.org/10.3390/f14071356
 
        

 
       