Extractable Compounds in a Birch Tree—Variations in Composition and Yield Potentials
Abstract
1. Introduction
2. Materials and Methods
2.1. Sample Material and Preparation
2.2. Description of Sample Preparation
2.3. Extraction
2.4. Analysis
2.5. Statistic Analysis
2.6. Model Calculations
3. Results and Discussion
3.1. Biomass Fractions
3.2. Extractive Yields
3.2.1. Results of Stem Discs Qualified and Quantified Contribution of Extractives, along with the Height
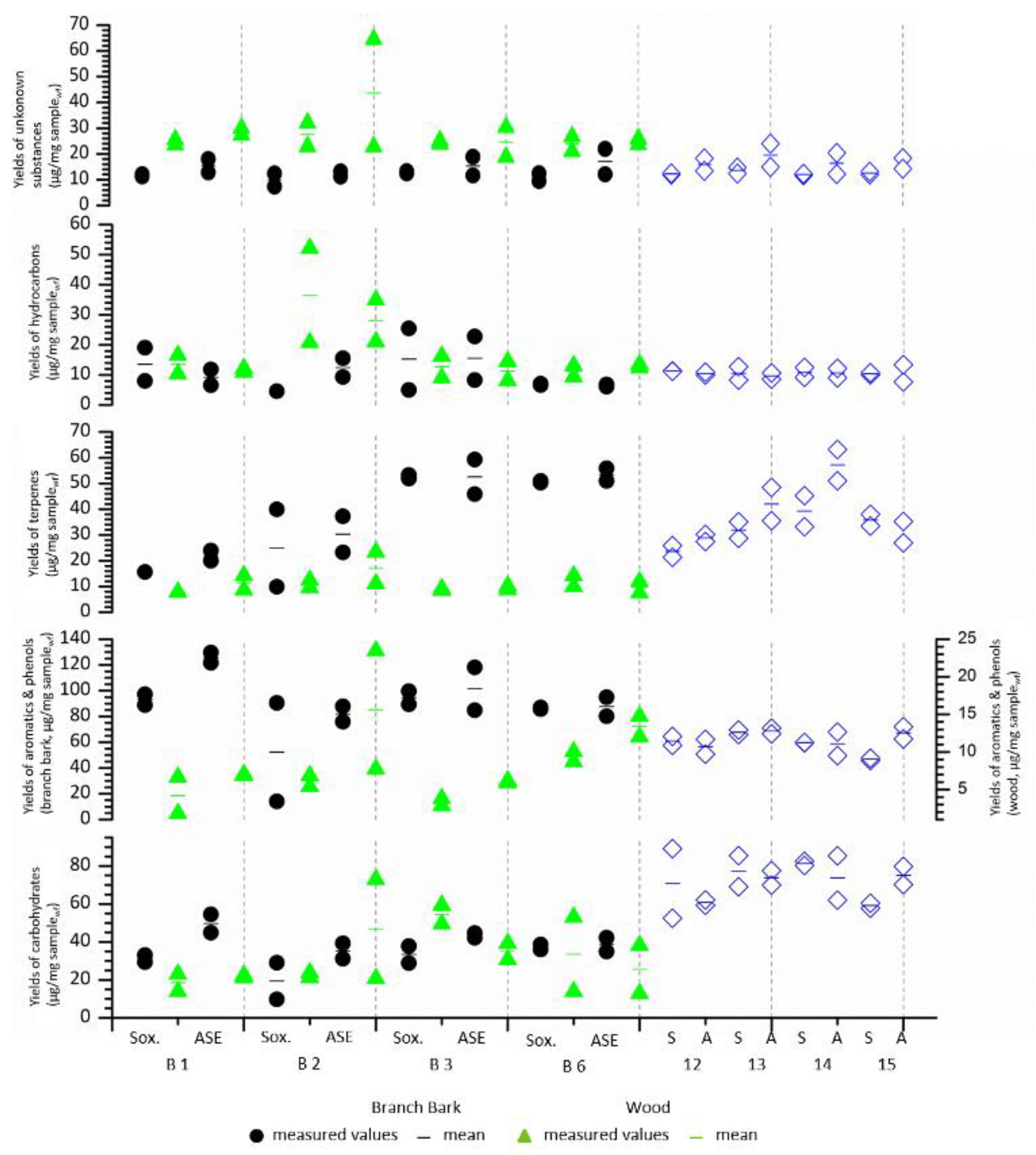
3.2.2. Comparison of Extraction Methods and Statistical Tests for Conformance of Extraction Methods
3.2.3. Model Calculation
4. Conclusions
Author Contributions
Funding
Data Availability Statement
Acknowledgments
Conflicts of Interest
Appendix A
| Stem Parts Making up the Entire Trunk (SP) | Original Height of the Stem (m) | Length (m) | Diameter (cm) | Weight (kg) | X: Stem Part Selected for Extraction | Stem Disc ID for Extraction (SD) |
|---|---|---|---|---|---|---|
| SP1 | 0.08 | 0.87 | 47.00 | 118.50 | X | SD1 |
| SP2 | 3.27 | 2.47 | 40.50 | 276.40 | X | SD2 |
| SP3 | 1.30 | 37.00 | 118.30 | X | SD2 | |
| SP4 | 1.26 | 34.50 | 110.20 | |||
| SP5 | 6.47 | 1.24 | 33.00 | 103.10 | X | SD3 |
| SP6 | 1.01 | 34.00 | 77.10 | |||
| SP7 | 1.23 | 34.00 | 96.40 | |||
| SP8 | 9.67 | 1.24 | 30.50 | 80.50 | X | SD4 |
| SP9 | 1.31 | 29.50 | 80.20 | |||
| SP10 | 12.87 | 1.40 | 27.50 | 79.50 | X | SD5 |
| SP11 | 0.98 | 25.50 | 47.90 | |||
| SP12 | 1.27 | 24.00 | 57.50 | |||
| SP13 | 16.07 | 1.17 | 23.00 | 47.60 | X | SD6 |
| SP14 | 19.27 | 2.65 | 18.00 | 76.80 | X | SD7 |
References
- Hynynen, J.; Niemistö, P.; Viherä-Aarnio, A.; Brunner, A.; Hein, S.; Velling, P. Silviculture of birch (Betula pendula Roth and Betula pubescens Ehrh.) in northern Europe. Forestry 2010, 83, 103–119. [Google Scholar] [CrossRef]
- Dubois, H.; Verkasalo, E.; Claessens, H. Potential of Birch (Betula pendula Roth and B. pubescens Ehrh.) for Forestry and Forest-Based Industry Sector within the Changing Climatic and Socio-Economic Context of Western Europe. Forests 2020, 11, 336. [Google Scholar] [CrossRef]
- Korhonen, K.T.; Ahola, A.; Heikkinen, J.; Henttonen, H.M.; Hotanen, J.-P.; Ihalainen, A.; Melin, M.; Pitkänen, J.; Räty, M.; Sirviö, M.; et al. Forests of Finland 2014–2018 and their development 1921–2018. Silva Fenn. 2021, 55, 49. [Google Scholar] [CrossRef]
- Petersson, H.; Nilsson, P.; Roberge, C.; Dahlgren, J.; Fridman, J. Skogsdata 2022, Aktuella Uppgifter om de Svenska Skogarna Från SLU Riksskogstaxeringen, Tema: Den Formellt Skyddade Skogen. Institutionen för Skoglig Resurshushållning, SLU Umeå. 2022. Available online: https://www.slu.se/centrumbildningar-och-projekt/riksskogstaxeringen/statistik-om-skog/skogsdata/ (accessed on 17 October 2022). (In Swedish).
- Svensson, A.; Eriksen, R.; Hylen, G.; Granhus, A. Skogen i Norge. Statistikk over skogforhold og skogressurser i Norge for perioden 2015–2019. NIBIO Rapp. 2021, 7, 142. Available online: https://nibio.brage.unit.no/nibio-xmlui/bitstream/handle/11250/2763651/NIBIO_RAPPORT_2021_7_142.pdf?sequence=2&isAllowed=y (accessed on 17 October 2022). (In Norwegian).
- Federal Ministry of Food and Agriculture, Johann Heinrich von Thünen Institute (Eds.). Third National Forest Inventory. 2021. Available online: https://bwi.info/ (accessed on 26 January 2021).
- Verkasalo, E.; Heräjärvi, H.; Möttönen, V.; Haapala, A.; Brännström, H.; Vanhanen, H.; Miina, J. Current and future products as the basis for value chains of birch in Finland. In Proceedings of the 6th International Scientific Conference on Hardwood Processing, Lahti, Finland, 25–28 September 2017; pp. 81–96. [Google Scholar]
- Kilde, V.; Solli, K.H.; Pitzner, B.; Lind, P.; Bramming, J. Bjørk i synlige konstruksjoner. Treteknisk Rapport 67. 2006. Available online: www.treteknisk.no/publikasjoner/rapport/67-bjork-i-synlige-konstruksjoner (accessed on 20 September 2022). (In Norwegian).
- Krasutsky, P.A. Birch bark research and development. Nat. Prod. Rep. 2006, 23, 919–942. [Google Scholar] [CrossRef]
- Ferreira, R.; Garcia, H.; Sousa, A.F.; Freire, C.S.R.; Silvestre, A.J.D.; Kunz, W.; Rebeloa, L.P.N.; Pereira, C.S. Microwave assisted extraction of betulin from birch outer bark. RSC Adv. 2013, 3, 21285. [Google Scholar] [CrossRef]
- Koptelova, E.N.; Kutakova, N.A.; Tretjakov, S.I.; Faleva, A.V.; Razumov, E.; Barcík, S. Extraction of betulin from the birch bark balance at pulp and paper production. Wood Res. 2020, 65, 833–842. [Google Scholar] [CrossRef]
- Armbruster, M.; Mönckedieck, M.; Scherließ, R.; Daniels, R.; Wahl, M. Birch Bark Dry Extract by Supercritical Fluid Technology: Extract Characterisation and Use for Stabilisation of Semisolid Systems. Appl. Sci. 2017, 7, 292. [Google Scholar] [CrossRef]
- Vedernikov, D.N.; Shabanova, N.Y.; Roshchin, V.I. Change in the chemical composition of the crust and inner bark of the Betula pendula Roth. Birch (Betulaceae) with tree height. Russ. J. Bioorg. Chem. 2011, 37, 877–882. [Google Scholar] [CrossRef]
- Ekman, R. The suberin monomers and triterpenoids from the outer bark of Betula verrucosa Ehrh. Holzforschung 1983, 37, 205–211. [Google Scholar] [CrossRef]
- Lachowicz, H.; Wróblewska, H.; Sajdak, M.; Komorowicz, M.; Wojtan, R. The chemical composition of silver birch (Betula pendula Roth.) wood in Poland depending on forest stand location and forest habitat type. Cellulose 2019, 26, 3047–3067. [Google Scholar] [CrossRef]
- Umezawa, T. Chemistry of extractives. In Wood and Cellulosic Chemistry, 2nd ed.; Hon, D.N.S., Shiraishi, N., Eds.; Marcel Dekker Inc.: New City, NY, USA, 2000; pp. 213–241. [Google Scholar]
- Hejno, K.; Jarolim, V.; Sorm, F. Über einige Inhaltsstoffe des weissen Teils der Birkenrinde. Collect. Czech. Chem. Commun. 1965, 30, 1009–1015. [Google Scholar] [CrossRef]
- Jeger, O. Über die Konstitution der Triterpene In Progress in the Chemistry of Organic Natural Products; Zechmeister, L., Ed.; Springer: Vienna, Austria, 1950; pp. 1–86. [Google Scholar] [CrossRef]
- Brüngger, H. Über das Betulin. Ph.D. Thesis, ETH Zürich, Zürich, Switzerland, 1932. [Google Scholar] [CrossRef]
- Cao, D.; Zhao, G.; Yan, W. Solubilities of Betulin in Fourteen Organic Solvents at Different Temperatures. J. Chem. Eng. Data 2007, 52, 1366–1368. [Google Scholar] [CrossRef]
- O´Conell, M.M.; Bentley, M.D.; Campbell, C.S.; Cole, B.J.W. Betulin variation in four white-barked birches. Phytochemistry 1987, 27, 2175–2176. [Google Scholar] [CrossRef]
- Liimatainen, J.; Karonen, M.; Sinkkonen, J.; Helander, M.; Salminen, J.P. Characterization of phenolic compounds from inner bark of Betula pendula. Holzforschung 2012, 66, 171–181. [Google Scholar] [CrossRef]
- Hänsel, R.; Sticher, O.; Steinegger, E. (Eds.) Pharmakognosie, 6th ed.; Springer: Heidelberg, Germany, 1999. [Google Scholar]
- Routa, J.; Brännström, H.; Anttila, P.; Mäkinen, M.; Jänis, J.; Asikainen, A. Wood extractives of Finnish pine, spruce and birch—Availability and optimal sources of compounds. Nat. Resour. Bioeconomy Stud. 2017, 73, 55. Available online: https://urn.fi/URN:ISBN:978-952-326-495-3 (accessed on 17 February 2021).
- Sajdak, M.; Lachowicz, H.; Wróblewska, H.; Wojtan, R. The effect of tree age on the chemical composition of the wood of silver birch (Betula pendula Roth.) in Poland. Wood Sci. Technol. 2019, 53, 1135–1155. [Google Scholar]
- Nurmi, J. Heating Values of the above ground biomass of small-sized trees. Acta For. Fenn. 1993, 236, 7682. [Google Scholar] [CrossRef]
- Green, B.; Bentley, M.D.; Chung, B.Y.; Lynch, N.G.; Jensen, B.L. Isolation of Betulin and Rearrangement to Allobetulin: A Biomimetic Natural Product Synthesis. J. Chem. Educ. 2007, 84, 1985. [Google Scholar] [CrossRef]
- Grysko, M. Herstellung und Charakterisierung von halbfesten Systemen auf der Basis von Triterpentrockenextrakt aus Birkenkork. Ph.D. Thesis, Universität Tübingen, Tübingen, Germany, 2012. Available online: https://publikationen.uni-tuebingen.de/xmlui/bitstream/10900/71772/1/160715_Dissertation_CR_final_druck.pdf (accessed on 20 February 2021).
- Nurmi, J. Heating values of mature trees. Acta For. Fenn. 1997, 256, 1–28. [Google Scholar] [CrossRef]
- Roitto, M.; Siwale, W.; Tanner, J.; Ilvesniemi, H.; Julkunen-Tiiti, R.; Verkasalo, E. Characterization of Extractives in Tree Biomass and By-products of Plywood and Saw Mills from Finnish Birch in Different Regions for Value-added Chemical Products. In Proceedings of the 5th International Scientific Conference on Hardwood Processing, Québec City, QC, Canada, 15–17 September 2015. [Google Scholar]
- Strunk, D. Gewinnung phenolischer Komponenten aus dem Birkenstamm als Rohstoffquelle für die Synthese eines neuen substituierten Phenylmethacrylats und dessen Polymerisation. Ph.D. Thesis, Universität Potsdam, Potsdam, Germany, 2018. Available online: https://nbn-resolving.de/urn:nbn:de:kobv:517-opus4-409227 (accessed on 14 January 2021).
- Bertaud, F.; Crampon Badens, E. Volatile terpene extraction of spruce, fir and maritime pine wood: Supercritical CO2 extraction compared to classical solvent extractions and steam distillation. Holzforschung 2017, 71, 667–673. [Google Scholar] [CrossRef]
- Laszsczyk, M.; Jäger, S.; Simon-Haarhaus, B.; Scheffler, A.; Schempp, C.M. Physical, chemical and pharmacological characterization of a new oleogel-forming triterpene extract from the outer bark of birch (betulae cortex). Planta Med. 2006, 72, 1389–1395. [Google Scholar] [CrossRef] [PubMed]
- Ciurlea, S.; Soica, C.; Ionescu, D.; Ambrus, R.; Feflea, S.; Dehelean, C.A. Birch tree outer bark, a natural source of bioactive pentacyclic triterpenes with an antitumor activity. J. Agroaliment. Process. Technol. 2010, 16, 328–332. Available online: https://journal-of-agroalimentary.ro/admin/articole/79234L70_Cristina_Dehelean_2_Vol.2_01-02_2010_328-332.pdf (accessed on 25 January 2021).
- Dehelean, C.A.; Soica, C.; Ledeţi, I.; Aluaş, M.; Zupko, I.; GLuşcan, A.; Cinta-Pinzaru, S.; Munteanu, M. Study of the betulin enriched birch bark extracts effects on human carcinoma cells and ear inflammation. Chem. Cent. J. 2012, 6, 137. [Google Scholar] [CrossRef]
- Patočka, J. Biologically active pentacyclic triterpenes and their Biologically active pentacyclic triterpenes and their current medicine signification. J. Appl. Biomed. 2003, 1, 7–12. [Google Scholar] [CrossRef]
- Šiman, P.; Filipová, A.; Tichá, A.; Niang, M.; Bezrouk, A.; Havelek, R. Effective Method of Purification of Betulin from Birch Bark: The Importance of Its Purity for Scientific and Medicinal Use. PLoS ONE 2016, 11, e0154933. Available online: https://journals.plos.org/plosone/article?id=10.1371/journal.pone.0154933 (accessed on 27 September 2022). [CrossRef]
- Willför, S.; Eckerman, C.; Hemming, J.; Holmbom, B.; Pierarinen, S.; Sundberg, A. United. States Patent US7976877 B2 Use of knots, 2011. Available online: https://patents.google.com/patent/US7976877B2/en (accessed on 10 January 2021).
- Vladimirov, M.S.; Nikolić, V.D.; Stanojević, L.P.; Nikolić, L. Common birch (Betula pendula Roth.)—chemical composition and biological activity of isolates. Adv. Technol. 2019, 8, 65–77. [Google Scholar] [CrossRef]
- Réh, R.; Krišt’ák, L.; Sedliacik, J.; Bekhta, P.; Božiková, M.; Kunecová, D.; Vozárová, V.; Tudor, E.M.; Antov, P.; Savov, V. Utilization of Birch Bark as an Eco-Friendly Filler in Urea-Formaldehyde Adhesives for Plywood Manufacturing. Polymers 2021, 13, 511. [Google Scholar] [CrossRef]
- Ferreira, J.P.A.; Quilhó, T.; Pereira, H. Characterization of Betula pendula Outer Bark Regarding Cork and Phloem Components at Chemical and Structural Levels in View of Biorefinery Integration. J. Wood Chem. Technol. 2017, 37, 10–27. [Google Scholar] [CrossRef]
- Hassegawa, M.; Gélina, N.; Beaudoin, D.; Achim, A. Assessing the potential impact of a biorefinery product from sawmill residues on the profitability of a hardwood value chain. Can. J. For. Res. 2018, 48, 857–868. [Google Scholar] [CrossRef]
- Alonso-Serra, J.; Safronov, O.; Lim, K.-J.; Fraser-Miller, S.J.; Blokhina, O.B.; Campilho, A.; Chong, S.-L.; Fagerstedt, K.; Haavikko, R.; Helariutta, Y.; et al. Tissue-specific study across the stem reveals the chemistry and transcriptome dynamics of birch bark. New Phytol. 2019, 222, 1816–1831. [Google Scholar] [CrossRef]
- Kebbi-Benkeder, Z.; Colin, F.; Dumarçay, S.; Gérardin, P. Quantification and characterization of knotwood extractives of 12 European softwood and hardwood species. Ann. For. Sci. 2015, 72, 277–284. [Google Scholar] [CrossRef]
- Kuznetsova, S.A.; Kuznetsova, B.N.; Dkvortsova, G.P.; Vasilieva, N.Y.; Skurydina, E.S.; Kalacheva, G.S. Development of the Method of Obtaining Betulin Diacetate and Dipropionate from Birch Bark. Chem. Sustain. Dev. 2010, 1, 265–272. [Google Scholar]
- Fengel, D.; Wegener, G. Wood. Chemistry, Ultrastructure, Reactions; Walter de Gruyter & Co.: Berlin, Germany, 1984. [Google Scholar]
- Sipi, M. Sahatavaratuotanto; Opetushallitus: Helsinki, Finland, 2006. [Google Scholar]
- Krogell, J.; Holmbom, B.; Pranovich, A.; Hemming, J.; Willför, S. Extraction and chemical characterization of Norway spruce inner and outer bark. Nord. Pulp. Paper Res. J. 2012, 27, 6–17. [Google Scholar] [CrossRef]
- Viherä-Aarnio, A.; Velling, P. Growth, wood density and bark thickness of silver birch originating from the Baltic countries and Finland in two Finnish provenance trials. Silva Fenn. 2017, 51, 7731. [Google Scholar] [CrossRef]
- Heemken, O.P.; Theobald, N.; Wenclawiak, B.W. Comparison of ASE and SFE with Soxhlet, Sonication, and Methanolic Saponification Extractions for the Determination of Organic Micropollutants in Marine Particulate Matter. Anal. Chem. 1997, 69, 2171–2180. [Google Scholar] [CrossRef]
- Zuloaga, O.; Etxebarria, N.; Fernández, L.; Madariaga, J.M. Optimization and comparison of MAE, ASE and Soxhlet extraction for the determination of HCH isomers in soil samples. Fresenius J. Anal. Chem. 2000, 367, 733–737. [Google Scholar] [CrossRef]
- Rodríguez-Solana, R.; Salgado, J.M.; Domínguez, J.M.; Cortés-Diéguez, S. Comparison of Soxhlet, Accelerated Solvent and Supercritical Fluid Extraction Techniques for Volatile (GC–MS and GC/FID) and Phenolic Compounds (HPLC–ESI/MS/MS) from Lamiaceae Species. Phytochem. Anal. 2014, 26, 61–71. [Google Scholar] [CrossRef]
- Guo, S.; Zhang, D.; Wei, H.; Zhao, Y.; Cao, Y.; Yu, T.; Wang, Y.; Yan, X. Climatic Factors Shape the Spatial Distribution of Concentrations of Triterpenoids in Barks of White Birch (Betula platyphylla Suk.) Trees in Northeast China. Forests 2017, 8, 334. [Google Scholar] [CrossRef]
- Pinto, P.C.R.O.; Sousa, A.F.; Silvestre, A.J.D.; Netoa, C.P.; Gandini, A.; Eckerman, C.; Holmbomb, B. Quercus suber and Betula pendula outer bark as renewable sources of oleochemicals: A comparative study. Ind. Crops Prod. 2009, 29, 126–132. [Google Scholar] [CrossRef]
- Sakai, K. Chemistry of bark. In Wood and Cellulosic Chemistry, 2nd ed.; Hon, D.N.S., Shiraishi, N., Eds.; Marcel Dekker Inc.: New City, NY, USA, 2000; pp. 243–273. [Google Scholar]
- Brennan, M.; Fritsch, C.; Cosgun, S.; Dumarcay, S.; Colin, F.; Gérardin, P. Quantitative and qualitative composition of bark polyphenols changes longitudinally with bark maturity in Abies alba Mill. Ann. For. Sci. 2020, 77, 9. [Google Scholar] [CrossRef]
- Stark, S.; Julkunen-Tiitto, R.; Holappa, E.; Mikkola, K.; Nikula, A. Concentrations of Foliar Quercetin in Natural Populations of White Birch (Betula pubescens) Increase with Latitude. J. Chem. Ecol. 2008, 34, 1382–1391. [Google Scholar] [CrossRef] [PubMed]
- Karonen, M.; Liimatainen, J.; Sinkhonen, J. Birch inner bark procyanidins can be resolved with enhanced sensitivity by hydrophilic interaction HPLC-MS. J. Sep. Sci. 2011, 34, 3158–3165. [Google Scholar] [CrossRef] [PubMed]





| Stem Discs Subtracted for Sampling | HTA (m) | Branches Subtracted for Sampling | ||||||||||
|---|---|---|---|---|---|---|---|---|---|---|---|---|
| Branches diameter > 7 cm (B > 7) | ||||||||||||
| Fissured coarse bark (FB) | Outer bark (OB) | Inner Bark (IB) | Stemwood (SW) | Branch bark (B > 7, BB) | Branch wood (B > 7, BW) | Branches of 1–7 cm (B1–7) | Twigs and foliage (TF) | |||||
| 19.30 | 11.1 | 11.2 | 15 | 19 | B6 | Branch ID | ||||||
| Stem disc ID | SD7 | 7.1 | 7.2 | 7.3 | 19.27 | |||||||
| SD6 | 6.1 | 6.2 | 6.3 | 16.07 | ||||||||
| 15.4 | 10.1 | 10.2 | 14 | 18 | B3 | |||||||
| 13.2 | 9.1 | 9.2 | 13 | 17 | B2 | |||||||
| SD5 | 5.1 | 5.2 | 5.3 | 12.87 | ||||||||
| SD4 | 4.1 | 4.2 | 4.3 | 9.67 | ||||||||
| 9.0 | 8.1 | 8.2 | 12 | 16 | B1 | |||||||
| SD3 | 3.1 | 3.2 | 3.3 | 6.47 | ||||||||
| SD2 | 2.1 | 2.2 | 2.3 | 3.27 | ||||||||
| SD1 | 1.1 | 1.2 | 0.08 | |||||||||
| Stem Tissues | HTA (m) | Branch Tissues | ||||||||||||
|---|---|---|---|---|---|---|---|---|---|---|---|---|---|---|
| FB | OB | IB | SB | SW | B > 7 | B > 7, BB | B > 7, BW | B1–7 | TF | |||||
| a | b | c | ||||||||||||
| 19.30 | 39.59 | 17.75 | 82.25 | 42.59 | 17.83 | B6 | Branch ID | |||||||
| Stem disc ID | SD7 | 2.44 | 12.31 | 14.75 | 85.24 | 19.27 | ||||||||
| SD6 | 2.12 | 14.95 | 17.07 | 82.94 | 16.07 | |||||||||
| 15.4 | 51.23 | 20.50 | 79.50 | 31.41 | 17.35 | B3 | ||||||||
| 13.2 | 57.37 | 17.14 | 82.86 | 28.50 | 14.14 | B2 | ||||||||
| SD5 | 1.20 | 12.55 | 13.75 | 86.25 | 12.87 | |||||||||
| SD4 | 1.95 | 13.10 | 15.05 | 84.96 | 9.67 | |||||||||
| 9.00 | 65.84 | 19.99 | 80.01 | 20.79 | 13.37 | B1 | ||||||||
| SD3 | 1.90 | 10.62 | 12.52 | 87.48 | 6.47 | |||||||||
| SD2 | 1.82 | 8.46 | 10.28 | 89.73 | 3.27 | |||||||||
| SD1 | 14.77 | 85.23 | 0.08 | |||||||||||
| APT | 14.77 | 1.91 ± 0.41 | 12.00 ± 2.22 | 13.90 ± 2.33 | 86.10 ± 2.33 | 53.51 ± 11.04 | 18.85 ± 1.65 | 81.16 ± 1.65 | 30.82 ± 9.03 | 15.67 ± 2.24 | ||||
| Fissured Coarse Bark (FB) | Outer Bark (OB) | Inner Bark (IB) | Stem Wood (SW) | ||||||||||||||||||||||||||||||||
|---|---|---|---|---|---|---|---|---|---|---|---|---|---|---|---|---|---|---|---|---|---|---|---|---|---|---|---|---|---|---|---|---|---|---|---|
| ID | Soxhlet | ASE | ID | Soxhlet | ASE | ID | Soxhlet | ASE | ID | Soxhlet | ASE | ||||||||||||||||||||||||
| N | mean | range | N | mean | ±stdv | range | N | mean | range | N | mean | ±stdv | range | TK HSD | N | mean | range | N | mean | ±stdv | range | TK HSD | N | mean | range | N | mean | ±stdv | range | TK HSD | |||||
| SD1 | 1.1 | 2 | 11.80 | 0.55 | 3 | 12.72 | ±0.50 | 0.98 | 1.2 | 2 | 6.03 | 0.36 | 3 | 6.12 | ±0.36 | 0.64 | A | ||||||||||||||||||
| SD2 | 2.1 | 2 | 27.08 | 0.47 | 3 | 27.14 | ±0.72 | 1.25 | C | 2.2 | 2 | 22.14 | 2.08 | 3 | 20.18 | ±0.55 | 1.01 | A | 2.3 | 2 | 2.44 | 0.22 | 3 | 2.66 | ±0.14 | 0.27 | C | ||||||||
| SD3 | 3.1 | 2 | 30.50 | 1.44 | 3 | 30.02 | ±0.34 | 0.64 | B | 3.2 | 2 | 18.81 | 0.15 | 3 | 17.62 | ±0.59 | 1.1 | C | 3.3 | 2 | 3.71 | 0.47 | 3 | 3.81 | ±0.26 | 0.39 | B | ||||||||
| SD4 | 4.1 | 2 | 35.21 | 0.47 | 3 | 34.15 | ±0.62 | 1.14 | A | 4.2 | 2 | 19.29 | 0.82 | 3 | 19.42 | ±0.23 | 0.46 | AB | 4.3 | 2 | 2.91 | 0.34 | 3 | 2.83 | ±0.18 | 0.34 | C | ||||||||
| SD5 | 5.1 | 2 | 31.46 | 0.79 | 3 | 30.01 | ±0.54 | 1.01 | B | 5.2 | 2 | 19.35 | 0.15 | 3 | 17.96 | ±0.93 | 1.82 | BC | 5.3 | 2 | 3.20 | 0.16 | 3 | 3.13 | ±0.08 | 0.15 | C | ||||||||
| SD6 | 6.1 | 2 | 33.06 | 0.91 | 3 | 32.41 | ±0.78 | 1.53 | A | 6.2 | 2 | 14.30 | 0.11 | 3 | 15.32 | ±0.10 | 0.19 | D | 6.3 | 2 | 3.63 | 0.02 | 3 | 3.81 | ±0.16 | 0.30 | B | ||||||||
| SD7 | 7.1 | 2 | 34.56 | 0.39 | 3 | 33.74 | ±0.94 | 1.87 | A | 7.2 | 2 | 18.20 | 0.65 | 3 | 18.20 | ±0.74 | 1.45 | BC | 7.3 | 2 | 3.32 | 0.04 | 3 | 3.77 | ±0.27 | 0.54 | B | ||||||||
| Branch Bark (B > 7, BB) | Branch Wood (B > 7, BW) | Branches of 1–7 cm (B1–7) | Twigs and Foliage (TF) | ||||||||||||||||||||||||||||||||||
|---|---|---|---|---|---|---|---|---|---|---|---|---|---|---|---|---|---|---|---|---|---|---|---|---|---|---|---|---|---|---|---|---|---|---|---|---|---|
| ID | Soxhlett | ASE | ID | Soxhlett | ASE | ID | Soxhlett | ASE | ID | Soxhlett | ASE | ||||||||||||||||||||||||||
| N | mean | range | N | mean | ±stdv | range | TK HSD | N | mean | range | N | mean | ±stdv | range | TK HSD | N | mean | range | N | mean | ±stdv | range | TK HSD | N | mean | range | N | mean | ±stdv | range | TK HSD | ||||||
| B1 | B_a | 8.1 | 2 | 20.82 | 1.62 | 3 | 20.64 | ±0.33 | 0.58 | A | 8.2 | 2 | 6.28 | 0.35 | 3 | 5.87 | ±0.19 | 0.37 | A | 12 | 2 | 10.15 | 0.52 | 3 | 10.43 | ±0.36 | 0.71 | C | 16 | 2 | 24.99 | 0.41 | 3 | 23.58 | ±0.23 | 0.45 | A |
| B2 | B_b | 9.1 | 2 | 19.67 | 2.52 | 3 | 19.14 | ±0.70 | 1.38 | B | 9.2 | 2 | 4.94 | 0.53 | 3 | 5.17 | ±0.35 | 0.62 | B | 13 | 2 | 12.38 | 0.34 | 3 | 12.47 | ±0.31 | 0.59 | A | 17 | 2 | 23.79 | 1.50 | 3 | 24.25 | ±0.93 | 1.65 | A |
| B3 | B_c | 10.1 | 2 | 20.16 | 1.13 | 3 | 18.78 | ±0.72 | 1.43 | B | 10.2 | 2 | 5.10 | 0.16 | 3 | 4.94 | ±0.12 | 0.22 | B | 14 | 2 | 11.40 | 0.27 | 3 | 11.41 | ±0.05 | 0.10 | B | 18 | 2 | 22.75 | 2.14 | 3 | 24.38 | ±0.72 | 1.43 | A |
| B6 | B_d | 11.1 | 2 | 16.30 | 0.73 | 3 | 17.11 | ±0.36 | 0.63 | C | 11.2 | 2 | 3.71 | 0.61 | 3 | 3.71 | ±0.10 | 0.19 | C | 15 | 2 | 10.79 | 1.70 | 3 | 10.60 | ±0.34 | 0.60 | C | 19 | 2 | 23.54 | 0.19 | 3 | 23.45 | ±0.55 | 1.09 | A |
| Stem Disc, Sample ID | Branch, Sample ID | Prob > |t| |
|---|---|---|
| SD7, 7.3 | B6, 11.2 | 0.7472 |
| SD6, 6.3 | B3, 10.2 | 0.0009 |
| SD5, 5.3 | B2, 9.2 | 0.0072 |
| SD4, 4.3 | B1, 8.2 | 0.0001 |
| Tissue | Regression Expression | Prob> |t|, i | Prob> |t|, sc | R2 | n |
|---|---|---|---|---|---|
| BB | EY = 23.715857 − 0.3379711 * HTA | <0.0001 * | <0.0001 * | 0.870 | 12 |
| BW | EY = 7.8406265 − 0.2056779 * HTA | <0.0001 * | <0.0001 * | 0.904 | 12 |
| IB | EY = 19.953178 − 0.1628571 * HTA | <0.0001 * | 0.0169 * | 0.308 | 18 |
| OB | EY = 27.616578 + 0.3219048 * HTA | <0.0001 * | 0.0012 * | 0.491 | 18 |
| Stem Tissues Extracted | HTA (m) | Branch Tissues Extracted | ||||||||||
|---|---|---|---|---|---|---|---|---|---|---|---|---|
| FB | OB | IB | SW | B > 7, BB | B > 7, BW | B1–7 | TF | |||||
| 19.30 | 0.2181 | 0.9965 | 0.8631 | 0.8129 | B6 | Branch ID | ||||||
| Stem disc ID | SD7 | 0.2704 | 0.9886 | 0.1016 | 19.27 | |||||||
| SD6 | 0.3972 | 0.0017 | 0.1806 | 16.07 | ||||||||
| 15.4 | 0.1846 | 0.2448 | 0.9299 | 0.3469 | B3 | |||||||
| 13.2 | 0.7465 | 0.545 | 0.7319 | 0.6668 | B2 | |||||||
| SD5 | 0.0915 | 0.1215 | 0.5589 | 12.87 | ||||||||
| SD4 | 0.0908 | 0.8111 | 0.7203 | 9.67 | ||||||||
| 9 | 0.864 | 0.1988 | 0.3425 | 0.0351 | B1 | |||||||
| SD3 | 0.6222 | 0.0684 | 0.7409 | 6.47 | ||||||||
| SD2 | 0.9005 | 0.2903 | 0.249 | 3.27 | ||||||||
| SD1 | 0.1117 | 0.757 | 0.08 | |||||||||
| Tissue | Regression Expression | Prob > |t|, i | Prob > |t|, sc | R2 | n |
|---|---|---|---|---|---|
| OB | B = 476.77273 – 7.5002786 * HTA | <0.0001 * | 0.0512 | 0.329 | 12 |
| OB | L = 6.8114721 + 1.1996753 * HTA | 0.1263 | 0.0043 * | 0.575 | 12 |
| BB | B = −2.851726 + 6.5923789 * HTA | 0.9463 | 0.0548 | 0.486 | 8 |
| BB | L = −0.268739 + 0.6458881 * HTA | 0.9347 | 0.0237 * | 0.602 | 8 |
| Tissue | Betulin Amount (Theoretical Extractable) (g) | Standard Deviation |
|---|---|---|
| Stem | ||
| fissured coarse bark | 1455.0 | 0.0 |
| outer bark | 9374.6 | 420.3 |
| inner bark | 1706.6 | 76.5 |
| Wood | 2258.5 | 89.63 |
| Branch (B > 7 cm) | ||
| bark | 3087.2 | 93.84 |
| wood | 0.0 | 0.0 |
| Branch (B < 7 cm) | ||
| bark/wood | 5533.8 | 310.34 |
| Total | 23,415.6 |
Disclaimer/Publisher’s Note: The statements, opinions and data contained in all publications are solely those of the individual author(s) and contributor(s) and not of MDPI and/or the editor(s). MDPI and/or the editor(s) disclaim responsibility for any injury to people or property resulting from any ideas, methods, instructions or products referred to in the content. |
© 2023 by the authors. Licensee MDPI, Basel, Switzerland. This article is an open access article distributed under the terms and conditions of the Creative Commons Attribution (CC BY) license (https://creativecommons.org/licenses/by/4.0/).
Share and Cite
Janzen, P.; Zimmer, K.; Appelt, J. Extractable Compounds in a Birch Tree—Variations in Composition and Yield Potentials. Forests 2023, 14, 1279. https://doi.org/10.3390/f14061279
Janzen P, Zimmer K, Appelt J. Extractable Compounds in a Birch Tree—Variations in Composition and Yield Potentials. Forests. 2023; 14(6):1279. https://doi.org/10.3390/f14061279
Chicago/Turabian StyleJanzen, Philipp, Katrin Zimmer, and Jörn Appelt. 2023. "Extractable Compounds in a Birch Tree—Variations in Composition and Yield Potentials" Forests 14, no. 6: 1279. https://doi.org/10.3390/f14061279
APA StyleJanzen, P., Zimmer, K., & Appelt, J. (2023). Extractable Compounds in a Birch Tree—Variations in Composition and Yield Potentials. Forests, 14(6), 1279. https://doi.org/10.3390/f14061279

