Variation in Leaf Functional and Plant Defense Traits of Introduced Eucalyptus Species across Environmental Gradients in Their New Range in Southern China
Abstract
1. Introduction
2. Materials and Methods
2.1. Study Area and Sample Collection
2.2. Leaf Functional Trait Measurements
2.3. Chemical Analysis and Plant Defense Traits
2.4. Climatic Variables
2.5. Data Analysis
3. Results
3.1. Changes in the Leaf Functional Traits across Latitudinal, Altitudinal, and Climatic Gradients
3.2. Variation in Plant Defense Traits along Altitudinal, Latitudinal, and Climatic Gradients
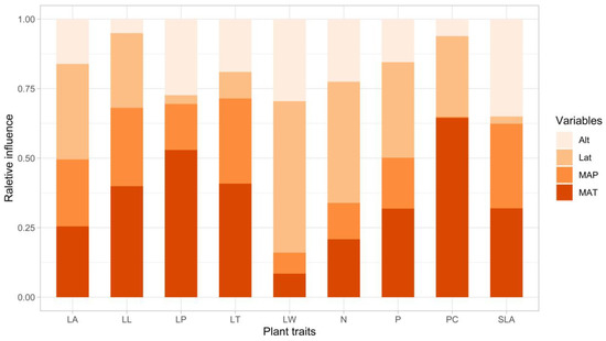
3.3. Relative Influence of the Environmental Factors on Leaf Functional and Plant Defense Traits
4. Discussion
4.1. Variation in the Leaf Functional Traits of Introduced Eucalyptus Species across Clines
4.2. Leaf Chemical and Defense Traits across Clines
4.3. Contribution of Environmental Factors to the Potential Spread of Introduced Eucalyptus Species
5. Conclusions
Supplementary Materials
Author Contributions
Funding
Data Availability Statement
Conflicts of Interest
References
- Binggeli, P. A taxonomic, biogeographical and ecological overview of invasive woody plants. J. Veg. Sci. 1996, 7, 121–124. [Google Scholar] [CrossRef]
- Lowe, S.; Browne, M.; Boudjelas, S.; De Poorter, M. 100 of the World’s Worst Invasive Alien Species: A Selection from Global Invasive Species Database. In Encyclopedia of Biological Invasions; Simberloff, D., Rejmanek, M., Eds.; University of California Press: Berkeley, CA, USA, 2011; pp. 715–716. [Google Scholar]
- Richardson, D.M.; Rejmánek, M. Trees and shrubs as invasive alien species—A global review. Divers. Distrib. 2011, 17, 788–809. [Google Scholar] [CrossRef]
- Saihanna, S.; Tanaka, T.; Okamura, Y.; Kusumoto, B.; Shiono, T.; Hirao, T.; Kubota, Y.; Murakami, M. A paradox of latitudinal leaf defense strategies in deciduous and evergreen broadleaved trees. Ecol. Res. 2018, 33, 1011–1017. [Google Scholar] [CrossRef]
- Dong, N.; Prentice, I.C.; Wright, I.J.; Evans, B.J.; Togashi, H.F.; Caddy-Retalic, S.; McInerney, F.A.; Sparrow, B.; Leitch, E.; Lowe, A.J. Components of leaf-trait variation along environmental gradients. New Phytol. 2020, 228, 82–94. [Google Scholar] [CrossRef]
- Read, Q.D.; Moorhead, L.C.; Swenson, N.G.; Bailey, J.K.; Sanders, N.J. Convergent effects of elevation on functional leaf traits within and among species. Funct. Ecol. 2014, 28, 37–45. [Google Scholar] [CrossRef]
- Moreira, X.; Castagneyrol, B.; Abdala-Roberts, L.; Berny-Mier y Teran, J.C.; Timmermans, B.G.H.; Bruun, H.H.; Covelo, F.; Glauser, G.; Rasmann, S.; Tack, A.J.M. Latitudinal variation in plant chemical defences drives latitudinal patterns of leaf herbivory. Ecography 2018, 41, 1124–1134. [Google Scholar] [CrossRef]
- Gong, H.; Cui, Q.; Gao, J. Latitudinal, soil and climate effects on key leaf traits in northeastern China. Glob. Ecol. Conserv. 2020, 22, e00904. [Google Scholar] [CrossRef]
- Ackerly, D.D.; Reich, P.B. Convergence and correlations among leaf size and function in seed plants: A comparative test using independent contrasts. Am. J. Bot. 1999, 86, 1272–1281. [Google Scholar] [CrossRef] [PubMed]
- Valladares, F.; Bastias, C.C.; Godoy, O.; Granda, E.; Escudero, A. Species coexistence in a changing world. Front. Plant Sci. 2015, 6, 866. [Google Scholar] [CrossRef]
- De Frenne, P.; Graae, B.J.; Rodríguez-Sánchez, F.; Kolb, A.; Chabrerie, O.; Decocq, G.; De Kort, H.; De Schrijver, A.; Diekmann, M.; Eriksson, O.; et al. Latitudinal gradients as natural laboratories to infer species’ responses to temperature. J. Ecol. 2013, 101, 784–795. [Google Scholar] [CrossRef]
- Carboni, M.; Calderon-Sanou, I.; Pollock, L.; Violle, C.; DivGrass, C.; Thuiller, W. Functional traits modulate the response of alien plants along abiotic and biotic gradients. Glob. Ecol. Biogeogr. 2018, 27, 1173–1185. [Google Scholar] [CrossRef]
- Thuiller, W.; Richardson, D.M.; Rouget, M.; Procheş, Ş.; Wilson, J.R.U. Interactions between environment, species traits, and human uses describe patterns of plant invasions. Ecology 2006, 87, 1755–1769. [Google Scholar] [CrossRef]
- Davidson, A.M.; Jennions, M.; Nicotra, A.B. Do invasive species show higher phenotypic plasticity than native species and, if so, is it adaptive? A meta-analysis. Ecol. Lett. 2011, 14, 419–431. [Google Scholar] [CrossRef] [PubMed]
- Abhilasha, D.; Quintana, N.; Vivanco, J.; Joshi, J. Do allelopathic compounds in invasive Solidago canadensis s.l. restrain the native European flora? J. Ecol. 2008, 96, 993–1001. [Google Scholar] [CrossRef]
- Aguilera, N.; Becerra, J.; Guedes, L.M.; Villaseñor-Parada, C.; González, L.; Hernández, V. Allelopathic effect of the invasive Acacia dealbata Link (Fabaceae) on two native plant species in south-central Chile. Gayana Bot. 2015, 72, 231–239. [Google Scholar] [CrossRef]
- Westerband, A.C.; Knight, T.M.; Barton, K.E. Intraspecific trait variation and reversals of trait strategies across key climate gradients in native Hawaiian plants and non-native invaders. Ann. Bot. 2021, 127, 553–564. [Google Scholar] [CrossRef]
- Seipel, T.; Alexander, J.M.; Daehler, C.C.; Rew, L.J.; Edwards, P.J.; Dar, P.A.; McDougall, K.; Naylor, B.; Parks, C.; Pollnac, F.W.; et al. Performance of the herb Verbascum thapsus along environmental gradients in its native and non-native ranges. J. Biogeogr. 2015, 42, 132–143. [Google Scholar] [CrossRef]
- Sumathi, M.; Yasodha, R. Microsatellite resources of Eucalyptus: Current status and future perspectives. Bot. Stud. 2014, 55, 73. [Google Scholar] [CrossRef]
- Chen, W.; Zou, Y.; Dang, Y.; Sakai, T. Spatial distribution and dynamic change monitoring of Eucalyptus plantations in China during 1994–2013. Trees 2021, 36, 405–414. [Google Scholar] [CrossRef]
- Wang, J.; Deng, Y.; Li, D.; Liu, Z.; Wen, L.; Huang, Z.; Jiang, D.; Lu, Y. Soil aggregate stability and its response to overland flow in successive Eucalyptus plantations in subtropical China. Sci. Total Environ. 2022, 807, 151000. [Google Scholar] [CrossRef]
- Huoran, W.; Zeping, J.; Hong, Y. Australian trees grown in China as exotics. Trop. Geogr. 1994, 14, 29. [Google Scholar]
- Chen, S.X.; Wu, Z.H.; Li, Z.H.; Xie, Y.J.; Li, T.H.; Zhou, Q.Y.; Arnold, R. Selection of Species for Solid Wood Production in Southern China. J. Trop. Sci. 2010, 22, 308–316. [Google Scholar]
- Xie, Y.J. Study on Eucalyptus Selection Objectives and Current Situation of Genetic Resources in China. Eucalypt. Sci. Technol. 2012, 29, 8. [Google Scholar]
- Zheng, J.Q.; Chen, S.X. A discussion on utilization of Eucalyptusin China. Eucalypt. Sci. Technol. 2017, 34, 42–46. [Google Scholar]
- Huang, M.; Ge, X.; Shi, H.; Tong, Y.; Shi, J. Prediction of current and future potential distributions of the Eucalyptus pest Leptocybe invasa (Hymenoptera: Eulophidae) in China using the CLIMEX model. Pest. Manag. Sci. 2019, 75, 2958–2968. [Google Scholar] [CrossRef] [PubMed]
- Lu, H.; Xu, J.; Li, G.; Liu, W. Site Classification of Eucalyptus urophylla × Eucalyptus grandis Plantations in China. Forests 2020, 11, 871. [Google Scholar] [CrossRef]
- Qu, Z.; Liu, B.; Ma, Y.; Sun, H. Differences in bacterial community structure and potential functions among Eucalyptus plantations with different ages and species of trees. Appl. Soil. Ecol. 2020, 149, 103515. [Google Scholar] [CrossRef]
- Calviño-Cancela, M.; Rubido-Bará, M. Invasive potential of Eucalyptus globulus: Seed dispersal, seedling recruitment and survival in habitats surrounding plantations. For. Ecol. Manag. 2013, 305, 129–137. [Google Scholar] [CrossRef]
- Xu, Y.; Li, C.; Zhu, W.; Wang, Z.; Wu, L.; Du, A. Effects of enrichmemt planting with native tree species on bacterial community structure and potential impact on Eucalyptus plantations in southern China. J. For. Res. 2022, 33, 1349–1363. [Google Scholar] [CrossRef]
- Hu, Y.; Zhao, P.; Huang, Y.; Zhu, L.; Ni, G.; Zhao, X.; Huang, Z. Hydrologic balance, net primary productivity and water use efficiency of the introduced exotic Eucalyptus grandis × Eucalyptus urophylla plantation in south-western China. J. Plant. Ecol. 2019, 12, 982–992. [Google Scholar] [CrossRef]
- Zhao, X.; Zhang, L.; Lan, J.; Tongway, D.; Freudenberger, D. An Environmental Impact Assessment of Different Management Regimes in Eucalypt Plantations in Southern China Using Landscape Function Analysis. J. Sustain. For. 2020, 41, 526–536. [Google Scholar] [CrossRef]
- Ben Ghnaya, A.; Hamrouni, L.; Amri, I.; Ahoues, H.; Hanana, M.; Romane, A. Study of allelopathic effects of Eucalyptus erythrocorys L. crude extracts against germination and seedling growth of weeds and wheat. Nat. Prod. Res. 2016, 30, 2058–2064. [Google Scholar] [CrossRef] [PubMed]
- Liu, S.W.; Ai, Y.B.; Liu, Y.H. Variations in leaf functional traits along the altitude gradient of Pinus tabuliformis and its environmental explanations in Beijing Songshan Mountain. J. Beijing For. Univ. 2021, 43, 47–55. [Google Scholar]
- Le Bagousse-Pinguet, Y.; Gross, N.; Maestre, F.T.; Maire, V.; de Bello, F.; Fonseca, C.R.; Kattge, J.; Valencia, E.; Leps, J.; Liancourt, P. Testing the environmental filtering concept in global drylands. J. Ecol. 2017, 105, 1058–1069. [Google Scholar] [CrossRef] [PubMed]
- Yang, Y.; Huang, Y.; Wei, W. Variations of leaf typical shrub and herb species along a climate gradient in arid areas of Northwest China. Chin. J. Ecol. 2021, 40, 3769–3777. [Google Scholar]
- Zhang, X.; He, X.; Gao, J.; Wang, L. Latitudinal and climate effects on key plant traits in Chinese forest ecosystems. Glob. Ecol. Conserv. 2019, 17, e00527. [Google Scholar] [CrossRef]
- Roa-Fuentes, L.L.; Templer, P.H.; Campo, J. Effects of precipitation regime and soil nitrogen on leaf traits in seasonally dry tropical forests of the Yucatan Peninsula, Mexico. Oecologia 2015, 179, 585–597. [Google Scholar] [CrossRef] [PubMed]
- Wright, I.J.; Reich, P.B.; Cornelissen, J.H.; Falster, D.S.; Garnier, E.; Hikosaka, K.; Lamont, B.B.; Lee, W.; Oleksyn, J.; Osada, N.; et al. Assessing the generality of global leaf trait relationships. New Phytol. 2005, 166, 485–496. [Google Scholar] [CrossRef] [PubMed]
- Gong, H.; Gao, J. Soil and climatic drivers of plant SLA (specific leaf area). Glob. Ecol. Conserv. 2019, 20, 696. [Google Scholar] [CrossRef]
- Fan, X.; Yan, X.; Qian, C.; Bachir, D.G.; Yin, X.; Sun, P.; Ma, X.F. Leaf size variations in a dominant desert shrub, Reaumuria soongarica, adapted to heterogeneous environments. Ecol. Evol. 2020, 10, 10076–10094. [Google Scholar] [CrossRef]
- Yates, M.J.; Anthony Verboom, G.; Rebelo, A.G.; Cramer, M.D. Ecophysiological significance of leaf size variation in Proteaceae from the Cape Floristic Region. Funct. Ecol. 2010, 24, 485–492. [Google Scholar] [CrossRef]
- Tian, M.; Yu, G.; He, N.; Hou, J. Leaf morphological and anatomical traits from tropical to temperate coniferous forests: Mechanisms and influencing factors. Sci. Rep. 2016, 6, 19703. [Google Scholar] [CrossRef] [PubMed]
- Guerin, G.R.; Wen, H.; Lowe, A.J. Leaf morphology shift linked to climate change. Biol. Lett. 2012, 8, 882–886. [Google Scholar] [CrossRef]
- Castro-Díez, P.; Puyravaud, J.P.; Cornelissen, J.H.C. Leaf structure and anatomy as related to leaf mass per area variation in seedlings of a wide range of woody plant species and types. Oecologia 2000, 124, 476–486. [Google Scholar] [CrossRef] [PubMed]
- Elser, J.J.; Sterner, R.W.; Gorokhova, E.; Fagan, W.F.; Markow, T.A.; Cotner, J.B.; Harrison, J.F.; Hobbie, S.E.; Odell, G.M.; Weider, L.J. Biological stoichiometry from genes to ecosystems. Ecol. Lett. 2000, 3, 540–550. [Google Scholar] [CrossRef]
- Zhao, N.; Yu, G.; He, N.; Xia, F.; Wang, Q.; Wang, R.; Xu, Z.; Jia, Y. Invariant allometric scaling of nitrogen and phosphorus in leaves, stems, and fine roots of woody plants along an altitudinal gradient. J. Plant. Res. 2016, 129, 647–657. [Google Scholar] [CrossRef]
- Zhou, W.; Wang, Z.; Xing, W.; Liu, G. Plasticity in latitudinal patterns of leaf N and P of Oryza rufipogon in China. Plant. Biol. 2014, 16, 917–923. [Google Scholar] [CrossRef]
- Gershenzon, J.; Ullah, C. Plants protect themselves from herbivores by optimizing the distribution of chemical defenses. Proc. Natl. Acad. Sci. USA 2022, 119, e2120277119. [Google Scholar] [CrossRef]
- Barbehenn, R.V.; Jaros, A.; Lee, G.; Mozola, C.; Weir, Q.; Salminen, J.P. Hydrolyzable tannins as “quantitative defenses”: Limited impact against Lymantria dispar caterpillars on hybrid poplar. J. Insect. Physiol. 2009, 55, 297–304. [Google Scholar] [CrossRef]
- Lewinsohn, T.M.; Roslin, T. Four ways towards tropical herbivore megadiversity. Ecol. Lett. 2008, 11, 398–416. [Google Scholar] [CrossRef]
- Coley, P.D.; Aide, T.M. Comparison of herbivory and plant defenses in temperate and tropical broad-leaved forests. In Plant-Animal Interactions: Evolutionary Ecology in Tropical and Temperate Regions; Price, P.W., Lewinsohn, T.M., Fernandes, G.W., Benson, W.W., Eds.; Wiley: New York, NY, USA, 1991; pp. 25–49. [Google Scholar]
- Dobzhansky, T. Evolution in the tropics. Am. Sci. 1950, 38, 209–221. [Google Scholar]
- Moles, A.T.; Bonser, S.P.; Poore, A.G.B.; Wallis, I.R.; Foley, W.J. Assessing the evidence for latitudinal gradients in plant defence and herbivory. Funct. Ecol. 2011, 25, 380–388. [Google Scholar] [CrossRef]
- Zhang, N.; Tonsor, S.J.; Traw, M.B. A geographic cline in leaf salicylic acid with increasing elevation in Arabidopsis thaliana. Plant. Signal. Behav. 2015, 10, e992741. [Google Scholar] [CrossRef] [PubMed]
- Zidorn, C.; Schubert, B.; Stuppner, H. Altitudinal differences in the contents of phenolics in flowering heads of three members of the tribe Lactuceae (Asteraceae) occurring as introduced species in New Zealand. Biochem. Syst. Ecol. 2005, 33, 855–872. [Google Scholar] [CrossRef]
- Körner, C. Alpine Plant Life; Springer: Berlin/Heidelberg, Germany, 2003. [Google Scholar] [CrossRef]
- Benson, D.; Mcdougall, L.J.C. Ecology of Sydney plant species. Part 6. Dicotyledon family Myrtaceae. Cunninghamia 1998, 5, 808–987. [Google Scholar]
- Brooker, M.; Slee, A.; Connors, J.; Duffy, S.; West, J. EUCLID: Eucalypts of Australia; CSIRO Publishing: Collingwood, Australia, 2006. [Google Scholar]
- Núñez, C.E. Morphological study of fibers of four trees of Eucalyptus saligna implanted in Concordia, Entre Rios, Argentina. Rev. Cienc. Tecnol. 2014, 22, 40–44. [Google Scholar]
- Martins, F.B.; Silva, J.C.d.; Streck, E.N.A. Estimating base temperature for leaf appearence rate and phyllochron in two eucaliptus species seedling phase. Rev. Árvore. 2007, 31, 373–381. [Google Scholar]
- Estrada, C.E.; Ramírez, M.A. Tasa de descuento y rotación forestal: El caso del Eucalyptus Saligna. Lect. Econ. 2010, 73, 149–164. [Google Scholar]
- Ogunwande, I.A.; Olawore, N.O.; Adeleke, K.A.; Konig, W.A. Chemical composition of the essential oils from the leaves of three Eucalyptus species growing in Nigeria. J. Essent. Oil. Res. 2011, 15, 297–301. [Google Scholar] [CrossRef]
- Lyu, H.L.; Luo, C.L.; Shi, Y.; Zhao, Y.W.; Peng, Z.B.; Yu, S.J.; Lan, J.; Wang, J.Z. Effects of culture conditions on cuttage rooting of Eucalyptus grandis. Guangxi For. Sci. 2020, 49, 241–244. [Google Scholar]
- Rao, H.X.; Peng, X.H.; Luo, X.Q.; Chen, L.; Jiang, L.Y. Softwood cutting from tissue culture shoots of Eucalyputus saligna. J. China Forestry Sci. Technol. 2010, 24, 104–106. [Google Scholar]
- Tan, B.T. Study on tissue culture and industrialized breeding technolique of Eucalyptus saligna. Hunan For. Sci. Technol. 2009, 36, 9–11. [Google Scholar]
- Gao, Y.; Zhang, J.; Tang, H.; Liu, N.; Li, G.; Yue, D. The characteristics of the complete chloroplast genome for Eucalyptus robusta (Myrtaceae). Mitochondrial. DNA B Resour. 2021, 6, 3517–3518. [Google Scholar] [CrossRef] [PubMed]
- Wang, M.; Zhou, R.H.; Yu, F.Y.; Dong, H.J.; Chen, C.L.; Yu, J.; Hao, J.F. Dynamic changes of undergrowth species diversity and biomass of Eucalyptus robusta plantations at different ages. Bull. Bot. Res. 2021, 41, 496–505. [Google Scholar]
- Jian, Y.Q.; Wang, Y.; Huang, X.J.; Li, G.Q.; Zhao, B.X.; Guo, Q.Y.; Ye, W.C. Two new euglobals from the leaves of Eucalyptus robusta. J. Asian Nat. Prod. Res. 2012, 14, 831–837. [Google Scholar] [CrossRef] [PubMed]
- Walker, G.A.; Gaertner, M.; Robertson, M.P.; Richardson, D.M. The prognosis for Ailanthus altissima (Simaroubaceae; tree of heaven) as an invasive species in South Africa; insights from its performance elsewhere in the world. S. Afr. J. Bot. 2017, 112, 283–289. [Google Scholar] [CrossRef]
- Westoby, M.; Falster, D.S.; Moles, A.T.; Vesk, P.A.; Wright, I.J. Plant ecological strategies: Some leading dimensions of variation between species. Annu. Rev. Ecol. Syst. 2002, 33, 125–159. [Google Scholar] [CrossRef]
- Pérez-Harguindeguy, N.; Díaz, S.; Garnier, E.; Lavorel, S.; Poorter, H.; Jaureguiberry, P.; Bret-Harte, M.S.; Cornwell, W.K.; Craine, J.M.; Gurvich, D.E.; et al. New handbook for standardised measurement of plant functional traits worldwide. Aust. J. Bot. 2013, 61, 167–234. [Google Scholar] [CrossRef]
- Lusk, C.H.; Contreras, O.; Figueroa, J. Growth, biomass allocation and plant nitrogen concentration in Chilean temperate rainforest tree seedlings: Effects of nutrient availability. Oecologia 1996, 109, 49–58. [Google Scholar] [CrossRef]
- Wright, I.J.; Westoby, M. Cross-species relationships between seedling relative growth rate, nitrogen productivity and root vs. leaf function in 28 Australian woody species. Funct. Ecol. 2000, 14, 97–107. [Google Scholar] [CrossRef]
- Grime, J.P. Evidence for the existence of three primary strategies in plants and its relevance to ecological and evolutionary theory. Am. Nat. 1977, 111, 1169–1194. [Google Scholar] [CrossRef]
- Wright, I.J.; Westoby, M. Differences in seedling growth behaviour among species: Trait correlations across species, and trait shifts along nutrient compared to rainfall gradients. J. Ecol. 1999, 87, 85–97. [Google Scholar] [CrossRef]
- Mattson, W.J., Jr. Herbivory in relation to plant nitrogen content. Ann. Rev. Ecol. Syst. 1980, 11, 119–161. [Google Scholar] [CrossRef]
- Singleton, V.L.; Rossi, J.A. Colorimetry of total phenolics with phosphomolybdic-phosphotungstic acid reagents. Am. J. Enol. Vitic. 1965, 16, 144. [Google Scholar] [CrossRef]
- Hijmans, R.J.; Cameron, S.E.; Parra, J.L.; Jones, P.G.; Jarvis, A. Very high resolution interpolated climate surfaces for global land areas. Int. J. Climatol. 2005, 25, 1965–1978. [Google Scholar] [CrossRef]
- Wright, I.J.; Dong, N.; Maire, V.; Prentice, I.C.; Westoby, M.; Diaz, S.; Gallagher, R.V.; Jacobs, B.F.; Kooyman, R.; Law, E.A.; et al. Global climatic drivers of leaf size. Science 2017, 357, 917–921. [Google Scholar] [CrossRef] [PubMed]
- Liu, W.; Wang, W.; Zhang, Y. Differences in leaf traits of Spartina alterniflora between native and invaded habitats: Implication for evolution of alien species competitive ability increase. Ecol. Indic. 2022, 138, 108799. [Google Scholar] [CrossRef]
- Wright, I.J.; Ackerly, D.D.; Bongers, F.; Harms, K.E.; Ibarra-Manriquez, G.; Martinez-Ramos, M.; Mazer, S.J.; Muller-Landau, H.C.; Paz, H.; Pitman, N.C.A.; et al. Relationships among ecologically important dimensions of plant trait variation in seven neotropical forests. Ann. Bot. 2007, 99, 1003–1015. [Google Scholar] [CrossRef]
- Penuelas, J.; Sardans, J.; Llusia, J.; Owen, S.M.; Silva, J.; Niinemets, U. Higher allocation to low cost chemical defenses in invasive species of Hawaii. J. Chem. Ecol. 2010, 36, 1255–1270. [Google Scholar] [CrossRef]
- Henn, J.J.; Yelenik, S.; Damschen, E.I. Environmental gradients influence differences in leaf functional traits between native and non-native plants. Oecologia 2019, 191, 397–409. [Google Scholar] [CrossRef]
- Wei, M.; Wang, S.; Wu, B.D.; Jiang, K.; Zhou, J.W.; Wang, C.Y. Variability of leaf functional traits of invasive tree Rhus typhina L. in North China. J. Cent. South Univ. 2020, 27, 155–163. [Google Scholar] [CrossRef]
- Chen, Z.Z.; Ge, J.L.; Zhao, C.M.; Shen, G.Z.; Xu, W.T.; Xie, Z.Q. Leaf functional traits and correlations in three zonal forests in eastern China. Plant. Sci. J. 2020, 38, 347–359. [Google Scholar]
- Ackerly, D.; Knight, C.; Weiss, S.; Barton, K.; Starmer, K. Leaf size, specific leaf area and microhabitat distribution of chaparral woody plants: Contrasting patterns in species level and community level analyses. Oecologia 2002, 130, 449–457. [Google Scholar] [CrossRef]
- Guo, W.H.; Wang, H.; Yu, M.K.; Wu, T.G.; Han, Y. Latitude variation mechanism of leaf traits of Metasequoia glyptostroboides in eastern coastal China. Chin. J. Appl. Ecol. 2017, 28, 772–778. [Google Scholar]
- Betway, K.R.; Hollister, R.D.; May, J.L.; Oberbauer, S.F.; Botta-Dukát, Z. Species-specific trends and variability in plant functional traits across a latitudinal gradient in northern Alaska. J. Veg. Sci. 2021, 32, e13040. [Google Scholar] [CrossRef]
- Wang, R.; Yu, G.; He, N.; Wang, Q.; Zhao, N.; Xu, Z. Latitudinal variation of leaf morphological traits from species to communities along a forest transect in eastern China. J. Geogr. Sci. 2016, 26, 15–26. [Google Scholar] [CrossRef]
- Guo, Z.; Lin, H.; Chen, S.; Yang, Q. Altitudinal patterns of leaf traits and leaf allometry in bamboo Pleioblastus amarus. Front. Plant. Sci. 2018, 9, 1110. [Google Scholar] [CrossRef] [PubMed]
- Sun, J.; Fan, R.; Niklas, K.J.; Zhong, Q.; Yang, F.; Li, M.; Chen, X.; Sun, M.; Cheng, D. “Diminishing returns” in the scaling of leaf area vs. dry mass in Wuyi Mountain bamboos, Southeast China. Am. J. Bot. 2017, 104, 993–998. [Google Scholar] [CrossRef]
- Sun, M.; Su, T.; Zhang, S.B.; Li, S.F.; Anberree-Lebreton, J.; Zhou, Z.K. Variations in leaf morphological traits of Quercus guyavifolia (Fagaceae) were mainly influenced by water and ultraviolet irradiation at high elevations on the Qinghai-Tibet Plateau, China. Int. J. Agric. Biol. 2016, 18, 266–273. [Google Scholar] [CrossRef]
- Wang, C.; Zhou, J.; Jiang, K.; Liu, J. Differences in leaf functional traits and allelopathic effects on seed germination and growth of Lactuca sativa between red and green leaves of Rhus typhina. S. Afr. J. Bot. 2017, 111, 17–22. [Google Scholar] [CrossRef]
- Shi, W.; Wang, G.; Han, W. Altitudinal variation in leaf nitrogen concentration on the eastern slope of Mount Gongga on the Tibetan Plateau, China. PLoS ONE 2012, 7, e44628. [Google Scholar] [CrossRef] [PubMed]
- Reich, P.B.; Oleksyn, J. Global patterns of plant leaf N and P in relation to temperature and latitude. Proc. Natl. Acad. Sci. USA 2004, 101, 11001–11006. [Google Scholar] [CrossRef] [PubMed]
- Fisher, J.B.; Malhi, Y.; Torres, I.C.; Metcalfe, D.B.; van de Weg, M.J.; Meir, P.; Silva-Espejo, J.E.; Huasco, W.H. Nutrient limitation in rainforests and cloud forests along a 3000-m elevation gradient in the Peruvian Andes. Oecologia 2013, 172, 889–902. [Google Scholar] [CrossRef]
- Raich, J.W.; Russell, A.E.; Vitousek, P.M. Primary productivity and ecosystem development along an elevational gradient on Mauna Loa, Hawai‘i. Ecology 1997, 78, 707–721. [Google Scholar]
- Vitousek, P.M.; Aplet, G.; Turner, D.; Lockwood, J.J. The Mauna Loa environmental matrix: Foliar and soil nutrients. Oecologia 1992, 89, 372–382. [Google Scholar] [CrossRef]
- Elser, J.J.; Fagan, W.F.; Kerkhoff, A.J.; Swenson, N.G.; Enquist, B.J. Biological stoichiometry of plant production: Metabolism, scaling and ecological response to global change. New Phytol. 2010, 186, 593–608. [Google Scholar] [CrossRef]
- Abdala-Roberts, L.; Covelo, F.; Parra-Tabla, V.; Teran, J.; Mooney, K.A.; Moreira, X. Intra-specific latitudinal clines in leaf carbon, nitrogen, and phosphorus and their underlying abiotic correlates in Ruellia Nudiflora. Sci. Rep. 2018, 8, 596. [Google Scholar] [CrossRef] [PubMed]
- Top, S.M.; Preston, C.M.; Dukes, J.S.; Tharayil, N. Climate influences the content and chemical composition of foliar tannins in green and senesced tissues of Quercus rubra. Front. Plant. Sci. 2017, 8, 423. [Google Scholar] [CrossRef]
- Kraus, T.E.C.; Dahlgren, R.A.; Zasoski, R.J. Tannins in nutrient dynamics of forest ecosystems—A review. Plant. Soil. 2003, 256, 41–66. [Google Scholar] [CrossRef]
- Malisch, C.S.; Salminen, J.P.; Kolliker, R.; Engstrom, M.T.; Suter, D.; Studer, B.; Luscher, A. Drought effects on proanthocyanidins in sainfoin (Onobrychis viciifolia Scop.) are dependent on the plant’s ontogenetic stage. J. Agric. Food. Chem. 2016, 64, 9307–9316. [Google Scholar] [CrossRef]
- Monschein, M.; Jaindl, K.; Buzimkić, S.; Bucar, F. Content of phenolic compounds in wild populations of Epilobium angustifolium growing at different altitudes. Pharm. Biol. 2015, 53, 1576–1582. [Google Scholar] [CrossRef] [PubMed]
- Abdala-Roberts, L.; Galman, A.; Petry, W.K.; Covelo, F.; de la Fuente, M.; Glauser, G.; Moreira, X. Interspecific variation in leaf functional and defensive traits in oak species and its underlying climatic drivers. PLoS ONE 2018, 13, e0202548. [Google Scholar] [CrossRef] [PubMed]
- Park, I.; DeWalt, S.J.; Siemann, E.; Rogers, W.E. Differences in cold hardiness between introduced populations of an invasive tree. Biol. Invasions 2012, 14, 2029–2038. [Google Scholar] [CrossRef]
- Frei, E.R.; Ghazoul, J.; Matter, P.; Heggli, M.; Pluess, A.R. Plant population differentiation and climate change: Responses of grassland species along an elevational gradient. Glob. Chang. Biol. 2014, 20, 441–455. [Google Scholar] [CrossRef] [PubMed]
- Sexton, J.P.; McKay, J.K.; Sala, A. Plasticity and genetic diversity may allow saltcedar to invade cold climates in North America. Ecol. Appl. 2002, 12, 1652–1660. [Google Scholar] [CrossRef]
- Yeh, P.J.; Price, T.D. Adaptive phenotypic plasticity and the successful colonization of a novel environment. Am. Nat. 2004, 164, 531–542. [Google Scholar] [CrossRef]
- Gallagher, R.V.; Randall, R.P.; Leishman, M.R. Trait differences between naturalized and invasive plant species independent of residence time and phylogeny. Conserv. Biol. 2015, 29, 360–369. [Google Scholar] [CrossRef]
- Geng, Y.P.; Pan, X.Y.; Xu, C.Y.; Zhang, W.J.; Li, B.; Chen, J.K.; Lu, B.R.; Song, Z.P. Phenotypic plasticity rather than locally adapted ecotypes allows the invasive alligator weed to colonize a wide range of habitats. Biol. Invasions 2007, 9, 245–256. [Google Scholar] [CrossRef]
- Yu-Peng, G.; Wen-Ju, Z.; Bo, L.; Jia-Kuan, C.J.B.S. Phenotypic plasticity and invasiveness of alien plants. Biodivers. Sci. 2004, 12, 447. [Google Scholar]
- Jain, S.K.; Martins, P.S. Ecological genetics of the colonizing ability of rose clover (Trifolium hirtum ALL.). Am. J. Bot. 1979, 66, 361–366. [Google Scholar] [CrossRef]
- Barrett, S.J.E.; Richardson, H.J. Genetic Attributes of Invading Species. In Ecology of Biological Invasions; Groves, R.H., Rurdon, J.J., Eds.; Academy of Science: Canberra, Australia, 1986; pp. 21–30. [Google Scholar]
- Jones, R.C.; Nicolle, D.; Steane, D.A.; Vaillancourt, R.E.; Potts, B.M. High density, genome-wide markers and intra-specific replication yield an unprecedented phylogenetic reconstruction of a globally significant, speciose lineage of Eucalyptus. Mol. Phylogenet. Evol. 2016, 105, 63–85. [Google Scholar] [CrossRef] [PubMed]
- Rutherford, S.; van der Merwe, M.; Wilson, P.G.; Kooyman, R.M.; Rossetto, M. Managing the risk of genetic swamping of a rare and restricted tree. Conserv. Genet. 2019, 20, 1113–1131. [Google Scholar] [CrossRef]
- Griffin, A.; Burgess, I.; Wolf, L. Patterns of natural and manipulated hybridisation in the genus Eucalyptus L’hérit. -1 A Review. Aust. J. Bot. 1988, 36, 41–66. [Google Scholar] [CrossRef]
- Arnold, R.; Xie, Y.; Luo, J.; Wang, H.; Midgley, S.J. A tale of two genera: Exotic Eucalyptus and Acacia species in China. 2. Plantation resource development. Int. For. Rev. 2020, 22, 153–168. [Google Scholar] [CrossRef]
- Godoy, O.; Saldaña, A.; Fuentes, N.; Valladares, F.; Gianoli, E. Forests are not immune to plant invasions: Phenotypic plasticity and local adaptation allow Prunella vulgaris to colonize a temperate evergreen rainforest. Biol. Invasions 2011, 13, 1615–1625. [Google Scholar] [CrossRef]
- Nicotra, A.B.; Atkin, O.K.; Bonser, S.P.; Davidson, A.M.; Finnegan, E.J.; Mathesius, U.; Poot, P.; Purugganan, M.D.; Richards, C.L.; Valladares, F.; et al. Plant phenotypic plasticity in a changing climate. Trends. Plant. Sci. 2010, 15, 684–692. [Google Scholar] [CrossRef]







| Species | Location | Latitude (N) | Longitude (E) | Altitude (m) | MAT (℃) | MAP (mm) | Stand Details | Soil Type and Other Details |
|---|---|---|---|---|---|---|---|---|
| E. grandis | Yueqing | 28°21′43″ | 121°8′39″ | 14 | 17.27 | 1482 | Naturalized | Roadside. Clay loam. |
| Wenzhou | 27°57′30″ | 120°45′32″ | 8 | 17.33 | 1516 | Naturalized | Hillside. Clay loam. | |
| Hengyang | 26°50′40″ | 112°34′15″ | 84 | 18.36 | 1432 | Planted | Roadside. Clay loam. | |
| Chaling | 26°45′41″ | 113°31′41″ | 132 | 18.50 | 1486 | Planted | Urban fringes. Clay loam. | |
| Luoyuan | 26°28′10″ | 119°36′52″ | 11 | 19.30 | 1514 | Naturalized | Hillside. Acidic clay. | |
| Wan’an | 26°10′7″ | 114°44′9″ | 294 | 17.76 | 1511 | Naturalized | Mountains. Acidic clay. | |
| Putian | 25°24′5″ | 119°3′29″ | 9 | 20.62 | 1199 | Planted | Roadside. Clay loam. | |
| Guilin North | 25°19′52″ | 110°16′53″ | 151 | 19.26 | 1785 | Planted | Roadside. Clay loam. | |
| Guilin South | 25°9′34″ | 110°24′1″ | 141 | 19.30 | 1782 | Naturalized | Wasteland. Sandy loam. | |
| Xiamen | 24°29′32″ | 118°0′16″ | 20 | 20.99 | 1112 | Naturalized + Planted | Hillside. Industrial area. Acidic clay. | |
| Liuzhou | 24°24′9″ | 109°37′4″ | 89 | 20.62 | 1650 | Naturalized | Roadside. Clay loam. | |
| Hezhou | 24°22′42″ | 111°29′13″ | 112 | 20.42 | 1561 | Naturalized | Fields. Acidic clay. | |
| Du’an | 23°57′51″ | 108°6′34″ | 146 | 21.23 | 1667 | Naturalized | Basin. Clay loam. | |
| Baise | 23°53′7″ | 106°36′57″ | 141 | 22.63 | 1360 | Naturalized | Hillside. Silt. | |
| Dongyuan | 23°47′30″ | 114°37′22″ | 121 | 21.23 | 1844 | Planted | Mountain. Acidic clay. | |
| Qingyuan | 23°45′4″ | 113°1′56″ | 33 | 21.33 | 1716 | Planted | Mountain. Acidic clay. | |
| Guigang | 23°3′17″ | 109°36′15″ | 49 | 21.90 | 1450 | Naturalized | Roadside. Clay loam. | |
| Nanning | 22°54′39″ | 108°5′54″ | 100 | 22.03 | 1506 | Naturalized | Hillside. Acidic clay. | |
| Lufeng | 22°54′34″ | 115°37′15″ | 6 | 22.42 | 1517 | Naturalized | Roadside. Silt. | |
| Yangjiang | 21°52′5″ | 111°55′40″ | 14 | 23.21 | 2243 | Naturalized | Riverside. Clay loam. | |
| Hepu | 21°19′21″ | 109°13′59″ | 35 | 22.50 | 1672 | Naturalized | Roadside. Acidic clay. | |
| Zhanjiang | 21°18′22″ | 110°19′19″ | 22 | 23.35 | 1758 | Naturalized | Open field. Acidic clay | |
| Xuwen | 20°16′8″ | 110°15′50″ | 9 | 23.99 | 1662 | Planted | Beside waterway. Silt. | |
| E. saligna | Wenzhou | 27°57′30″ | 120°45′32″ | 8 | 17.33 | 1516 | Naturalized | Hillside. Acidic clay. |
| Xiangtan | 27°43′36″ | 112°28′8″ | 79 | 17.91 | 1399 | Naturalized + Planted | Hillside. Clay loam. | |
| Xinshao | 27°18′17″ | 111°27′12″ | 232 | 17.41 | 1365 | Naturalized | Semi abandoned factory. Acidic clay. | |
| Shouning | 27°15′35″ | 119°33′38″ | 78 | 18.33 | 1618 | Naturalized | Mountain. Acidic clay. | |
| Luoyuan | 26°28′10″ | 119°36′52″ | 11 | 19.30 | 1514 | Naturalized | Hillside. Acidic clay. | |
| Sanming | 26°25′28″ | 117°45′45″ | 129 | 19.94 | 1514 | Planted | Roadside. Acidic clay. | |
| Wan’an | 26°10′7″ | 114°44′9″ | 293 | 17.76 | 1590 | Naturalized | Mountain and roadside. Acidic clay. | |
| Chenzhou | 25°50′3″ | 113°1′47″ | 151 | 18.44 | 1511 | Naturalized | Mountain. Acidic clay. | |
| Ganzhou West | 25°47′47″ | 114°56′33″ | 128 | 19.38 | 1434 | Naturalized | Roadside. Clay loam. | |
| Ganzhou East | 25°47′47″ | 114°56′33″ | 128 | 19.31 | 1467 | Planted | Roadside. Clay loam. | |
| Longyan | 25°2′47″ | 117°2′17″ | 427 | 20.99 | 1458 | Naturalized + Planted | Hillside. Acidic clay. | |
| Xiamen | 24°29′32″ | 118°0′16″ | 20 | 19.94 | 1112 | Naturalized + Planted | Industrial area. Acidic clay. | |
| Xuwen | 20°16′8″ | 110°15′50″ | 9 | 23.99 | 1662 | Planted | Beside waterway. Silt. | |
| E. robusta | Yueqing | 28°21′43″ | 121°8′39″ | 14 | 17.28 | 1482 | Naturalized | Roadside, fields. Clay loam. |
| Wenzhou | 28°9′41″ | 120°41′53″ | 30 | 17.39 | 1461 | Naturalized | Mountain. Acidic clay. | |
| Fuding | 27°13′58″ | 120°16′50″ | 21 | 18.11 | 1528 | Naturalized | Near mountain stream. Acidic clay. | |
| Guilin | 25°19′39″ | 110°17′11″ | 157 | 19.30 | 1797 | Naturalized + Planted | Near waterway. Clay loam. | |
| Hezhou | 24°26′39″ | 111°30′31″ | 130 | 20.63 | 1565 | Naturalized | Roadside. Clay loam. | |
| Du’an | 23°58′19″ | 108°5′16″ | 151 | 21.27 | 1646 | Naturalized | Mountain area. Clay loam. | |
| Baise | 23°52′40″ | 106°35′50″ | 148 | 22.57 | 1363 | Naturalized | Mountain, urban fringes. Acidic clay. | |
| Qingyuan | 23°45′4″ | 113°1′56″ | 33 | 21.33 | 1716 | Naturalized | Mountain. Acidic clay. | |
| Haifeng | 22°58′24″ | 115°13′29″ | 12 | 21.96 | 1653 | Naturalized | Roadside. Clay loam. | |
| Shenzhen | 22°35′38″ | 114°9′55″ | 63 | 22.60 | 1998 | Naturalized | Mountain. Acidic clay. |
| Leaf Length | Leaf Width | Leaf Petiole | Leaf Thickness | Leaf Area | SLA | |||||||
|---|---|---|---|---|---|---|---|---|---|---|---|---|
| t | p | t | p | t | p | t | p | t | p | t | p | |
| Alt | −1.460 | 0.145 | −3.081 | 0.002 | 2.375 | 0.018 | −2.844 | 0.005 | −3.332 | <0.001 | −3.173 | 0.002 |
| Lat | 2.695 | 0.007 | 1.967 | 0.050 | −0.095 | 0.925 | −0.494 | 0.621 | 2.458 | 0.014 | −0.082 | 0.934 |
| MAT | 4.333 | <0.001 | 0.331 | 0.741 | 1.737 | 0.083 | −2.292 | 0.022 | 1.975 | 0.049 | −1.087 | 0.278 |
| MAP | 6.996 | <0.001 | 0.676 | 0.499 | 1.243 | 0.214 | 3.930 | <0.001 | 4.265 | <0.001 | −2.358 | 0.019 |
| Alt × Lat | −2.393 | 0.017 | 2.239 | 0.025 | −2.551 | 0.011 | −3.581 | <0.001 | 0.402 | 0.688 | 0.147 | 0.883 |
| Alt × MAT | 0.242 | 0.809 | 1.635 | 0.102 | −0.682 | 0.495 | −1.405 | 0.160 | 1.747 | 0.081 | −0.834 | 0.405 |
| Lat × MAT | 2.337 | 0.020 | 2.477 | 0.014 | 3.735 | <0.001 | 3.854 | <0.001 | 3.051 | 0.002 | −2.369 | 0.019 |
| Alt × MAP | 2.162 | 0.031 | −2.548 | 0.011 | 2.816 | 0.005 | 2.696 | 0.007 | 0.695 | 0.487 | −4.255 | <0.001 |
| Lat × MAP | 4.091 | <0.001 | −0.030 | 0.976 | −0.543 | 0.587 | 5.413 | <0.001 | 2.383 | 0.017 | −3.256 | 0.001 |
| MAT × MAP | 2.013 | 0.045 | −0.031 | 0.975 | −0.135 | 0.893 | 2.610 | 0.009 | 0.956 | 0.339 | −3.131 | 0.002 |
| Alt × Lat × MAT | 5.442 | <0.001 | 0.502 | 0.616 | 6.142 | <0.001 | 6.395 | <0.001 | 3.039 | 0.002 | −3.742 | <0.001 |
| Alt × Lat × MAP | 4.628 | <0.001 | 1.279 | 0.201 | 1.768 | 0.077 | 4.119 | <0.001 | 3.964 | <0.001 | −2.401 | 0.017 |
| Alt × MAT × MAP | 8.024 | <0.001 | 2.060 | 0.040 | 3.023 | 0.003 | 6.257 | <0.001 | 6.488 | <0.001 | −2.590 | 0.010 |
| Lat × MAT × MAP | 4.907 | <0.001 | −1.677 | 0.094 | 6.485 | <0.001 | 4.791 | <0.001 | 1.315 | 0.189 | −5.901 | <0.001 |
| Alt × Lat × MAT × MAP | 13.225 | <0.001 | −2.750 | 0.006 | 10.488 | <0.001 | 14.375 | <0.001 | 5.892 | <0.001 | −8.341 | <0.001 |
| Total N | Total P | Phenolic Compounds | ||||
|---|---|---|---|---|---|---|
| t | p | t | p | t | p | |
| Alt | −1.985 | 0.049 | −2.090 | 0.038 | −0.417 | 0.677 |
| Lat | 1.358 | 0.176 | 1.629 | 0.105 | −0.710 | 0.479 |
| MAT | 0.690 | 0.491 | 1.635 | 0.104 | −1.639 | 0.103 |
| MAP | −0.997 | 0.320 | −2.131 | 0.034 | −0.019 | 0.985 |
| Alt × Lat | 1.028 | 0.305 | 1.035 | 0.302 | 2.408 | 0.017 |
| Alt × MAT | 0.662 | 0.509 | −0.410 | 0.682 | 2.411 | 0.017 |
| Lat × MAT | −2.632 | 0.009 | −1.738 | 0.084 | −2.277 | 0.024 |
| Alt × MAP | 0.286 | 0.775 | 0.768 | 0.443 | −3.164 | 0.003 |
| Lat × MAP | 1.958 | 0.052 | 2.580 | 0.011 | 0.129 | 0.897 |
| MAT × MAP | 1.151 | 0.251 | 2.385 | 0.018 | −1.178 | 0.310 |
| Alt × Lat × MAT | −2.372 | 0.019 | −2.011 | 0.046 | −2.678 | 0.008 |
| Alt × Lat × MAP | 1.364 | 0.174 | 0.768 | 0.444 | 0.813 | 0.417 |
| Alt × MAT × MAP | 1.415 | 0.159 | −0.398 | 0.691 | 0.743 | 0.458 |
| Lat × MAT × MAP | −3.172 | 0.002 | −0.634 | 0.527 | −3.592 | <0.001 |
| Alt × Lat × MAT × MAP | −2.432 | 0.016 | −1.572 | 0.117 | −4.700 | <0.001 |
Disclaimer/Publisher’s Note: The statements, opinions and data contained in all publications are solely those of the individual author(s) and contributor(s) and not of MDPI and/or the editor(s). MDPI and/or the editor(s) disclaim responsibility for any injury to people or property resulting from any ideas, methods, instructions or products referred to in the content. |
© 2023 by the authors. Licensee MDPI, Basel, Switzerland. This article is an open access article distributed under the terms and conditions of the Creative Commons Attribution (CC BY) license (https://creativecommons.org/licenses/by/4.0/).
Share and Cite
Liu, H.; Rutherford, S.; Wan, J.S.H.; Liu, J.; Zhang, J.; Afzal, M.R.; Du, D.; Rossetto, M. Variation in Leaf Functional and Plant Defense Traits of Introduced Eucalyptus Species across Environmental Gradients in Their New Range in Southern China. Forests 2023, 14, 936. https://doi.org/10.3390/f14050936
Liu H, Rutherford S, Wan JSH, Liu J, Zhang J, Afzal MR, Du D, Rossetto M. Variation in Leaf Functional and Plant Defense Traits of Introduced Eucalyptus Species across Environmental Gradients in Their New Range in Southern China. Forests. 2023; 14(5):936. https://doi.org/10.3390/f14050936
Chicago/Turabian StyleLiu, Hui, Susan Rutherford, Justin Siu Hung Wan, Jinhui Liu, Jin Zhang, Muhammad Rahil Afzal, Daolin Du, and Maurizio Rossetto. 2023. "Variation in Leaf Functional and Plant Defense Traits of Introduced Eucalyptus Species across Environmental Gradients in Their New Range in Southern China" Forests 14, no. 5: 936. https://doi.org/10.3390/f14050936
APA StyleLiu, H., Rutherford, S., Wan, J. S. H., Liu, J., Zhang, J., Afzal, M. R., Du, D., & Rossetto, M. (2023). Variation in Leaf Functional and Plant Defense Traits of Introduced Eucalyptus Species across Environmental Gradients in Their New Range in Southern China. Forests, 14(5), 936. https://doi.org/10.3390/f14050936

