Do Distance-Dependent Competition Indices Contribute to Improve Diameter and Total Height Tree Growth Prediction in Juvenile Cork Oak Plantations?
Abstract
1. Introduction
2. Materials and Methods
2.1. Tree and Stand Measurements
2.2. Defining Neighbours and Computing Competition Indices
2.3. Fitting Base Models and Models including Inter-Tree Competition
2.4. Model Evaluation
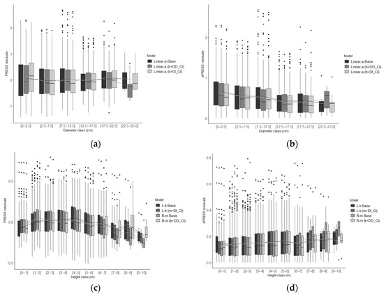
3. Results
3.1. Diameter Growth Modelling
3.2. Total Height Growth Modelling
4. Discussion
5. Conclusions
Author Contributions
Funding
Data Availability Statement
Acknowledgments
Conflicts of Interest
References
- Coelho, M.B.; Paulo, J.A.; Palma, J.H.N.; Tomé, M. Contribution of Cork Oak Plantations Installed after 1990 in Portugal to the Kyoto Commitments and to the Landowners Economy. For. Policy Econ. 2012, 17, 59–68. [Google Scholar] [CrossRef]
- ICNF. Relatório Final do 6° Inventário Florestal Nacional; Instituto da Conservação da Natureza e Florestas: Lisboa, Portugal, 2019; pp. 113–118. (In Portuguese) [Google Scholar]
- Rolo, V.; Hartel, T.; Aviron, S.; Berg, S.; Crous-Duran, J.; Franca, A.; Mirck, J.; Palma, J.H.N.; Pantera, A.; Paulo, J.A.; et al. Challenges and Innovations for Improving the Sustainability of European Agroforestry Systems of High Nature and Cultural Value: Stakeholder Perspectives. Sustain. Sci. 2020, 15, 1301–1315. [Google Scholar] [CrossRef]
- Cañellas, I.; Sánchez-González, M.; Bogino, S.M.; Adame, P.; Herrero, C.; Roig, S.; Tomé, M.; Paulo, J.A.; Bravo, F. Silviculture and carbon sequestration in Mediterranean Oak forests. In Managing Forest Ecosystems: The Challenge of Climate Change, 1st ed.; Bravo, F., Jandl, R., Eds.; Springer: Dordrecht, The Netherlands; London, UK, 2008; Volume 17, pp. 317–338. [Google Scholar]
- AIFF. Estudo Prospetivo Para o Setor Florestal. Relatório Final; Associação Para a Competitividade da Indústria da Fileira Florestal: Lisboa, Portugal, 2013; p. 255. (In Portuguese) [Google Scholar]
- Tomé, M.; Burkhart, H.E. Distance-Dependent Competition Measures for Predicting Growth of Individual Trees. For. Sci. 1989, 35, 816–831. [Google Scholar] [CrossRef]
- Tomé, J.; Tomé, M.; Barreiro, S.; Paulo, J.A. Age-Independent Difference Equations for Modelling Tree and Stand Growth. Can. J. For. Res. 2006, 36, 1621–1630. [Google Scholar] [CrossRef]
- Vanclay, J.K. Modelling Forest Growth and Yield: Applications to Mixed Tropical Forests; CAB International: Wallingford, UK, 1994; pp. 57–71. [Google Scholar]
- Richards, F.J. A Flexible Growth Function for Empirical Use. J. Exp. Bot. 1959, 10, 290–300. [Google Scholar] [CrossRef]
- Lundqvist, B. On the Height Growth in Cultivated Stands of Pine and Spruce in Northern Sweden. Medd. Fran Statens Skogforsk. 1957, 47, 1–64. [Google Scholar]
- Paulo, J.A.; Tomé, M. An Individual Tree Growth Model for Juvenile Cork Oak Stands in Southern Portugal. Silva Lusit. 2009, 17, 27–38. [Google Scholar]
- Sánchez-gonzález, M.; Tomé, M.; Montero, G. Modelling Height and Diameter Growth of Dominant Cork Oak Trees in Spain. Ann. For. Sci. 2005, 62, 633–643. [Google Scholar] [CrossRef]
- McDill, M.E.; Amateis, R.L. Measuring Forest Sites Quality Using the Parameters of a Dimensionally Compatible Height Growth Function. For. Sci. 1992, 38, 409–429. [Google Scholar] [CrossRef]
- Vásquez, J.; Pereira, H. Modelos de Crecimiento en Diámetro para Alcornocales del Centro y Sur de Portugal. Cuad. Soc. Esp. Cien. For. 2004, 18, 219–226. (In Spanish) [Google Scholar]
- Ribeiro, N.A.; Surový, P.; Oliveira, A.C. Modeling Cork Oak production in Portugal. In Sustainable Forest Management. Growth Models for Europe; Hasenauer, H., Ed.; Springer: Berlin, Germany, 2006; pp. 285–313. [Google Scholar]
- Sánchez-González, M.; Río, M.; Cañella, I.; Montero, G. Distance Independent Tree Diameter Growth Model for Cork Oak Stands. For. Ecol. Manag. 2006, 225, 262–270. [Google Scholar] [CrossRef]
- Faias, S.P.; Paulo, J.A. Inter-Tree Competition Analysis in Undebarked Cork Oak Plantations as a Support Tool for Management in Portugal. New For. 2020, 51, 489–505. [Google Scholar] [CrossRef]
- Leal, S.; Nunes, E.; Pereira, H. Cork Oak (Quercus suber L.) Wood Growth and Vessel Characteristics Variations in Relation to Climate and Cork Harvesting. Eur. J. For. Res. 2008, 127, 33–41. [Google Scholar] [CrossRef]
- Burkhart, H.E.; Tomé, M. Modeling Forest Trees and Stands; Springer: New York, NY, USA, 2012. [Google Scholar]
- Pommerening, A.; Sánchez Meador, A.J. Tamm Review: Tree Interactions between Myth and Reality. For. Ecol. Manag. 2018, 424, 164–176. [Google Scholar] [CrossRef]
- Georgi, L.; Kunz, M.; Fichtner, A.; Reich, K.F.; Bienert, A.; Maas, H.G.; von Oheimb, G. Effects of Local Neighbourhood Diversity on Crown Structure and Productivity of Individual Trees in Mature Mixed-Species Forests. For. Ecosyst. 2021, 8, 26. [Google Scholar] [CrossRef]
- Daniels, R.F.; Burkhart, H.E.; Clason, T.R. A Comparison of Competition Measures for Predicting Growth of Loblolly Pine Trees. Can. J. For. Res. 1986, 16, 1230–1237. [Google Scholar] [CrossRef]
- Pukkala, T.; Kolström, T. Competition Indices and the Prediction of Radial Growth in Scots Pine. Silva Fenn. 1987, 21, 55–67. [Google Scholar] [CrossRef]
- Versace, S.; Garfì, V.; Dalponte, M.; Di Febbraro, M.; Frizzera, L.; Gianelle, D.; Tognetti, R. Species Interactions in Pure and Mixed-Species Stands of Silver Fir and European Beech in Mediterranean Mountains. iForest 2021, 14, 1–11. [Google Scholar] [CrossRef]
- Paulo, J.A.; Faias, S.P.; Ventura-Giroux, C.; Tomé, M. Estimation of Stand Crown Cover Using a Generalized Crown Diameter Model: Application for the Analysis of Portuguese Cork Oak Stands Stocking Evolution. iForest 2016, 9, 437–444. [Google Scholar] [CrossRef]
- Dinis, C. Cork Oak (Quercus suber L.) Root System: A Structural-Functional 3D Approach. Ph.D. Thesis, Évora University, Évora, Portugal, 2014. [Google Scholar]
- Moreno, G.; Obrador, J.J.; Cubera, E.; Dupraz, C. Fine root distribution in Dehesas of Central-Western Spain. Plant Soil 2005, 277, 153–162. [Google Scholar] [CrossRef]
- Paulo, M.J.; Stein, A.; Tomé, M. A Spatial Statistical Analysis of Cork Oak Competition in Two Portuguese Silvopastoral Systems. Can. J. For. Res. 2002, 32, 1893–1903. [Google Scholar] [CrossRef]
- Gea-Izquierdo, G.; Cañellas, I. Analysis of Holm Oak Intraspecific Competition Using Gamma Regression. For. Sci. 2009, 55, 310–322. [Google Scholar] [CrossRef]
- Ozdemir, E. Individual Tree Basal Area Increment Model for Sessile Oak (Quercus petraea (Matt.) Liebl.) in Coppice-originated Stands. Environ. Monit. Assess 2021, 193, 357. [Google Scholar] [CrossRef] [PubMed]
- Wilson, F.G. Numerical Expression of Stocking in Term of Height. J. For. 1946, 44, 758–761. [Google Scholar]
- Natividade, J.V. Subericultura; Direção Geral dos Serviços Florestais e Aquícolas: Lisboa, Portugal, 1950. [Google Scholar]
- Glover, G.R.; Hool, J.N. A Basal Area Ratio Predictor of Loblolly Pine Plantation Mortality. For. Sci. 1979, 25, 275–282. [Google Scholar] [CrossRef]
- Biging, G.S.; Dobbertin, M. Evaluation of Competition Indices in Individual Tree Growth Models. For. Sci. 1995, 41, 360–377. [Google Scholar] [CrossRef]
- Moravie, M.; Durand, M.; Houllier, F. Ecological Meaning and Predictive Ability of Social Status, Vigour and Competition Indices in a Tropical Rain Forest (India). For. Ecol. Manag. 1999, 117, 221–240. [Google Scholar] [CrossRef]
- Ottorini, J.M. Aspects de la Notion de Densite et Croissance des Arbres en Peuplement. Ann. Sci. For. 1978, 35, 299–320. [Google Scholar] [CrossRef]
- Hegyi, F. A simulation model for managing jack-pine stands. In Growth Models for Tree and Stand Simulation; Fries, J., Ed.; Royal College of Forestry: Stockholm, Sweden, 1974; pp. 74–90. [Google Scholar]
- Martin, G.L.; Ek, A.R. A Comparison of Competition Measures and Growth Models for Predicting Plantation Red Pine Diameter and Height Growth. For. Sci. 1984, 30, 731–743. [Google Scholar] [CrossRef]
- Alemdag, I.S. Evaluation of Some Competition Indexes for the Prediction of Diameter Increment in Planted White Spruce. For. Manag. Inst. Inf. Rep. 1978, FMR-X-108, 39. [Google Scholar]
- Lorimer, C.G. Tests of Age-independent Competition Indices for Individual Trees in Natural Hardwood Stands. For. Ecol. Manag. 1983, 6, 343–360. [Google Scholar] [CrossRef]
- Clark, P.J.; Evans, F.C. Distance to Nearest Neighbor as a Measure of Spatial Relationships in Populations. Ecology 1954, 35, 445–453. [Google Scholar] [CrossRef]
- Rivas, C.; Aguirre, O. The Effect of Competition on Individual Tree Basal Area Growth in Mature Stands of Pinus cooperi Blanco in Durango (Mexico). Eur. J. For. Res. 2005, 124, 133–142. [Google Scholar] [CrossRef]
- Soares, P.; Tomé, M. Height-diameter Equation for First Rotation Eucalypt Plantations in Portugal. For. Ecol. Manag. 2002, 166, 99–109. [Google Scholar] [CrossRef]
- Amaro, A.; Reed, D.; Tomé, M.; Themido, I. Modeling Dominant Height Growth: Eucalyptus Plantations in Portugal. For. Sci. 1998, 44, 37–46. [Google Scholar] [CrossRef]
- Kuehne, C.; Weiskittel, A.R.; Waskiewicz, J. Comparing Performance of Contrasting Distance-Independent and Distance-Dependent Competition Metrics in Predicting Individual Tree Diameter Increment and Survival within Structurally-Heterogeneous, Mixed-Species Forests of Northeastern United States. For. Ecol. Manag. 2019, 433, 205–216. [Google Scholar] [CrossRef]
- R Core Team. R: A Language and Environment for Statistical Computing; R Foundation for Statistical Computing: Vienna, Austria, 2021; Available online: https://www.R-project.org/ (accessed on 19 September 2022).
- Elzhov, T.V.; Mullen, K.M.; Spiess, A.N.; Maintainer, B.B. Minpack.Lm: R Interface to the Levenberg-Marquardt Nonlinear Least-Squares Algorithm Found in MINPACK, Plus Support for Bounds. R Package, R Package Version 1.2-1. 2016. Available online: https://CRAN.R-project.org/package=minpack.lm (accessed on 19 September 2022).
- Fox, J.; Weisberg, S. An {R} Companion to Applied Regression, 3rd ed.; Sage: Thousand Oaks, CA, USA, 2019; Available online: https://socialsciences.mcmaster.ca/jfox/Books/Companion/ (accessed on 20 October 2022).
- Myers, R.H. Classical and Modern Regression with Applications, 2nd ed.; Duxbury Classic Series; Duxbury Press: Duxbury, CA, USA, 1990. [Google Scholar]
- James, G.; Witten, D.; Hastie, T.; Tibshirani, R. An Introduction to Statistical Learning: With Applications in R; Springer: New York, NY, USA, 2013. [Google Scholar]
- Paulo, J.A. Desenvolvimento de um Sistema Para Apoio à Gestão Sustentável de Montados de Sobro. Ph.D. Thesis, Universidade Técnica de Lisboa, Instituto Superior de Agronomia, Lisboa, Portugal, 2011. (In Portuguese). [Google Scholar]
- Faias, S.P.; Palma, J.H.N.; Barreiro, S.; Paulo, J.A.; Tome, M. Resource Communication. SIMfLOR—Platform for Portuguese Forest Simulators. For. Syst. 2012, 21, 543–548. [Google Scholar] [CrossRef]
- Adame, P.; Cañellas, I.; Roig, S.; Del Río, M. Modelling Dominant Height Growth and Site Index Curves for Rebollo Oak (Quercus pyrenaica Willd.). Ann. For. Sci. 2006, 63, 929–940. [Google Scholar] [CrossRef]
- Wimberly, M.C.; Bare, B.B. Distance-Dependent and Distance-Independent Models of Douglas-Fir and Western Hemlock Basal Area Growth Following Silvicultural Treatment. For. Ecol. Manag. 1996, 89, 1–11. [Google Scholar] [CrossRef]
- Canham, C.D.; LePage, P.T.; Coates, K.D. A Neighborhood Analysis of Canopy Tree Competition: Effects of Shading versus Crowding. Can. J. For. Res. 2004, 34, 778–787. [Google Scholar] [CrossRef]
- Zhao, D.; Borders, B.; Wilson, M.; Rathbun, S.L. Modeling Neighborhood Effects on the Growth and Survival of Individual Trees in a Natural Temperate Species-Rich Forest. Ecol. Modell. 2006, 196, 90–102. [Google Scholar] [CrossRef]



| Min | Max | Mean | SD | |
|---|---|---|---|---|
| d | 0.2 | 25.8 | 8.8 | 5.1 |
| h | 1.3 | 9.5 | 3.8 | 1.5 |
| t | 6.0 | 22.0 | 14.5 | 3.9 |
| N | 80 | 877 | 401 | 163 |
| dg | 0.3 | 24.3 | 9.6 | 9.6 |
| hdom | 1.7 | 9.8 | 5.3 | 1.7 |
| S | 13.5 | 18.6 | 16.7 | 1.2 |
| CC | 0.1 | 1.3 | 0.6 | 0.3 |
| Tmin | 8.5 | 13.2 | 9.8 | 1.3 |
| Tmean | 14.1 | 15.6 | 16.1 | 0.6 |
| Tmax | 18.3 | 21.4 | 22.5 | 1.5 |
| Precipitation | 493.3 | 943.7 | 652.3 | 131.1 |
| Abbreviation | Equation | Reference |
|---|---|---|
| Stand density measures | ||
| N | ||
| RS | [31] | |
| SC | [32] | |
| CC | ||
| Distance-independent competition indices | ||
| Rgm | gi/gmean | [22] |
| Rϱmax | ϱi/ϱmax | [33] |
| Rϱdg | ϱi/dg | [33] |
| Rϱdom | ϱi/ϱdom | [33] |
| Rϱmean2 | ϱi2/ϱmean2 | [33] |
| CC > ϱi | [34] | |
| Distance-dependent competition indices | ||
| nn | [35] | |
| N > ϱi | [35] | |
| Sumϱ | [36] | |
| ϱratio | [22] | |
| G > ϱi | [35] | |
| distnn | Min(distij) | [35] |
| distnn > ϱi | nn ϱj > ϱi | [32] |
| diffnn | ϱnn − ϱi | [28] |
| Hegyi | [37] | |
| Hegyi.mod | [30] | |
| distϱdiff | [6] | |
| MartinEk | [38] | |
| MartinEk.mod | [30] | |
| Alemag | [39] | |
| Lorimer | [40] | |
| ClarkEvans | [41] | |
| NegExpSR | [38] | |
| NegExpWSR | [38] | |
| Function | Equation |
|---|---|
| Linear-a | |
| Linear-b | |
| L-k | |
| L-A | |
| R-k | |
| R-A | |
| R-m |
| Model | Type | Mpress | Mapress | P5 | P95 | ef | AIC |
|---|---|---|---|---|---|---|---|
| dt+1 base model | Linear-a | <0.001 | 0.524 | −0.912 | 1.230 | 0.9833 | 3350.1 |
| Linear-b | −0.055 | 0.568 | −1.057 | 1.154 | 0.9807 | 3598.9 | |
| Linear-b-S | −0.072 | 0.558 | −1.008 | 1.165 | 0.9817 | 3506.2 | |
| L-A | 0.292 | 0.660 | −0.913 | 1.690 | 0.9718 | 4230.4 | |
| L-k | 0.152 | 0.635 | −0.934 | 1.633 | 0.9746 | 4053.5 | |
| R-A | 0.301 | 0.672 | −0.959 | 1.719 | 0.9707 | 4293.7 | |
| R-m | 0.203 | 0.668 | −0.919 | 1.773 | 0.9719 | 4224.1 | |
| R-k | 0.239 | 0.701 | −0.985 | 1.842 | 0.9689 | 4393.2 | |
| MA | 0.263 | 0.701 | −0.951 | 1.861 | 0.9687 | 4403.3 | |
| dt+1 DI model | Linear-a | <0.001 | 0.508 | −0.919 | 1.163 | 0.9844 | 3243.8 |
| dt+1 DD model | Linear-a | <0.001 | 0.494 | −0.884 | 1.103 | 0.9851 | 3164.5 |
| Model | Type | Mpress | Mapress | P5 | P95 | ef | AIC |
|---|---|---|---|---|---|---|---|
| ht+1 base model | Linear-a | <0.001 | 0.162 | −0.284 | 0.404 | 0.9885 | −719.3 |
| Linear-b | 0.001 | 0.157 | −0.288 | 0.372 | 0.9890 | −816.9 | |
| L-A | 0.036 | 0.162 | −0.298 | 0.393 | 0.9879 | −602.3 | |
| L-k | 0.006 | 0.149 | −0.261 | 0.357 | 0.9900 | −1019.9 | |
| L-k-N | 0.006 | 0.147 | −0.265 | 0.348 | 0.9902 | −1052.7 | |
| L-k-S | 0.006 | 0.150 | −0.261 | 0.357 | 0.9900 | −1027.3 | |
| MA | 0.017 | 0.154 | −0.288 | 0.368 | 0.9892 | −845.7 | |
| MA-N&S | 0.012 | 0.153 | −0.287 | 0.369 | 0.9894 | −882.5 | |
| MA-S | 0.012 | 0.153 | −0.282 | 0.372 | 0.9893 | −878.2 | |
| R-A | 0.037 | 0.163 | −0.301 | 0.398 | 0.9877 | −577.2 | |
| R-m | 0.002 | 0.149 | −0.273 | 0.367 | 0.9900 | −1008.1 | |
| R-m-N | 0.002 | 0.149 | −0.277 | 0.366 | 0.9900 | −1010.3 | |
| R-k | 0.014 | 0.156 | −0.303 | 0.370 | 0.9889 | −779.5 | |
| ht+1 DI model | L-k | 0.004 | 0.148 | −0.262 | 0.357 | 0.9902 | −1049.3 |
| ht+1 DD model | R-m | <0.001 | 0.148 | −0.271 | 0.362 | 0.9902 | −1053.7 |
Disclaimer/Publisher’s Note: The statements, opinions and data contained in all publications are solely those of the individual author(s) and contributor(s) and not of MDPI and/or the editor(s). MDPI and/or the editor(s) disclaim responsibility for any injury to people or property resulting from any ideas, methods, instructions or products referred to in the content. |
© 2023 by the authors. Licensee MDPI, Basel, Switzerland. This article is an open access article distributed under the terms and conditions of the Creative Commons Attribution (CC BY) license (https://creativecommons.org/licenses/by/4.0/).
Share and Cite
Firmino, P.N.; Tomé, M.; Paulo, J.A. Do Distance-Dependent Competition Indices Contribute to Improve Diameter and Total Height Tree Growth Prediction in Juvenile Cork Oak Plantations? Forests 2023, 14, 1066. https://doi.org/10.3390/f14051066
Firmino PN, Tomé M, Paulo JA. Do Distance-Dependent Competition Indices Contribute to Improve Diameter and Total Height Tree Growth Prediction in Juvenile Cork Oak Plantations? Forests. 2023; 14(5):1066. https://doi.org/10.3390/f14051066
Chicago/Turabian StyleFirmino, Paulo Neves, Margarida Tomé, and Joana Amaral Paulo. 2023. "Do Distance-Dependent Competition Indices Contribute to Improve Diameter and Total Height Tree Growth Prediction in Juvenile Cork Oak Plantations?" Forests 14, no. 5: 1066. https://doi.org/10.3390/f14051066
APA StyleFirmino, P. N., Tomé, M., & Paulo, J. A. (2023). Do Distance-Dependent Competition Indices Contribute to Improve Diameter and Total Height Tree Growth Prediction in Juvenile Cork Oak Plantations? Forests, 14(5), 1066. https://doi.org/10.3390/f14051066

