You are currently on the new version of our website. Access the old version .
ForestsForests
  • Article
  • Open Access

12 April 2023

Decreased Soil Microbial Biomass and Changed Microbial Community Composition following a Defoliation Event by the Forest Tent Caterpillar

,
and
1
Département des Sciences Biologiques, Université du Québec à Montréal, 141 President-Kennedy Ave., Montreal, QC H2X 1Y4, Canada
2
Institut des Sciences de la Mer, Université du Québec à Rimouski, 310 All. des Ursulines, Rimouski, QC G5L 2Z9, Canada
3
Biology Department, Concordia University, 7141 Sherbrooke West, Montreal, QC H4B 1R6, Canada
*
Author to whom correspondence should be addressed.
This article belongs to the Special Issue Herbivory as a Driver of Forest Dynamics and Biodiversity

Abstract

With climate change projected to increase the frequency and severity of episodic insect outbreak events, assessing potential consequences for soil microbial communities and nutrient dynamics is of importance for understanding forest resilience. The forest tent caterpillar (Malacosoma disstria) is an important defoliator of deciduous tree species in temperate and mixed forests of eastern North America with an invasion cycle every 10–12 years and outbreak events that can last 3–6 years. Following a defoliation episode on trembling aspen (Populus tremuloides) from 2015 to 2017 in Abitibi-Témiscamingue, QC, Canada, we sought to test if defoliation resulted in changes to soil bacterial and fungal communities. We hypothesized an increase in soil microbial biomass due to increased caterpillar frass inputs and potential changes in community structure following the event. Soils were sampled in August 2018, May 2019 and July 2019 from sites that had been subjected to defoliation during the outbreak and from sites where no defoliation had been recorded. We assessed soil microbial biomass and fungal to total microbial activity ratio on all sampling dates, and Community Level Physiological Profiles (CLPPs) for 2018 only using a substrate-induced respiration method. Contrary to our hypothesis, we observed a significant 50% decrease in microbial biomass (μg biomass-C g−1 soil hour−1) in defoliated stands, suggesting tree carbon normally allocated towards root exudates was reallocated towards foliage regeneration. We noted a differentiated carbon-based substrate usage following defoliation, but no change in the fungal to total microbial activity ratio. The observed changes in the two years following the defoliation event suggest that defoliation episodes above-ground could trigger changes in soil chemistry below-ground with effects on soil microbial communities that may, in turn, feedback to influence forest plant dynamics.

1. Introduction

Insect outbreaks are natural disturbances inherent to forest ecosystems and can alone, or coupled with droughts or fires, lead to tree mortality [1,2,3]. However, there is increasing concern that climate change will affect outbreak dynamics, as higher global temperatures offer better conditions for the reproductive cycle of insects, causing an increase in the frequency and intensity of outbreaking defoliator episodes [4,5,6]. Higher defoliating insect density may attenuate the capacity of high latitude forests to act as carbon sinks as tree growth and carbon sequestration depend, in part, on photosynthesis carried out by foliage [7]. Furthermore, interacting factors such as drought may exacerbate tree mortality, turning forests into carbon sources [8].
Consequences of altered outbreak dynamics may extend beyond host plants to soil ecosystems as vascular plants interact actively with above-ground and below-ground components of the forest ecosystem [9]. For example, insect herbivory may have both indirect and direct effects on nutrient dynamics and decomposers in soils by altering the resources flowing from above to below-ground components [9,10]. Hunter (2001) identified seven broad mechanisms by which herbivory could affect nutrient cycles. Mechanisms mediated directly by insect herbivores include increased defecation (frass) or insect cadaver inputs or changes in the nutrient content of precipitation throughfall passing through the canopy [10,11]. Indirect mechanisms mediated by host trees may include changes in leaf litter quantity and quality such as defence compounds or nutrient concentration in foliage [12], changes in the canopy structure that may modify microclimate in the understory and decreased allocation to root exudates that may alter symbiotic interactions [13]. In the medium term, changes in plant community composition may also alter nutrient cycles [10,14].
Thus, insect defoliation can reduce the amount of nutrient-rich leaves arriving to the soil while nitrogen-rich frass changes the nutritional input to the underground system, affecting carbon (C) and nitrogen (N) fluxes (e.g., [15,16]). Digestion by insect herbivores reduces the C:N ratio in the frass compared to the ratio from the plant foliage [17]. This new N input is not necessarily absorbed by plant roots directly: Grüning et al. [18] found that the new N input in the soil following a defoliation event by the nun moth (Lymantria monacha L.) on Scots pine (Pinus sylvetris L.) reduced N uptake capacity of the pine roots as the tree reallocated N from internal sources rather than increasing root N acquisition to compensate for the loss of foliage. This N input could therefore become available to other organisms below-ground such as soil microbes.
Soil microbial activity, estimated typically with substrate-induced soil respiration, is an indicator of below-ground change, but studies assessing the effect of herbivorous insect outbreaks on soil microbial activity have shown mitigated results. Under artificial defoliation conditions, simulated frass addition had no effect on soil microbial activity [19]. Other laboratory studies found that litterfall and greenfall exclusion resulted in a decrease in soil microbial respiration [20], while mechanical or insect-induced defoliation increased it [15]. However, soil microbial activity following natural defoliation events generally showed a more consistent response. Multiple studies demonstrated an increase in soil microbial activity one to sixteen months following an insect outbreak [11,17,21], although some found no change after six months [22,23] and short-term increased activity may also taper or inverse itself after three years [17].
Soil microbial community composition is increasingly studied in forest ecosystems [24], but knowledge in response to episodic insect outbreaks remains limited. Soil microbial community composition can be changed in response to recurring herbivory, as a result of changes in soil abiotic conditions such as high soil temperatures exacerbated by canopy opening during an outbreak and decreases in soil C flow from tree root exudation [25]. In response to different defoliator outbreaks, shifts of specific microbial groups have been observed. For example, Castaño et al. [26] found a decrease in soil fungal biomass associated with a decrease in root exudates after an outbreak by the pine processionary moth. In lab cultures, Oneț et al. [27] found an increase in fungi and a decrease in heterotrophic bacteria from soils sampled under oaks defoliated by spongy moth and attributed them to higher pH and changes in soil chemistry. Soil fungi and bacteria can thus be affected differently and, in turn, alter ecosystem functioning [28].
The forest tent caterpillar (Malacosoma disstria Hübner) is a major native defoliator of North American hardwood trees [29]. In the boreal zone, trembling aspen is its preferred host tree and the one on which the most important outbreaks have been recorded [30]. Forest tent caterpillar outbreaks occur in roughly 10–20 year cycles while many landscape variables such as forest structure, climate and topography might affect the outbreak duration, lasting on average 4–6 years [31,32,33]. During an outbreak, the caterpillar modifies its environment by feeding on the host’s foliage efficiently, typically on the deciduous canopy [34] which can negatively affect tree growth and increase mortality [35]. We sought to better understand the medium-term effects of a recent (2015–2017) outbreak of the forest tent caterpillar in eastern Canada on soil microbial communities. Sampling beneath defoliated and undefoliated aspens, we assessed soil microbial biomass and community-level physiological profiling over two successive summers following a 3-year defoliation episode (2015–2017). Given that soil chemistry analysis at peak defoliation in 2017 showed higher amounts of N in soil under defoliated trees from our sites attributed to frass addition (Figure A1), we hypothesized an increase in soil microbial abundance and altered community composition due to additional nutritional input from the outbreak.

2. Materials and Methods

This study was conducted in the Abitibi region of western Quebec, Canada. The study area is located within the balsam fir-white birch bioclimatic domain (Saucier et al. 2011), at and around the Lake Duparquet Research and Teaching Forest (LSRTF; 48°30′ N, 79°20′ W). Forests of the LDRTF are characterized by pure and mixed stands composed of boreal coniferous and shade-intolerant deciduous species. On mesic sites, trembling aspen (Populus tremuloides Michaux), white birch (Betula papyrifera Marshall) and jack pine (Pinus banksiana Lamb.) dominate early successional stands, whereas balsam fir (Abies balsamea L.) and eastern white cedar (Thuja occidentalis L.), in association with white spruce (Picea glauca Moench) and persistent, scattered white birch, dominate late-successional stands [36]. Glaciolacustrine clays cover 55% of the LDRTF territory [37] and are the legacy of proglacial lakes Ojibway and Barlow [38]. The climate is continental and, according to the nearest weather station (Mont-Brun), for the period 1980–2010, the growing season lasted about 150 to 160 days, whereas the mean annual temperature and mean annual precipitation were 1.0 °C and 985 mm, respectively [39].
Both the defoliated (1.5 km2) and undefoliated (1 km2) stands at LDRF were dominated by 70–90-year-old aspens (Populus tremuloides), located on moderately well-drained glacial clays developed in Luvisols and separated by approximately 10 km. In 2016 and 2017, the defoliated stand was characterized by the provincial Ministry of Forests, Wildlife and Parks through aerial surveys as severe defoliation (loss of foliage all along the crown of the majority of trees) and estimated at 70% to 90% canopy loss [40,41]. Provincial surveys recorded no defoliation in the region in 2018 [42]. In 2017 and 2018, caterpillar colonies were counted in both stands by the research team but were only observed in the defoliated stands in 2017.
Soils were sampled at the base of 8 defoliated and 8 undefoliated Populus tremuloides trees. Sampled trees within the stand were separated at least 115 m from each other. In August 2018, May 2019 and July 2019, two 3 cm-diameter soil cores were extracted within 1 m from each selected. The sections from 0–5 cm and 5–10 cm from the two cores were pooled for analysis. Specifically, we sampled 745 mL of fresh soil that was sieved on a 2 mm test sieve (Retsch), put in sterile tubes, transported in a cooler with multiple ice packs and then frozen at −20 °C until analysis. In total, 96 samples were taken (2 stands each with a different defoliation status × 3 sampling dates × 8 tree replicates × 2 depths).
Using the substrate-induced soil respiration method of MicroRespTM [43] and FungiResp [44], both total microbial biomass (μg microbial-C g−1) and the fungal ratio were tested as indicators of soil microbial activity. Soils were defrosted for twenty-four hours before being adjusted with distilled water to a water-holding capacity of 35% for all samples in a 96-deep-well 1.2 mL microplate. After a week of incubation, bronopol was added to certain subsamples followed with glucose for all subsamples. A colorimetric 96-well microplate detecting carbon dioxide produced from respiration was then secured over the wells with a silicon MicroRespTM seal. After 6 h of incubation in the dark at 23 °C, the detection microplate was read using a microplate spectrophotometer at 570 nm (Multiskan Go, Thermoscientific, Waltham, MA, USA). A factor of 40 of glucose-induced respiration (GIR) was used as a proxy of microbial biomass [44,45]. We estimated the fungal ratio of our soils by adding a solution of bronopol at 78 μg g−1 of soil as a bacterial inhibitor (Sassi et al., 2012). A ratio of the microbial activity (μg CO2-C g−1 h−1) induced with the inhibitor divided by the microbial activity induced with glucose allowed us to estimate the proportion of fungi compared to bacteria in our samples. Calibration curves associating percentages of CO2 to different absorbances of the detection plate were determined with the two different indicator solutions using a portable CO2 analyzer (EGM-5, PP Systems). This allowed us to convert the normalized 6 h data to % CO2. While 8 soil samples from the 0–5 cm depth were taken from each stand type at each of the 3 sampling dates, 9 of the 48 samples were compromised in the lab due to the over-adjustment of water saturation capacity in very wet samples. Ultimately, this resulted in variable replication (n = 5 to 8 samples) between defoliation histories and sampling dates (see Figure 1 for explicit details). The 5–10 cm depth was only analyzed for soils collected in August 2018.
The technique of assessing community-level physiological profiles (CLPPs) measures the ability of the soil microbiome to metabolize different carbon substrates. To determine the functional composition of the microbial communities by CLPPs, we created a catabolic fingerprint by testing four dissolved carbon sources ecologically relevant to induce differentiated mineralization between soil microbial communities [46]. Those carbon-based substrates were identified by Campbell et al. (1997) to be relevant to soil ecosystem functions, such as those representing plant root exudates. Two carbohydrates (fructose and glucose), one amino acid (glycine) and one carboxylic acid (malic acid) providing different chemical types of acids and sugars were selected following Campbell et al. (2003) and Sassi et al. (2012). In the same manner as the MicroRespTM protocol, soils were defrosted for 24 h before being adjusted with distilled water to a water-holding capacity of 35% for all samples. After a week of incubation, we added the four different substrate solutions (30 mg g−1). Aliquots of 25 μL per solution were inserted in each corresponding well of the MicroRespTM 96-deep-well plate according to Sassi et al. (2012). After six hours, the colorimetric microplate was read using a microplate spectrophotometer (Multiskan Go, Thermoscientific, Waltham, MA, USA). Due to time constraints, only samples from August 2018 were analyzed. To compare substrate breakdown from the microbial community from each forest stand (defoliated and undefoliated), we evaluated differences in both raw and relative respiration. Relative respiration on each substrate was calculated by dividing respiration on that substrate by the total respiration for each sample.
Soil microbial biomass on the surface and at depth and both absolute and relative substrate utilization were compared between defoliation histories with ANOVAs (aov/TukeyHSD) after assessing the normality (Shapiro.test) and homogeneity of variance (bartlett.test and levene.test). For surface biomass (0–5 cm layer), a two-way ANOVA was performed for the main effects of defoliation and date of sampling, as well as their interaction. For deeper biomass (5–10 cm layer), a one-way ANOVA tested defoliation as the main effect. Two different two-way ANOVAs were performed for substrates-induced respiration, where defoliation and substrate were the main effects on respiration and relative respiration, respectively. All analyses were carried out in the Rstudio (v.1.2.1335) (Rstudio Inc., Boston, MA, USA) environment with R software (v.3.6.0) (R Development Core Team, Vienna, Austria).

3. Results

3.1. Soil Microbial Biomass

Surface soil microbial biomass ranged from 173 to 911 μg biomass-C g−1 soil hour−1 (Figure 1), with the lowest biomass in the spring of May 2019 and the highest in the late summer of August 2018 (p < 0.05). Microbial biomass in the top 5 cm of soil from the previously defoliated stand was consistently about half that in the undefoliated control stand across all sampling dates (p < 0.001). The sampling date also had a significant effect on the microbial biomass (p < 0.05) and no significant interaction between defoliation and sampling date was observed (Figure 1, p = 0.36). Tukey post hoc tests showed significant differences between control and defoliated stands for two of the three sampling dates, in August of 2018 and July of 2019 (p < 0.05 and p = 0.0597), but not for May of 2019 (p = 0.77).
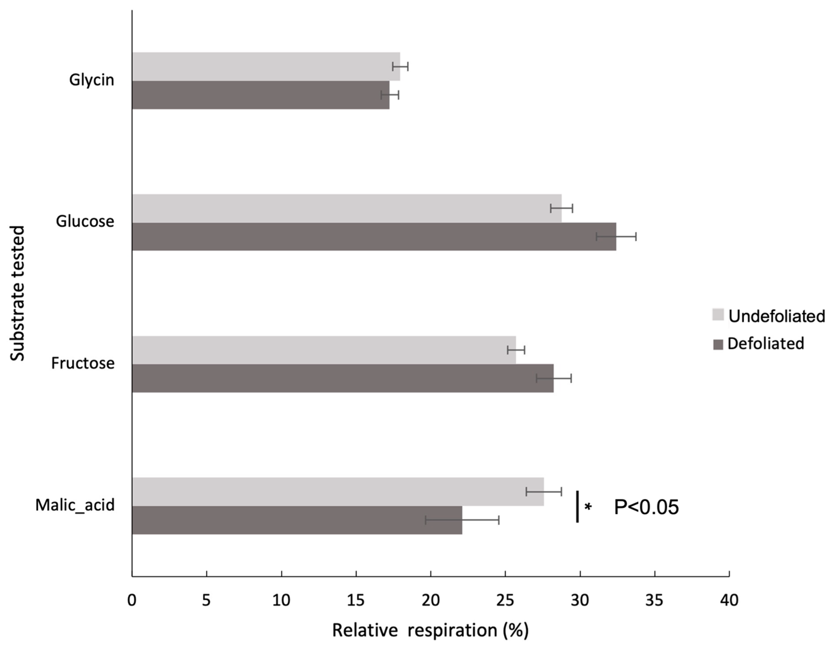
Lower microbial respiration in defoliated stands was also observed for two other substrates (malic acid and fructose) included to assess the catabolic fingerprint (August 2018 only), with each substrate-induced activity being two to three times the magnitude in control compared to defoliated stands (Figure 2, p < 0.05 and p = 0.052). Furthermore, there was no significant interaction between defoliation and the type of substrate used (Figure 2, p = 0.50).
Figure 2. Mean microbial respiration (μg CO2-C g−1 soil hour−1) ± standard error from carbon-based substrate-induced respiration of the top 5 cm of soil sampled under undefoliated (N = 8) and defoliated (N = 7) Populus tremuloides trees. An ANOVA found significative differences between defoliated and undefoliated trees across substrates, Tukey’s test found the difference was significative for every substrate except glycin. Soils were sampled in August 2018 in the Lake Duparquet Research and Teaching Forest (Abitibi, QC, Canada). * p < 0.05 and ** p < 0.01 indicate a significant post hoc Tukey contrast.
Figure 1. Mean microbial biomass (μg microbial-C g−1) ± standard error from glucose-induced respiration of the top 5 cm of soil sampled under undefoliated (N = 8, 6, 6) and defoliated (N = 7, 5, 7) Populus tremuloides trees. Tukey’s test found the difference was significant in August 2018, not significant in May 2019, and marginally significant in July 2019. Soils were sampled in August 2018, May 2019 and July 2019 in the Lake Duparquet Research and Teaching Forest (Abitibi, QC, Canada). * p < 0.05 indicates a significant or (*) p = 0.06 a marginally significant post hoc Tukey contrast.
Average soil microbial biomass in deeper soils (5–10 cm depth, analyzed for 2018 only) showed no effect of defoliation (p = 0.112). However, average soil microbial biomass in deeper soils was ca. 50% (65% for non-defoliated and 37% for defoliated sites) lower than that measured in the 0–5 cm layer (Table S1, Supplementary Materials).

3.2. Soil Microbial Community

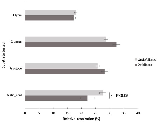
Community-level physiological profiles (CLPP) offer an indicator of microbial community functional composition. Figure 3 reshapes the data shown in Figure 2, offering a view of the proportion of respiration from each substrate relative to the total respiration induced across all substrates. The relative respiration of our microbial communities showed a differentiated usage of four carbon-based substrates between the undefoliated and the defoliated stands from soil sampled in 2018 (Figure 3). The defoliated stand microbial community used significantly less malic acid than that from soil under undefoliated trees (Figure 3); respiration from the carboxylic acid substrate (malic acid) was 20% lower for the defoliated than the control (p < 0.05). Conversely, relative respiration of carbohydrate substrates (glucose and fructose) was on average 12% ± 9% higher under defoliated compared to undefoliated stands, but this difference did not attain statistical significance (p = 0.23 and p = 0.59, respectively).
Figure 3. Relative respiration with ± standard error from four different carbon substrate-induced respirations of the top 5 cm of soil under undefoliated (N = 8 white) and defoliated (N = 6 black) Populus tremuloides trees. Tukey’s test found a significative difference between defoliated and undefoliated stand relative respiration only for malic acid as substrate. Soils were sampled in August 2018 in the Lac Duparquet Research and Training Forest (Abitibi, QC, Canada). * p < 0.05 indicates a significant post hoc Tukey contrast.

3.3. Fungal Ratio

The average fungal to total microbial activity ratio across defoliated and undefoliated plots was 0.86 ± 0.17, revealing a soil dominated by fungi throughout the samples. There were no significant differences between defoliated and undefoliated plots (p = 0.37).

4. Discussion

Our two-year study following a severe defoliation outbreak of the forest tent caterpillar provided us with a medium-term understanding of microbial dynamics in the trembling aspen-dominated stands of the mixed wood boreal forest. Most studies to date have been limited to short-term responses [15,19,20,22,23,34,47] or have drawn general conclusions using artificial defoliation events [15,19,20,48]. While these latter artificial defoliation experiments have helped us to understand valuable mechanisms, such study systems are limited in their ability to reproduce the complex interactions of natural outbreaks. Our results showed that, contrary to our hypothesis that N input by frass would stimulate microbial activity [15,17,18,21], microbial biomass as approximated by a conversion factor decreased by half in defoliated sites in the top 5 cm of soil, and the response of microbial respiration was consistent over all sampling dates (Figure 1) and tested substrates (Figure 2). As hypothesized, we observed a shift in microbial functional composition in defoliated sites based on assessments with selected substrates (Figure 3), but no change in the overall fungal activity was observed. Potential interpretations for our results include changes in the quality of aspen foliage [49], a decrease in C allocation to roots [13] and a change in vegetation regeneration benefiting balsam fir over trembling aspen [35].
Our observed decreased microbial response may be explained by changes in tree foliage quality following the major defoliation event, resulting in afterlife effects of tree litter [5,6]. A major forest tent caterpillar outbreak can lead to altered foliage quality in the second flush of leaves of host tree species with lower nitrogen and increased defence compounds. Trembling aspens produce foliar phenolic glycosides as a chemical defence in response to herbivory which is an effective deterrent to defoliators [12]. This effect can persist in time with foliage grown two years after a defoliation event, having on average six times more phenolic glycosides than before defoliation [49]. Condensed tannins can also increase remnant defoliated leaves [49]. When leaf litter falls, condensed tannins derived from plant material can form complexes with proteins [50] binding N [51,52] and chitin from fungi [53,54]. Such complexes, particularly with high molecular mass tannins, can inhibit microbial activity in soil by binding extracellular substrates [53,55,56]. Several short-term (<1 year) studies on microbial activity found an increase [11,15,17,21] or no change following insect herbivory [23,47]. However, two years after a natural defoliation event which is more similar to the conditions in this study, Streminska et al. [17] found a decrease in microbial biomass explained by lower amounts of litterfall. In her meta-analysis on N addition and microbial biomass in soil across multiple ecosystem types and biomes, Ref. [57] also found an overall decrease in microbial biomass with increasing amounts of N, particularly in studies of longer duration, indicating that soil microbes are not necessarily N limited.
An alternate or complementary interpretation of our reduced microbial respiration following the outbreak event is that insect herbivory can induce an indirect response from the host tree by altering C allocation to tree roots and thus affecting microbial activity in soils. Repeated herbivory, by reducing autotrophic C supply, can lead to reduced root activity [58] and fine root biomass [59], implying that trees allocate less C below-ground than before the defoliation event. In their meta-analysis on below-ground responses to insect herbivory in ecosystems with woody plants, Ref. [13] showed that defoliators decrease carbon allocation from the host plant to its roots, provoking a decrease in root biomass and exudation. Following a disturbance, trembling aspen commonly regenerates via root suckering, but can be limited by competition from other trees [60]. We would therefore expect aspens not only to allocate C to their foliage regeneration instead of their roots but also to reduce their investment to suckering because of the competition from balsam fir that can benefit from the outbreak [35].
The forest tent caterpillar outbreak, by favouring the regeneration of certain tree species such as balsam fir, could help to explain the differences in CLPPs between our defoliated and undefoliated sites with soil microbial communities’ composition altered following a change in the availability of their preferred carbon source and soil chemistry. The caterpillar outbreak can benefit competing tree species in the forest that may ultimately alter vegetation dynamics, favouring coniferous over deciduous trees as the dominant litter type changes on the forest floor [35]. The CLPPs profiles differed from soil located beneath defoliated and undefoliated trees, indicating that a change in litter identity from aspens to firs could stimulate different microbial communities able to degrade coniferous or deciduous litter types. Light availability allowed by canopy openings following a defoliation episode can contribute to changes in the plant community composition, facilitating the growth of shade-intolerant species [10]. At the same mixed wood site in Abitibi-Témiscamingue QC, Moulinier et al. [35] showed that previous outbreaks benefited the regeneration of a conifer Abies balsamea (Balsam fir) to the detriment of the deciduous trembling aspen.
Furthermore, the CLPPs of soils located beneath defoliated trees indicated that those microbial communities used less carboxylic acid (malic acid) and more monosaccharides (fructose and glucose) than beneath undefoliated trees (Figure 3). Studies comparing soils from deciduous and coniferous forests also found that microbes from the latter were less efficient at using carboxylic acids [61,62]. However, Chodak et al. [61] found less efficient use of monosaccharide substrates by microbial communities from the coniferous forest. Along with a change in vegetation regeneration in the defoliated forest, a decrease in root biomass and root exudates of labile C in the topsoil can also shift the microbial communities associated with roots, as illustrated by a negative correlation between herbivory and ectomycchorizal fungi abundance [13,59]. Other studies have suggested that higher soil acidity [27] or lower C:N ratio in the litterfall [17] could increase fungal biomass in topsoil under defoliated trees compared to undefoliated trees, but our fungal ratio indicator measuring the soil’s respiration remained constant between undefoliated and defoliated sites. This possible change in forest regeneration at our site favouring balsam fir over trembling aspen may also have consequences for soil micronutrients. In 2017, at the peak of the outbreak, higher N, P, K, Ca and Mg concentrations were found in soils under defoliated compared to non-defoliated trees (Figure A1, p < 0.005). For example, Ca concentrations were double at defoliated sites than at undefoliated sites which could reflect a change in nutrient absorption by dominant trees. Trembling aspen have very high Ca requirements [63] and thus gradual replacement by other species would explain the high concentrations of Ca on soil under defoliated trees.

5. Conclusions

Although the recent meta-analysis by Kristensen et al. [13] did not report significant effects of outbreak herbivory on forest microbes, their analysis mixes outbreaks on both coniferous and deciduous tree species, with deciduous stands being largely underrepresented in the 60 articles analyzed. Our study therefore suggests that microbes living in deciduous stands of mixedwood boreal forests may respond differently from those in coniferous forests, which could eventually feedback on vegetation dynamics in a warming climate where outbreaks are projected to become increasingly common. This study underlines the importance of considering soil microbes as part of a forest ecosystem perturbation’s impacts, such as an insect defoliation event.
Our findings should be nuanced with uncertainties in regard to the choice of sites and conservation of the sample before the MicroResp analysis. The lack of pre-defoliation measurements of soils from the two chosen forest stands prevents us from knowing the true driver of the observed patterns: the inherent difference between our sites or the impact of the defoliator. The choice to freeze our soil could also have an impact on the measured microbial activity, with the microbial community present after freezing not being identical to the one pre-freezing.

Supplementary Materials

The following supporting information can be downloaded at: https://www.mdpi.com/article/10.3390/f14040792/s1, Table S1: Mean microbial biomass (ug microbial-C g−1) ± standard error from glucose-induced respiration of the top 5 cm and 5–10 cm depth of soil sampled under undefoliated and defoliated Populus tremuloides trees. Soils were sampled in August 2018 in the Lake Duparquet Research and Teaching Forest (Abitibi, QC).

Author Contributions

Conceptualization, E.D. and I.T.H.; methodology, E.D. and I.T.H.; resources, I.T.H. and E.D data curation, É.D.-M.; writing—original draft preparation, É.D.-M. and I.T.H.; writing—review and editing, É.D.-M.; supervision, I.T.H.; project administration, I.T.H.; funding acquisition, I.T.H. and E.D. All authors have read and agreed to the published version of the manuscript.

Funding

The QCBS provided a seed grant to I.T.H. and E.D. in 2018 and a Biodiversity Science Discovery Award to É.D.M. in 2019 (SG 2018_Handa). SERG international provided a grant to E.D (2019/12-2019-171). The NSERC provided a Collaborative Research and Development Grant to E.D. and I.T.H (CRSNG-RDCPJ: 522722-17).

Data Availability Statement

Not applicable.

Acknowledgments

We are grateful to AS Caron, J Jarry, S Jarry and L Rousseau for field assistance, to LJ Raymond-Léonard for advice in the lab and to B Lafleur for providing soil data and data interpretation. We thank B Lafleur, M Bouchard, F Guay, S Légaré, JP Lessard and L Nowell for their collaboration in the NSERC CRD grant. We acknowledge NSERC for financial support through a scholarship for EDM.

Conflicts of Interest

The authors declare no conflict of interest.

Appendix A

Figure A1. Soil chemistry analysis by Centre de Foresterie des Laurentides, Service Canadien des forêts, Ressources naturelles Canada in 2017. N, P, K, Ca, Mg total and pH were measured for the top 5 cm of soil located beneath defoliated and undefoliated (control) trees in 2017; this corresponds to the organic layer. Samples were dried at 70 °C for 48 h. The pH was determined in distilled water with Orion 2-star pH Benchtop Meter (Thermo Fisher Scientific Inc., Waltham, MA, USA), total C and N with wet digestion and analyzed with a LECO CNS-2000 (LECO Corporation, St. Joseph, MI, USA) and nutrients by ICP-MS (Perkin Elmer OES OPTIMA 7300 DV, Perkin-Elmer, Inc., Shelton, CT, USA) [64].

References

  1. Anderegg, W.R.L.; Hicke, J.A.; Fisher, R.A.; Allen, C.D.; Aukema, J.; Bentz, B.; Hood, S.; Lichstein, J.W.; Macalady, A.K.; McDowell, N.; et al. Tree Mortality from Drought, Insects, and Their Interactions in a Changing Climate. New Phytol. 2015, 208, 674–683. [Google Scholar] [CrossRef] [PubMed]
  2. Ramsfield, T.D.; Bentz, B.J.; Faccoli, M.; Jactel, H.; Brockerhoff, E.G. Forest Health in a Changing World: Effects of Globalization and Climate Change on Forest Insect and Pathogen Impacts. Forestry 2016, 89, 245–252. [Google Scholar] [CrossRef]
  3. Turner, M.G. Disturbance and Landscape Dynamics in a Changing World. Ecology 2010, 91, 2833–2849. [Google Scholar] [CrossRef] [PubMed]
  4. Kurz, W.A.; Dymond, C.C.; Stinson, G.; Rampley, G.J.; Neilson, E.T.; Carroll, A.L.; Ebata, T.; Safranyik, L. Mountain Pine Beetle and Forest Carbon Feedback to Climate Change. Nature 2008, 452, 987–990. [Google Scholar] [CrossRef]
  5. Mitton, J.B.; Ferrenberg, S.M. Mountain Pine Beetle Develops an Unprecedented Summer Generation in Response to Climate Warming. Am. Nat. 2012, 179, E163–E171. [Google Scholar] [CrossRef]
  6. Uelmen, J.A.; Lindroth, R.L.; Tobin, P.C.; Reich, P.B.; Schwartzberg, E.G.; Raffa, K.F. Effects of Winter Temperatures, Spring Degree-Day Accumulation, and Insect Population Source on Phenological Synchrony between Forest Tent Caterpillar and Host Trees. For. Ecol. Manag. 2016, 362, 241–250. [Google Scholar] [CrossRef]
  7. Silfver, T.; Heiskanen, L.; Aurela, M.; Myller, K.; Karhu, K.; Meyer, N.; Tuovinen, J.-P.; Oksanen, E.; Rousi, M.; Mikola, J. Insect Herbivory Dampens Subarctic Birch Forest C Sink Response to Warming. Nat. Commun. 2020, 11, 2529. [Google Scholar] [CrossRef]
  8. Pureswaran, D.S.; Roques, A.; Battisti, A. Forest Insects and Climate Change. Curr. For. Rep. 2018, 4, 35–50. [Google Scholar] [CrossRef]
  9. Bardgett, R.D.; Wardle, D.A. Herbivore-Mediated Linkages between Aboveground and Belowground Communities. Ecology 2003, 84, 2258–2268. [Google Scholar] [CrossRef]
  10. Hunter, M.D. Insect Population Dynamics Meets Ecosystem Ecology: Effects of Herbivory on Soil Nutrient Dynamics: Insect Population Dynamics Meets Ecosystem Ecology. Agric. For. Entomol. 2001, 3, 77–84. [Google Scholar] [CrossRef]
  11. Grüning, M.M.; Beule, L.; Meyer, S.; Karlovsky, P.; I.-M.-Arnold, A. The Abundance of Fungi, Bacteria and Denitrification Genes during Insect Outbreaks in Scots Pine Forests. Forests 2018, 9, 497. [Google Scholar] [CrossRef]
  12. Donaldson, J.R.; Lindroth, R.L. Genetics, Environment, and Their Interaction Determine Efficacy of Chemical Defense in Trembling Aspen. Ecology 2007, 88, 729–739. [Google Scholar] [CrossRef] [PubMed]
  13. Kristensen, J.Å.; Rousk, J.; Metcalfe, D.B. Below-ground Responses to Insect Herbivory in Ecosystems with Woody Plant Canopies: A Meta-analysis. J. Ecol. 2020, 108, 917–930. [Google Scholar] [CrossRef]
  14. Niklaus, P.A.; Wardle, D.A.; Tate, K.R. Effects of Plant Species Diversity and Composition on Nitrogen Cycling and the Trace Gas Balance of Soils. Plant Soil 2006, 282, 83–98. [Google Scholar] [CrossRef]
  15. Frost, C.J.; Hunter, M.D. Insect Canopy Herbivory and Frass Deposition Affect Soil Nutrient Dynamics and Export in Oak Mesocosms. Ecology 2004, 85, 3335–3347. [Google Scholar] [CrossRef]
  16. le Mellec, A.; Gerold, G.; Michalzik, B. Insect Herbivory, Organic Matter Deposition and Effects on Belowground Organic Matter Fluxes in a Central European Oak Forest. Plant Soil 2011, 342, 393–403. [Google Scholar] [CrossRef]
  17. Streminska Microbial Abundance and Some of Their Physiological Activities in Soil Organic Horizon of Pine Forest Affected by Insect Herbivory. Pol. J. Environ. Stud. 2006, 15, 905–914.
  18. Grüning, M.M.; Simon, J.; Rennenberg, H.; I.-M.-Arnold, A. Defoliating Insect Mass Outbreak Affects Soil N Fluxes and Tree N Nutrition in Scots Pine Forests. Front. Plant Sci. 2017, 8, 954. [Google Scholar] [CrossRef]
  19. Lovett, G.M.; Ruesink, A.E. Carbon and Nitrogen Mineralization from Decomposing Gypsy Moth Frass. Oecologia 1995, 104, 133–138. [Google Scholar] [CrossRef]
  20. Reynolds, B.C.; Hunter, M.D. Responses of Soil Respiration, Soil Nutrients, and Litter Decomposition to Inputs from Canopy Herbivores. Soil Biol. Biochem. 2001, 33, 1641–1652. [Google Scholar] [CrossRef]
  21. Baranchikov, Y.N.; Perevoznikova, V.D.; Vishnyakova, Z.V. Carbon Emission by Soils in Forests Damaged by the Siberian Moth. Russ. J. Ecol. 2002, 33, 398. [Google Scholar] [CrossRef]
  22. le Mellec, A.; Habermann, M.; Michalzik, B. Canopy Herbivory Altering C to N Ratios and Soil Input Patterns of Different Organic Matter Fractions in a Scots Pine Forest. Plant Soil 2009, 325, 255–262. [Google Scholar] [CrossRef]
  23. Morehouse, K.; Johns, T.; Kaye, J.; Kaye, M. Carbon and Nitrogen Cycling Immediately Following Bark Beetle Outbreaks in Southwestern Ponderosa Pine Forests. For. Ecol. Manag. 2008, 255, 2698–2708. [Google Scholar] [CrossRef]
  24. Baldrian, P. Forest Microbiome: Diversity, Complexity and Dynamics. FEMS Microbiol. Rev. 2017, 41, 109–130. [Google Scholar] [CrossRef]
  25. Classen, A.; Demarco, J.; Hart, S.; Whitham, T.; Cobb, N.; Koch, G. Impacts of Herbivorous Insects on Decomposer Communities during the Early Stages of Primary Succession in a Semi-Arid Woodland. Soil Biol. Biochem. 2006, 38, 972–982. [Google Scholar] [CrossRef]
  26. Castaño, C.; Camarero, J.J.; Zas, R.; Sampedro, L.; Bonet, J.A.; Alday, J.G.; Oliva, J. Insect Defoliation Is Linked to a Decrease in Soil Ectomycorrhizal Biomass and Shifts in Needle Endophytic Communities. Tree Physiol. 2020, 40, 1712–1725. [Google Scholar] [CrossRef]
  27. Oneț, A.; Teușdea, A.; Boja, N.; Domuța, C.; Oneț, C. Effects of Common Oak (Quercus robur L.) Defolition on the Soil Properties of an Oak Forest in Western Plain of Romania. Ann. For. Res. 2016, 59, 33–47. [Google Scholar] [CrossRef]
  28. Strickland, M.S.; Rousk, J. Considering Fungal: Bacterial Dominance in Soils—Methods, Controls, and Ecosystem Implications. Soil Biol. Biochem. 2010, 42, 1385–1395. [Google Scholar] [CrossRef]
  29. Mattson, W.J.; Herms, D.A.; Witter, J.A.; Allen, D.C. Woody Plant Grazing Systems: North American Outbreak Folivores and Their Host Plants; General technical report NE; U.S. Department of Agriculture, Forest Service, Northeastern Forest Experiment Station: Radnor, PA, USA, 1991.
  30. Schowalter, T.D. Biology and Management of the Forest Tent Caterpillar (Lepidoptera: Lasiocampidae). J. Integr. Pest Manag. 2017, 8, 24. [Google Scholar] [CrossRef]
  31. Cooke, B.J.; Nealis, V.G.; Régnière, J. 15—Insect Defoliators as Periodic Disturbances in Northern Forest Ecosystems. In Plant Disturbance Ecology; Johnson, E.A., Miyanishi, K., Eds.; Academic Press: Burlington, MA, USA, 2007; pp. 487–525. ISBN 978-0-12-088778-1. [Google Scholar] [CrossRef]
  32. Cooke, B.J.; Lorenzetti, F. The Dynamics of Forest Tent Caterpillar Outbreaks in Québec, Canada. For. Ecol. Manag. 2006, 226, 110–121. [Google Scholar] [CrossRef]
  33. Sutton, A.S.; Tardif, J.C.T.C. Dendrochronological Reconstruction of Forest Tent Caterpillar Outbreaks in Time and Space, Western Manitoba, Canada. Can. J. For. Res. 2007, 37, 1643–1657. [Google Scholar] [CrossRef]
  34. Baranchikov, Y.N.; Mattson, W.J.; Hain, F.P.; Payne, T.L. Forest Insect Guilds: Patterns of Interaction with Host Trees, Proceedings of the Joint IUFRO Working Party Symposium, Abakan, USSR, 13–17 August 1989; NE-GTR-153; U.S. Department of Agriculture, Forest Service, Northeastern Forest Experiment Station: Radnor, PA, USA, 1991.
  35. Moulinier, J.; Lorenzetti, F.; Bergeron, Y. Effects of a Forest Tent Caterpillar Outbreak on the Dynamics of Mixedwood Boreal Forests of Eastern Canada. Écoscience 2013, 20, 182–193. [Google Scholar] [CrossRef]
  36. Bergeron, Y. Species and Stand Dynamics in the Mixed Woods of Quebec’s Soutern Boreal Forest. Ecology 2000, 81, 1500–1516. [Google Scholar] [CrossRef]
  37. Spencer, K.L.; Harvey, G.L. Understanding System Disturbance and Ecosystem Services in Restored Saltmarshes: Integrating Physical and Biogeochemical Processes. Estuar. Coast. Shelf Sci. 2012, 106, 23–32. [Google Scholar] [CrossRef]
  38. Vincent, J.-S.; Hardy, L. L’évolution et l’extension Des Lacs Glaciaires Barlow et Ojibway En Territoire Québécois. GPQ 2011, 31, 357–372. [Google Scholar] [CrossRef]
  39. Government of Canada. Canadian Climate Normals—Climate—Environment and Climate Change Canada. Available online: https://climate.weather.gc.ca/climate_normals/ (accessed on 16 December 2022).
  40. Ministère de la Faune, des Forêts et des Parc (MFFP). Aires Infestées Par La Livrées Des Forêts Au Québec En 2016; Gouvernement du Québec, Direction de la Protection des Forêts: Québec, QC, Canada, 2016; p. 10.
  41. Ministère de la Faune, des Forêts et des Parc (MFFP). Aires Infestées Par La Livrée Des Forêts Au Québec En 2017; Gouvernement du Québec, Direction de la Protection des Forêts: Québec, QC, Canada, 2017; p. 14.
  42. Ministère de la Faune, des Forêts et des Parc (MFFP). Aires Infestées Par La Livrée Des Forêts Au Québec En 2018; Gouvernement du Québec, Direction de la Protection des Forêts: Québec, QC, Canada, 2018; p. 16.
  43. Campbell, C.D.; Chapman, S.J.; Cameron, C.M.; Davidson, M.S.; Potts, J.M. A Rapid Microtiter Plate Method To Measure Carbon Dioxide Evolved from Carbon Substrate Amendments so as To Determine the Physiological Profiles of Soil Microbial Communities by Using Whole Soil. Appl. Environ. Microbiol. 2003, 69, 3593–3599. [Google Scholar] [CrossRef]
  44. Sassi, M.B.; Dollinger, J.; Renault, P.; Tlili, A.; Bérard, A. The FungiResp Method: An Application of the MicroRespTM Method to Assess Fungi in Microbial Communities as Soil Biological Indicators. Ecol. Indic. 2012, 23, 482–490. [Google Scholar] [CrossRef]
  45. Anderson, J.P.E.; Domsch, K.H. A Physiological Method for the Quantitative Measurement of Microbial Biomass in Soils. Soil Biol. Biochem. 1978, 10, 215–221. [Google Scholar] [CrossRef]
  46. Campbell, C.D.; Grayston, S.J.; Hirst, D.J. Use of Rhizosphere Carbon Sources in Sole Carbon Source Tests to Discriminate Soil Microbial Communities. J. Microbiol. Methods 1997, 30, 33–41. [Google Scholar] [CrossRef]
  47. le Mellec, A.; Michalzik, B. Impact of a Pine Lappet (Dendrolimus pini) Mass Outbreak on C and N Fluxes to the Forest Floor and Soil Microbial Properties in a Scots Pine Forest in Germany. Can. J. For. Res. 2008, 38, 1829–1841. [Google Scholar] [CrossRef]
  48. Kristensen, J.A. The Biogeochemical Consequences of Litter Transformation by Insect Herbivory in the Subarctic: A Microcosm Simulation Experiment. Biogeochemistry 2018, 138, 323–336. [Google Scholar] [CrossRef]
  49. Donaldson, J.R.; Lindroth, R.L. Effects of Variable Phytochemistry and Budbreak Phenology on Defoliation of Aspen during a Forest Tent Caterpillar Outbreak. Agric. For. Entomol. 2008, 10, 399–410. [Google Scholar] [CrossRef]
  50. Hagerman, A.E. Recent Advances in Polyphenol Research; John Wiley & Sons: Hoboken, NJ, USA, 2012. [Google Scholar]
  51. Coq, S.; Souquet, J.-M.; Meudec, E.; Cheynier, V.; Hättenschwiler, S. Interspecific Variation in Leaf Litter Tannins Drives Decomposition in a Tropical Rain Forest of French Guiana. Ecology 2010, 91, 2080–2091. [Google Scholar] [CrossRef] [PubMed]
  52. Joanisse, G.D.; Bradley, R.L.; Preston, C.M.; Bending, G.D. Sequestration of Soil Nitrogen as Tannin–Protein Complexes May Improve the Competitive Ability of Sheep Laurel (Kalmia angustifolia) Relative to Black Spruce (Picea mariana). New Phytol. 2009, 181, 187–198. [Google Scholar] [CrossRef]
  53. Adamczyk, B.; Sietiö, O.-M.; Biasi, C.; Heinonsalo, J. Interaction between Tannins and Fungal Necromass Stabilizes Fungal Residues in Boreal Forest Soils. New Phytol. 2019, 223, 16–21. [Google Scholar] [CrossRef]
  54. Hättenschwiler, S.; Sun, T.; Coq, S. The Chitin Connection of Polyphenols and Its Ecosystem Consequences. New Phytol. 2019, 223, 5–7. [Google Scholar] [CrossRef]
  55. Fierer, N.; Schimel, J.P.; Cates, R.G.; Zou, J. Infuence of Balsam Poplar Tannin Fractions on Carbon and Nitrogen Dynamics in Alaskan Taiga foodplain Soils. Soil Biol. 2001, 33, 1827–1839. [Google Scholar] [CrossRef]
  56. Schimel, J.P.; Cleve, K.V.; Cates, R.G.; Clausen, T.P.; Reichardt, P.B. Effects of Balsam Poplar (Populus balsamifera) Tannins and Low Molecular Weight Phenolics on Microbial Activity in Taiga Floodplain Soil: Implications for Changes in N Cycling during Succession. Can. J. Bot. 1996, 74, 84–90. [Google Scholar] [CrossRef]
  57. Treseder, K.K. Nitrogen Additions and Microbial Biomass: A Meta-analysis of Ecosystem Studies. Ecol. Lett. 2008, 11, 1111–1120. [Google Scholar] [CrossRef]
  58. Parker, T.C.; Sadowsky, J.; Dunleavy, H.; Subke, J.-A.; Frey, S.D.; Wookey, P.A. Slowed Biogeochemical Cycling in Sub-Arctic Birch Forest Linked to Reduced Mycorrhizal Growth and Community Change after a Defoliation Event. Ecosystems 2017, 20, 316–330. [Google Scholar] [CrossRef]
  59. Saravesi, K.; Aikio, S.; Wäli, P.R.; Ruotsalainen, A.L.; Kaukonen, M.; Huusko, K.; Suokas, M.; Brown, S.P.; Jumpponen, A.; Tuomi, J.; et al. Moth Outbreaks Alter Root-Associated Fungal Communities in Subarctic Mountain Birch Forests. Microb. Ecol. 2015, 69, 788–797. [Google Scholar] [CrossRef] [PubMed]
  60. Frey, B.R.; Lieffers, V.J.; Landhäusser, S.M.; Comeau, P.G.; Greenway, K.J. An Analysis of Sucker Regeneration of Trembling Aspen. Can. J. For. Res. 2003, 33, 1169–1179. [Google Scholar] [CrossRef]
  61. Chodak, M.; Klimek, B.; Niklińska, M. Composition and Activity of Soil Microbial Communities in Different Types of Temperate Forests. Biol. Fertil. Soils 2016, 52, 1093–1104. [Google Scholar] [CrossRef]
  62. Gartzia-Bengoetxea, N.; Kandeler, E.; Martínez de Arano, I.; Arias-González, A. Soil Microbial Functional Activity Is Governed by a Combination of Tree Species Composition and Soil Properties in Temperate Forests. Appl. Soil Ecol. 2016, 100, 57–64. [Google Scholar] [CrossRef]
  63. Paré, D.; Bernier, P.; Lafleur, B.; Titus, B.D.; Thiffault, E.; Maynard, D.G.; Guo, X. Estimating Stand-Scale Biomass, Nutrient Contents, and Associated Uncertainties for Tree Species of Canadian Forests. Can. J. For. Res. 2013, 43, 599–608. [Google Scholar] [CrossRef]
  64. Carter, M.R. Soil Sampling and Methods of Analysis; CRC Press: Boca Raton, FL, USA, 2007; ISBN 978-0-429-12622-2. [Google Scholar]
Disclaimer/Publisher’s Note: The statements, opinions and data contained in all publications are solely those of the individual author(s) and contributor(s) and not of MDPI and/or the editor(s). MDPI and/or the editor(s) disclaim responsibility for any injury to people or property resulting from any ideas, methods, instructions or products referred to in the content.

Article Metrics

Citations

Article Access Statistics

Multiple requests from the same IP address are counted as one view.