Scenic Beauty Evaluation of Forests with Autumn-Colored Leaves from Aerial and Ground Perspectives: A Case Study in Qixia Mountain in Nanjing, China
Abstract
1. Introduction
2. Materials and Methods
2.1. Study Area
2.2. Research Methods
2.2.1. Viewpoint Selection
2.2.2. SBE of Colored-Leaved Forests
2.2.3. Influencing Factors of SBE of Colored-Leaved Forests
2.2.4. Data Processing and SBE Model Building
- (1)
- Data normalization
- (2)
- SBE model building.
3. Results and Analysis
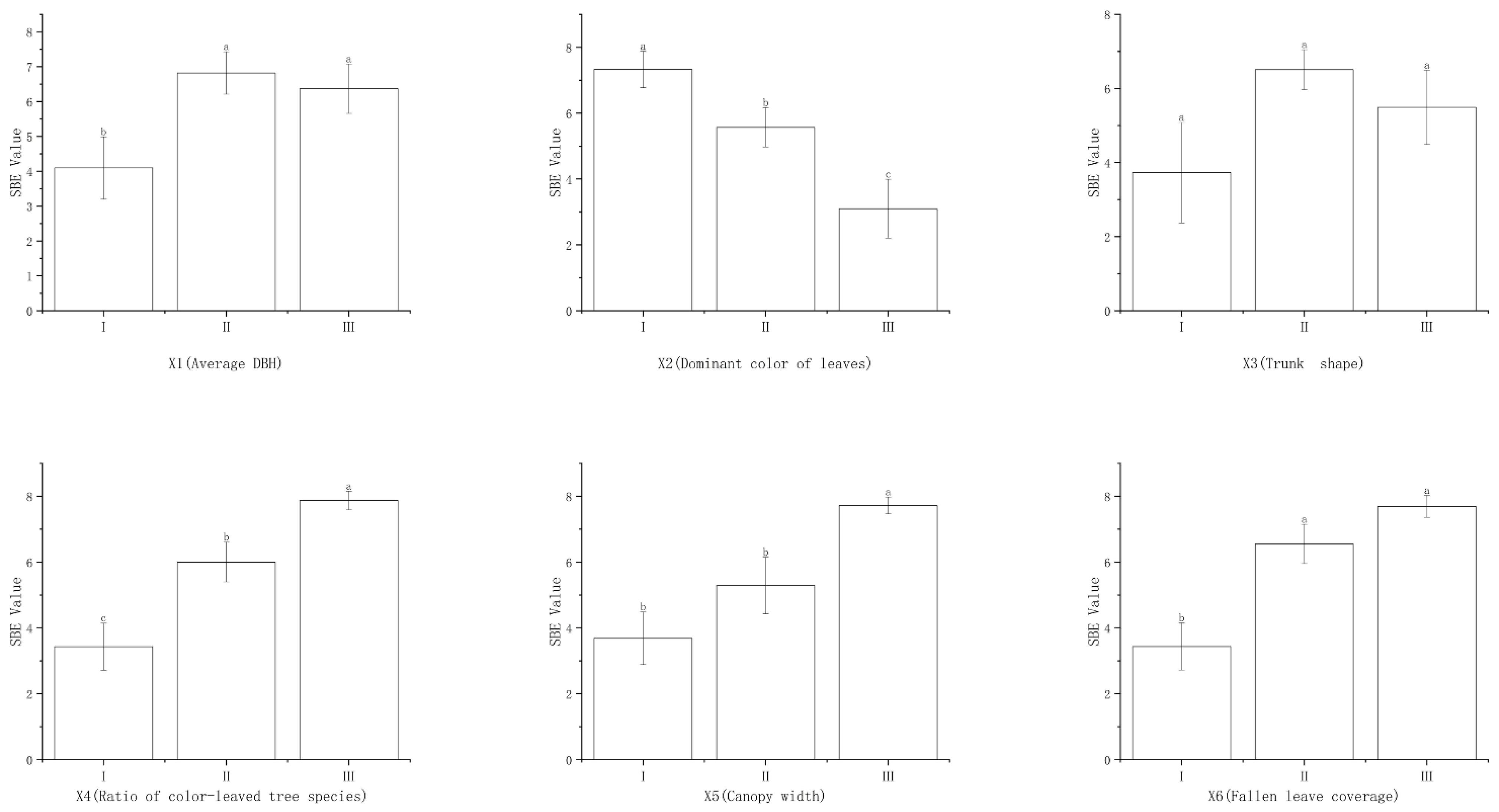
3.1. Relationship between Landscape Elements and Beauty Values from the Ground Perspective
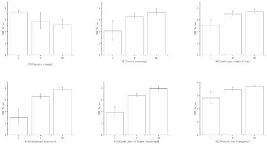
3.2. Relationship between Landscape Elements and Beauty Values from the Aerial Perspective
3.3. SBE Model of CLF Building
3.3.1. Variable Selection of Landscape Elements for CLFs
3.3.2. SBE Model of CLFs
4. Discussion and Limitations
4.1. Discussion
4.2. Limitations of the Study
5. Conclusions
- (1)
- Regional micro-topography method: When creating landscape planning for flat terrain, an undulating micro-topography should be created. In areas with large terrain changes, planting belts, terrains, steps, and cultural walls on the slope should be established to create a multi-level changing landscape space.
- (2)
- Dominant color substitution method within a small woodland: reasonably control the forest density by thinning, replant red- and yellow-leaved trees on tourists’ preferred viewing routes, increase the coverage of densely distributed and patchy colored-leaved forest in a small woodland, plant colored-leaved trees on bare land, and promote the succession of forests to mature and over-mature forest stands.
- (3)
- Landscape retouching method: Through the combination of trees, shrubs, and grass and by adding water bodies, the forest landscape can be enriched. The forest landscape should be kept clean through the selective cutting of cluttered trees. The scenic beauty could be further improved by updating inferior landscape buildings and planting colored-leaved trees with forest cultural value.
- (4)
- Mutual complementary method. Since obvious contrasting colors and appreciable leaf shapes can improve the beauty of CLFs, trees with the dominant color of the landscape as their complementary color should be planted, and the ratio of trees with irregular leaf shapes should be increased.
Author Contributions
Funding
Data Availability Statement
Conflicts of Interest
References
- Mu, Y.X.; Lin, W.Y.; Diao, X.L.; Wang, J.; Lu, Z.; Guo, W.; Wang, Y.; Hu, C.; Zhao, C. Implementation of the visual aesthetic quality of slope forest autumn color change into the configuration of tree species. Sci. Rep. 2022, 12, 1034. [Google Scholar] [CrossRef] [PubMed]
- Zhang, Z.; Qie, G.F.; Wang, C.; Jiang, S.; Li, X.; Li, M. Relationship between Forest Color Characteristics and Scenic Beauty: Case Study Analyzing Pictures of Mountainous Forests at Sloped Positions in Jiuzhai Valley, China. Forests 2017, 8, 63. [Google Scholar] [CrossRef]
- Zhu, Y.; Gao, W.; Zhang, Y.; Yuan, D. Study of the application of colored-leaf plants in the residential areas of Kunming city. J. Yunnan Agric. Univ. 2010, 25, 239–245. [Google Scholar]
- Liu, X.; Wang, Q.; He, B.; Dai, Q.; Feng, C. Research on the method of landscape configuration of garden plants based on the evaluation method of beauty degree. Int. J. Environ. Technol. Manag. 2022, 25, 1–21. [Google Scholar] [CrossRef]
- Parsons, R.; Daniel, T.C. Good looking: In defense of scenic landscape aesthetics. Landsc. Urban Plan. 2002, 60, 43–56. [Google Scholar] [CrossRef]
- Fines, K.D. Landscape evaluation: A research project in East Sussex. Reg. Stud. 1968, 2, 41–55. [Google Scholar] [CrossRef]
- Van den Berg, A.E.; Vlek, C.A. The influence of planned-change context on the evaluation of natural landscapes. Landsc. Urban Plan. 1998, 43, 1–10. [Google Scholar] [CrossRef]
- Hull, R.B., IV.; Reveli, G.R. Cross-cultural comparison of landscape scenic beauty evaluations: A case study in Bali. J. Environ. Psychol. 1989, 9, 177–191. [Google Scholar] [CrossRef]
- Tyrväinen, L.; Silvennoinen, H.; Hallikainen, V. Effect of the season and forest management on the visual quality of the nature-based tourism environment: A case from Finnish Lapland. Scand. J. For. Res. 2017, 32, 349–359. [Google Scholar] [CrossRef]
- Wartmann, F.M.; Acheson, E.; Purves, R.S. Describing and comparing landscapes using tags, texts, and free lists: An interdisciplinary approach. Int. J. Geogr. Inf. Sci. 2018, 32, 1572–1592. [Google Scholar] [CrossRef]
- Zube, E.H. Themes in landscape assessment theory. Landsc. J. 1984, 3, 104–110. [Google Scholar] [CrossRef]
- Bacon, W. The Visual Management System of Forest Service. USDA, Pacific Southwest Forest Service and Range Experiment Station Technical; United States Department of Agriculture: Berkeey, CA, USA, 1979; pp. 660–665. [Google Scholar]
- Wang, Y.; Chen, X. Application of psychophysical method in evaluation of foreign forest landscapes. Sci. Silvae Sin. 1999, 35, 110–117. [Google Scholar]
- Nekhay, O.; Arriaza, M. How attractive is upland Olive Groves landscape? Application of the analytic hierarchy process and GIS in southern spain. Sustainability 2016, 11, 1160. [Google Scholar] [CrossRef]
- Schroeder, H.; Daniel, T.C. Progress in predicting the perceived scenic beauty of forest landscapes. For. Sci. 1981, 27, 71–80. [Google Scholar]
- Mao, B.; Gong, L.; Xu, C.Y. Evaluating the scenic beauty of individual trees: A case study using a nonlinear model for a Pinus Tabulaeformis scenic forest in Beijing, China. Forests 2015, 6, 1933–1948. [Google Scholar] [CrossRef]
- Ribe, R.G. A general model for understanding the perception of scenic beauty in northern hardwood forests. Landsc. J. 1990, 9, 86–101. [Google Scholar] [CrossRef]
- Vodak, M.; Roberts, P.; Wellman, J.D.; Buhyoff, G.J. Scenic impacts of eastern hardwood management. For. Sci. 1985, 31, 289–301. [Google Scholar]
- Gulinck, H.; Múgica, M.; de Lucio, J.V.; Atauri, J.A. A framework for comparative landscape analysis and evaluation based on land cover data, with an application in the Madrid region (Spain). Landsc. Urban Plan. 2001, 55, 257–270. [Google Scholar] [CrossRef]
- McNamara, G.; O’Hara, J. The importance of the concept of self-evaluation in the changing landscape of education policy. Stud. Educ. Eval. 2008, 34, 173–179. [Google Scholar] [CrossRef]
- Yang, S.H.; Gu, X.P.; Chen, K.; Dong, F.L.; Zhang, L.G.; Jia, X. Current status and trends of research on SBE methods in domestic landscape evaluation. West. For. Sci. China 2019, 48, 148–156. [Google Scholar]
- Pretzsch, H.; Grote, R.; Reineking, B.; Rötzer, T.H.; Seifert, S.T. Models for forest ecosystem management: A european perspective. Ann. Bot. 2008, 101, 1065–1087. [Google Scholar] [CrossRef]
- Brown, T.C.; Daniel, T.C. Predicting scenic beauty of timber stands. For. Sci. 1986, 32, 471–487. [Google Scholar]
- Haines-Young, R.; Chopping, M. Quantifying landscape structure: A review of landscape indices and their application to forested landscapes. Prog. Phys. Geogr. 1996, 20, 418–445. [Google Scholar] [CrossRef]
- Lu, C.; Jiang, D.; Huang, M.; Wen, Q.; Liu, X. Landscape evaluation of color-leaf forest from the perspective of different scales: A case of jinyang village in China. IOP Publ. 2020, 446, 032033. [Google Scholar] [CrossRef]
- Ouyang, X.Z.; Liao, W.M.; Peng, S.K. Landscape quality evaluation and vertical structure optimization of natural broadleaf forest. Ying Yong Sheng Tai Xue Bao 2007, 18, 1388–1392. [Google Scholar]
- Jahani, A.; Rayegani, B. Forest landscape visual quality evaluation using artificial intelligence techniques as a decision support system. Stoch. Environ. Res. Risk Assess. 2020, 34, 1473–1486. [Google Scholar] [CrossRef]
- Daniel, T.C.; Schroeder, H. Scenic beauty estimation model: Predicting perceived beauty of forest landscapes. USDA For. Serv. Gen. Tech. Rep. Pac. Southwest For. Range Exp. Stn. 1979, PSW-35, 514–523. [Google Scholar]
- Yang, X. Structural quality in waterfront green space of Shaoyang City by scenic beauty evaluation. Asian J. Chem. 2014, 26, 5644–5648. [Google Scholar] [CrossRef]
- Brown, T.C. Modeling Forest Scenic Beauty: Concepts and Application to Ponderosa Pine; US Department of Agriculture, Forest Service: Washington, DC, USA, 1984. [Google Scholar]
- Frank, S.; Fürst, C.; Koschke, L.; Witt, A.; Makeschin, F. Assessment of landscape aesthetics—Validation of a landscape metrics-based assessment by visual estimation of the scenic beauty. Ecol. Indic. 2013, 32, 222–231. [Google Scholar] [CrossRef]
- Jia, H.; Luo, P.; Yang, H.; Luo, C.; Li, H.; Wu, S.; Cheng, Y.; Huang, Y.; Xie, W. Exploring the Relationship between Forest Scenic Beauty with Color Index and Ecological Integrity: Case Study of Jiuzhaigou and Giant Panda National Park in Sichuan, China. Forests 2022, 13, 1883. [Google Scholar] [CrossRef]
- Daniel, T.C.; Meitner, M.M. Representational validity of landscape visualizations: The effects of graphical realism on perceived scenic beauty of forest vistas. J. Environ. Psychol. 2001, 21, 61–72. [Google Scholar] [CrossRef]
- Karjalainen, E.; Tyrvainen, L. Visualization in forest landscape preference research: A Finnish perspective. Landsc. Urban Plan. 2002, 59, 13–28. [Google Scholar] [CrossRef]
- Bell, S. Elements of Visual Design in the Landscape; Routledge: Oxfordshire, UK, 2019. [Google Scholar]
- Panagopoulos, T. Linking forestry, sustainability and aesthetics. Ecol. Econ. 2009, 68, 2485–2489. [Google Scholar] [CrossRef]
- Li, X.Y.; Qi, T.; Zhang, G.Q.; Zhao, C. A review of visual landscape impact assessment at home and abroad. J. Cap. Norm. Univ. (Nat. Sci. Ed.) Beijing China 2017, 38, 62–69. [Google Scholar]
- Bátori, Z.; Csiky, J.; Farkas, T.; Vojtkó, E.A.; Erdős, L.; Kovács, D.; Wirth, T.; Körmöczi, L.; Vojtkó, A. The conservation value of karst dolines for vascular plants in woodland habitats of Hungary: Refugia and climate change. Int. J. Speleol. 2014, 43, 15–26. [Google Scholar] [CrossRef]
- Sun, X.; Tan, X.Y.; Chen, K.L.; Song, S.; Zhu, X.; Hou, D. Quantifying landscape-metrics impacts on urban green-spaces and water-bodies cooling effect: The study of Nanjing, China. Urban For. Urban Green. 2020, 55, 126838. [Google Scholar] [CrossRef]
- Dinkov, D.; Vatseva, R. 3D modelling and visualization for landscape simulation. In Proceedings of the 6th International Conference on Cartography and GIS, Albena, Bulgaria, 13–17 June 2016; pp. 13–17. [Google Scholar]
- Wu, X.Q.; Mou, S.C.; Kong, L.L. GIS Technology-Based Analysis of Dynamic and Static Sight Lines in Mountain Parks—A Case Study of Viewpoint Selection at the Top of Qixia Mountain Tiger Mountain; China Society of Urban Planning, Chengdu Municipal People’s Government: Chengdu, China, 2021; pp. 374–387. [Google Scholar]
- Zhang, T.Y.; Zhang, S.R.; Wang, Y.J.; Yu, H.; Ju, H.; Xue, H. Selection of the Most Scenic Viewpoints on an Island Based on Space-Time Perception: The Case of Nan’ao Island, China. Int. J. Environ. Res. Public Health 2022, 19, 1309. [Google Scholar] [CrossRef] [PubMed]
- Ma, K.; Tang, X.L.; Wang, Y.W.; Ren, Y.; Chen, Y. Planning and optimization of tour routes in small-scale hilly mountain scenery. J. Nanjing For. Univ. (Nat. Sci. Ed.) Nanjing China 2020, 44, 163–170. [Google Scholar]
- Yuan, L.; Fu, D. Analyze of viewing distance of landscape in Suzhou classical garden: The cases of Humble Administrator’s Garden. J. Shanghai Jiaotong Univ.-Agric. Sci. Shanghai China 2010, 28, 237–247. [Google Scholar]
- Yuan, L.Y. A Study on the Sight Distance of Classical Gardens in Suzhou. Master’s Thesis, Shanghai Jiaotong University, Shanghai, China, 2010. [Google Scholar]
- Appleton, J. Landscape evaluation: The theoretical vacuum. Trans. Inst. Br. Geogr. 1975, 66, 120–123. [Google Scholar] [CrossRef]
- Gobster, P.H. An ecological aesthetic for forest landscape management. Landsc. J. 1999, 18, 54–64. [Google Scholar] [CrossRef]
- Wang, Z. Research on Landscape Color Evaluation and Optimal Management Methods of Landscape Forest Based on Tourists’ Preferences. Ph.D. Thesis, Nanjing Forestry University, Nanjing, China, 2021. [Google Scholar]
- Yu, K.J. A Preliminary Study on Landscape Evaluation Methods in Chinese Landscape Areas; China Forestry Publishing House: Beijing, China, 1991. [Google Scholar]
- Anderson, L.M. Land use designations affect perception of scenic beauty in forest landscapes. For. Sci. 1981, 27, 392–400. [Google Scholar]
- Arthur, L.M. Predicting scenic beauty of forest environments: Some empirical tests. For. Sci. 1977, 23, 151–160. [Google Scholar]
- Wang, X.G. Research on Autumn Landscape Quality Evaluation and Forest Color Composition in Southwest Zhejiang Mountain Forests. Master’s Thesis, Central South University of Forestry Science and Technology, Changsha, China, 2019. [Google Scholar]
- Cui, Y. Research on Generic Evaluation Index System and Quantitative Evaluation Techniques for Landscape Quality within Urban Forest. Master’s Thesis, Beijing Forestry University, Beijing, China, 2020. [Google Scholar]
- Roberts, D.A.; Ustin, S.L.; Ogunjemiyo, S.; Greenberg, J.; Dobrowski, S.Z.; Chen, J.; Hinckley, T.M. Spectral and structural measures of northwest forest vegetation at leaf to landscape scales. Ecosystems 2004, 7, 545–562. [Google Scholar] [CrossRef]
- Li, M.Y.; Kan, L.R. Theory and Practice of Landscape Forest Survey Planning and Rational Management; China Forestry Press: Beijing, China, 2008; pp. 10–22. [Google Scholar]
- Ouyang, X.Z. A Study on Aesthetic Elevation and Impact on Ecological Tourism of Forest Landscape in Wuyuan County. Ph.D. Thesis, Nanjing Forestry University, Nanjing, China, 2004. [Google Scholar]
- Arne, P. Evaluating structural indices by reversing forest structural analysis. For. Ecol. Manag. 2006, 224, 266–277. [Google Scholar]
- He, H.S. Forest landscape models: Definitions, characterization, and classification. For. Ecol. Manag. 2008, 254, 484–498. [Google Scholar] [CrossRef]
- Zhang, Z.D. Research on Quality Evaluation and Key Technology of Regulation of Low Mountain Landscape Recreation Forest in Beijing. Ph.D. Thesis, Beijing Forestry University, Beijing, China, 2010. [Google Scholar]
- Wang, Z.; Li, M.Y.; Zhang, X.H.; Song, L. Modeling the scenic beauty of autumnal tree color at the landscape scale: A case study of Purple Mountain, Nanjing, China. Urban For. Urban Green. 2020, 47, 123456. [Google Scholar] [CrossRef]
- Urbis, A.; Povilanskas, R.; Šimanauskienė, R.; Taminskas, J. Key aesthetic appeal concepts of coastal dunes and forests on the example of the Curonian Spit (Lithuania). Water 2019, 11, 1193. [Google Scholar] [CrossRef]
- Marques, M.; Juerges, N.; Borges, J.G. Appraisal framework for actor interest and power analysis in forest management Insights from Northern Portugal. For. Policy Econ. 2020, 111, 102049. [Google Scholar] [CrossRef]
- Store, R.; Karjalainen, E.; Haara, A.; Leskinen, P.; Nivala, V. Producing a sensitivity assessment method for visual forest landscapes. Landsc. Urban Plan. 2015, 144, 128–141. [Google Scholar] [CrossRef]
- Jahani, A. Forest landscape aesthetic quality model (FLAQM): A comparative study on landscape modelling using regression analysis and artificial neural networks. J. For. Sci. 2019, 65, 61–69. [Google Scholar] [CrossRef]
- Tyrväinen, L.; Silvennoinen, H.; Kolehmainen, O. Ecological and aesthetic values in urban forest management. Urban For. Urban Green. 2003, 1, 135–149. [Google Scholar] [CrossRef]
- Dudek, T. Influence of selected features of forests on forest landscape aesthetic value–example of SE Poland. J. Environ. Eng. Landsc. Manag. 2018, 26, 275. [Google Scholar] [CrossRef]
- Silvennoinen, H. The beauty of forest scenery and the impact of forestry on the perceived landscape at the forest level. Diss. For. 2017, 242, 86. [Google Scholar]
- Zhao, J. Research on Landscape Design Methods under the Vision of Visual Arts. Ph.D. Thesis, Tianjin University, Tianjin, China, 2014. [Google Scholar]
- Liao, W.; Nogami, K. A fuzzy-logic-based expert system for near-view scenic beauty evaluation of hinoki forest. J. For. Res. 2000, 5, 139–144. [Google Scholar] [CrossRef]
- Urbis, A.; Povilanskas, R.; Jurkus, E.; Taminskas, J.; Urbis, D. GIS-Based aesthetic appraisal of short-range viewsheds of coastal dune and forest landscapes. Forests 2021, 12, 1534. [Google Scholar] [CrossRef]
- Gobster, P.H.; Weber, E.; Floress, K.M.; Schneider, I.E.; Haines, A.L.; Arnberger, A. Place, loss, and landowner response to the restoration of a rapidly changing forest landscape. Landsc. Urban Plan. 2022, 222, 104382. [Google Scholar] [CrossRef]







| Influencing Factors | Characteristic Description |
|---|---|
| Elevation | Plants have vertical distribution that varies with altitude, visibility at different altitudes is different, and the visual field space expands with the increase in altitude [38]. |
| Surface Runoff | Water is the most important element of plant life. The existence of streams can not only adjust the microclimate and improve the comfort of the environment but also enhance the aesthetic features of the landscape [39]. |
| Slope | According to the International Geographical Union, flat slopes, slight slopes, gentle slopes, and slopes of 0–15° are regarded as the best slopes for sightseeing [40,41]. |
| Aspect | To avoid direct sunlight and obtain the best viewing angle, the true north direction is taken as 0, and the value of 0–360° is taken in the clockwise direction; the best slope aspects are 315°–360° and 30°–45° [42,43]. |
| Distance from Road | Tourists prefer a flat area with a certain space. The best viewing distance for plants is 1 to 2 times the height of the plants, and 20 to 30 m from the road is the best viewing distance for scenic spots and surrounding scenery [44,45]. Therefore, it is best to choose a viewing point within 25 m of the road. |
| Sample | Slope | Aspect | Elevation | Depression | Average DBH | Average Tree Height | Ratio of Colored-Leaved Tree Species | Fallen Leaf Coverage |
|---|---|---|---|---|---|---|---|---|
| 1 | 14 | 354 | 127 | 0.75 | 25 | 17.3 | 0.98 | 0.85 |
| 2 | 6 | 41 | 127 | 0.74 | 25 | 17.5 | 0.98 | 0.83 |
| 3 | 8 | 35 | 145 | 0.45 | 16 | 8.8 | 0.95 | 0.83 |
| 4 | 7 | 318 | 202 | 0.65 | 18 | 9.6 | 0.9 | 0.85 |
| 5 | 15 | 41 | 252 | 0.95 | 18 | 10.2 | 0.98 | 0.82 |
| 6 | 8 | 315 | 205 | 0.85 | 18 | 9.8 | 0.95 | 0.65 |
| 7 | 3 | 336 | 177 | 0.25 | 12 | 7.3 | 0.5 | 0.53 |
| 8 | 12 | 31 | 174 | 0.45 | 10 | 3.3 | 0.23 | 0.33 |
| 9 | 11 | 327 | 137 | 0.00 | 6 | 2.3 | 0 | 0.08 |
| 10 | 13 | 32 | 135 | 0.35 | 16 | 8.3 | 0.1 | 0.05 |
| 11 | 8 | 316 | 150 | 0.85 | 20 | 12.4 | 0.89 | 0.93 |
| 12 | 12 | 44 | 89 | 0.65 | 16 | 8.4 | 0.33 | 0.43 |
| 13 | 7 | 36 | 195 | 0.75 | 15 | 7.6 | 0.13 | 0.73 |
| 14 | 13 | 35 | 172 | 0.80 | 14 | 6.6 | 0.73 | 0.56 |
| 15 | 15 | 35 | 105 | 0.95 | 18 | 9.8 | 0.88 | 0.85 |
| 16 | 15 | 42 | 95 | 0.80 | 15 | 7.6 | 0.95 | 0.91 |
| 17 | 8 | 359 | 91 | 0.15 | 6 | 2.1 | 0.33 | 0.13 |
| 18 | 14 | 39 | 110 | 0.75 | 16 | 9.3 | 0.84 | 0.81 |
| 19 | 8 | 360 | 111 | 0.45 | 12 | 4.9 | 0.75 | 0.83 |
| 20 | 8 | 31 | 119 | 0.80 | 25 | 18.2 | 0.96 | 0.85 |
| 21 | 12 | 341 | 56 | 0.85 | 16 | 8.3 | 0.98 | 0.88 |
| 22 | 3 | 32 | 87 | 0.75 | 13 | 6.2 | 0.83 | 0.85 |
| 23 | 10 | 318 | 37 | 0.78 | 20 | 11.3 | 0.23 | 0.43 |
| 24 | 13 | 45 | 62 | 0.90 | 8 | 2.8 | 0.86 | 083 |
| 25 | 9 | 359 | 81 | 0.75 | 25 | 17.9 | 0.15 | 0.08 |
| 26 | 5 | 337 | 125 | 0.65 | 14 | 7.3 | 0.23 | 0.68 |
| 27 | 7 | 42 | 137 | 0.80 | 18 | 9.3 | 0.86 | 0.86 |
| 28 | 5 | 45 | 143 | 0.65 | 12 | 4.5 | 0.22 | 0.35 |
| 29 | 15 | 32 | 143 | 0.85 | 18 | 10.4 | 0.95 | 0.86 |
| 30 | 13 | 38 | 124 | 0.85 | 16 | 9.1 | 0.93 | 0.84 |
| 31 | 10 | 356 | 63 | 0.15 | 0 | 0 | 0 | 0 |
| 32 | 8 | 346 | 37 | 0.55 | 18 | 9.1 | 0.85 | 0.91 |
| 33 | 8 | 44 | 29 | 0.95 | 25 | 17.6 | 0.97 | 0.82 |
| 34 | 13 | 337 | 24 | 0.45 | 16 | 8.7 | 0.48 | 0.76 |
| 35 | 2 | 350 | 47 | 0.65 | 20 | 11.7 | 0.28 | 0.58 |
| 36 | 10 | 358 | 29 | 0.15 | 0 | 0 | 0.53 | 0.84 |
| 37 | 15 | 39 | 34 | 0.80 | 18 | 10.3 | 0.33 | 0.45 |
| 38 | 13 | 38 | 76 | 0.35 | 14 | 7.1 | 0.13 | 0.11 |
| 39 | 9 | 42 | 47 | 0.75 | 18 | 11.8 | 0.5 | 0.6 |
| 40 | 9 | 42 | 74 | 0.95 | 16 | 7.9 | 0.83 | 0.56 |
| 41 | 13 | 44 | 80 | 0.45 | 10 | 4.1 | 0.18 | 0.12 |
| 42 | 14 | 36 | 130 | 0.25 | 18 | 8.8 | 0.56 | 0.04 |
| 43 | 12 | 31 | 123 | 0.45 | 13 | 7.3 | 0.18 | 0.24 |
| 44 | 9 | 330 | 109 | 0.80 | 15 | 7.6 | 0.56 | 0.41 |
| 45 | 13 | 332 | 114 | 0.55 | 12 | 5.1 | 0.86 | 0.46 |
| 46 | 12 | 335 | 133 | 0.50 | 25 | 17.5 | 0.96 | 0.7 |
| 47 | 12 | 45 | 119 | 0.45 | 14 | 6.6 | 0.58 | 0.43 |
| 48 | 12 | 37 | 120 | 0.80 | 18 | 11 | 0.32 | 0.35 |
| 49 | 13 | 43 | 69 | 0.35 | 8 | 2.4 | 0.88 | 0.51 |
| 50 | 11 | 45 | 79 | 0.55 | 16 | 8.7 | 0.89 | 0.83 |
| Landscape Elements | Grading Criteria | Scores |
|---|---|---|
| Average DBH | ≥20 cm 15~20 cm ≤15 cm | 3 2 1 |
| Dominant Color of Leaves | Brown, gray, green Yellow-green, yellow-brown Red, yellow | 3 2 1 |
| Trunk Shape | Straight General Bent | 3 2 1 |
| Ratio of Colored-Leaved Tree Species | ≥80% 30%~80% ≤30% | 3 2 1 |
| Canopy Width | Canopy width/tree height ≥ 0.3 Canopy width/tree height 0.2~0.3 Canopy width/tree height ≤0.2 | 3 2 1 |
| Fallen Leaf Coverage | ≥80% 30%~80% ≤30% | 3 2 1 |
| Landscape Elements | Grading Criteria | Scores |
|---|---|---|
| Terrain Change | No change Slight change Significant change | 3 2 1 |
| Forest Coverage | Forest coverage ≥ 0.8 Forest coverage 0.5~0.8 Forest coverage ≤ 0.5 | 3 2 1 |
| Landscape Composition | Composed of trees, shrubs, and grasses; multi-layer, unevenly aged forest with dense clusters of colored-leaved trees Composed of trees and shrubs; multi-layer, unevenly aged forest with scattered distribution of colored-leaved trees Single-layer, evenly aged forest or non-forest land | 3 2 1 |
| Landscape Contrast | Distinct differences in forest color, obvious contrast of tree shades, palmate-shaped or triangular-shaped leaves, good visual effect Small differences in forest color, medium degree of shade contrast, elliptical-shaped or oval-shaped leaves, general visual effect No difference in forest color, no shade contrast, needle-shaped or lance-shaped leaves, poor visual effect | 3 2 1 |
| Condition of Human Landscape | National or provincial cultural relics protection units, no dead trees or bushes around, no weeds, no debris and rotten bricks, etc. General monuments or buildings, surroundings without dead trees and bushes, weeds, debris, or rotten bricks Buildings in disrepair, surroundings with dead bushes, weeds, debris, and rotten bricks | 3 2 1 |
| Recreation Frequency | Low recreation frequency, no runners, picnic campers, scenery viewers, etc. Medium recreation frequency, scattered distribution of runners, picnic campers, scenery viewers, etc. High recreation frequency, dense distribution of runners, picnic campers, scenery viewers, etc. | 3 2 1 |
| Landscape Elements | Average DBH | Dominant Color of Leaves | Trunk Shape | Ratio of Colored-Leaved Tree Species | Canopy Width | Fallen Leaf Coverage | |
|---|---|---|---|---|---|---|---|
| (Ground Perspective) | Person Correlation | 0.405 * | −0.681 * | 0.233 | 0.771 ** | 0.702 ** | 0.721 ** |
| Landscape Elements | Terrain Change | Forest Coverage | Landscape Composition | Landscape Contrast | Condition of Human Landscape | Recreation Frequency | |
|---|---|---|---|---|---|---|---|
| (Aerial Perspective) | Person Correlation | −0.475 * | 0.468 * | 0.534 ** | 0.724 ** | 0.775 ** | 0.319 |
| Evaluation Model | R2 | F | p |
|---|---|---|---|
| 0.629 | 6.448 | 0.000 | |
| 0.740 | 10.811 | 0.000 |
Disclaimer/Publisher’s Note: The statements, opinions and data contained in all publications are solely those of the individual author(s) and contributor(s) and not of MDPI and/or the editor(s). MDPI and/or the editor(s) disclaim responsibility for any injury to people or property resulting from any ideas, methods, instructions or products referred to in the content. |
© 2023 by the authors. Licensee MDPI, Basel, Switzerland. This article is an open access article distributed under the terms and conditions of the Creative Commons Attribution (CC BY) license (https://creativecommons.org/licenses/by/4.0/).
Share and Cite
Yang, C.; Li, M.-Y.; Li, T.; Ren, F.; Li, D.-P.; Chen, L.-A. Scenic Beauty Evaluation of Forests with Autumn-Colored Leaves from Aerial and Ground Perspectives: A Case Study in Qixia Mountain in Nanjing, China. Forests 2023, 14, 542. https://doi.org/10.3390/f14030542
Yang C, Li M-Y, Li T, Ren F, Li D-P, Chen L-A. Scenic Beauty Evaluation of Forests with Autumn-Colored Leaves from Aerial and Ground Perspectives: A Case Study in Qixia Mountain in Nanjing, China. Forests. 2023; 14(3):542. https://doi.org/10.3390/f14030542
Chicago/Turabian StyleYang, Ce, Ming-Yang Li, Tao Li, Fang Ren, Deng-Pan Li, and Liu-An Chen. 2023. "Scenic Beauty Evaluation of Forests with Autumn-Colored Leaves from Aerial and Ground Perspectives: A Case Study in Qixia Mountain in Nanjing, China" Forests 14, no. 3: 542. https://doi.org/10.3390/f14030542
APA StyleYang, C., Li, M.-Y., Li, T., Ren, F., Li, D.-P., & Chen, L.-A. (2023). Scenic Beauty Evaluation of Forests with Autumn-Colored Leaves from Aerial and Ground Perspectives: A Case Study in Qixia Mountain in Nanjing, China. Forests, 14(3), 542. https://doi.org/10.3390/f14030542

