The “Oxygen Sink” of Bamboo Shoots Regulates and Guarantees the Oxygen Supply for Aerobic Respiration
Abstract
1. Introduction
2. Materials and Methods
2.1. Overview of the Test Site
2.2. Research Methods
2.2.1. Test Materials
2.2.2. Treatment of the Materials
2.2.3. Air Tightness Test of O2 and CO2 in the Bags
2.2.4. Measurement of Respiration Rate
2.2.5. Determination of O2 and CO2 Concentrations
2.2.6. Determination of Ethanol Content in Bamboo Shoots
2.2.7. Calculation of Anaerobic Respiration and Aerobic Respiration Ratio of Bamboo Shoots
2.2.8. Calculation of the O2 Consumption Ratio of Bamboo Shoots from Different Sources
2.2.9. O2 Consumption and CO2 Production Per Unit Volume of Bamboo Shoots
2.2.10. Determination of the Photosynthetic Rate of Bamboo Culms
2.2.11. Statistical Analysis
3. Results
3.1. Gas-Tightness of the Polyethylene Zip-Lock Bag to O2 and CO2
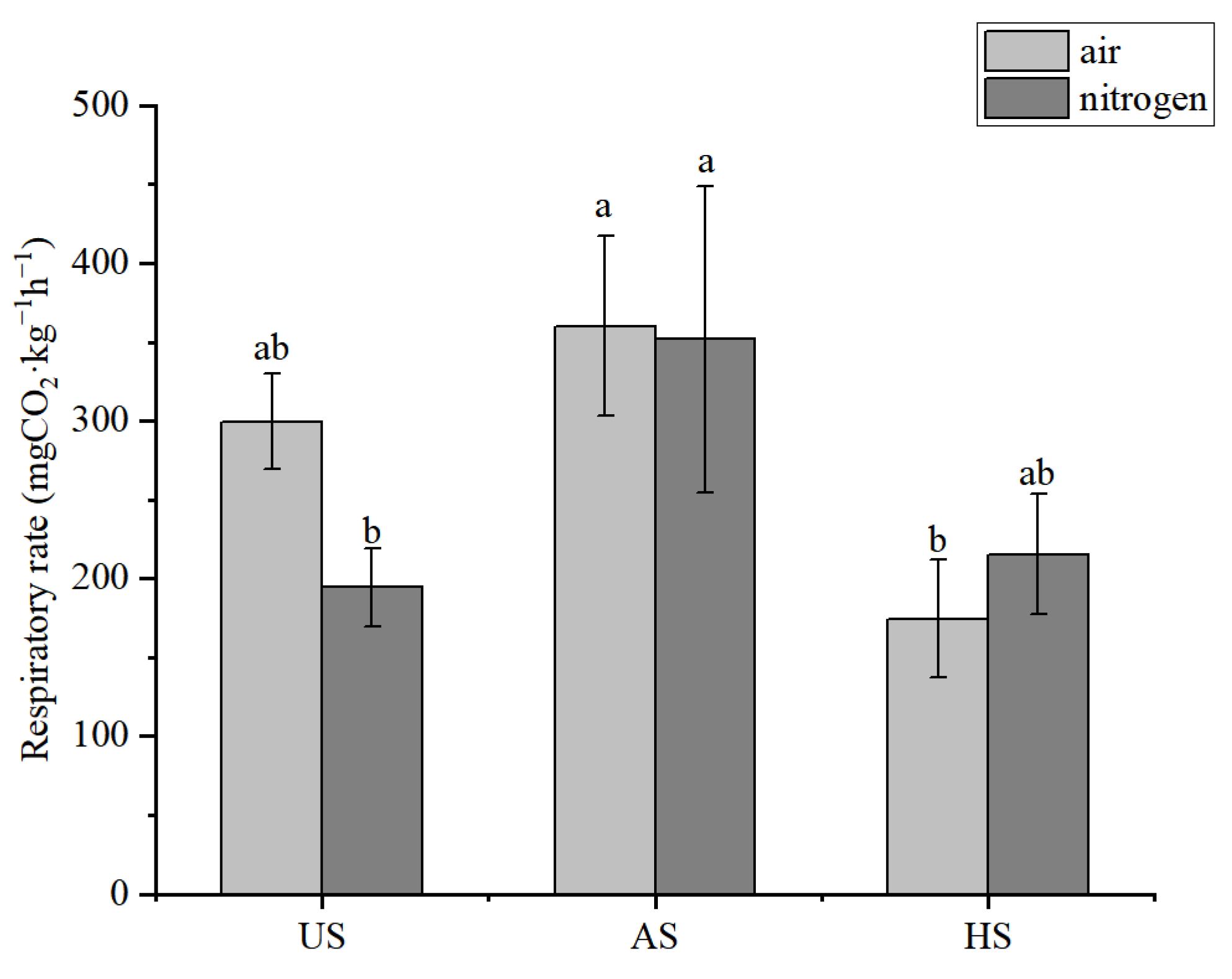
3.2. Changes in Respiration Rates of Bamboo Shoots Treated with Air and Nitrogen
3.3. Changes in Ethanol Content in Bamboo Shoots Treated with Air and Nitrogen
3.4. Ratios of Aerobic and Anaerobic Respiration of Bamboo Shoots
3.5. Proportion of O2 Consumption from Different Sources of Bamboo Shoots
3.6. O2 Consumption and CO2 Production Per Unit Volume of Bamboo Shoots
3.7. O2 produced by Photosynthesis of Bamboo Culms
4. Discussion
4.1. Respiratory Alternation of Bamboo Shoots
4.2. The Sources of O2 Supply for the Aerobic Respiration of Bamboo Shoots
4.3. Bamboo Shoot “Oxygen Sink” Phenomenon
5. Conclusions
Author Contributions
Funding
Acknowledgments
Conflicts of Interest
Abbreviation
| US | The underground Shoots |
| AS | 2-m-high aboveground Shoots |
| HS | 8-m-high height-growth-ceased Shoot |
| P. prominens | Phyllostachys prominens |
| GA | Gibberellin |
References
- Liese, W.; Kohl, M. Bamboo: The Plant and Its Uses; Springer International Publishing: Cham, Switzerland, 2015. [Google Scholar]
- Li, L.; Cheng, Z.; Ma, Y.; Bai, Q.; Li, X.; Cao, Z.; Wu, Z.; Gao, J. The association of hormone signalling genes, transcription and changes in shoot anatomy during moso bamboo growth. Plant Biotechnol. J. 2018, 16, 72–85. [Google Scholar] [CrossRef] [PubMed]
- Chen, M.; Guo, L.; Ramakrishnan, M.; Fei, Z.; Vinod, K.K.; Ding, Y.; Jiao, C.; Gao, Z.; Zha, R.; Wang, C.; et al. Rapid growth of Moso bamboo (Phyllostachys edulis): Cellular roadmaps, transcriptome dynamics, and environmental factors. Plant Cell 2022, 34, 3577–3610. [Google Scholar] [CrossRef] [PubMed]
- Wei, Q.; Guo, L.; Jiao, C.; Fei, Z.; Chen, M.; Cao, J.; Ding, Y.; Yuan, Q. Characterization of the developmental dynamics of the elongation of a bamboo internode during the fast growth stage. Tree Physiol. 2019, 39, 1201–1214. [Google Scholar] [CrossRef] [PubMed]
- Zhang, H.; Wang, H.; Zhu, Q.; Gao, Y.; Wang, H.; Zhao, L.; Wang, Y.; Xi, F.; Wang, W.; Yang, Y.; et al. Transcriptome characterization of moso bamboo (Phyllostachys edulis) seedlings in response to exogenous gibberellin applications. BMC Plant Biol. 2018, 18, 125. [Google Scholar] [CrossRef]
- Song, X.; Peng, C.; Zhou, G.; Gu, H.; Li, Q.; Zhang, C. Dynamic allocation and transfer of non-structural carbohydrates, a possible mechanism for the explosive growth of Moso bamboo (Phyllostachys heterocycla). Sci. Rep. 2016, 6, 25908. [Google Scholar] [CrossRef]
- Zhang, J.; Ma, R.; Ding, X.; Huang, M.; Shen, K.; Zhao, S.; Xiao, Z.; Xiu, C. Association among starch storage, metabolism, related genes and growth of Moso bamboo (Phyllostachys heterocycla) shoots. BMC Plant Biol. 2021, 21, 477. [Google Scholar] [CrossRef] [PubMed]
- Cui, K.; He, C.; Zhang, J.; Duan, A.; Zeng, Y. Temporal and Spatial Profiling of Internode Elongation-Associated Protein Expression in Rapidly Growing Culms of Bamboo. J. Proteome Res. 2012, 11, 2492–2507. [Google Scholar] [CrossRef]
- Xiao, Z.; Rogiers, S.Y.; Sadras, V.O.; Tyerman, S.D. Hypoxia in grape berries: The role of seed respiration and lenticels on the berry pedicel and the possible link to cell death. J. Exp. Bot. 2018, 69, 2071–2083. [Google Scholar] [CrossRef]
- Lin, L.; Lin, Y.; Lin, H.; Lin, M.; Ritenour, M.A.; Chen, Y.; Wang, H.; Hung, Y.; Lin, Y. Comparison between ‘Fuyan’ and ‘Dongbi’ longans in aril breakdown and respiration metabolism. Postharvest Biol. Technol. 2019, 153, 176–182. [Google Scholar] [CrossRef]
- Chen, Y.; Xie, H.; Tang, J.; Lin, M.; Hung, Y.; Lin, H. Effects of acidic electrolyzed water treatment on storability, quality attributes and nutritive properties of longan fruit during storage. Food Chem. 2020, 320, 126641. [Google Scholar] [CrossRef]
- Zhu, L.W.; Zhao, P.; Ni, G.Y.; Cao, Q.P.; Zhou, C.M.; Zeng, X.P. Individual- and stand-level stem CO2 efflux in a subtropical Schima superba plantation. Biogeosciences 2012, 9, 3729–3737. [Google Scholar] [CrossRef]
- Cai, X.; Zeng, X.; Chen, Y. Stem corticular photosynthesis:ecophysiological functions and their measurement. Acta Ecol. Sin. 2015, 35, 6909–6922. [Google Scholar]
- Shen, H. Effect of Drought Stress and Rewatering on the Growth and Photosynthetic Physioloical Characteristics of Salix Matsudana Leaves and Twigs. Master’s Thesis, Chinese Academy of Forestry, Beijing, China, 2016. [Google Scholar]
- Wang, Z.; Wang, S.; Gu, Y. Plant Physiology, 2nd ed.; China Agriculture Press: Beijing, China, 2008; pp. 193–195. [Google Scholar]
- Ma, R.; Huang, M.; Zhang, J.; Zhao, A.; Ding, X.; Luo, Z.; Liu, S.; Xiao, Z.; Shen, K. Variation in respiration pathways of post-harvested treatment shoots of Moso Bamboo and the effect of hyperoxia treatment. Sci. Silvae Sin. 2022, 58, 33–46. [Google Scholar]
- Wang, S. Bamboo sheath—A modified branch based on the anatomical observations. Sci. Rep. 2017, 7, 16132. [Google Scholar] [CrossRef]
- Wang, S.; He, W.; Zhan, H. Culm sheaths affect height growth of bamboo shoots in Fargesia yunnanensis. Braz. J. Bot. 2018, 41, 255–266. [Google Scholar] [CrossRef]
- Li, T.; Wang, M.; Cao, Y.; Xu, G.; Yang, Q.; Ren, S.; Hu, S. Diurnal transpiration of bamboo culm & sheath and their potential effects on water transport during the bamboo shoot stage. Chin. J. Plant Ecol. 2022, 45, 15. [Google Scholar]
- Wang, Y.; Dong, W.; Gao, W.; Gao, L.; Guan, X. Main anatomical characteristics of bamboo culm sheath as packaging materials for pu-erh tea. J. Southwest For. Univ. 2020, 40, 184–188. [Google Scholar]
- Ding, Y.; Liese, W. On the nodal structure of bamboo. J. Bamboo Res. 1995, 14, 9. [Google Scholar]
- Yang, S.; Zhang, Y.; Goldstein, G.; Sun, M.; Ma, R.; Cao, K. Determinants of water circulation in a woody bamboo species: Afternoon use and night-time recharge of culm water storage. Tree Physiol. 2015, 35, 964–974. [Google Scholar] [CrossRef]
- Zhou, F. Cultivation and Utilization of Bamboo; The Bamboo Research Editorial Committee, Nanjing Forestry University: Nanjing, China, 1998; pp. 63–64. [Google Scholar]
- Dierick, D.; Hölscher, D.; Schwendenmann, L. Water use characteristics of a bamboo species (Bambusa blumeana) in the Philippines. Agric. For. Meteorol. 2010, 150, 1568–1578. [Google Scholar] [CrossRef]
- Chen, H.; Yan, L. Study on changing characteristics of dissolved oxygen and its relationship to water temperature in changtan reservoir in Zhejiang Province. Bull. Sci. Technol. 2015, 31, 5. [Google Scholar]






| Treatment | Stage | Aerobic Respiration Ratio (%) | Anaerobic Respiration Ratio (%) |
|---|---|---|---|
| Air | US | 99.99 | 0.01 |
| AS | 99.97 | 0.03 | |
| HS | 99.98 | 0.02 | |
| Nitrogen | US | 99.99 | 0.01 |
| AS | 99.97 | 0.03 | |
| HS | 99.98 | 0.02 |
| Treatment | Stage | O2 Consumption Ratio of Shoot Cavities (%) | O2 Consumption Ratio of Polyethylene Zip-Lock Bags (%) | Proportion of O2 from Unknown Sources (%) |
|---|---|---|---|---|
| Air | US | 0.06 | 59.66 | 40.28 |
| AS | 0.57 | 54.47 | 44.96 | |
| HS | 0.65 | 45.84 | 53.51 | |
| Nitrogen | US | 0.19 | - | 99.81 |
| AS | 4.71 | - | 95.29 | |
| HS | 4.79 | - | 95.21 |
| Treatment | Stage | O2 Consumption in Bamboo Shoot Cavities (mg·L−1) | O2 Consumption in Polyethylene Zip-Lock Bags (mg·L−1) | Total O2 Consumption (mg·L−1) |
|---|---|---|---|---|
| Air | US | 4.69 ± 1.04 a | 5663.07 ± 749.40 a | 5667.760 ± 749.63 a |
| AS | 8.80 ± 2.41 a | 828.34 ± 106.77 b | 837.14 ± 108.03 b | |
| HS | 9.05 ± 3.10 a | 694.89 ± 108.32 b | 703.94 ± 108.17 b | |
| Nitrogen | US | 15.65 ± 2.06 b | - | 15.65 ± 2.06 b |
| AS | 55.77 ± 5.62 a | - | 55.77 ± 5.62 a | |
| HS | 53.67 ± 4.40 a | - | 53.67 ± 4.40 a |
| Treatment | Stage | CO2 Generation in Shoot Cavities (mg·L−1) | CO2 Generation in Polyethylene Zip-Lock Bags (mg·L−1) | Total CO2 Generation (mg·L−1) |
|---|---|---|---|---|
| Air | US | −0.38 ± 1.14 a | 13,116.92 ± 1687.84 a | 13,116.92 ± 1687.84 a |
| AS | 0.75 ± 2.35 a | 2129.98 ± 299.31 b | 2130.73 ± 299.63 b | |
| HS | −7.25 ± 5.05 a | 2087.76 ± 253.46 b | 2080.51 ± 252.47 b | |
| Nitrogen | US | −3.65 ± 1.43 a | 12,877.43 ± 2190.27 a | 12,877.43 ± 2190.27 a |
| AS | 1.64 ± 2.53 a | 1985.62 ± 397.41 b | 1987.25 ± 396.10 b | |
| HS | −4.650 ± 4.12 a | 1980.4 ± 346.57 b | 1975.80 ± 343.41 b |
Disclaimer/Publisher’s Note: The statements, opinions and data contained in all publications are solely those of the individual author(s) and contributor(s) and not of MDPI and/or the editor(s). MDPI and/or the editor(s) disclaim responsibility for any injury to people or property resulting from any ideas, methods, instructions or products referred to in the content. |
© 2023 by the authors. Licensee MDPI, Basel, Switzerland. This article is an open access article distributed under the terms and conditions of the Creative Commons Attribution (CC BY) license (https://creativecommons.org/licenses/by/4.0/).
Share and Cite
Huang, M.; Zhao, A.; Ding, X.; Li, J.; Zhang, J.; Ma, R.; Xiao, Z.; Cai, H.; Wang, A.; Bi, Y. The “Oxygen Sink” of Bamboo Shoots Regulates and Guarantees the Oxygen Supply for Aerobic Respiration. Forests 2023, 14, 944. https://doi.org/10.3390/f14050944
Huang M, Zhao A, Ding X, Li J, Zhang J, Ma R, Xiao Z, Cai H, Wang A, Bi Y. The “Oxygen Sink” of Bamboo Shoots Regulates and Guarantees the Oxygen Supply for Aerobic Respiration. Forests. 2023; 14(5):944. https://doi.org/10.3390/f14050944
Chicago/Turabian StyleHuang, Manchang, Aoshun Zhao, Xingcui Ding, Jian Li, Jiajia Zhang, Ruixiang Ma, Zizhang Xiao, Hanjiang Cai, Anke Wang, and Yufang Bi. 2023. "The “Oxygen Sink” of Bamboo Shoots Regulates and Guarantees the Oxygen Supply for Aerobic Respiration" Forests 14, no. 5: 944. https://doi.org/10.3390/f14050944
APA StyleHuang, M., Zhao, A., Ding, X., Li, J., Zhang, J., Ma, R., Xiao, Z., Cai, H., Wang, A., & Bi, Y. (2023). The “Oxygen Sink” of Bamboo Shoots Regulates and Guarantees the Oxygen Supply for Aerobic Respiration. Forests, 14(5), 944. https://doi.org/10.3390/f14050944
