Assessing Potential Effects of Nature-Based Solutions (NBS) on Water Ecosystem Service in the Interurban Micro-Watershed Río Torres, Costa Rica
Abstract
1. Introduction
2. Materials and Methods
2.1. Study Area
2.2. Data Collection and Processing
2.3. Baseline Scenario
- P = Precipitation
- Ev = Evaporation
- I = Infiltration
- Q = Flow
- Fb = Base Flow
2.4. Future Scenarios Based on Land Cover Changes
- Ft = Total flow
- Fi = impervious flow
- Fp = permeable flow
- Fb = Base flow
2.5. Calibration of Predicted Flow versus Observed Flow
2.6. Consultative Process with Key Stakeholders on NBS
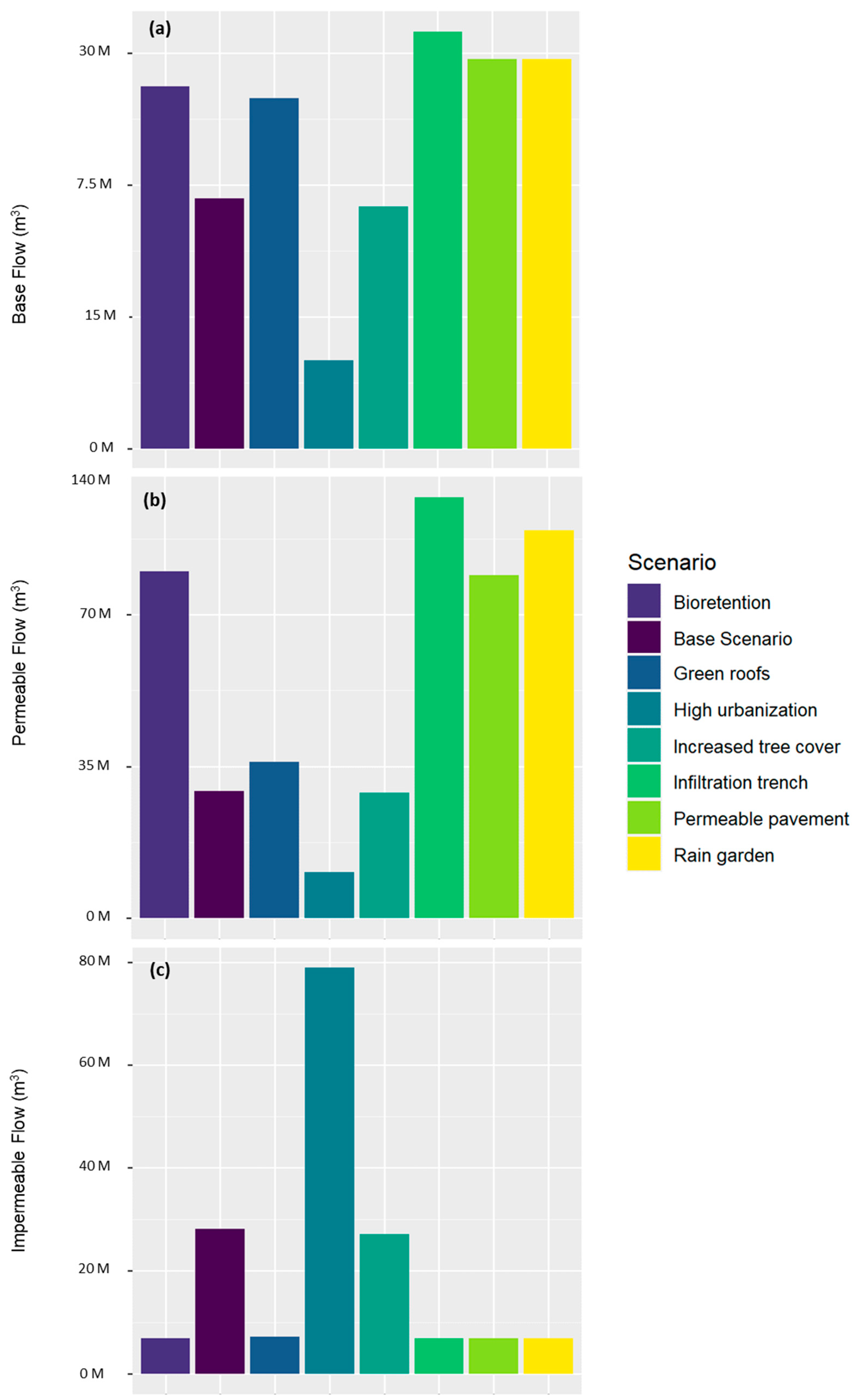
3. Results
3.1. Hydrological Modeling of the Baseline Scenario
3.2. Hydrological Modeling of Alternative Scenarios
3.3. Model Calibration Results
3.4. Feasibility of NBS Implementation
3.5. Social Validation Process
4. Discussion
4.1. Water Effects of NBS Implementation
4.2. Potential for Future NBS Implementation Feasibility
5. Conclusions
Author Contributions
Funding
Data Availability Statement
Acknowledgments
Conflicts of Interest
References
- Aboelnour, M.; Gitau, M.W.; Engel, B.A. Hydrologic Response in an Urban Watershed as Affected by Climate and Land-Use Change. Water 2019, 11, 1603. [Google Scholar] [CrossRef]
- Sánchez Rodriguez, R. Respuestas Urbanas Al Cambio Climático En América Latina; Comisión Económica para América Latina y el Caribe (CEPAL): Santiago, Chile, 2013; Volume 160. [Google Scholar]
- Ochoa, T.B.; Cuadros, A.J.; Arapa Guzmán, E.; Ochoa, T.E.; Bonnesoeur, V. Guía de Modelación Hidrológica Para La Infraestructura Natural; Imperial College London: London, UK, 2022. [Google Scholar]
- UNESCO. Agua y Cambio Climático–Datos y Cifras; UNESCO: Paris, France, 2020; Volume 16. [Google Scholar]
- Martínez-Austria, P.F. Los Retos de La Seguridad Hídrica. Tecnol. Cienc. Agua 2013, 4, 165–180. [Google Scholar]
- Suastegui Cruz, S. Estrategias Para La Seguridad Hídrica Ante Los Cambios de Precipitación Por Efectos Del Cambio Climático. RIDE Rev. Iberoam. Para Investig. Desarro. Educ. 2021, 12, 1039. [Google Scholar] [CrossRef]
- FAO. Organización de las Naciones Unidas para la Agricultura y la Alimentación–FAO Foro Mundial Sobre Bosques Urbanos; FAO: Rome, Italy, 2018; Volume 69, ISBN 9789251305201. [Google Scholar]
- BBVA. BBVA Research Urbanization in Latin America; 2017; Volume 21. ISBN 9781351970129. Available online: https://www.bbvaresearch.com/wp-content/uploads/2017/07/Urbanization-in-Latin-America-BBVA-Research.pdf (accessed on 23 March 2023).
- Kupriyanov, W. Urban Hydrology. Encycl. Life Support Syst. (EOLSS)-UNESCO 2009, III. [Google Scholar]
- Sokac, M. Water Balance in Urban Areas. IOP Conf. Ser. Mater. Sci. Eng. 2019, 471, 042028. [Google Scholar] [CrossRef]
- Pérez Rubi, M.; Hack, J. Co-Design of Experimental Nature-Based Solutions for Decentralized Dry-Weather Runoff Treatment Retrofitted in a Densely Urbanized Area in Central America. Ambio 2021, 50, 1498–1513. [Google Scholar] [CrossRef]
- Wild, T.C.; Jefferies, C.; D’Arcy, B.J. SUDS in Scotland: The Scottish SUDS Database. Sniffer 2002, 33, 44324. [Google Scholar] [CrossRef]
- Instituto Nacional de Estadísticas y Censos. Estimaciones y Proyecciones de Población Por Sexo y Edad, 1950–2050; Instituto Nacional de Estadísticas y Censos: San José, Costa Rica, 2013; ISBN 9789968683876.
- Arias Ramírez, R.; Sánchez Hernández, L. Patrones de Localización, Concentración y Evolución Del Empleo Industrial En La Gran Área Metropolitana (GAM) de Costa Rica. Cienc. Econ. 2012, 30, 131–154. [Google Scholar] [CrossRef]
- Sánchez Hernández, L. Informe Estado de la Nación en Desarrollo Humano Sostenible 2018 Tendencias y Patrones Del Crecimiento Urbano En La GAM, Implicaciones Sociales, Económicas y Ambientales y Desafíos Desde El Ordenamiento Territorial; Estado La Nación: San José, Costa Rica, 2018; Volume 38. [Google Scholar]
- Quesada-Román, A.; Castro-Chacón, J.P.; Boraschi, S.F. Geomorphology, Land Use, and Environmental Impacts in a Densely Populated Urban Catchment of Costa Rica. J. South Am. Earth Sci. 2021, 112, 103560. [Google Scholar] [CrossRef]
- Guerrero, E.; De Keizer, O.; Córdoba, R. La Aplicación Del Enfoque Ecosistémico En La Gestión de Los Recursos Hídricos; UICN: Gland, Switzerland, 2006; p. 78. [Google Scholar]
- Grau, H.R.; Hernández, M.E.; Gutierrez, J.; Gasparri, N.I.; Casavecchia, M.C.; Flores-Ivaldi, E.E.; Paolini, L. A Peri-Urban Neotropical Forest Transition and Its Consequences for Environmental Services. Ecol. Soc. 2008, 13, 35. [Google Scholar] [CrossRef]
- Jullian, C.; Nahuelhual, L.; Mazzorana, B.; Aguayo, M. Assessment of the Ecosystem Service of Water Regulation under Scenarios of Conservation of Native Vegetation and Expansion of Forest Plantations in South-Central Chile. Bosque 2018, 39, 277–289. [Google Scholar] [CrossRef]
- Esse, C.; Ríos, N.; Saavedra, P.; Fonseca, D.; Encina-Montoya, F.; Santander-Massa, R.; De los Ríos-Escalante, P.; Figueroa-Muñoz, G.; López-Pérez, A.; Correa-Araneda, F. Effects of Land Use Change on Water Availability and Water Efficiency in the Temperate Basins of South-Central Chile. J. King Saud Univ. Sci. 2021, 33, 101650. [Google Scholar] [CrossRef]
- McGrane, S.J. Impacts of Urbanisation on Hydrological and Water Quality Dynamics, and Urban Water Management: A Review. Hydrol. Sci. J. 2016, 61, 2295–2311. [Google Scholar] [CrossRef]
- Janicka, E.; Kanclerz, J. Assessing the Effects of Urbanization on Water Flow and Flood Events Using the HEC-HMS Model in the Wirynka River Catchment, Poland. Water 2023, 15, 86. [Google Scholar] [CrossRef]
- UICN. ¿Qué Son Las Soluciones Basadas en la Naturaleza? Available online: https://www.iucn.org/node/28778 (accessed on 31 October 2021).
- ONU-WWAP. Informe Mundial De Las Naciones Unidas Sobre El Desarrollo De Los Recursos Hídricos: Soluciones Basadas En La Naturaleza Para La Gestión Del Agua; ONU-WWAP: Paris, France, 2018; ISBN 9789233000582. [Google Scholar]
- Eggermont, H.; Balian, E.; Azevedo, J.M.N.; Beumer, V.; Brodin, T.; Claudet, J.; Fady, B.; Grube, M.; Keune, H.; Lamarque, P.; et al. Nature-Based Solutions: New Influence for Environmental Management and Research in Europe. Gaia 2015, 24, 243–248. [Google Scholar] [CrossRef]
- Chen, V.; Bonilla Brenes, J.R.; Chapa, F.; Hack, J. Development and Modelling of Realistic Retrofitted Nature-Based Solution Scenarios to Reduce Flood Occurrence at the Catchment Scale. Ambio 2021, 50, 1462–1476. [Google Scholar] [CrossRef]
- Comisión Europea. Construir Una Infraestructura Verde Para Europa; Unión Europea: Brussels, Belgium, 2014; Volume 22. [Google Scholar]
- Fernández Arce, M.; Méndez Ocampo, I.; Muñoz Jiménez, R. Exposición a Inundaciones En Moravia, San José, Costa Rica. Rev. Reflex. 2018, 98, 7–21. [Google Scholar] [CrossRef]
- Beven, K. Rainfall-Runoff Modelling; Wiley: Hoboken, NJ, USA, 2012; ISBN 9780470714591. [Google Scholar]
- Birkel, C.; Barahona, A.C. Rainfall-Runoff Modeling: A Brief Overview, 2nd ed.; Elsevier Inc.: Amsterdam, The Netherland, 2019; ISBN 9780124095489. [Google Scholar]
- Wang, J.; Endreny, T.A.; Nowak, D.J. Mechanistic Simulation of Tree Effects in an Urban Water Balance Model. J. Am. Water Resour. Assoc. 2008, 44, 75–85. [Google Scholar] [CrossRef]
- I-Tree I-Tree Hydro Home page: What Is Hydro? Available online: https://www.itreetools.org/tools/hydro (accessed on 26 July 2021).
- Avendaño-Leadem, D.; Cedeño-Montoya, B.; Arroyo-Zeledón, M.S. Integrando El Concepto de Servicios Ecosistémicos En El Ordenamiento Territorial. Rev. Geográfica América Cent. 2020, 2, 63–90. [Google Scholar] [CrossRef]
- Feoli, S. Corredor Biológico Interurbano Del Río Torres y Corredores Biológicos En General. Ambientico 2013, 232–233, 51–55. [Google Scholar]
- Quesada-Román, A.; Villalobos-Portilla, E.; Campos-Durán, D. Hydrometeorological Disasters in Urban Areas of Costa Rica, Central America. Environ. Hazards 2020, 20, 264–278. [Google Scholar] [CrossRef]
- Fallas Cordero, N. Mapas De Susceptibilidad Al Deslizamiento En Las Microcuencas De Los Ríos Torres y Tibás, Costa Rica, Graduation Project. Bachelor’s Thesis, Instituto Tecnológico de Costa Rica, School of Forestry Engineering, Cartago, Costa Rica, 2015; p. 78. Available online: https://repositoriotec.tec.ac.cr/bitstream/handle/2238/6354/mapas_susceptibilidad_deslizamiento_microcuencas.pdf?sequence=1&isAllowed=y (accessed on 29 July 2021).
- Rodríguez Castillo, G.; Sáez Peña, E. Estrategia Nacional Para La Recuperación de Cuencas Urbanas 2020–2030; San José, Costa Rica, 2020; Volume 44. [Google Scholar]
- Trujillo-Acosta, A.; Peraza-Estrella, M.J.; Marina-Hipólito, J.G.; Boraschi, S.F. Evaluación Del Corredor Interurbano Río Torres, Costa Rica. Rev. For. Mesoam. Kurú 2016, 14, 53. [Google Scholar] [CrossRef]
- I-Tree Hydro User’s Manual. USDA Forest Service Research, State and Private Forestry, and Their Cooperators through the I-Tree Cooperative Partnership of the Davey Tree Expert Company, Arbor Day Foundation, Society of Municipal Arborists, International Society of Arboriculture, Casey Trees, and State University of New York College of Environmental Science; V6.3 beta. 2019. Available online: https://www.itreetools.org/documents/242/Hydro_Manual_v6_eskH3aW.pdf (accessed on 26 July 2021).
- Centro Nacional de Información Geoambiental (CENIGA). Sistema de Clasificación Del Uso y La Cobertura de La Tierra Para Costa Rica. Versión 1.2. 2018, p. 64. Available online: https://www.ride.org.mx/index.php/RIDE/article/view/1039 (accessed on 29 July 2021).
- MINAE-SINAC-GIZ-CATIE Home page Proy. Biodiver_City Atlas de Servicios Ecosistémicos de La Gran Área Metropolitana. 2020. Available online: https://sites.google.com/view/atlas-v1-1/inicio (accessed on 10 March 2021).
- I-Tree Home page HydroPlus Technical Manual. USDA Forest Service Research, State and Private Forestry, and Their Cooperators through the I-Tree Cooperative Partnership of the Davey Tree Expert Company, Arbor Day Foundation, Society of Municipal Arborists, International Society of Arboriculture, Casey Trees, and State University of New York College of Environmental Science and Forestry. 2022. Available online: https://www.itreetools.org/documents/514/HydroPlus_TechnicalManual.pdf (accessed on 27 August 2022).
- Yang, Y.; Endreny, T.A.; Nowak, D.J. ITree-Hydro: Snow Hydrology Update for the Urban Forest Hydrology Model. J. Am. Water Resour. Assoc. 2011, 47, 1211–1218. [Google Scholar] [CrossRef]
- Addi, R. Computer Algorithms to Simulate Nature-Based Restoration of Urban River and Stormwater Systems. Ph.D. Thesis, State University of New York, New York, NY, USA, 2019. [Google Scholar]
- Wang, J.; Hassett, J.M.; Endreny, T.A. An Object Oriented Approach to the Description and Simulation of Watershed Scale Hydrologic Processes. Comput. Geosci. 2005, 31, 425–435. [Google Scholar] [CrossRef]
- Di Rienzo, J.A.; Casanoves, F.; Gonzalez, L.A.; Tablada, E.M.; Díaz, M.D.P.; Robledo, C.W.; Balzarini, M.G. Estadisticas Para Las Ciencias Agropecuarias; Brujas: Córdoba, Argentina, 2008; Volume 329. [Google Scholar]
- OTT Hydromet. OTT MF pro: Manual Básico Del Usuario; OTT Hydromet: Kempten, Germany, 2015; p. 26. [Google Scholar]
- Banco Mundial. Gestón Integral de Aguas Urbanas: Síntesis. H Street NW, Washington, DC, USA. 2012. Available online: https://funcagua.org.gt/wp-content/uploads/2020/04/2012.-Gestion-Integral-Aguas-Urbanas.pdf (accessed on 7 March 2022).
- Hirabayashi, S.; Endreny, T.A. Surface and Upper Weather Pre-Processor for I-Tree Eco and Hydro Introduction Surface Weather Data Contain Measurements at a Single Weather Station for a Year in the and Afternoon at a Single Site for a Year in the FSL Format. 2016, Volume 12, pp. 1–19. Available online: https://www.itreetools.org/documents/554/Surface_and_Upper_Weather_Pre-processor_Description.pdf (accessed on 25 March 2022).
- MINAET––Ministerio de Salud. Guía Para La Elaboración de Programas de Gestión Ambiental Institucional (PGAI) En El Sector Público de Costa Rica; MINAET—Ministerio de Salud: San José, Costa Rica, 2011; ISBN 9789977500997. Available online: https://www.seguridadpublica.go.cr/ministerio/gestion%20ambiental/guias%20y%20manuales/Guia%20elaboracion%20Programas%20Gestion%20Ambiental%20Institucional.pdf (accessed on 25 March 2022).
- CBIRT-RB. Corredor Biológico Interurbano Río Torres Reserva de La Biosfera: PLAN DE GESTIÓN 2021–2025; CBIRT-RB: San José, Costa Rica, 2020. [Google Scholar]
- ONU. Objetivo 11. Ciudades y Comunidades Sostenibles. Sust. Dev. Goals 2015, 1–2. Available online: https://www.un.org/sustainabledevelopment/es/wp-content/uploads/sites/3/2016/10/11_Spanish_Why_it_Matters.pdf (accessed on 13 August 2021).
- Campos, R.M.; Vargas, P.H. Incremento de Áreas Impermeables Por Cambios de Usos de La Tierra En La Microcuenca Del Río Burío. Reflexiones 2014, 93, 33–46. [Google Scholar]
- Salgado, D. Inundaciones y Gestión Del Riesgo de Desastres. Retos Para Su Reducción y Mitigación. Ambientico 2009, 7–11. [Google Scholar]
- Monge, G.; Esquivel, L.; Campos, N.; Méndez, L.; Sánchez, H.; Rodríquez, M.; Morales, L. Deslizamientos, Inundaciones, Sismos. Litografía Imprenta Univers. SA 1995, 32. [Google Scholar]
- Hall, R.F. Base-Flow Recessions-A Review. Water Resour. Res. 1968, 4, 973–983. [Google Scholar] [CrossRef]
- Instituto Meteotrológico Nacional El Clima y Las Regiones Climáticas de Costa Rica. Inst. Meterológico Nac. Costa Rica 2017. Available online: https://www.imn.ac.cr/documents/10179/31165/clima-regiones-climat.pdf/cb3b55c3-f358-495a-b66c-90e677e35f57 (accessed on 29 August 2022).
- Bezerra, P.H.L.; Coutinho, A.P.; Lassabatere, L.; Neto, S.M.D.S.; de Melo, T.D.A.T.; Antonino, A.C.D.; Angulo-Jaramillo, R.; Montenegro, S.M.G.L. Water Dynamics in an Infiltration Trench in an Urban Centre in Brazil: Monitoring and Modelling. Water 2022, 14, 513. [Google Scholar] [CrossRef]
- Liquete, C.; Udias, A.; Conte, G.; Grizzetti, B.; Masi, F. Integrated Valuation of a Nature-Based Solution for Water Pollution Control. Highlighting Hidden Benefits. Ecosyst. Serv. 2016, 22, 392–401. [Google Scholar] [CrossRef]
- Williams, J.B.; Jose, R.; Moobela, C.; Hutchinson, D.J.; Wise, R.; Gaterell, M. Residents’ Perceptions of Sustainable Drainage Systems as Highly Functional Blue Green Infrastructure. Landsc. Urban Plan. 2019, 190, 103610. [Google Scholar] [CrossRef]
- Bautista, D.; Peña-Guzmán, C. Simulating the Hydrological Impact of Green Roof Use and an Increase in Green Areas in an Urban Catchment with I-Tree: A Case Study with the Town of Fontibón in Bogotá, Colombia. Resources 2019, 8, 68. [Google Scholar] [CrossRef]
- Birkel, C.; Soulsby, C.; Tetzlaff, D. Modelling the Impacts of Land-Cover Change on Streamflow Dynamics of a Tropical Rainforest Headwater Catchment. Hydrol. Sci. J. 2012, 57, 1543–1561. [Google Scholar] [CrossRef]
- Bonilla-Duarte, S.; Díaz, G.; Cortés, L.; Jáuregui-Haza, U. El Arbolado En Ciudades y La Protección de Los Recursos Hídricos: Preguntas y Respuestas; Ciencia, Ambiente y ClimaInstituto Tecnológico de Santo Domingo (INTEC): Santo Domingo, Dominican Republic, 2021; Volume 4, pp. 35–37. ISBN 9789945927467. [Google Scholar]
- Benegas, L.; Rojas, A.; Iraheta, A.; Cárdenas, J. Análisis Del Componente Arbóreo y Su Contribución a Los Servicios Ecosistémicos En La Ciudad de Turrialba, Costa Rica. Ecosistemas 2021, 30, 1–10. [Google Scholar]
- Cifuentes-jara, M.; Brenes, R.; Brenes, C.; Corrales, L.; Vargas, M.; Betbeder, J.; Metropolitana, G.Á. Los Árboles En La Ciudad: Carbono Como Servicio Ecosistémico Urbano; CATIE: Turrialba, Costa Rica, 2020; Available online: https://repositorio.catie.ac.cr/handle/11554/10882 (accessed on 29 May 2022).
- Navarro Miranda, L.; SantineLLi Ramos, M.Á. Responsabilidad Social y Sostenibilidad: Disrupción e Innovación Ante El Cambio de Época; Facultad de Responsabilidad Social Universidad Anáhuac México: 2021; pp. 1–884. ISBN 978-607-8566-52-5. Available online: https://eulac.org/2021/09/responsabilidad-social-y-sostenibilidad-disrupcion-e-innovacion/ (accessed on 25 March 2022).
- Sambito, M.; Severino, A.; Freni, G.; Nedhuza, L. A Systematic Review of the Hydrological, Enviromental and Durability Performance of Permeable Pavement Systems. Sustainability 2021, 13, 4509. [Google Scholar] [CrossRef]
- Ariza, S.L.J.; Martínez, J.A.; Muñoz, A.F.; Quijano, J.P.; Rodríguez, J.P.; Camacho, L.A.; Díaz-Granados, M. A Multicriteria Planning Framework to Locate and Select Sustainable Urban Drainage Systems (SUDS) in Consolidated Urban Areas. Sustainability 2019, 11, 2312. [Google Scholar] [CrossRef]
- Borja, L. Infraestructura Verde Urbana II: Implementación y Seguimiento de Soluciones; Banco Interamericano de Desarrollo: Washington, DC, USA, 2021; (DIB Technical Note; 2186). [Google Scholar]
- Alvarado Vega, V. El Fondo y Crédito Ciudad Verde: Mecanismos Efectivos Para Financiar Soluciones Basadas En La Naturaleza (SbN). Ambientico 2022, numero 821, 19–27. [Google Scholar]
- MINAE-SINAC-GIZ Recolector de Agua Lluvia. Proy. Biodiver_City 2021. San José Costa Rica. Available online:https://biocorredores.org/biodiver-city-sanjose/sites/default/files/2021-10/07-Recolector%20de%20Agua%20de%20lluvia%20DIGITAL.PDF (accessed on 14 May 2022).
- Romero-Duque, L.P.; Trilleras, J.M.; Castellarini, F.; Quijas, S. Ecosystem Services in Urban Ecological Infrastructure of Latin America and the Caribbean: How Do They Contribute to Urban Planning? Sci. Total Environ. 2020, 728, 138780. [Google Scholar] [CrossRef]
- Pennington, H.; Angulo, Y. Aportes de La Universidad de Costa Rica Para El Alcance de Los Objetivos de Desarrollo Sostenible de La Agenda 2030; Universidad de Costa Rica: San José, Costa Rica, 2019; ISBN 9789977152936. [Google Scholar]
- Fluhrer, T.; Chapa, F.; Hack, J. A Methodology for Assessing the Implementation Potential for Retrofitted and Multifunctional Urban Green Infrastructure in Public Areas of the Global South. Sustainability 2021, 13, 384. [Google Scholar] [CrossRef]
- Ornés, S. El Urbanismo, La Planificación Urbana y El Ordenamiento Territorial Desde La Perspectiva Del Derecho Urbanístico Venezolano. Politeia 2009, 32, 197–225. [Google Scholar]
- Instituto Nacional de Vivienda y Urbanismo–INVU. Ley No 4240 Planificación Urbana; Instituto Nacional de Vivienda y Urbanismo–INVU: San José, Costa Rica, 1968; Volume 40.
- Instituto Nacional de Vivienda y Urbanismo (INVU) Plan GAM 2013–2030. Available online: https://www.invu.go.cr/plan-gam-13-30 (accessed on 11 October 2022).
- Magdaleno, F.; Cortés Sánchez, F.M.; Martín, B.M. Infraestructuras Verdes y Azules: Estrategias de Adaptación y Mitigación Ante El Cambio Climático. Rev. Digit. Cedex 2018, 191, 105–112. [Google Scholar]
- MINAE-SINAC-GIZ Biocorredores Proy. Biodiver_City Home pague Guía de Soluciones Basadas En La Naturaleza 2021. Available online: https://biocorredores.org/biodiver-city-sanjose/sites/default/files/2021-11/Gu%C3%ADa_SbN_CiudadVerde_Versi%C3%B3n%20ligera.pdf (accessed on 9 September 2021).




| Inputs | Source | Format | |
|---|---|---|---|
| Morphometry | Micro-Basin Boundary | Own Delimitation | Shape (.shp) |
| Relief | Digital Elevation Model (DEM) | Project Biodiver_City | Tag Image File Format (.tif) |
| Drainage Network | Water network | Own elaboration based on DEM | Shape (.shp) |
| Main channel | Own elaboration based on DEM | Shape (.shp) | |
| River order | Own elaboration based on DEM | Shape (.shp) | |
| Soil | Land use | Atlas of Ecosystem Services in the GAM | Shape (.shp) |
| Tree leaf area index (spatial resolution 30 × 30 m) | National Oceanic and Atmospheric Administration (NOAA) | - | |
| Shrub Leaf Area Index (spatial resolution 30 × 30 m) | National Oceanic and Atmospheric Administration (NOAA) | - | |
| Herbaceous leaf area index (spatial resolution 30 × 30 m) | National Oceanic and Atmospheric Administration (NOAA) | - | |
| Directly Connected Impervious Area (DCIA) | i-Tree 2019 [39] | - | |
| Weather | Parameter | Source | Units |
| Precipitation | IMN/CIGEFI | mm/h | |
| Solar radiation | Server of the NASA | W/m2/h | |
| Maximum temperature | IMN | °F/h | |
| Minimum temperature | IMN | °F/h | |
| Average temperature | IMN | °F/h | |
| Relative humidity | IMN/CIGEFI | % | |
| Atmospheric pressure | IMN | Mbar/h | |
| Wind speed | IMN | m/h | |
| Wind direction | IMN | N/A | |
| Dew point temperature | IMN | °F/h | |
| Evaporation | IMN | mm/h | |
| N° | Types of Land Cover and Land Use | Area (km2) | Parameters of Coverage for i-Tree Hydro Plus |
|---|---|---|---|
| 1 | Trees along highways | 0.02 | Tree covers on permeable soil |
| 2 | Trees along railroad tracks | 0.01 | |
| 3 | Scattered trees | 0.64 | |
| 4 | Secondary forest | 0.27 | Tree covers on impervious soil |
| 5 | Forest and woodlands along riverbanks | 6.98 | |
| 6 | Peri-urban forests and woodlands | 7.64 | |
| 7 | Wooded coffee plantations | 0.21 | |
| 8 | Sports and recreational fields | 0.18 | Shrub Cover |
| 9 | Live fences | 0.02 | |
| 10 | Parks and small gardens with trees (<0.5 ha) | 1.99 | |
| 11 | Waste land (shrubs) | 0.84 | |
| 12 | Vacant land (predominantly herbaceous/grassland) | 4.24 | |
| 13 | Cultivated pastures | 3.83 | |
| 14 | Water bodies | 0.05 | Water cover |
| 15 | Annual Crops | 0.11 | Pervious cover |
| 16 | Unpaved area | 2.91 | |
| 17 | Paved surface | 8.08 | Impervious cover |
| 18 | Roofs/Buildings | 12.22 | |
| Total | 50.24 |
| Parameters of Coverage for i-Tree Hydro Plus | Area (km2) | Area (%) | Source |
|---|---|---|---|
| Tree covers on permeable soil | 15.09 | 30.04 | Atlas of Ecosystem Services in the GAM |
| Tree covers on impermeable soil | 0.67 | 1.33 | |
| Shrub cover | 11.11 | 22.11 | |
| Soil cover | 3.02 | 6.01 | |
| Water cover | 0.05 | 0.09 | |
| Impervious cover | 20.31 | 40.42 | |
| Total | 50.24 | 100.00 |
| Parameters of Coverage for i-Tree Hydro Plus | Base Scenario Area (km2) | % |
|---|---|---|
| Tree covers on pervious soil | 15.09 | 30.04 |
| Tree covers on impervious soil | 0.67 | 1.33 |
| Shrub cover | 11.11 | 22.11 |
| Soil cover | 3.02 | 6.01 |
| Water cover | 0.05 | 0.09 |
| Impervious cover | 20.31 | 40.42 |
| Total | 50.24 | 100.00 |
| Scenario | Approach | Description |
|---|---|---|
| 1 | Implementation of bioretention cells | The behavior of the water ecosystem service was analyzed in a scenario with the implementation of bioretention cells for stormwater treatment in an area of 20.09 km2, corresponding to 40%. |
| 2 | Implementation of rain gardens | The behavior of the water ecosystem service was analyzed in a scenario with the implementation of rain gardens for stormwater treatment in an area of 20.09 km2, corresponding to 40%. |
| 3 | Implementation of infiltration trenches | The behavior of the water ecosystem service was analyzed in a scenario with the implementation of infiltration trenches for stormwater treatment in an area of 20.09 km2, corresponding to 40%. |
| 4 | Implementation of green roofs | The behavior of the water ecosystem service was analyzed in a scenario with the implementation of green roofs for stormwater treatment in an area of 20.09 km2, corresponding to 40%. |
| 5 | Implementation of permeable pavements | The behavior of the water ecosystem service was analyzed in a scenario with the implementation of permeable pavements for stormwater treatment in an area of 20.09 km2, corresponding to 40%. |
| 6 | Increase in tree cover | The behavior of the water ecosystem service was analyzed with the increase of 40% of the total area with tree cover, prioritizing the distribution of these trees in agroforestry systems, the margin of the main riverbed, urban parks, and recreational areas. |
| 7 | Increased urbanization | The alteration of the hydrological cycle in a detrimental scenario was demonstrated, where urbanization increased massively by 40% without a vision of sustainable urban planning. |
| Parameters of Coverage for i-Tree Hydro Plus | Alternative Scenarios Area (km2) | % |
|---|---|---|
| Tree covers on pervious soil | 15.09 | 30.04 |
| Tree covers on impervious soil | 0.67 | 1.33 |
| Shrub cover | 11.76 | 23.40 |
| Soil cover | 12.52 | 24.93 |
| Water cover | 0.05 | 0.09 |
| Impervious cover | 10.15 | 20.21 |
| Total | 50.24 | 100.00 |
| Predictions Simulation | Flow Volume (m3/year) | % |
|---|---|---|
| Base flow | 1.90 × 107 | 21.00 |
| Permeable flow | 4.19 × 107 | 47.00 |
| Impermeable flow | 2.82 × 107 | 32.00 |
| Total flow | 8.92 × 107 | 100.00 |
| Institution/Organization | Sector |
|---|---|
| Huertas Donde Sea | NGO’s |
| Pro-Zoológicos Foundation | NGO’s |
| Municipality of San José | Public sector |
| Municipality of Tibás | Public sector |
| Municipality of Goicoechea | Public sector |
| National University (UNA) | Public sector |
| University of Costa Rica (UCR) | Public sector |
| University for International Cooperation (UCI) | Private sector |
| Technological University of Costa Rica (Tec-Costa Rica) | Public sector |
| German Development Cooperation (GIZ) | International cooperation/Technical specialist |
| Urban River | NGO’s |
| Directorate of Environmental Quality Management, Ministry of Environment and Energy (DIGECA-MINAE) | Public sector |
Disclaimer/Publisher’s Note: The statements, opinions and data contained in all publications are solely those of the individual author(s) and contributor(s) and not of MDPI and/or the editor(s). MDPI and/or the editor(s) disclaim responsibility for any injury to people or property resulting from any ideas, methods, instructions or products referred to in the content. |
© 2023 by the authors. Licensee MDPI, Basel, Switzerland. This article is an open access article distributed under the terms and conditions of the Creative Commons Attribution (CC BY) license (https://creativecommons.org/licenses/by/4.0/).
Share and Cite
Espinal-Giron, A.; Benegas Negri, L.; Brenes, C.; Birkel, C.; Prins, C. Assessing Potential Effects of Nature-Based Solutions (NBS) on Water Ecosystem Service in the Interurban Micro-Watershed Río Torres, Costa Rica. Forests 2023, 14, 937. https://doi.org/10.3390/f14050937
Espinal-Giron A, Benegas Negri L, Brenes C, Birkel C, Prins C. Assessing Potential Effects of Nature-Based Solutions (NBS) on Water Ecosystem Service in the Interurban Micro-Watershed Río Torres, Costa Rica. Forests. 2023; 14(5):937. https://doi.org/10.3390/f14050937
Chicago/Turabian StyleEspinal-Giron, Aurorita, Laura Benegas Negri, Christian Brenes, Christian Birkel, and Cornelis Prins. 2023. "Assessing Potential Effects of Nature-Based Solutions (NBS) on Water Ecosystem Service in the Interurban Micro-Watershed Río Torres, Costa Rica" Forests 14, no. 5: 937. https://doi.org/10.3390/f14050937
APA StyleEspinal-Giron, A., Benegas Negri, L., Brenes, C., Birkel, C., & Prins, C. (2023). Assessing Potential Effects of Nature-Based Solutions (NBS) on Water Ecosystem Service in the Interurban Micro-Watershed Río Torres, Costa Rica. Forests, 14(5), 937. https://doi.org/10.3390/f14050937
