Next Article in Journal
Monoterpene Composition of Phloem of Eastern Larch (Larix laricina (Du Roi) K. Koch) in the Great Lakes Region: With What Must the Eastern Larch Beetle (Dendroctonus simplex LeConte) Contend?
Next Article in Special Issue
Genetic Diversity and Population Structure of Corylus yunnanensis (Franch.) A. Camus Using Microsatellite Markers in Sichuan Province
Previous Article in Journal
Characterisation of Methane Production Pathways in Sediment of Overwashed Mangrove Forests
Previous Article in Special Issue
Comparative Transcriptomic Analysis Reveals the Molecular Responses in Two Contrasting Hazelnut Varieties against Botrytis cinerea Infection
 
 
Font Type:
Arial Georgia Verdana
Font Size:
Aa Aa Aa
Line Spacing:
Column Width:
Background:
Article

Importance of Cell Wall Permeability and Cell Wall Degrading Enzymes during Infection of Botrytis cinerea in Hazelnut

1
Liaoning Institute of Economic Forestry, Dalian 116031, China
2
College of Biosciences and Biotechnology, Shenyang Agricultural University, Shenyang 110161, China
*
Author to whom correspondence should be addressed.
Forests 2023, 14(3), 565; https://doi.org/10.3390/f14030565
Submission received: 16 January 2023 / Revised: 2 March 2023 / Accepted: 8 March 2023 / Published: 13 March 2023
(This article belongs to the Special Issue Advances in Hazelnut Germplasm and Genetic Improvement)

Abstract

The Botrytis bunch mold, Botrytis cinerea pathogen is a necrotrophic ascomycete that infects hundreds of plant species, including hazelnut. B. cinerea produces toxins that induce cell wall degrading enzymes. In the current research work, we used eight hazelnut varieties and recorded their resistance levels in response to B. cinerea infection. Results showed that different varieties respond differently to B. cinerea infection. Disease index analysis revealed the resistance level of eight hazelnut varieties in the order of DW > OZ > L3 > PZ > XD1 > YZ > L1 > QX. Moreover, cell membrane permeability as well as the activities of cell wall degrading enzymes were measured. The increased level of cell wall degrading enzymes facilitates the fungal pathogens’ ability to colonize plants and cause infection. According to the results obtained through enzyme analysis, the hazelnut varieties L1 and QX, which were proved to be highly susceptible against B. cinerea, had the highest cell wall degrading enzyme production. DW and OZ, which were revealed to be resistant varieties through disease index data, also showed relatively lower activity of degrading enzymes as compared to other varieties. Our comparison analysis between the disease index and enzyme production confirms that disease occurrence and plant susceptibility strongly depend upon cell wall permeability. Our enzyme activity results validated the resistance order revealed by disease index assessment results (DW > OZ > L3 > PZ > XD1 > YZ > L1 > QX), and varieties DW and OZ were found to be the most resistant, while QX and L1 were found to be the most susceptible varieties against B. cinerea infection. Our study lays the foundation to further explore other factors involved in grey mold resistance in hazelnut.

1. Introduction

Hazelnut, the fifth most important nut tree in the world, belongs to the Betulaceae family [1]. It is native to Asia and Europe, with an average cultivation area of about 1,027,000 ha and a global production of about 1.1 million metric tons [2]. Hazelnut fruit is an energy-rich food that has a key dietary role because of its rich content of proteins, carbohydrates, lipids, vitamins, dietary fibers, antioxidant phenolics, and minerals [3]. Apart from food uses, recent studies have disclosed important medicinal properties of hazelnut [4]. Similar to other plant species, hazelnut production is not free of challenges. With a steady increase in demand, the cultivation of hazelnut has spread to various new areas, leading to an expansion of pathogen infections [1,5]. Several bacterial and fungal pathogens, including, Bacterial blight (Xanthomonas corylina and X. arboricola), bacterial twig dieback (Pseudomonas coryli, P. colurnae, P. syringae, P. avellanae), botrytis bunch mold (Botrytis cinerea), mildew (Phyllactinia corylea), and crown gall tumor (Agrobacterium tumefaciens), restrict the growth and production of hazelnut worldwide [1,6]. Hazelnut is susceptible to various fungal diseases that can affect its productivity and quality. Some of the most common fungal diseases of hazelnuts include: Eastern Filbert Blight (EFB): EFB is a devastating fungal disease caused by the fungus Anisogramma anomala. The fungus attacks the bark of hazelnut trees, causing cankers and girdling of the branches [7]. This results in reduced nutrient and water uptake, leading to stunted growth, dieback, and the eventual death of the tree. B. cinerea, also known as gray mold, is a fungal disease that affects the flowers, buds, leaves, and nuts of the hazelnut. The fungus causes a grayish-brown mold to grow on the affected parts, leading to a reduced yield and quality of the nuts [8]. Powdery mildew is a fungal disease caused by various species of the genus Erysiphe. The disease affects the leaves, flowers, and young nuts of hazelnuts, causing white powdery patches to develop on the affected parts. The disease can lead to reduced yield and quality of the nuts. Hazelnut is susceptible to several Phytophthora species, including Phytophthora ramorum, Phytophthora cinnamomi, and Phytophthora syringae [9]. These fungi cause root and collar rot, leading to reduced growth, stunted trees, and reduced yield.
B. cinerea, a necrotrophic ascomycete fungus, causes serious brown rot and grey mold disease in hundreds of plant species, including hazelnut. B. cinerea is a necrotrophic fungal pathogen that can infect a wide range of plant hosts, including hazelnut (Corylus avellana) trees. The disease caused by B. cinerea is commonly known as grey mold, and it can cause significant losses in hazelnut production, especially in humid and rainy environments. B. cinerea is a ubiquitous pathogen that is found worldwide. In hazelnut trees, it can infect all aerial parts, including leaves, stems, flowers, and fruits. Hazelnut orchards located in humid and rainy areas are particularly prone to infection, as moisture and high relative humidity favor fungal growth and spore production [6]. It can kill host cells by producing toxins, reactive oxygen species, and oxidative bursts induced by plants [6]. The symptoms of B. cinerea disease on hazelnut trees depend on the plant organ affected. On leaves, the disease starts as small, circular, water-soaked lesions that expand and turn brown or gray, often surrounded by a yellow halo. The infected leaves eventually wilt and fall off the tree. On stems, the disease can cause cankers and girdling, which can lead to dieback and the death of the affected branches. On flowers, the fungus causes a blight that can prevent pollination and reduce nut set. On nuts, the disease starts as a small, water-soaked lesion that enlarges and becomes covered with a grayish, velvety mold. The infected nuts may rot, and the mold can spread to adjacent nuts, causing rapid deterioration of the entire crop. The life cycle of B. cinerea on hazelnut trees is similar to that on other plant hosts. The fungus survives the winter on plant debris or infected plant material. In the spring, it produces spores that are dispersed by wind, rain, or insects. These spores can infect susceptible plant tissues, including leaves, stems, flowers, and nuts. Once inside the plant, the fungus colonizes the host tissue and produces asexual spores that can be spread to adjacent plant parts or other plants. In humid and rainy conditions, the fungus can produce large numbers of spores that can rapidly spread the disease within the orchard. The B. cinerea infection can lead to considerable yield and quality losses in hazelnut production globally [10]. The infection cycle of B. cinerea usually consists of six steps: (1) host cell penetration, (2) killing host cell, (3) primary lesion formation, (4) extension of lesion, (5) maceration of tissue, and (6) sporulation [10,11].
Plants have developed multiple strategies to combat pathogen attacks through innate immune responses. Plant immunity to various pathogens, including B. cinerea is a complex process that involves various biological changes at physiological, biochemical, molecular, and hormonal levels [12]. The main factors that affect the capability of the host to resist the disease are cell wall permeability and integrity, which are maintained through cell wall conductivity and the activity of cell wall degrading enzymes suc has polygalacturonase, pectin methyl galacturonase, polygalacturonase trans elimination enzyme, pectin methyl trans elimination enzyme, carboxymethyl cellulase, etc. [13]. Several fungal pathogens have the potential to secrete these cell wall degrading enzymes, which have been studied for their potential in promoting pathogen infection and causing severe disease symptoms. Significant works have been published on the activity of these enzymes in plant pathogenicity [14]. The early fungal infection and pathogenic stages involve the production and expression of these cell wall-degrading enzymes at the lesion expansion site. Such reactions help in releasing small oligo-galacturonides and peptide molecules that lead to the expression of the second wave of degradative enzymes and suppress host plant defenses [15].
Several studies indicated the accumulation of cell wall degrading enzyme is linked to pathogen infections by reducing membrane permeability, but due to the lack of detailed evidence, it is difficult to conclude their relationship with plant resistance and susceptibility [16,17,18]. So here, in current study, eight hazelnut varieties with different resistance levels against B. cinerea were analyzed through cell wall degrading enzyme and electrical conductivity to estimate the relationship between cell wall degrading enzymes of different varieties and the occurrence of hazelnut brown rot caused by B. cinerea.

2. Material and Methods

2.1. Experiment Location and Plant Material

The study was conducted between July 2020 and July 2021 at the Songmudao Base (121°75′ E, 39°40′ N) in Dalian City, Liaoning Province, China. Eight varieties of hazelnut, including Liao 1 (L1), Dawei (DW), Xianda No. 1 (XD1), Yuzhui (YZ), Liao 3 (L3), Ping hazelnut (PZ), Qiuxiang (QX), and European hazelnut (OZ), ranging in age from 5 to 6 years, were selected for the experiment. For each variety, 20 bud clusters were chosen to ensure the reliability and accuracy of the results.

2.2. Botrytis Cinerea Inoculation and Sampling

The hazelnut husk brown rot samples were collected from Songmudao Base. The pathogen strain Z9 Botrytis cinerea was isolated and transferred to a potato dextrose agar plate at 25 °C for 7 days. The hazelnut fruit bud was wounded by pricking, and a 0.5 mm diameter fungal plug was placed over the wound surface on the bud. The bud was then bagged for 36 h, and samples were taken at 2, 4, 6, 8, and 10 days after inoculation. To collect the samples, 1–2 cm tissue blocks were cut from the fruit buds, which weighed 2–3 g and were selected at random. These tissue blocks were stored at −80 °C until analysis. The experiment included eight varieties of hazelnut (Liao 1 (L1), Dawei (DW), Xianda No. 1 (XD1), Yuzhui (YZ), Liao 3 (L3), Ping hazelnut (PZ), Qiuxiang (QX), and European hazelnut (OZ)) ranging from 5 to 6 years old, with 20 bud clusters selected for each variety. Each treatment was repeated three times, and non-inoculated fruit bud tissues were used as the control. In total, the experiment resulted in eight groups of bud tissue samples, each with six biological replicates. Samples collected at 2 days after inoculation were labeled as −1, samples collected at 4 days after inoculation were labeled as −2, samples collected at 6 days after inoculation were labeled as −3, samples collected at 8 days after inoculation were labeled as −4, samples collected at 10 days after inoculation were labeled as −5, and samples collected from the non-inoculated control were labeled as −CK. The treatments for each variety with their respective sample names are listed in Table 1.

2.3. Disease Index Quantification

The disease resistance levels of hazelnut varieties L1, DW, XD1, YZ, L3, PZ, QX, and OZ were evaluated by calculating the disease index on wounded fruit buds at 3 DAI. The severity of the symptoms was classified into four levels, namely 1, 2, 3, and 4, depending on the extent of the disease [19]. The disease index was calculated by using the following formula:
D I =     D i s e a s e   g r a d e s × N u m b e r   o f   i n f e c t e d   p l a n t s T o t a l   n u m b e r   o f   s c o r e d   p l a n t s × 4 × 100

2.4. Determination of Plasma Membrane Permeability

Electrolyte conductivity was measured by following the method of Rizhsky, et al. [20] with slight modifications. Leaves of similar ages were selected and wrapped in a wet cloth before being cut into small pieces of approximately 1 cm², leaving out the large leaf veins. The cut leaves were then mixed thoroughly, and three portions of 1 g each were placed in beakers labeled A, B, and C for the following treatments:
A: Low-temperature treatment, where the samples were kept in a 0 °C refrigerator for 15–30 min, after which 50 mL of distilled water was added.
B: Normal temperature treatment, where the samples were kept at room temperature for 30 min, and then 50 mL of distilled water was added.
C: High-temperature treatment, where the samples were immersed in 50 mL of distilled water and boiled for 10–15 min in an electric furnace. After cooling, the samples were weighed, and distilled water was added to restore their original weight.
All three treated samples were then placed in a vacuum dryer, and air was extracted for 20–30 min to remove the air in the cell gaps. The air was then slowly refilled, and the samples were taken out of the vacuum dryer and soaked in distilled water at room temperature for about 1 h. During this time, the samples were frequently shaken to facilitate electrolyte leakage. The relative leakage rate of electrolytes was measured using a conductivity meter (with water used as a blank) and calculated using the following formula [20]:
R e l a t i v e   e x o s m o s i s   r a t e   o f   e l e c t r o l y t e   % = T r e a t m e n t   c o n d u c t i v i t y B l a n k B o i l i n g   c o n d u c t i v i t y B l a n k × 100

2.5. Enzyme Activity Analysis

The levels of five different cell wall degrading enzymes, namely polygalacturonase (PG), pectin methyl galacturonase (PMG), polygalacturonase trans elimination enzyme (PGTE), pectin methyl trans elimination enzyme (PMGE), and carboxymethyl cellulase (CX), were determined in each sample at 2, 4-, 6-, 8-, and 10-days post-inoculation (DPI) of B. cinerea. The protocol for enzyme determination was followed as described in previous studies by Li, et al. [21] and Huang, Wang, Yang, Zhong, Notaguchi and Yu [14] using the biochemicals kits (Norminkoda Biotechnology Co., Ltd., Wuhan, China).

2.5.1. Homogenate Preparation

The tissue homogenate was prepared by adding a proper amount of normal saline to the bud sample and mashing it properly. The homogenate was then centrifuged at 3000 rpm for 10 min and the supernatant was collected for further detection [21].

2.5.2. Standard and Blank

Horseradish peroxidase (HRP) labeled antibodies were used as the standard in five concentrations (S0–S5): 0, 40, 80, 160, 320, and 640 U/mL. The concentration S0 was regarded as negative control or blank [14].

2.5.3. Testing Sample Preparation and Detection

To determine the activity of five cell wall degrading enzymes (polygalacturonase (PG), pectin methyl galacturonase (PMG), polygalacturonase trans elimination enzyme (PGTE), pectin methyl trans elimination enzyme (PMGE), and carboxymethyl cellulase (Cx)) in tissue homogenate samples using a microplate reader, a 96-cell microplate with standard cells, blank cells, and sample cells was prepared. Washing liquid and distilled water are used to wash the microplate. Standard samples of the enzyme activity in 5 different concentrations are added to the standard cells, and the tissue homogenate supernatant is added to the sample cells. A horseradish peroxidase (HRP) labeled antibody is added to all cells (standard, blank, and sample) of each enzyme-coated microplate. The microplate is then sealed and incubated at 37 °C for 60 min. After this, the substrate (TMB) is added to each cell, and the microplate is incubated again at 37 °C for 15 min. Finally, terminating solution is added, and the optical density (OD) at 450 nm wavelength is recorded using a microplate reader. The color development of the substrate TMB is positively correlated with the activity of each enzyme in the samples.

2.5.4. Calculation

The standard curves were drawn on an Excel worksheet by using the standard concentration as the abscissa (x-axis) and the corresponding OD value as the ordinate (y-axis) to draw the standard linear regression curve. The concentration value of each sample was then calculated according to the curve equation. Standard curves are used to determine the concentration of unknown samples based on the relationship between the concentration of a known standard and its corresponding absorbance (OD) value. To create a standard curve, the following steps can be taken:
  • Prepare a series of known standard solutions with different concentrations. For example, in this case, 5 different concentrations of the enzyme standards were used.
  • Measure the absorbance of each standard solution using a spectrophotometer.
  • Plot a graph with the concentration of each standard solution on the x-axis and its corresponding absorbance value on the y-axis.
  • Draw a best-fit line through the data points on the graph. This line is the standard curve.
  • Calculate the equation of the line using linear regression analysis. This equation can be used to calculate the concentration of unknown samples based on their absorbance values.

2.6. Statistical Analysis

In this case, the data obtained from the disease index assessment were analyzed through one-way analysis of variance (ANOVA), while the data from cell wall permeability and enzyme analysis were subjected to standard two-way ANOVA with factorial arrangement. Post hoc mean separation is a statistical method used to determine which groups are significantly different from each other after ANOVA. The least significant difference test is a commonly used post hoc test to determine significant differences between group means. It compares the means of all possible pairs of groups and calculates the minimum difference required to reject the null hypothesis of no difference between means. The significance level used in this study was p ≤ 0.05, which means that differences between group means with a probability of less than 5% were considered significant.

3. Results

3.1. Disease Index Assessment

The disease index was calculated to determine the resistance levels in eight varieties of hazelnut trees (L1, DW, XD1, YZ, L3, PZ, QX, and OZ) after 3 days of B. cinerea infection (DAI). At 3 DAI, the clear visual symptoms of brown rot on hazelnut fruit were seen. The intensity and lesion size were different in the different varieties depending upon their disease resistance levels (Figure 1A–H). The degree of infection was severe in QX, followed by L1 and then YZ. The lowest severity was recorded in DW and OZ. The recorded disease index followed the visual symptom severity. The highest disease indices of 85, 64, and 58% were recorded in QX, L1, and YZ, respectively. The lowest disease index of 28% was recorded in DW and OZ. XD1, L3, and PZ showed medium resistance with disease indices of 42, 39, and 40%, respectively (Figure 1I). Through the recorded disease index, it has been visualized that the hazelnut varieties DW and OZ were more resistant to B. cinerea infection as compared to other varieties (Figure 1).

3.2. Plasma Membrane Permeability Analysis

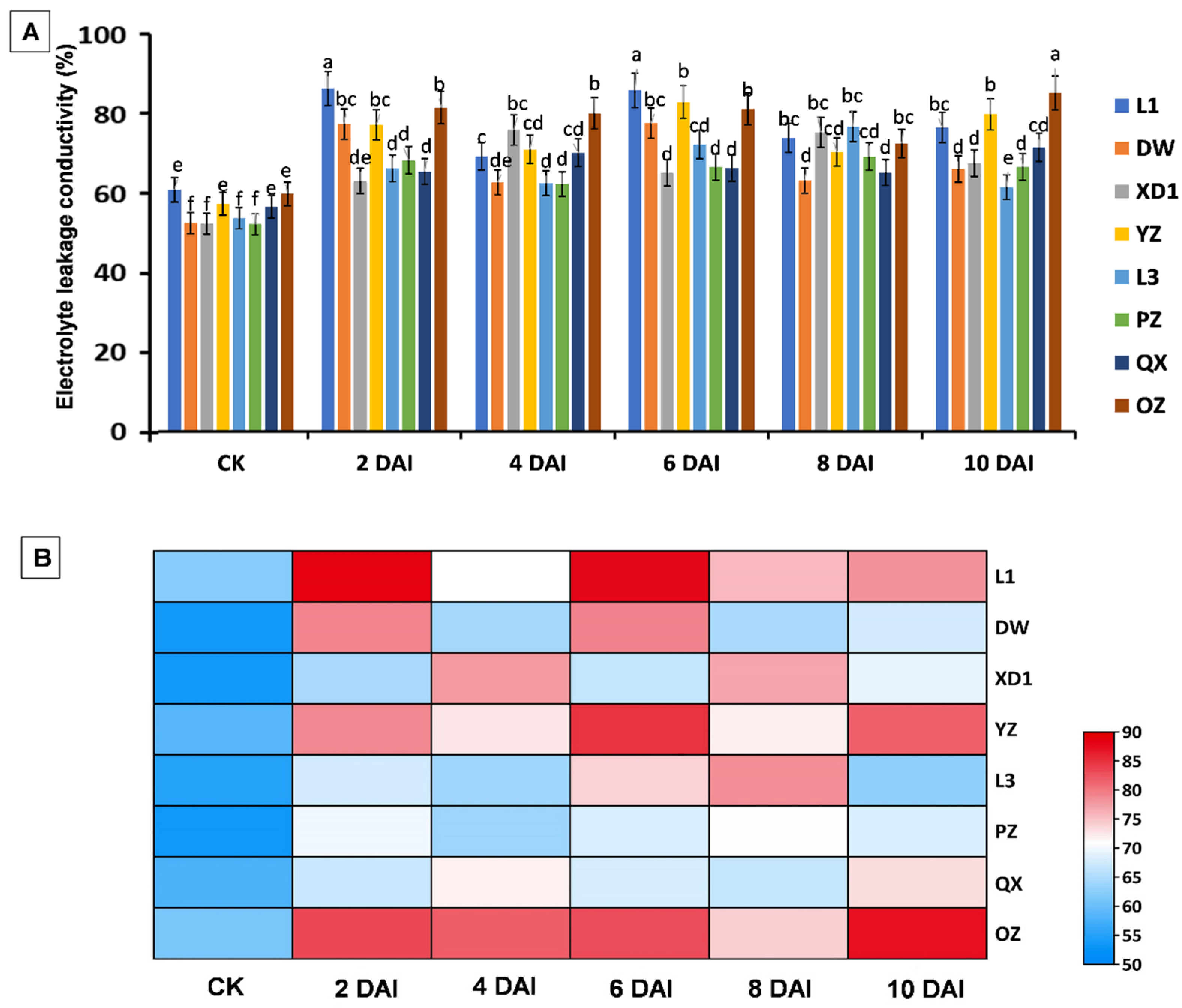
Plasma membrane permeability analysis was conducted through the electrolyte leakage conductivity method to estimate the damage rate in eight varieties of a hazelnut tree (L1, DW, XD1, YZ, L3, PZ, QX, and OZ) with different resistance levels at 2, 4, 6, 8, and 10 DAI in response to B. cinerea infection. The highest electrolyte conductivities of 70%–88%, 72%–87%, and 72%–84% were recorded in L1, YZ, and OZ, at 2, 6, and 10 DAI, respectively. An increase of 10–15% was recorded in XD1, L3, and PZ at 2, 4, 6, 8, and 10 DPI in comparison to their respective controls. Current electrolyte conductivity results were consistent with the disease index in the case of L1, which showed a high disease index (Figure 1) and the highest electrolyte leakage on 2 and 4 DAI. It confirms the susceptible nature of the L1 variety, as higher electrolyte conductivity indicates high susceptibility. But for QX, which was also proved to be highly susceptible with a high disease index (Figure 1), it showed the least electrolyte conductivity in comparison with other varieties and their respective controls (Figure 2). This observation contradicts its susceptibility, as shown by disease index data. A resistant variety (DW) with the lowest disease index also showed less electrolyte conductivity, which is in accordance with the disease index percentage, but OZ, which showed higher resistance in disease index and occurrence, produced higher electrolyte conductivity. This observation also counteracts the above readings of the disease index for variety OZ (Figure 2A,B).

3.3. Cell Wall Degrading Enzyme Analysis

To further investigate the resistance level of hazelnut varieties after B. cinerea infection, cell wall degrading enzymes (Polygalacturonase (PG), pectin methyl galacturonase (PMG), polygalacturonase trans elimination enzyme (PGTE), pectin methyl trans elimination enzyme (PMGE), and carboxymethyl cellulase (Cx)) activity was measured in infected hazelnut fruit buds.

3.3.1. Polygalacturonase Trans Elimination Enzyme (PGTE)

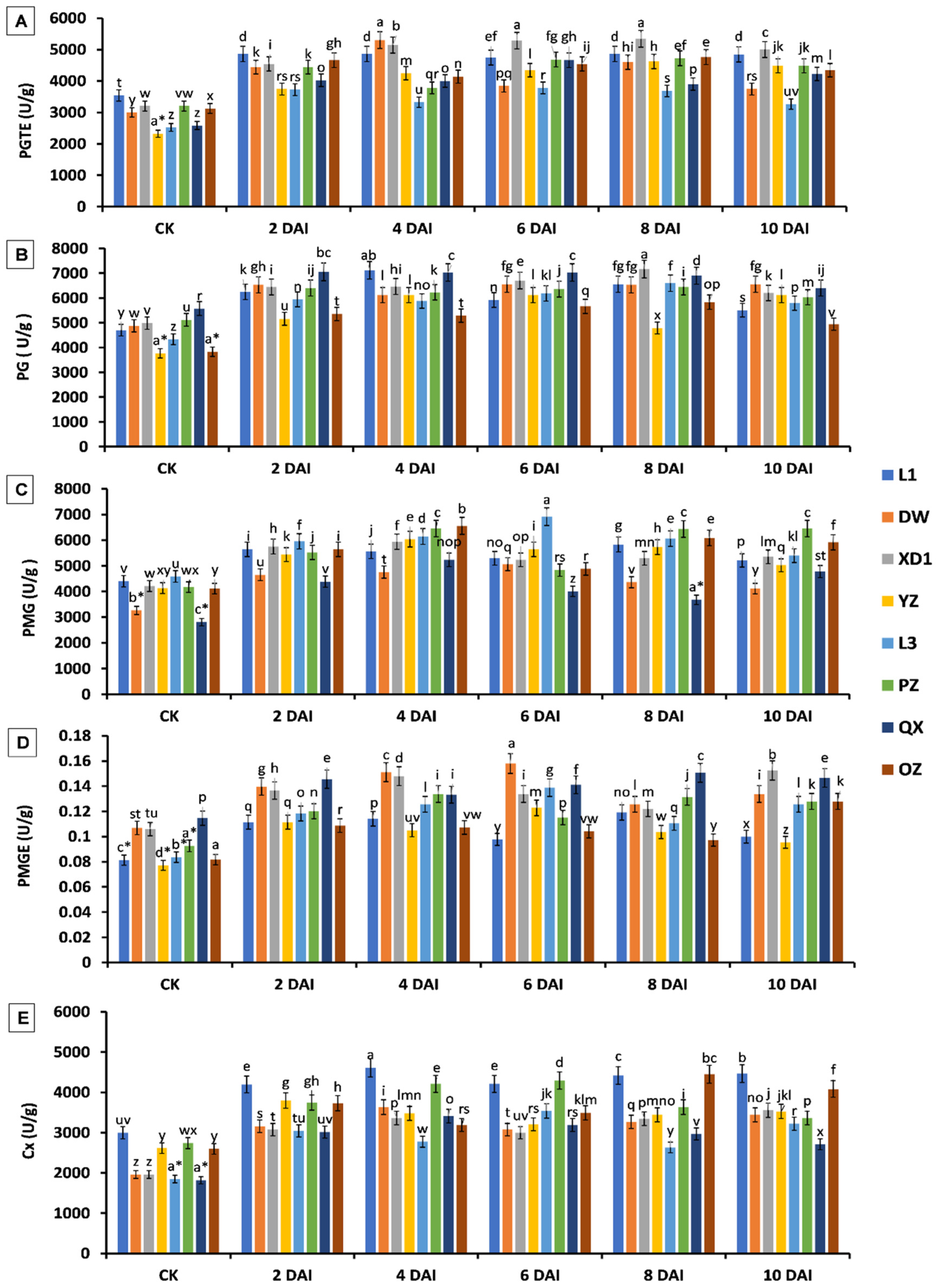
The cell wall degrading enzyme PGTE increased after B. cinerea infection in all varieties as compared to their respective controls. The highest increase was recorded in DW with an increase of 43% on 2 DPI and in XD1 of 37%, 39%, and 40% on 4, 6, and 8 DPI, respectively, followed by L1, which showed an increase of 27% on 2 DPI. The lowest increment in PGTE was recorded in L3, which was 22 to 33% from 2 to 10 DPI (Figure 3A).

3.3.2. Polygalacturonase (PG)

Similarly, the activity of PG also showed increment in all varieties after B. cinerea infection, but the lowest was recorded in OZ (22%) as compared to relative control. The highest increase of 38% in PG activity was recorded in QX on 2, 4, 6 and 8 DAI followed by 33% in L1 on 2 DAI and 30% in XD1 in comparison with control. YZ showed a uniform increasing trend of 38% from 2 to 6 DPI but dropped to the lowest level (21%) on 8 DPI and increased again on 10 DPI (Figure 3B). These results are consistent with the resistance level determined through disease index data (Figure 1), which proves the susceptibility of QX.

3.3.3. Pectin Methyl Galacturonase (PMG)

In the case of PMG activity, the highest increment of 46% was also recorded in QX on 4 DAI followed by 37% in OZ on 4 DPI, 35% in PZ on 4 and 10 DPI 33% in L3 on 6 DPI, 31% in YZ on 4 DAI, 29% in XD1 on 4 DAI, 28% in DW on 6 DAI, and the lowest of 22% was recorded in L1 on 6 DAI in comparison to their relative control (Figure 3C). From here, these results also confirm the higher susceptibility of the QX variety, whereas L1 showed an opposite trend in PMG activity in comparison with its disease index assessment (Figure 1).

3.3.4. Pectin Methyl Trans Elimination Enzyme (PMGE)

A unique trend of increments in PMGE activity was also recorded in hazelnut varieties with different resistance levels. Varieties showed an increasing trend, with the highest PMGE activities of 41%, 37%, and 32% in YZ, OZ, and DW on 10 and 6 DAI, respectively, which were supposed to be resistant varieties according to their disease index data (Figure 1), as compared to their relative controls. Interestingly, the lowest increase in PMGE activity of 24% was recorded in QX in comparison with its relative control, which is a susceptible variety according to disease index data (Figure 3D).

3.3.5. Carboxymethyl Cellulase (Cx)

Along with other enzymes, Cx activity was also measured in the eight hazelnut varieties. Interestingly, Cx activity showed a uniform increase of 29% to 36% in all varieties until 2 DAI, and then the increasing trend was changed except for L1 and PZ till 6 DAI, which showed a 35% and 36% increase on 4 DAI, respectively, in comparison to their respective control. The highest increase of 41% was recorded in OZ on 8 DAI. For all other varieties, there was no significant change in Cx activity recorded from 4 to 10 DAI (Figure 3E).

3.4. Resistance Level Assessment Based on Cross Talk between Enzyme Activity and Disease Index

Disease index analysis revealed the resistance level of eight hazelnut varieties in the order of DW > OZ > L3 > PZ > XD1 > YZ > L1 > QX (Figure 1). Which indicates DW as the most resistant and QX as the most susceptible variety against B. cinerea infection. According to the results obtained from cell wall degrading enzyme analysis, unique enzyme expressions were seen. An increase in the level of cell wall degrading enzyme production facilitates the fungal pathogens’ ability to colonize plants and cause infection, so variation in enzyme production also plays a vital role in inducing resistance or susceptibility. The higher the enzyme activity, the higher the chances of infection [22,23].
According to our results obtained through enzyme analysis, an increase in enzyme expression was recorded in all varieties, which is obvious after B. cinerea infection. The hazelnut varieties L1 and QX, which were proved to be highly susceptible against B. cinerea according to disease index recordings, also showed higher cell wall degrading enzyme production overall except PMGE for L1 and PMG for QX. Following QX and L1, YZ also showed higher production of all the enzymes overall except PMGE (Figure 4).
DW, which is revealed to be a resistant variety through disease index data, shows a relatively lower expression of PGTE, PMG, and Cx enzymes as compared to other varieties. Similarly, OZ, the second resistant variety, produced fewer PG, PMGE, and Cx enzymes. Interestingly, the same results were observed for the L3 variety. PZ and XD1 also showed a moderate increase in enzyme production, validating their spots in the resistance order obtained through disease index assessment (Figure 4).
Our comparison analysis between the disease index and enzyme production in eight hazelnut varieties confirms that disease occurrence and plant susceptibility strongly depend upon cell wall permeability. Our enzyme activity results validated the resistance order revealed by disease index assessment results (DW > OZ > L3 > PZ > XD1 > YZ > L1 > QX) and varieties DW and OZ were found to be the most resistant and QX and L1 were observed as the most susceptible varieties of hazelnut against B. cinerea infection.

4. Discussion

Plant cells need to communicate with each other to coordinate their activities for proper physiological development, environmental stress tolerance, and defense against pathogens [24]. This communication occurs through various pathways, such as the transport of RNA molecules, including small interfering RNAs (siRNAs), microRNAs (miRNAs), and messenger RNAs (mRNAs), from one cell to another [25,26].
For long-range communication, RNA species move through the vascular system, which is a complex network of xylem and phloem tissues that transport water, nutrients, and other substances throughout the plant [27]. In contrast, for short-range communication, plant cells use specialized structures called plasmodesmata, which are channels that connect the cytoplasm of adjacent cells. These channels allow molecules such as signaling molecules, ions, and proteins to move from cell to cell. Plant cells use these communication pathways to coordinate their responses to different environmental stimuli. For example, they can produce specific RNA molecules to regulate gene expression and activate stress response pathways in response to different types of stress, such as drought, heat, cold, or pathogen attack. Plant cells can also use these communication pathways to mount an effective defense response against pathogens [28].
In summary, plant cells use various communication pathways to coordinate their activities and respond to different environmental stimuli. These communication pathways play a crucial role in plant physiological development, stress tolerance, and defense against pathogens [23]. Plants utilize multiple RNA species to regulate molecular processes, and these species move systemically for long-range and cell-to-cell for short-range communication [29]. The vascular system in plants plays a key role in the collection of water and nutrients, with specialized modifications to the cell wall that facilitate this process [30]. Pathogens such as B. cinerea invade plants by producing cell wall-degrading enzymes that rupture the cell wall, causing pathogenesis and symptoms by invading the vascular system, which is involved in the circulation and regulation of systemic substances in plants [10]. Plants can resist B. cinerea invasion through both systemic regulation of the plasma membrane and local tissue reactions [27]. To better understand the relationship between the conductivity of plasma membranes and the activity of cell wall-degrading enzymes in hazelnut varieties infected with B. cinerea, we examined eight different varieties with varying levels of resistance to the pathogen. The varieties we studied were Liao 1 (L1), Dawei (DW), Xianda No. 1 (XD1), Yuzhui (YZ), Liao 3 (L3), Ping hazelnut (PZ), Qiuxiang (QX), and European hazelnut (OZ).
Our results indicated that DW and OZ were the most tolerant varieties, exhibiting low disease index, while QX, L1, and YZ were the most susceptible, with the highest disease index among the eight varieties studied. The disease severity index showed that resistance levels were in the order of DW > OZ > L3 > PZ > XD1 > YZ > L1 > QX. Enzyme activity data also revealed variation among different varieties, with L1 and QX being highly susceptible to B. cinerea and showing higher overall production of cell wall-degrading enzymes, except for PMGE in L1 and PMG in QX. YZ also showed higher production of all enzymes, except PMGE. In contrast, DW, the most resistant variety according to disease index data, showed relatively lower expression of PGTE, PMG, and Cx enzymes compared to other varieties. Similarly, OZ and L3, both resistant varieties, produced fewer PG, PMGE, and Cx enzymes. PZ and XD1, which showed moderate resistance according to disease index assessment, exhibited a moderate increase in enzyme production. The higher accumulation of cell wall-degrading enzymes is reflective of plant activity against B. cinerea. Our findings are consistent with previous research indicating that enzyme levels increase in response to pathogen infection, with more accumulation in susceptible plants. Enzyme production was highest on says 4 and 6 post-infection (DPI), and early defense mechanisms can prevent pathogen invasion Huang et al. [14] reported an increasing level of enzymes in pathogen infection, and more accumulation was seen in susceptible plants. Mostly, the higher level of these enzymes was seen on 4 and 6 DPI. The pathogen can be prevented by the plants if the defense mechanism starts early [14]. The accumulation of cell wall-degrading enzymes in plants directly reflects their ability to react against fungal pathogens [22]. However, while cell wall-degrading enzymes are considered an important pathogenicity factor, more work is needed to determine their precise role in fungal pathogenicity [22,23]. Our study also suggests that other factors play a role in facilitating disease tolerance in plants, as indicated by the differences in disease severity and enzyme production among the different varieties studied.
Although cell wall-degrading enzymes produced by fungal pathogens are considered a key factor in pathogenicity, and significant research has been published on their role in plant-pathogen interactions, it is important to note that they cannot solely determine the importance of these enzymes in fungal pathogenicity. Other factors such as the host plant’s defense mechanisms, genetic background, and environmental conditions also play a critical role in determining the susceptibility or resistance of a plant to fungal pathogens. Therefore, a comprehensive understanding of the interactions between the host plant and the pathogen is necessary to fully comprehend the role of cell wall-degrading enzymes in fungal pathogenicity [23]. In addition to the activity of cell wall degrading enzymes and plasma membrane conductivity, there are likely other factors that contribute to a plant’s ability to resist invasion by fungal pathogens. For example, systemic regulation of the plasma membrane and local tissue reactions can also play a role in a plant’s defense mechanism. Furthermore, there may be genetic differences between plant varieties that affect their ability to mount an effective defense against pathogens. Identifying and understanding these additional factors could provide valuable insights into the development of new strategies for enhancing disease tolerance in plants. Overall, our study highlights the complex interplay between various factors involved in plant-pathogen interactions and underscores the importance of a multidisciplinary approach to studying plant biology and crop protection.

5. Conclusions

Plant immunity is a complex process that involves various molecular, physiological, and cellular mechanisms. Researchers are currently focusing on identifying the different components involved in innate plant resistance. In our study, we conducted a comparative analysis of disease index and enzyme production to understand the factors that contribute to plant susceptibility to B. cinerea infection. Our results showed that plant susceptibility to B. cinerea infection was largely influenced by cell wall permeability. We found that the resistance order of hazelnut varieties against B. cinerea infection, as determined by disease index assessment, was consistent with the levels of enzyme activities observed in the plants. Specifically, hazelnut varieties DW and OZ exhibited the highest resistance, while QX and L1 were the most susceptible.
This suggests that cell wall permeability plays a significant role in determining plant susceptibility to B. cinerea. However, our study also revealed that other factors, in addition to enzyme activity, can influence plant susceptibility to B. cinerea infection. For example, the accumulation of cell wall degrading enzymes can weaken the membrane permeability of plants, making them more susceptible to disease. Nevertheless, other factors also contribute to the development of infections or plant tolerance.
These findings highlight the importance of understanding the complex interplay between different factors that contribute to plant immunity and susceptibility. By identifying the specific mechanisms that underlie plant resistance to B. cinerea, we can develop effective strategies for managing plant diseases and promoting crop productivity. Overall, our study provides important insights into the factors that influence plant susceptibility to B. cinerea and highlights the need for further research in this area.

Author Contributions

Conceptualization, J.S., X.Z., J.Z. and G.L.; Data curation, X.Z. and G.L.; Formal analysis, X.Z., J.Z. and L.C.; Methodology, X.Z., J.Z. and L.C.; Project administration, J.S. and L.C.; Resources, J.S., X.Z. and J.Z.; Software, G.L.; Supervision, G.L.; Validation, J.Z.; Visualization, G.L.; Writing—original draft, J.S. and L.C.; Writing—review & editing, J.S. and L.C. All authors have read and agreed to the published version of the manuscript.

Funding

This research received no external funding.

Data Availability Statement

The dataset supporting the conclusions of this article are available within the manuscript.

Conflicts of Interest

The authors declare that they have no conflict of interest for the publication of the manuscript.

Ethics Approval and Consent to Participate

Not applicable.

References

  1. Nicoletti, R.; Petriccione, M.; Curci, M.; Scortichini, M. Hazelnut-Associated Bacteria and Their Implications in Crop Management. Horticulturae 2022, 8, 1195. [Google Scholar] [CrossRef]
  2. FAO. World Food and Agriculture Statistical Yearbook; Food and Agriculture Organization of the United Nations: Rome, Italy, 2020. [Google Scholar]
  3. Silvestri, C.; Bacchetta, L.; Bellincontro, A.; Cristofori, V. Advances in cultivar choice, hazelnut orchard management, and nut storage to enhance product quality and safety: An overview. J. Sci. Food Agric. 2021, 101, 27–43. [Google Scholar] [CrossRef]
  4. Shao, F.; Wilson, I.W.; Qiu, D. The research progress of taxol in Taxus. Curr. Pharm. Biotechnol. 2021, 22, 360–366. [Google Scholar] [CrossRef]
  5. Batool, R.; Umer, M.J.; Shabbir, M.Z.; Wang, Y.; Ahmed, M.A.; Guo, J.; He, K.; Zhang, T.; Bai, S.; Chen, J. Seed Myco-priming improves crop yield and herbivory induced defenses in maize by coordinating antioxidants and Jasmonic acid pathway. BMC Plant Biol. 2022, 22, 1–17. [Google Scholar] [CrossRef]
  6. Choquer, M.; Fournier, E.; Kunz, C.; Levis, C.; Pradier, J.-M.; Simon, A.; Viaud, M. Botrytis cinerea virulence factors: New insights into a necrotrophic and polyphageous pathogen. FEMS Microbiol. Lett. 2007, 277, 1–10. [Google Scholar] [CrossRef]
  7. Lachenbruch, B.; Zhao, J.-P. Effects of phloem on canopy dieback, tested with manipulations and a canker pathogen in the Corylus avellana/Anisogramma anomala host/pathogen system. Tree Physiol. 2019, 39, 1086–1098. [Google Scholar] [CrossRef]
  8. Rosengarten, F., Jr. The Book of Edible Nuts; Courier Corporation: Walker & Company; New York, NY, USA, 2004. [Google Scholar]
  9. Hansen, E.; Parke, J.; Sutton, W. Susceptibility of Oregon forest trees and shrubs to Phytophthora ramorum: A comparison of artificial inoculation and natural infection. Plant Dis. 2005, 89, 63–70. [Google Scholar] [CrossRef]
  10. Fedele, G.; González-Domínguez, E.; Rossi, V. Influence of environment on the biocontrol of Botrytis cinerea: A systematic literature review. How Res. Can Stimul. Dev. Commer. Biol. Control Against Plant Dis. 2020, 21, 61–82. [Google Scholar]
  11. van Kan, J.A. Licensed to kill: The lifestyle of a necrotrophic plant pathogen. Trends Plant Sci. 2006, 11, 247–253. [Google Scholar] [CrossRef]
  12. Legard, D.; Xiao, C.; Mertely, J.; Chandler, C. Effects of plant spacing and cultivar on incidence of Botrytis fruit rot in annual strawberry. Plant Dis. 2000, 84, 531–538. [Google Scholar] [CrossRef]
  13. Zhang, S.; Sun, L.; Kragler, F. The phloem-delivered RNA pool contains small noncoding RNAs and interferes with translation. Plant Physiol. 2009, 150, 378–387. [Google Scholar] [CrossRef]
  14. Huang, C.; Wang, Y.; Yang, Y.; Zhong, C.; Notaguchi, M.; Yu, W. A Susceptible scion reduces rootstock tolerance to Ralstonia solanacearum in grafted eggplant. Horticulturae 2019, 5, 78. [Google Scholar] [CrossRef]
  15. Hegedus, D.D.; Rimmer, S.R. Sclerotinia sclerotiorum: When “to be or not to be” a pathogen? FEMS Microbiol. Lett. 2005, 251, 177–184. [Google Scholar] [CrossRef]
  16. Mehdy, M.C. Active oxygen species in plant defense against pathogens. Plant Physiol. 1994, 105, 467. [Google Scholar] [CrossRef]
  17. WOJTASZEK, P. Oxidative burst: An early plant response to pathogen infection. Biochem. J. 1997, 322, 681–692. [Google Scholar] [CrossRef]
  18. Kang, Z.; Buchenauer, H. Studies on the infection process of Fusarium culmorum in wheat spikes: Degradation of host cell wall components and localization of trichothecene toxins in infected tissue. Eur. J. Plant Pathol. 2002, 108, 653–660. [Google Scholar] [CrossRef]
  19. Li, Z.K.; Chen, B.; Li, X.X.; Wang, J.P.; Zhang, Y.; Wang, X.F.; Yan, Y.Y.; Ke, H.F.; Yang, J.; Wu, J.H. A newly identified cluster of glutathione S-transferase genes provides Verticillium wilt resistance in cotton. Plant J. 2019, 98, 213–227. [Google Scholar] [CrossRef]
  20. Rizhsky, L.; Hallak-Herr, E.; Van Breusegem, F.; Rachmilevitch, S.; Barr, J.E.; Rodermel, S.; Inzé, D.; Mittler, R. Double antisense plants lacking ascorbate peroxidase and catalase are less sensitive to oxidative stress than single antisense plants lacking ascorbate peroxidase or catalase. Plant J. 2002, 32, 329–342. [Google Scholar] [CrossRef]
  21. Li, B.; Zhou, C.; Zhao, K.; Li, F.; Chen, H. Pathogenic mechanism of scab of cucumber caused by Cladosporium cucumerinum II: The cell wall-degrading enzymes and its pathogenic action. Acta Phytopathol. Sin. 2000, 30, 13–18. [Google Scholar]
  22. Liu, H.; Zhang, S.; Schell, M.A.; Denny, T.P. Pyramiding unmarked deletions in Ralstonia solanacearum shows that secreted proteins in addition to plant cell-wall-degrading enzymes contribute to virulence. Mol. Plant-Microbe Interact. 2005, 18, 1296–1305. [Google Scholar] [CrossRef]
  23. Mary Wanjiru, W.; Zhensheng, K.; Buchenauer, H. Importance of cell wall degrading enzymes produced by Fusarium graminearum during infection of wheat heads. Eur. J. Plant Pathol. 2002, 108, 803–810. [Google Scholar] [CrossRef]
  24. Khan, N.; Bano, A.; Ali, S.; Babar, M.A. Crosstalk amongst phytohormones from planta and PGPR under biotic and abiotic stresses. Plant Growth Regul. 2020, 90, 189–203. [Google Scholar] [CrossRef]
  25. Liu, L.; Chen, X. Intercellular and systemic trafficking of RNAs in plants. Nat. Plants 2018, 4, 869–878. [Google Scholar] [CrossRef]
  26. Ying, S.-Y.; Chang, D.C.; Lin, S.-L. The microRNA (miRNA): Overview of the RNA genes that modulate gene function. Mol. Biotechnol. 2008, 38, 257–268. [Google Scholar] [CrossRef]
  27. Notaguchi, M.; Okamoto, S. Dynamics of long-distance signaling via plant vascular tissues. Front. Plant Sci. 2015, 6, 161. [Google Scholar] [CrossRef] [PubMed]
  28. Singh, V.K.; Upadhyay, R.S. The hypersensitive response: A case of cell death induction in plants. Int. J. Eng. Res. Technol 2013, 2, 1828–1832. [Google Scholar]
  29. Zhang, X.; Xu, K. Effect of interaction between rootstock and scion on chilling tolerance of grafted eggplant seedlings under low temperature and light conditions. Sci. Agric. Sin. 2009, 42, 3734–3740. [Google Scholar]
  30. Lewsey, M.G.; Hardcastle, T.J.; Melnyk, C.W.; Molnar, A.; Valli, A.; Urich, M.A.; Nery, J.R.; Baulcombe, D.C.; Ecker, J.R. Mobile small RNAs regulate genome-wide DNA methylation. Proc. Natl. Acad. Sci. USA 2016, 113, E801–E810. [Google Scholar] [CrossRef] [PubMed]
Figure 1. Disease symptoms in hazelnut tree infected with B. cinerea. (A) Liao 1 (L1) (B) Dawei (DW), (C) Xianda No. 1 (XD1), (D) Yuzhui (YZ), (E) Liao 3 (L3), (F) Ping hazelnut (PZ), (G) Qiuxiang (QX), (H) European hazelnut (OZ). (I) Disease index (%) recorded 3 days after inoculation of B. cinerea in hazelnut varieties. The figure on the left of panel (AH) indicates control plants (CK) and the figure on the right side of panel (AH) showed plants infected by B. cinerea. Different letters above bars indicate significant difference at p ≤ 0.05.
Figure 1. Disease symptoms in hazelnut tree infected with B. cinerea. (A) Liao 1 (L1) (B) Dawei (DW), (C) Xianda No. 1 (XD1), (D) Yuzhui (YZ), (E) Liao 3 (L3), (F) Ping hazelnut (PZ), (G) Qiuxiang (QX), (H) European hazelnut (OZ). (I) Disease index (%) recorded 3 days after inoculation of B. cinerea in hazelnut varieties. The figure on the left of panel (AH) indicates control plants (CK) and the figure on the right side of panel (AH) showed plants infected by B. cinerea. Different letters above bars indicate significant difference at p ≤ 0.05.
Forests 14 00565 g001
Figure 2. Plasma membrane permeability analysis by electrolyte leakage conductivity in eight hazelnut varieties (Liao 1 (L1), Dawei (DW), Xianda No. 1 (XD1), Yuzhui (YZ), Liao 3 (L3), Ping hazelnut (PZ), Qiuxiang (QX), European hazelnut (OZ)) on 2, 4, 6, 8 and 10 days after inoculation (DAI) of B. cinerea infection. (A) The percentage electrolyte leakage conductivity. (B) Clustered heat map showing the intensity of electrolyte leakage from lower (blue color) to higher (red color) in eight hazelnut varieties post B. cinerea infection. Different letters above bars indicate significant difference at p ≤ 0.05.
Figure 2. Plasma membrane permeability analysis by electrolyte leakage conductivity in eight hazelnut varieties (Liao 1 (L1), Dawei (DW), Xianda No. 1 (XD1), Yuzhui (YZ), Liao 3 (L3), Ping hazelnut (PZ), Qiuxiang (QX), European hazelnut (OZ)) on 2, 4, 6, 8 and 10 days after inoculation (DAI) of B. cinerea infection. (A) The percentage electrolyte leakage conductivity. (B) Clustered heat map showing the intensity of electrolyte leakage from lower (blue color) to higher (red color) in eight hazelnut varieties post B. cinerea infection. Different letters above bars indicate significant difference at p ≤ 0.05.
Forests 14 00565 g002
Figure 3. Cell membrane degrading enzyme activity analysis in eight hazelnut varieties (Liao 1 (L1), Dawei (DW), Xianda No. 1 (XD1), Yuzhui (YZ), Liao 3 (L3), Ping hazelnut (PZ), Qiuxiang (QX), European hazelnut (OZ)) on 2, 4, 6, 8 and 10 DAI of B. cinerea infection. (A) Polygalacturonase trans elimination enzyme (PGTE), (B) Polygalacturonase (PG), (C) Pectin methyl galacturonase (PMG), (D) Pectin methyl trans elimination enzyme (PMGE), (E) Carboxymethyl cellulase (Cx). Different letters above bars indicate significant difference at p ≤ 0.05. * Indicates the extended lettering, starting again from “a” after one set of alphabets (a–z) completed.
Figure 3. Cell membrane degrading enzyme activity analysis in eight hazelnut varieties (Liao 1 (L1), Dawei (DW), Xianda No. 1 (XD1), Yuzhui (YZ), Liao 3 (L3), Ping hazelnut (PZ), Qiuxiang (QX), European hazelnut (OZ)) on 2, 4, 6, 8 and 10 DAI of B. cinerea infection. (A) Polygalacturonase trans elimination enzyme (PGTE), (B) Polygalacturonase (PG), (C) Pectin methyl galacturonase (PMG), (D) Pectin methyl trans elimination enzyme (PMGE), (E) Carboxymethyl cellulase (Cx). Different letters above bars indicate significant difference at p ≤ 0.05. * Indicates the extended lettering, starting again from “a” after one set of alphabets (a–z) completed.
Forests 14 00565 g003
Figure 4. Cluster heat map of the cell wall degrading enzyme activity in eight hazel nut varieties (Liao 1 (L1), Dawei (DW), Xianda No. 1 (XD1), Yuzhui (YZ), Liao 3 (L3), Ping hazelnut (PZ), Qiuxiang (QX), European hazelnut (OZ)) on 2, 4, 6, 8 and 10 DAI of B. cinerea infection. Polygalacturonase trans elimination enzyme (PGTE), Polygalacturonase (PG), Pectin methyl galacturonase (PMG), Pectin methyl trans elimination enzyme (PMGE), Carboxymethyl cellulase (Cx).
Figure 4. Cluster heat map of the cell wall degrading enzyme activity in eight hazel nut varieties (Liao 1 (L1), Dawei (DW), Xianda No. 1 (XD1), Yuzhui (YZ), Liao 3 (L3), Ping hazelnut (PZ), Qiuxiang (QX), European hazelnut (OZ)) on 2, 4, 6, 8 and 10 DAI of B. cinerea infection. Polygalacturonase trans elimination enzyme (PGTE), Polygalacturonase (PG), Pectin methyl galacturonase (PMG), Pectin methyl trans elimination enzyme (PMGE), Carboxymethyl cellulase (Cx).
Forests 14 00565 g004
Table 1. List of hazelnut varieties and sample groups used in the current experiment.
Table 1. List of hazelnut varieties and sample groups used in the current experiment.
S.No.Variety NameSampling Groups
2 DAI4 DAI6 DAI8 DAI10 DAICK
1.Liao 1 (L1)L1-1L1-2L1-3L1-4L1-5L1-CK
2.Dawei (DW)DW-1DW-2DW-3DW-4DW-5DW-CK
3.Xianda No. 1 (XD1)XD1-1XD1-2XD1-3XD1-4XD1-5XD1-CK
4.Yuzhui (YZ)YZ-1YZ-2YZ-3YZ-4YZ-5YZ-CK
5.Liao 3 (L3)L3-1L3-2L3-3L3-4L3-5L3-CK
6.Ping hazelnut (PZ)PZ-1PZ-2PZ-3PZ-4PZ-5PZ-CK
7.Qiuxiang (QX)QX-1QX-2QX-3QX-4QX-5QX-CK
8.European hazelnut (OZ)OZ-1OZ-2OZ-3OZ-4OZ-5OZ-CK
Disclaimer/Publisher’s Note: The statements, opinions and data contained in all publications are solely those of the individual author(s) and contributor(s) and not of MDPI and/or the editor(s). MDPI and/or the editor(s) disclaim responsibility for any injury to people or property resulting from any ideas, methods, instructions or products referred to in the content.

Share and Cite

MDPI and ACS Style

Sun, J.; Zhang, X.; Zheng, J.; Liu, G.; Chen, L. Importance of Cell Wall Permeability and Cell Wall Degrading Enzymes during Infection of Botrytis cinerea in Hazelnut. Forests 2023, 14, 565. https://doi.org/10.3390/f14030565

AMA Style

Sun J, Zhang X, Zheng J, Liu G, Chen L. Importance of Cell Wall Permeability and Cell Wall Degrading Enzymes during Infection of Botrytis cinerea in Hazelnut. Forests. 2023; 14(3):565. https://doi.org/10.3390/f14030565

Chicago/Turabian Style

Sun, Jun, Xuemei Zhang, Jinli Zheng, Guangping Liu, and Lijing Chen. 2023. "Importance of Cell Wall Permeability and Cell Wall Degrading Enzymes during Infection of Botrytis cinerea in Hazelnut" Forests 14, no. 3: 565. https://doi.org/10.3390/f14030565

APA Style

Sun, J., Zhang, X., Zheng, J., Liu, G., & Chen, L. (2023). Importance of Cell Wall Permeability and Cell Wall Degrading Enzymes during Infection of Botrytis cinerea in Hazelnut. Forests, 14(3), 565. https://doi.org/10.3390/f14030565

Note that from the first issue of 2016, this journal uses article numbers instead of page numbers. See further details here.

Article Metrics

Back to TopTop