Temporal and Spatial Variations in Carbon/Nitrogen Output in the Karst Critical Zone and Its Response to the Forest Ecosystem of Karst Desertification Control
Abstract
1. Introduction
2. Materials and Methods
2.1. Study Area
2.2. Sample Collection and Preparation
2.2.1. Sampling and Pre-Treatment
2.2.2. Laboratory Analysis
2.3. Data Analysis
2.3.1. Estimation of Carbon and Nitrogen Output from Karst Springs [33]
2.3.2. Soil Carbon and Nitrogen Stocks [34]
2.4. Statistical Analysis
3. Results
3.1. Carbon and Nitrogen Content and Category of Karst Spring Water
3.2. Flow Change Characteristics of Karst Springs
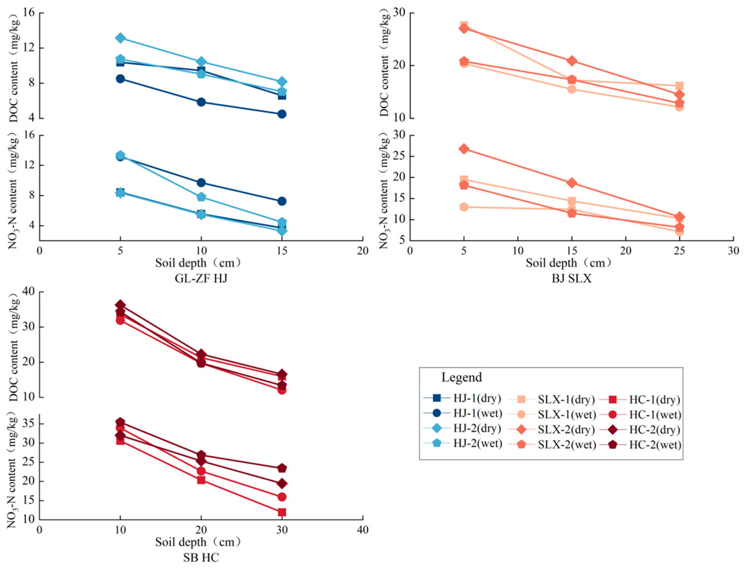
3.3. Carbon and Nitrogen Contents in the Overlying Soil of Karst Springs
3.4. Carbon and Nitrogen Output of Karst Springs
4. Discussion
4.1. Influencing Factors of the Carbon and Nitrogen Outputs of Karst Spring Water
4.2. Influencing Factors of the Carbon and Nitrogen Contents of Karst Spring Water
4.3. Response of Karst Spring Water Carbon and Nitrogen Output to the Surface Ecosystem
5. Conclusions
Author Contributions
Funding
Data Availability Statement
Conflicts of Interest
References
- Brantley, S.L.; Goldhaber, M.B.; Ragnarsdottir, K.V. Crossing Disciplines and Scales to Understand the Critical Zone. Elements 2007, 3, 307–314. [Google Scholar] [CrossRef]
- Lin, H. Earth’s Critical Zone and hydropedology: Concepts, characteristics, and advances. Hydrol. Earth. Syst. Sci. 2010, 14, 25–45. [Google Scholar] [CrossRef]
- Reiss, M.; Chifflard, P. An Opinion on Spring Habitats within the Earth’s Critical Zone in Headwater Regions. Water 2017, 9, 645. [Google Scholar] [CrossRef]
- Yang, M. On the Fragility of Karst Environment. Yunnan Geogr. Environ. Res. 1990, 2, 21–29. (In Chinese) [Google Scholar]
- Xiong, K.; Chen, Y.; Chen, X.; Lan, A.; Sui, J. Stone into Gold-Guizhou Rocky Desertification Control Technology and Mode; Guizhou Science and Technology Press: Guiyang, China, 2011. [Google Scholar]
- Jiang, Z.C.; Zhang, C.; Qin, X.; Pu, J.; Bai, B. Structural Features and Function of the Karst Critical Zone. Acta Geol. Sin. 2019, 93, 109–112. [Google Scholar] [CrossRef]
- Liu, M.; Xu, X.; Wang, D.; Sun, A.Y.; Wang, K. Karst catchments exhibited higher degradation stress from climate change than the non-karst catchments in southwest China: An ecohydrological perspective. J. Hydrol. 2016, 535, 173–180. [Google Scholar] [CrossRef]
- Zhu, Y.; Meharg, A.A. Protecting global soil resources for ecosystem services. Ecosyst. Health Sust. 2015, 1, 11. [Google Scholar] [CrossRef]
- Zhu, G.Y.; Zhou, L.H.; He, X.J.; Wei, P.; Lin, D.M.; Qian, S.H.; Zhao, L.; Luo, M.; Yin, X.H.; Zeng, L.; et al. Effects of Elevation Gradient on Soil Carbon and Nitrogen in a Typical Karst Region of Chongqing, Southwest China. J. Geophys. Res. Biogeosci. 2022, 127, e2021JG006742. [Google Scholar] [CrossRef]
- Hu, L.; Li, Q.; Yan, J.H.; Liu, C.; Zhong, J.X. Vegetation restoration facilitates belowground microbial network complexity and recalcitrant soil organic carbon storage in southwest China karst region. Sci. Total Environ. 2022, 820, 153137. [Google Scholar] [CrossRef]
- Mueller, K.E.; Hobbie, S.E.; Tilman, D.; Reich, P.B. Effects of plant diversity, N fertilization, and elevated carbon dioxide on grassland soil N cycling in a long-term experiment. Glob. Chang. Biol. 2013, 19, 1249–1261. [Google Scholar] [CrossRef]
- Mudge, P.L.; Schipper, L.A.; Baisden, W.T.; Ghani, A.; Lewis, R.W. Changes in soil C, N and δ15N along three forest–pasture chronosequences in New Zealand. Soil Res. 2014, 52, 27–37. [Google Scholar] [CrossRef]
- Albaladejo, J.; Ortiz, R.; Garcia-Franco, N.; Navarro, A.R.; Almagro, M.; Pintado, J.G.; Martínez-Mena, M. Land use and climate change impacts on soil organic carbon stocks in semi-arid Spain. J. Soil. Sediment 2013, 13, 265–277. [Google Scholar] [CrossRef]
- Li, D.; Niu, S.; Luo, Y. Global patterns of the dynamics of soil carbon and nitrogen stocks following afforestation: A meta-analysis. New Phytol. 2012, 195, 172–181. [Google Scholar] [CrossRef]
- Feng, W.T.; Liang, J.Y.; Hale, L.; Jung, C.G.; Chen, J.; Zhou, J.Z.; Xu, M.G.; Yuan, M.T.; Wu, L.Y.; Bracho, R.; et al. Enhanced decomposition of stable soil organic carbon and microbial catabolic potentials by long-term field warming. Glob. Chang. Biol. 2017, 23, 4765–4776. [Google Scholar] [CrossRef] [PubMed]
- Qiu, L.; Xiao, T.; Bai, T.; Mo, X.; Huang, J.; Deng, W.; Liu, Y. Seasonal Dynamics and Influencing Factors of Litterfall Production and Carbon Input in Typical Forest Community Types in Lushan Mountain, China. Forests 2023, 14, 341. [Google Scholar] [CrossRef]
- Filipiak, M.; Filipiak, Z.M. Application of ionomics and ecological stoichiometry in conservation biology: Nutrient demand and supply in a changing environment. Biol. Conserv. 2022, 272, 109622. [Google Scholar] [CrossRef]
- Lv, Y.; Jiang, Y.; Hu, W.; Cao, M.; Mao, Y. A review of the effects of tunnel excavation on the hydrology, ecology, and environment in karst areas: Current status, challenges, and perspectives. J. Hydrol. 2020, 586, 124891. [Google Scholar] [CrossRef]
- Jiang, Y.; Hou, W.; Gao, J.; Wu, S. Refined revealing the chain path of multiple ecosystem services under diverse environmental factor gradients. Sci. Total Environ. 2022, 865, 161187. [Google Scholar] [CrossRef]
- Vilhar, U.; Kermavnar, J.; Kozamernik, E.; Petrič, M.; Ravbar, N. The effects of large-scale forest disturbances on hydrology–An overview with special emphasis on karst aquifer systems. Earth Sci. Rev. 2022, 235, 104243. [Google Scholar] [CrossRef]
- Oni, S.; Tiwari, T.; Ledesma, J.L.; Ågren, A.M.; Teutschbein, C.; Schelker, J.; Laudon, H.; Futter, M.N. Local- and landscape-scale impacts of clear-cuts and climate change on surface water dissolved organic carbon in boreal forests. J. Geophys. Res. Biogeosci. 2015, 120, 2402–2426. [Google Scholar] [CrossRef]
- Dogan, F.N.; Karpuzcu, M.E. Effect of land use change on hydrology of forested watersheds. Ecohydrology 2022, 15, e2367. [Google Scholar] [CrossRef]
- Lovett, G.M.; Weathers, K.C.; Arthur, M.A. Control of Nitrogen Loss from Forested Watersheds by Soil Carbon: Nitrogen Ratio and Tree Species Composition. Ecosystems 2022, 5, 712–718. [Google Scholar] [CrossRef]
- Sun, Z.Y. Study on Hydrological Regulation Ability of Typical Forest Ecosystem in Changbai Mountain. Master’s Thesis, Changchun University of Science and Technology, Changchun, China, 2022. [Google Scholar]
- Austin, A.T.; Ballaré, C.L. Dual role of lignin in plant litter decomposition in terrestrial ecosystems. Proc. Natl. Acad. Sci. USA 2010, 107, 4618–4622. [Google Scholar] [CrossRef]
- Sayer, E.J.; Rodtassana, C.; Sheldrake, M.; Bréchet, L.M.; Ashford, O.S.; Lopez-Sangil, L.; Kerdraon-Byrne, D.; Castro, B.; Turner, B.L.; Wright, S.J.; et al. Revisiting nutrient cycling by litterfall—Insights from 15 years of litter manipulation in old-growth lowland tropical forest. Adv. Ecol. Res. 2020, 62, 173–223. [Google Scholar] [CrossRef]
- Williams, D.D. The spring as an interface between groundwater and lotic faunas and as a tool in assessing groundwater quality. Int. Ver. Theor. Angew. Limnol. Verh. 1991, 24, 1621–1624. [Google Scholar] [CrossRef]
- Iván, V.; Stevenazzi, S.; Pollicino, L.C.; Masetti, M.; Mádl-Szőnyi, J. An Enhanced Approach to the Spatial and Statistical Analysis of Factors Influencing Spring Distribution on a Transboundary Karst Aquifer. Water 2020, 12, 2133. [Google Scholar] [CrossRef]
- Jiang, Y.J.; Lei, J.Q.; Hu, L.C.; Xiao, Q.; Wang, J.L.; Zhang, C.; Ali, H.D. Biogeochemical and physical controls on the evolution of dissolved inorganic carbon (DIC) and δ13CDIC in karst spring-waters exposed to atmospheric CO2(g): Insights from laboratory experiments. J. Hydrol. 2020, 583, 124294. [Google Scholar] [CrossRef]
- Aitkenhead, J.A.; McDowell, W.H. Soil C:N ratio as a predictor of annual riverine DOC flux at local and global scales. Glob. Biogeochem. Cycles 2000, 14, 127–138. [Google Scholar] [CrossRef]
- Simon, C.; Pimentel, T.P.; Monteiro, M.T.; Candido, L.A.; Gastmans, D.; Geilmann, H.; Oliveira, R.D.; Rocha, J.B.; Pires, E.; Quesada, C.A.; et al. Molecular links between whitesand ecosystems and blackwater formation in the Rio Negro watershed. Geochim. Cosmochim. Acta 2020, 311, 274–291. [Google Scholar] [CrossRef]
- Mentges, A.; Feenders, C.; Deutsch, C.A.; Blasius, B.; Dittmar, T. Long-term stability of marine dissolved organic carbon emerges from a neutral network of compounds and microbes. Sci. Rep. 2019, 9, 17780. [Google Scholar] [CrossRef]
- Hu, C.P. Temporal and Spatial Variations of Carbon and Nitrogen Output in the Karst Critical Zone and Its Environmental Significance. Master’s Thesis, Guizhou Normal University, Guiyang, China, 2022. [Google Scholar]
- Li, Y.; Xiong, K.N.; Liu, Z.Q.; Li, K.P.; Luo, D. Distribution and influencing factors of soil organic carbon in a typical karst catchment undergoing natural restoration. Catena 2022, 212, 106078. [Google Scholar] [CrossRef]
- Zheng, W.; Wang, S.; Sprenger, M.; Liu, B.; Cao, J. Response of soil water movement and groundwater recharge to extreme precipitation in a headwater catchment in the North China Plain. J. Hydrol. 2019, 576, 466–477. [Google Scholar] [CrossRef]
- Wu, Y.; Zhou, X.; Wang, M.; Zhuo, L.; Xu, H.; Liu, Y. Comparison of hydrogeological characteristics and genesis of the Xiaguan Hot Spring and the Butterfly Spring in Yunnan of China. J. Hydrol. 2021, 593, 125922. [Google Scholar] [CrossRef]
- Zhang, L.; Yang, Y.; He, W.; Xu, J.; Li, R. Fluxes of riverine nutrient to the Zhujiang River Estuary and its potential eutrophication effect. Acta Oceanol. Sin. 2022, 41, 88–98. [Google Scholar] [CrossRef]
- Oehler, T.; Eiche, E.; Putra, D.P.; Adyasari, D.; Hennig, H.; Mallast, U.; Moosdorf, N. Seasonal variability of land-ocean groundwater nutrient fluxes from a tropical karstic region (southern Java, Indonesia). J. Hydrol. 2018, 565, 662–671. [Google Scholar] [CrossRef]
- Zhang, H. Study on Soil Property and Water Holding Characteristics of Different Vegetation Belt in the Loess Plateau; Northwest A&F University: Xi’an, China, 2021. [Google Scholar]
- Bai, Y.E.; Liu, Q.F.; Gu, Z.R.; Lu, Y.; Sheng, Z.P. The dissolution mechanism and karst development of carbonate rocks in karst rocky desertification area of Zhenfeng–Guanling–Huajiang County, Guizhou, China. Carbonate Evaporite 2019, 34, 45–51. [Google Scholar] [CrossRef]
- Liu, Q.; Wang, T.J.; Liu, C.Q.; Mikouendanandi, E.B.J.; Chen, X.J.; Peng, T.; Zhang, L. Characterizing the spatiotemporal dynamics of shallow soil water stable isotopic compositions on a karst hillslope in Southwestern China. J. Hydrol. 2022, 610, 127964. [Google Scholar] [CrossRef]
- Han, D.D.; Deng, J.C.; Gu, C.J.; Mu, X.M.; Gao, P.; Gao, J.J. Effect of shrub-grass vegetation coverage and slope gradient on runoff and sediment yield under simulated rainfall. Int. J. Sediment Res. 2021, 36, 29–37. [Google Scholar] [CrossRef]
- Clark, I.; Fritz, P. Environmental Isotopes in Hydrogeology; Lewis Publishers: New York, NY, USA, 1997. [Google Scholar]
- Li, K.; Liu, C.; Ma, Y.; Wang, X. Land-based dissolved organic nitrogen dynamics and bioavailability in Jiaozhou Bay, China. Estuar. Coast. Shelf Sci. 2019, 220, 13–24. [Google Scholar] [CrossRef]
- Hu, C.; Liu, Z.; Xiong, K.; Lyu, X.; Li, Y.; Zhang, R. Characteristics of and Influencing Factors of Hydrochemistry and Carbon/Nitrogen Variation in the Huangzhouhe River Basin, a World Natural Heritage Site. Int. J. Environ. Res. Public Health 2021, 18, 13169. [Google Scholar] [CrossRef]
- Dawoe, E.K.; Isaac, M.E.; Quashie-Sam, J.S. Litterfall and litter nutrient dynamics under cocoa ecosystems in lowland humid Ghana. Plant Soil 2010, 330, 55–64. [Google Scholar] [CrossRef]
- Oddi, L.; Celi, L.; Cremonese, E.; Filippa, G.; Galvagno, M.; Palestini, G.; Siniscalco, C. Decomposition processes interacting with microtopography maintain ecosystem heterogeneity in a subalpine grassland. Plant Soil 2019, 434, 379–395. [Google Scholar] [CrossRef]
- Ahmad, A.; Liu, Q.; Nizami, S.M.; Mannan, A.; Saeed, S. Carbon emission from deforestation, forest degradation and wood harvest in the temperate region of Hindukush Himalaya, Pakistan between 1994 and 2016. Land Use Policy 2018, 78, 781–790. [Google Scholar] [CrossRef]
- Ma, T.; Deng, X.; Chen, L.; Xiang, W. The soil properties and their effects on plant diversity in different degrees of rocky desertification. Sci. Total Environ. 2020, 736, 139667. [Google Scholar] [CrossRef] [PubMed]
- Zhang, S.H.; Zhang, Y.; Xiong, K.N.; Yu, Y.H.; Min, X.Y. Changes of leaf functional traits in karst rocky desertification ecological environment and the driving factors. Glob. Ecol. Conserv. 2020, 24, e01381. [Google Scholar] [CrossRef]
- Wang, X.W.; Liu, Z.Q.; Xiong, K.; He, Q.F.; Li, Y.; Li, K.P. Characteristics and controlling factors of soil dissolved organic matter in the rainy season after vegetation restoration in a karst drainage area, South China. Catena 2022, 217, 106483. [Google Scholar] [CrossRef]
- Tang, M.; Liu, J.; Hou, W.; Stubbendieck, R.M.; Xiong, H.; Jin, J.; Gong, J.; Cheng, C.; Tang, X.; Liu, Y.; et al. Structural variability in the bulk soil, rhizosphere, and root endophyte fungal communities of Themeda japonica plants under different grades of karst rocky desertification. Plant Soil 2021, 475, 105–122. [Google Scholar] [CrossRef]
- Zheng, W.; Wu, Q.; Rao, C.X.; Chen, X.; Wang, E.; Liang, X.; Yan, W. Characteristics and interactions of soil bacteria, phytocommunity and soil properties in rocky desertification ecosystems of Southwest China. Catena 2023, 220, 106731. [Google Scholar] [CrossRef]
- Keller, D.P.; Hood, R.R. Comparative simulations of dissolved organic matter cycling in idealized oceanic, coastal, and estuarine surface waters. J. Mar. Syst. 2013, 109, 109–128. [Google Scholar] [CrossRef]
- Alexander, R.B.; Smith, R.A.; Schwarz, G.E.; Boyer, E.W.; Nolan, J.V.; Brakebill, J. Differences in phosphorus and nitrogen delivery to the Gulf of Mexico from the Mississippi River Basin. Environ. Sci. Technol. 2008, 42, 822–830. [Google Scholar] [CrossRef]
- Potthast, K.; Meyer, S.; Crecelius, A.; Schubert, U.S.; Tischer, A.; Michalzik, B. Land-use and fire drive temporal patterns of soil solution chemistry and nutrient fluxes. Sci. Total Environ. 2017, 605, 514–526. [Google Scholar] [CrossRef]
- Ni, X.; Parajuli, P.B.; Ouyang, Y.; Dash, P.; Siegert, C.M. Assessing land use change impact on stream discharge and stream water quality in an agricultural watershed. Catena 2021, 198, 105055. [Google Scholar] [CrossRef]
- Wood, C.W.; Edwards, J.H. Agroecosystem management effects on soil carbon and nitrogen. Agric. Ecosyst. Environ. 1992, 39, 123–138. [Google Scholar] [CrossRef]
- Gaspar, L.; Quijano, L.; Lizaga, I.; Navas, A. Effects of land use on soil organic and inorganic C and N at 137Cs traced erosional and depositional sites in mountain agroecosystems. Catena 2019, 181, 104058. [Google Scholar] [CrossRef]
- Lozano-García, B.; Muñoz-Rojas, M.; Parras-Alcántara, L. Climate and land use changes effects on soil organic carbon stocks in a Mediterranean semi-natural area. Sci. Total Environ. 2017, 579, 1249–1259. [Google Scholar] [CrossRef] [PubMed]
- Lindén, L.; Riikonen, A.; Setälä, H.; Yli-Pelkonen, V. Quantifying carbon stocks in urban parks under cold climate conditions. Urban For. Urban Green. 2020, 49, 126633. [Google Scholar] [CrossRef]
- Horsák, M.; Horsáková, V.; Polášek, M.; Coufal, R.; Hájková, P.; Hájek, M. Spring water table depth mediates within-site variation of soil temperature in groundwater-fed mires. Hydrol. Process. 2021, 35, e14293. [Google Scholar] [CrossRef]
- Singha, K.; Navarre-Sitchler, A. The Importance of Groundwater in Critical Zone Science. Groundwater 2022, 60, 27–34. [Google Scholar] [CrossRef]
- Garcia-Pausas, J.; Rabissi, A.; Rovira, P.; Romanyà, J. Organic Fertilisation Increases C and N Stocks and Reduces Soil Organic Matter Stability in Mediterranean Vegetable Gardens. Land. Degrad. Dev. 2017, 28, 691–698. [Google Scholar] [CrossRef]
- Kiriyama, H.; Matsuda, H.; Kamiji, Y.; Morita, S. Nitrogen stock and farmer behaviour under rice policy change in Japan. J. Environ. Manag. 2021, 299, 113438. [Google Scholar] [CrossRef]
- Li, Z.W.; Liu, C.R.; Dong, Y.T.; Chang, X.F.; Nie, X.D.; Liu, L.; Xiao, H.B.; Lu, Y.M.; Zeng, G.M. Response of soil organic carbon and nitrogen stocks to soil erosion and land use types in the Loess hilly–gully region of China. Soil Tillage Res. 2017, 166, 1–9. [Google Scholar] [CrossRef]
- Rytter, R. Stone and gravel contents of arable soils influence estimates of C and N stocks. Catena 2012, 95, 153–159. [Google Scholar] [CrossRef]
- Pellikka, P.; Heikinheimo, V.; Hietanen, J.; Schäfer, E.; Siljander, M.; Heiskanen, J. Impact of land cover change on aboveground carbon stocks in Afromontane landscape in Kenya. Appl. Geogr. 2018, 94, 178–189. [Google Scholar] [CrossRef]
- Zhao, Z.Q.; Bai, Z.H.; Wei, S.; Ma, W.Q.; Wang, M.R.; Kroeze, C.L.; Ma, L. Modeling farm nutrient flows in the North China Plain to reduce nutrient losses. Nutr. Cycl. Agroecosyst. 2017, 108, 231–244. [Google Scholar] [CrossRef]
- Gomes, L.; Simões, S.J.; Dalla Nora, E.; de Sousa-Neto, E.; Forti, M.C.; Ometto, J.P. Agricultural Expansion in the Brazilian Cerrado: Increased Soil and Nutrient Losses and Decreased Agricultural Productivity. Land 2019, 8, 12. [Google Scholar] [CrossRef]
- Wojciechowska, E.; Pietrzak, S.; Matej-Łukowicz, K.; Nawrot, N.; Zima, P.; Kalinowska, D.; Wielgat, P.; Obarska-Pempkowiak, H.; Gajewska, M.; Dembska, G.; et al. Nutrient loss from three small-size watersheds in the southern Baltic Sea in relation to agricultural practices and policy. J. Environ. Manag. 2019, 252, 109637. [Google Scholar] [CrossRef] [PubMed]
- Pimm, S.L. The complexity and stability of ecosystems. Nature 1984, 307, 321–326. [Google Scholar] [CrossRef]
- Keersmaecker, W.D.; Lhermitte, S.; Honnay, O.; Farifteh, J.; Somers, B.; Coppin, P.R. How to measure ecosystem stability? An evaluation of the reliability of stability metrics based on remote sensing time series across the major global ecosystems. Glob. Chang. Biol. 2014, 20, 2149–2161. [Google Scholar] [CrossRef]
- Donohue, I.; Hillebrand, H.; Montoya, J.M.; Petchey, O.L.; Pimm, S.L.; Fowler, M.S.; Healy, K.; Jackson, A.L.; Lurgi, M.; McClean, D.; et al. Navigating the complexity of ecological stability. Ecol. Lett. 2016, 19, 1172–1185. [Google Scholar] [CrossRef]
- Wohlgemuth, D.; Solan, M.; Godbold, J.A. Species contributions to ecosystem process and function can be population dependent and modified by biotic and abiotic setting. Proc. R. Soc. B 2017, 284, 20162850. [Google Scholar] [CrossRef]
- Gottschall, F.; Cesarz, S.; Auge, H.; Kovach, K.; Mori, A.S.; Nock, C.A.; Eisenhauer, N. Spatio-temporal dynamics of abiotic and biotic properties explain biodiversity-ecosystem functioning relationships. Ecol. Monogr. 2021, 92, e01490. [Google Scholar] [CrossRef]
- Yang, H.L.; Li, L.Y.; Zhan, J.; Bao, C.; Luo, Y.Q. Effects of litter chemical traits and species richness on soil carbon cycling changed over time. Front. Environ. Sci. 2022, 10, 1023831. [Google Scholar] [CrossRef]
- Fung, T.; Richards, D.R.; Leong, R.A.; Ghosh, S.; Tan, C.W.J.; Drillet, Z.; Leong, K.L.; Edwards, P.J. Litter decomposition and infiltration capacities in soils of different tropical urban land covers. Urban Ecosyst. 2022, 25, 21–34. [Google Scholar] [CrossRef]







Disclaimer/Publisher’s Note: The statements, opinions and data contained in all publications are solely those of the individual author(s) and contributor(s) and not of MDPI and/or the editor(s). MDPI and/or the editor(s) disclaim responsibility for any injury to people or property resulting from any ideas, methods, instructions or products referred to in the content. |
© 2023 by the authors. Licensee MDPI, Basel, Switzerland. This article is an open access article distributed under the terms and conditions of the Creative Commons Attribution (CC BY) license (https://creativecommons.org/licenses/by/4.0/).
Share and Cite
Hu, C.; Liu, Z.; Xiong, K.; Lyu, X.; Li, Y.; Zhang, R. Temporal and Spatial Variations in Carbon/Nitrogen Output in the Karst Critical Zone and Its Response to the Forest Ecosystem of Karst Desertification Control. Forests 2023, 14, 1121. https://doi.org/10.3390/f14061121
Hu C, Liu Z, Xiong K, Lyu X, Li Y, Zhang R. Temporal and Spatial Variations in Carbon/Nitrogen Output in the Karst Critical Zone and Its Response to the Forest Ecosystem of Karst Desertification Control. Forests. 2023; 14(6):1121. https://doi.org/10.3390/f14061121
Chicago/Turabian StyleHu, Chenpeng, Ziqi Liu, Kangning Xiong, Xiaoxi Lyu, Yuan Li, and Renkai Zhang. 2023. "Temporal and Spatial Variations in Carbon/Nitrogen Output in the Karst Critical Zone and Its Response to the Forest Ecosystem of Karst Desertification Control" Forests 14, no. 6: 1121. https://doi.org/10.3390/f14061121
APA StyleHu, C., Liu, Z., Xiong, K., Lyu, X., Li, Y., & Zhang, R. (2023). Temporal and Spatial Variations in Carbon/Nitrogen Output in the Karst Critical Zone and Its Response to the Forest Ecosystem of Karst Desertification Control. Forests, 14(6), 1121. https://doi.org/10.3390/f14061121

