Studies on Pollen Morphology, Pollen Vitality and Preservation Methods of Gleditsia sinensis Lam. (Fabaceae)
Abstract
1. Introduction
2. Materials and Methods
2.1. Study Site
2.2. Observation of Male Single Flower Flowering Dynamic Process
2.3. Pollen Morphology Observation
2.3.1. Light Microscopic Studies
2.3.2. Scanning Electron Microscopy
2.4. Study on Methods for Determining Pollen Viability
2.4.1. In Vitro Germination of G. sinensis
The Effects of Different Medium Components on the In Vitro Germination of G. sinensis
Screening of Pollen Liquid Medium
Effect of Incubation Time on The In Vitro Germination Rate
2.4.2. Pollen Viability by Dyeing Methods
2.5. Study on The Pollen Preservation Method of G. sinensis
2.5.1. Material Selection for Preservation
2.5.2. Pollen Storage Conditions
2.6. Statistical Analysis of Data
3. Results
3.1. Flowering Dynamics Observation of Male Flower
3.2. Pollen Grain Morphological Characteristics
3.3. Research on the Method of Pollen Vitality Determination
3.3.1. In Vitro Germination Method to Determine the Pollen Vitality
Effect of Different Medium Components on In Vitro Germination
Selection of Liquid Culture Medium Formula
In Vitro Germination Rate of Different Culture Durations
3.3.2. Pollen Vitality of G. sinensis Measured by Four Different Staining Methods
3.4. Pollen Preservation Method for G. sinensis
3.4.1. Effect of Pollens at Different Flowering Stages on In Vitro Germination Rate
3.4.2. Short-Term Preservation of Pollen
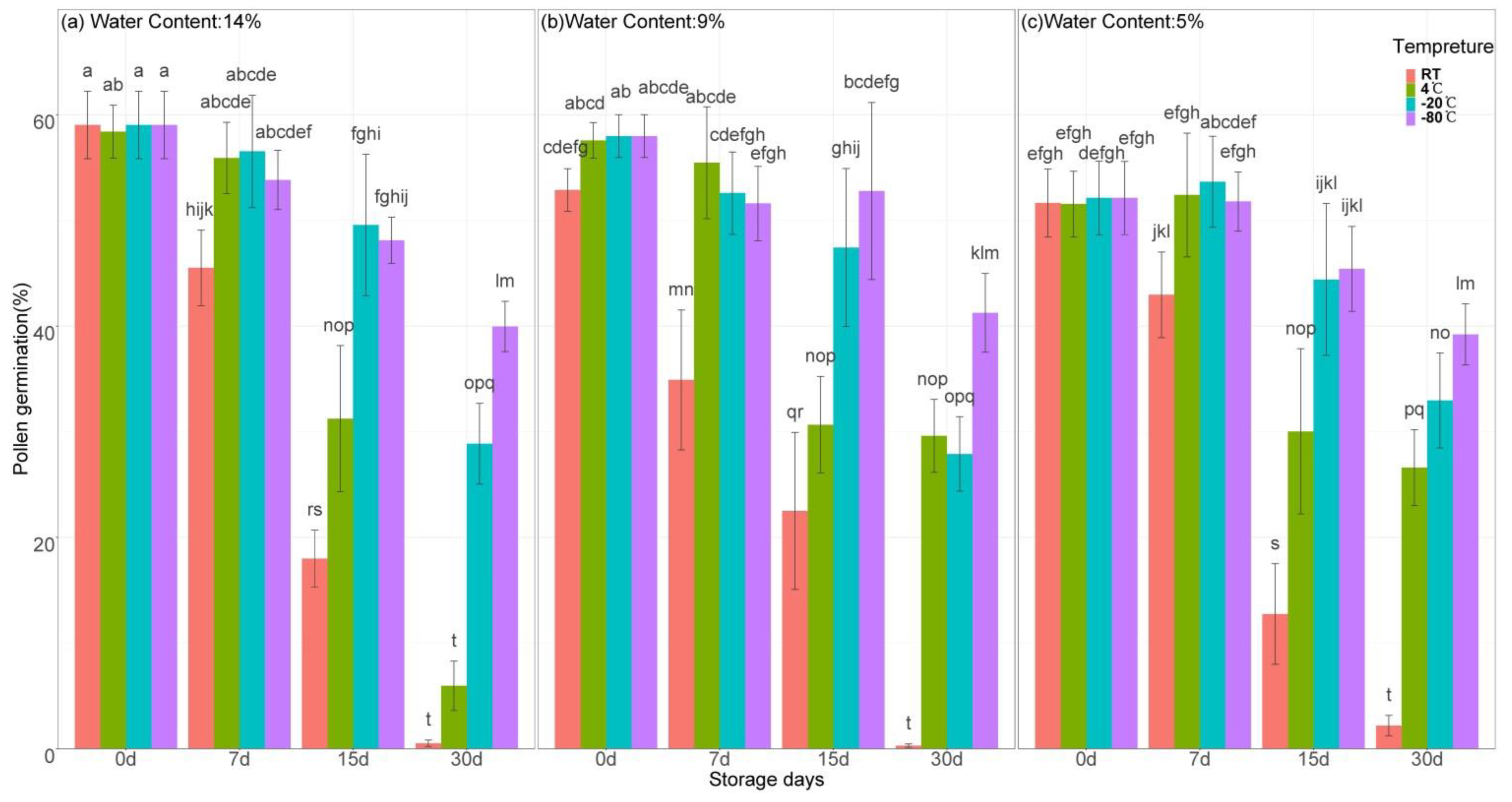
Effect of Pollen Water Content on In Vitro Germination
Effect of Storage Temperature on In Vitro Germination
Effect of Storage Time on In Vitro Germination
4. Discussion
4.1. Pollen Morphological Characteristics of G. sinensis
4.2. Methods for the Determination of Pollen Viability
4.3. Pollen Preservation of G. sinensis
5. Conclusions
Author Contributions
Funding
Data Availability Statement
Acknowledgments
Conflicts of Interest
References
- Boavida, L.C.; Vieira, A.M.; Becker, J.D.; Feijo, J.A. Gametophyte Interaction and Sexual Reproduction: How Plants Make a Zygote. Int. J. Dev. Biol. 2005, 49, 615–632. [Google Scholar] [CrossRef] [PubMed]
- Jiang, Y.; Lahlali, R.; Karunakaran, C.; Warkentin, T.D.; Davis, A.R.; Bueckert, R.A. Pollen, Ovules, and Pollination in Pea: Success, Failure, and Resilience in Heat: Heat Stress and Reproduction in Pea. Plant Cell Environ. 2019, 42, 354–372. [Google Scholar] [CrossRef]
- Fan, Y.-F.; Jiang, L.; Gong, H.-Q.; Liu, C.-M. Sexual Reproduction in Higher Plants I: Fertilization and the Initiation of Zygotic Program. J. Integr. Plant Biol. 2008, 50, 860–867. [Google Scholar] [CrossRef] [PubMed]
- Aloisi, I.; Distefano, G.; Antognoni, F.; Potente, G.; Parrotta, L.; Faleri, C.; Gentile, A.; Bennici, S.; Mareri, L.; Cai, G.; et al. Temperature-Dependent Compatible and Incompatible Pollen-Style Interactions in Citrus Clementina Hort. Ex Tan. Show Different Transglutaminase Features and Polyamine Pattern. Front. Plant Sci. 2020, 11, 1018. [Google Scholar] [CrossRef] [PubMed]
- Katano, K.; Oi, T.; Suzuki, N. Failure of Pollen Attachment to the Stigma Triggers Elongation of Stigmatic Papillae in Arabidopsis Thaliana. Front. Plant Sci. 2020, 11, 989. [Google Scholar] [CrossRef]
- Mao, X.; Fu, X.-X.; Huang, P.; Chen, X.-L.; Qu, Y.-Q. Heterodichogamy, Pollen Viability, and Seed Set in a Population of Polyploidy Cyclocarya Paliurus (Batal) Iljinskaja (Juglandaceae). Forests 2019, 10, 347. [Google Scholar] [CrossRef]
- Delph, L.F.; Mutikainen, P. Testing Why the Sex of the Maternal Parent Affects Seeding Survival in a Gynodioecious Species. Evolution 2003, 57, 231. [Google Scholar] [CrossRef]
- Yao, W.; Li, C.; Lin, S.; Wang, J.; Fan, T.; Zhao, W. The Structures of Floral Organs and Reproductive Characteristics of Ornamental Bamboo Species, Pleioblastus Pygmaeus. Hortic. Plant J. 2022, S2468014122000553. [Google Scholar] [CrossRef]
- Attique, R.; Zafar, M.; Ahmad, M.; Zafar, S.; Ghufran, M.A.; Mustafa, M.R.U.; Yaseen, G.; Ahmad, L.; Sultana, S.; Nabila; et al. Pollen Morphology of Selected Melliferous Plants and Its Taxonomic Implications Using Microscopy. Microsc. Res. Tech. 2022, 85, 2361–2380. [Google Scholar] [CrossRef]
- Kumari, M.; Prasad, A.; Rahman, L.; Mathur, A.K.; Mathur, A. In Vitro Germination, Storage and Microscopic Studies of Pollen Grains of Four Ocimum Species. Ind. Crops Prod. 2022, 177, 114445. [Google Scholar] [CrossRef]
- Wani, M.S.; Hamid, M.; Tantray, Y.R.; Gupta, R.C.; Munshi, A.H.; Singh, V. In Vitro Pollen Germination of Betula Utilis, a Typical Tree Line Species in Himalayas. South Afr. J. Bot. 2020, 131, 214–221. [Google Scholar] [CrossRef]
- Althiab-Almasaud, R.; Chen, Y.; Maza, E.; Djari, A.; Frasse, P.; Mollet, J.; Mazars, C.; Jamet, E.; Chervin, C. Ethylene Signaling Modulates Tomato Pollen Tube Growth through Modifications of Cell Wall Remodeling and Calcium Gradient. Plant J. 2021, 107, 893–908. [Google Scholar] [CrossRef] [PubMed]
- Liu, J.; Liu, J.; Zhang, X.; Wei, H.; Ren, J.; Peng, C.; Cheng, Y. Pollen Tube in Hazel Grows Intermittently: Role of Ca2+ and Expression of Auto-Inhibited Ca2+ Pump. Sci. Hortic. 2021, 282, 110032. [Google Scholar] [CrossRef]
- Dumais, J. Mechanics and Hydraulics of Pollen Tube Growth. New Phytol. 2021, 232, 1549–1565. [Google Scholar] [CrossRef] [PubMed]
- Jeong, N.-R.; Park, K.-Y. Rose Pollen Management Methods to Improve Productivity. Agronomy 2022, 12, 1285. [Google Scholar] [CrossRef]
- Lan, Y.P.; Gu, W.C. Geographical Variation of Morphologic Characteristics of Gleditsia sinensis Seeds and Legumes in the North Region. Sci. Silvae Sin. 2006, 42, 47–51. [Google Scholar]
- Li, W.; Lin, F.G.; Zheng, Y.Q.; Li, B. Phenotypic diversity of pods and seeds in natural populations of Gleditsia sinensis in southern China. Chin. J. Plant Ecol. 2013, 37, 61–69. [Google Scholar] [CrossRef]
- Yu, J.; Xian, Y.; Li, G.; Wang, D.; Zhou, H.; Wang, X. One New Flavanocoumarin from the Thorns of Gleditsia Sinensis. Nat. Prod. Res. 2017, 31, 275–280. [Google Scholar] [CrossRef]
- Lan, Y.P.; Zhou, L.D.; Li, S.Y.; Cao, Q.C.; Lan, W.Z. Advances in Research of Gleditsia and Its Prospect of Industrializational Development. World For. Res. 2004, 6, 17–21. [Google Scholar] [CrossRef]
- Cerino, M.C.; Castro, D.C.; Richard, G.A.; Exner, E.L.; Pensiero, J.F. Functional Dioecy in Gleditsia Amorphoides (Fabaceae). Aust. J. Bot. 2018, 66, 85. [Google Scholar] [CrossRef]
- Li, J.J.; Ye, C.L.; Shang, X.C.; Wang, J.; Zhang, B.; Wang, Z.Z.; Zhang, G.T. Study on breeding and pollination characteristics of Gleditsia sinensis. China J. China Mater. Med. 2018, 43, 4831–4836. [Google Scholar] [CrossRef]
- Stehlik, I.; Friedman, J.; Barrett, S.C.H. Environmental Influence on Primary Sex Ratio in a Dioecious Plant. Proc. Natl. Acad. Sci. USA 2008, 105, 10847–10852. [Google Scholar] [CrossRef] [PubMed]
- Hultine, K.R.; Grady, K.C.; Wood, T.E.; Shuster, S.M.; Stella, J.C.; Whitham, T.G. Climate Change Perils for Dioecious Plant Species. Nat. Plants 2016, 2, 16109. [Google Scholar] [CrossRef] [PubMed]
- Li, B.H.; Zhang, W.Q.; Zhao, L.Q.; Yan, F.Y.; Zheng, Q.; Zheng, J.W.; Geng, Y.X. The present situation and industrial development strategy of Gleditsis microphylla resources in Hebei province. For. Ecol. Sci. 2020, 35, 432–435. [Google Scholar] [CrossRef]
- Fan, D.C.; Zhang, S.A.; Liu, Y.; Luo, Y. Genetic Diversity and Fingerprints of Glediysia sinensis Germplasms Based on RSAP. J. Henan Agric. Sci. 2017, 46, 103–107. [Google Scholar] [CrossRef]
- Yu, Z.Y.; Yan, H.B.; Zhang, H.F.; Yang, X.Q. Effect of different salt stresses on seed germination and seedling physiological characteristics of Gleditsia sinensis. J. Northeast. Agric. Univ. 2020, 51, 28–35. [Google Scholar] [CrossRef]
- Ma, B. Selection for Plant Species during Ecological Rehabilitation in Limestone Mountains of Shanxi; Shanxi Normal University: Xi’an, China, 2020. [Google Scholar] [CrossRef]
- Wang, L. Study on the Reproductive Characteristics of Gleditsia Officinalis; Shandong University of Chinese Medicine: Jinan, China, 2020. [Google Scholar] [CrossRef]
- Fernandez, R.D.; Ceballos, S.J.; Malizia, A.; Aragón, R. Gleditsia Triacanthos (Fabaceae) in Argentina: A Review of Its Invasion. Aust. J. Bot. 2017, 65, 203. [Google Scholar] [CrossRef]
- Wang, L.; Liu, Z.Y.; Zhou, Y.; Liu, Q.; Zhang, Y.Q. Observation and Analysis on Flowering Characteristics of Zaojia (Gleditsia Plant). J. Shandong Univ. TCM 2021, 45, 388–392. [Google Scholar] [CrossRef]
- Reitsma, T. Size modification of recent pollen grains under different treatments. Rev. Palaeobot. Palynol. 1969, 9, 175–202. [Google Scholar] [CrossRef]
- Raynal, A.; Raynal, J. Une techinique de préparation des graines de pollen fragiles. Adansonia 1971, 11, 77–79. [Google Scholar]
- Kisser, J. Bemerkungen zum Einschluß in Glyzerin-gelatine. Ztschr. f. wiss. Mikrosk. Technology 1934, 51, 372–374. [Google Scholar]
- Erdtman, G. Pollen Morphology and Plant Taxonomy: An Introduction to Palynology (Vol. 4); Almqvist & Wiksell: Stockholm, Sweden, 1952. [Google Scholar]
- Halbritter, H.; Ulrich, S.; Grímsson, F.; Weber, M.; Zetter, R.; Hesse, M.; Buchner, R.; Svojtka, M.; Frosch-Radivo, A.; Halbritter, H.; et al. Pollen Morphology and Ultrastructure. In Illustrated Pollen Terminology; Springer: Berlin/Heidelberg, Germany, 2018. [Google Scholar]
- Alexander, M.P. Differential Staining of Aborted and Nonaborted Pollen. Stain. Technol. 1969, 44, 117–122. [Google Scholar] [CrossRef] [PubMed]
- Zhang, C.Y.; Geng, X.M. Comparative study on methods for determining pollen viability of six Rhododendron species. J. Plant Sci. 2012, 30, 92–99. [Google Scholar] [CrossRef]
- Luo, S.; Zhang, K.; Zhong, W.-P.; Chen, P.; Fan, X.-M.; Yuan, D.-Y. Optimization of in Vitro Pollen Germination and Pollen Viability Tests for Castanea Mollissima and Castanea Henryi. Sci. Hortic. 2020, 271, 109481. [Google Scholar] [CrossRef]
- Khan, A.; Ahmad, M.; Zafar, S.; Abbas, Q.; Arfan, M.; Zafar, M.; Sultana, S.; Ullah, S.A.; Khan, S.; Akhtar, A.; et al. Light and Scanning Electron Microscopic Observation of Palynological Characteristics in Spineless Astragalus L. (Fabaceae) and Its Taxonomic Significance. Microsc. Res. Tech. 2022, 85, 2409–2427. [Google Scholar] [CrossRef]
- Claxton, F.; Banks, H.; Klitgaard, B.B.; Crane, P.R. Pollen Morphology of Families Quillajaceae and Surianaceae (Fabales). Rev. Palaeobot. Palynol. 2005, 133, 221–233. [Google Scholar] [CrossRef]
- Al-Hakimi, A.S.; Maideen, H.; Saeed, A.A.; Faridah, Q.Z.; Latiff, A. Pollen and Seed Morphology of Justicieae (Ruellioideae, Acanthaceae) of Yemen. Flora 2017, 233, 31–50. [Google Scholar] [CrossRef]
- Lopes, A.C.V.; de Souza, C.N.; Saba, M.D.; Gasparino, E.C. Pollen Morphology of Malvaceae s.l. from Cerrado Forest Fragments: Details of Aperture and Ornamentation in the Pollen Types Definition. Palynology 2022, 46, 1–15. [Google Scholar] [CrossRef]
- Zhang, J.; Huang, D.; Zhao, X.; Hou, X.; Di, D.; Wang, S.; Qian, J.; Sun, P. Pollen Morphology of Different Species of Iris Barbata and Its Systematic Significance with Scanning Electron Microscopy Methods. Microsc. Res. Tech. 2021, 84, 1721–1739. [Google Scholar] [CrossRef]
- Banks, H.; Rudall, P.J. Pollen Structure and Function in Caesalpinioid Legumes. Am. J. Bot. 2016, 103, 423–436. [Google Scholar] [CrossRef]
- Banks, H.; Klitgaard, B.B. Palynological contribution to the systematics of detarioid legumes (Leguminosae: Caesalpinioideae). Adv. Legume Syst. 2000, 9, 79–106. [Google Scholar]
- Lukšić, K.; Zdunić, G.; Mucalo, A.; Marinov, L.; Ranković-Vasić, Z.; Ivanović, J.; Nikolić, D. Microstructure of Croatian Wild Grapevine (Vitis Vinifera Subsp. Sylvestris Gmel Hegi) Pollen Grains Revealed by Scanning Electron Microscopy. Plants 2022, 11, 1479. [Google Scholar] [CrossRef] [PubMed]
- Katifori, E.; Alben, S.; Cerda, E.; Nelson, D.R.; Dumais, J. Foldable Structures and the Natural Design of Pollen Grains. Proc. Natl. Acad. Sci. USA 2010, 107, 7635–7639. [Google Scholar] [CrossRef] [PubMed]
- Alexander, L.W. Optimizing Pollen Germination and Pollen Viability Estimates for Hydrangea Macrophylla, Dichroa Febrifuga, and Their Hybrids. Sci. Hortic. 2019, 246, 244–250. [Google Scholar] [CrossRef]
- Peng, H.-Z.; Jin, Q.-Y.; Ye, H.-L.; Zhu, T.-J. A Novel in Vitro Germination Method Revealed the Influence of Environmental Variance on the Pecan Pollen Viability. Sci. Hortic. 2015, 181, 43–51. [Google Scholar] [CrossRef]
- Ferreira, M.d.S.; Soares, T.L.; Costa, E.M.R.; da Silva, R.L.; de Jesus, O.N.; Junghans, T.G.; Souza, F.V.D. Optimization of Culture Medium for the in Vitro Germination and Histochemical Analysis of Passiflora Spp. Pollen Grains. Sci. Hortic. 2021, 288, 110298. [Google Scholar] [CrossRef]
- Laggoun, F.; Ali, N.; Tourneur, S.; Prudent, G.; Gügi, B.; Kiefer-Meyer, M.-C.; Mareck, A.; Cruz, F.; Yvin, J.-C.; Nguema-Ona, E.; et al. Two Carbohydrate-Based Natural Extracts Stimulate in Vitro Pollen Germination and Pollen Tube Growth of Tomato Under Cold Temperatures. Front. Plant Sci. 2021, 12, 552515. [Google Scholar] [CrossRef]
- Reinders, A. Fuel for the Road—Sugar Transport and Pollen Tube Growth. EXBOT J. 2016, 67, 2121–2123. [Google Scholar] [CrossRef]
- Hirsche, J.; Garc�a Fern�ndez, J.M.; Stabentheiner, E.; Gro�kinsky, D.K.; Roitsch, T. Differential Effects of Carbohydrates on Arabidopsis Pollen Germination. Plant Cell Physiol. 2017, 58, 691–701. [Google Scholar] [CrossRef]
- Fang, K.F.; Du, B.S.; Zhang, Q.; Xing, Y.; Cao, Q.Q.; Qin, L. Boron Deficiency Alters Cytosolic Ca2+ Concentration and Affects the Cell Wall Components of Pollen Tubes in Malus Domestica. Plant Biol J 2019, 21, 343–351. [Google Scholar] [CrossRef]
- Muengkaew, R.; Chaiprasart, P.; Wongsawad, P. Calcium-Boron Addition Promotes Pollen Germination and Fruit Set of Mango. Int. J. Fruit Sci. 2017, 17, 147–158. [Google Scholar] [CrossRef]
- Yang, H.; You, C.; Yang, S.; Zhang, Y.; Yang, F.; Li, X.; Chen, N.; Luo, Y.; Hu, X. The Role of Calcium/Calcium-Dependent Protein Kinases Signal Pathway in Pollen Tube Growth. Front. Plant Sci. 2021, 12, 633293. [Google Scholar] [CrossRef] [PubMed]
- Wang, X.; Wu, Y.; Lombardini, L. In Vitro Viability and Germination of Carya Illinoinensis Pollen under Different Storage Conditions. Sci. Hortic. 2021, 275, 109662. [Google Scholar] [CrossRef]
- Liu, X.; Yin, Y. Effects of Different solid Medium formulations on pollen germination and analysis of Cross compatibility of Miticola Formosa. J. Plant Resour. Environ. 2022, 31, 49–56. [Google Scholar]
- Baloch, M.J.; Lakho, A.R.; Bhutto, H.; Solangi, M.Y. Impact of Sucrose Concentrations on in Vitro Pollen Germination of Okra, Hibiscus Esculentus. Pak. J. Biol. Sci. 2001, 4, 402–403. [Google Scholar] [CrossRef]
- Tushabe, D.; Rosbakh, S. A Compendium of in Vitro Germination Media for Pollen Research. Front. Plant Sci. 2021, 12, 709945. [Google Scholar] [CrossRef]
- Fang, K.; Zhang, W.; Xing, Y.; Zhang, Q.; Yang, L.; Cao, Q.; Qin, L. Boron Toxicity Causes Multiple Effects on Malus Domestica Pollen Tube Growth. Front. Plant Sci. 2016, 7, 208. [Google Scholar] [CrossRef]
- Fragallah, S.; Lin, S.; Li, N.; Ligate, E.; Chen, Y. Effects of Sucrose, Boric Acid, PH, and Incubation Time on in Vitro Germination of Pollen and Tube Growth of Chinese Fir (Cunnighamial Lanceolata L.). Forests 2019, 10, 102. [Google Scholar] [CrossRef]
- Fragallah, S.A.D.A.; Wang, P.; Li, N.; Chen, Y.; Lin, S. Metabolomic Analysis of Pollen Grains with Different Germination Abilities from Two Clones of Chinese Fir (Cunninghamia Lanceolata (Lamb) Hook). Molecules 2018, 23, 3162. [Google Scholar] [CrossRef]
- Zheng, R.H.; Su, S.D.; Xiao, H.; Tian, H.Q. Calcium: A Critical Factor in Pollen Germination and Tube Elongation. Int. J. Mol. Sci. 2019, 12, 420. [Google Scholar] [CrossRef]
- Atlagić, J.; Terzić, S.; Marjanović-Jeromela, A. Staining and Fluorescent Microscopy Methods for Pollen Viability Determination in Sunflower and Other Plant Species. Ind. Crops Prod. 2012, 35, 88–91. [Google Scholar] [CrossRef]
- Wang, Z.; Yin, M.; Creech, D.L.; Yu, C. Microsporogenesis, Pollen Ornamentation, Viability of Stored Taxodium Distichum Var. Distichum Pollen and Its Feasibility for Cross Breeding. Forests 2022, 13, 694. [Google Scholar] [CrossRef]
- D’souza, L. Staining Pollen Tubes in the Styles of Cereals with Cotton Blue; Fixation by Ethanol-Lactic Acid for Enhanced Differentiation. Stain. Technol. 1972, 47, 107–108. [Google Scholar] [CrossRef] [PubMed]
- Rodriguez-Riano, T.; Dafni, A. A New Procedure to Asses Pollen Viability. Sex. Plant Reprod. 2000, 12, 241–244. [Google Scholar] [CrossRef]
- Fu, Q.C.; Wang, J.; Zhang, X.Y.; Liu, C.; Liu, F. Study on Detection Methods for Pollen Viability of Sinojackia sacocarpa L.Q.Luo. Mol. Plant Breed. 2015, 13, 1146–1150. [Google Scholar] [CrossRef]
- Lora, J.; de Oteyza, M.A.P.; Fuentetaja, P.; Hormaza, J.I. Low Temperature Storage and in Vitro Germination of Cherimoya (Annona Cherimola Mill.) Pollen. Sci. Hortic. 2006, 108, 91–94. [Google Scholar] [CrossRef]
- Ćalić, D.; Milojević, J.; Belić, M.; Miletić, R.; Zdravković-Korać, S. Impact of Storage Temperature on Pollen Viability and Germinability of Four Serbian Autochthon Apple Cultivars. Front. Plant Sci. 2021, 12, 709231. [Google Scholar] [CrossRef]
- Iovane, M.; Cirillo, A.; Izzo, L.G.; Di Vaio, C.; Aronne, G. High Temperature and Humidity Affect Pollen Viability and Longevity in Olea europaea L. Agronomy 2021, 12, 1. [Google Scholar] [CrossRef]
- Kulus, D. Managing Plant Genetic Resources Using Low and Ultra-Low Temperature Storage: A Case Study of Tomato. Biodivers Conserv. 2019, 28, 1003–1027. [Google Scholar] [CrossRef]
- Oliver, S.N.; Van Dongen, J.T.; Alfred, S.C.; Mamun, E.A.; Zhao, X.; Saini, H.S.; Fernandes, S.F.; Blanchard, C.L.; Sutton, B.G.; Geigenberger, P.; et al. Cold-Induced Repression of the Rice Anther-Specific Cell Wall Invertase Gene OSINV4 Is Correlated with Sucrose Accumulation and Pollen Sterility. Plant Cell Environ. 2005, 28, 1534–1551. [Google Scholar] [CrossRef]
- Đorđević, M.; Vujović, T.; Cerović, R.; Glišić, I.; Milošević, N.; Marić, S.; Radičević, S.; Fotirić Akšić, M.; Meland, M. In Vitro and In Vivo Performance of Plum (Prunus domestica L.) Pollen from the Anthers Stored at Distinct Temperatures for Different Periods. Horticulturae 2022, 8, 616. [Google Scholar] [CrossRef]
- Wang, L.; Wu, J.; Chen, J.; Fu, D.; Zhang, C.; Cai, C.; Ou, L. A Simple Pollen Collection, Dehydration, and Long-Term Storage Method for Litchi (Litchi Chinensis Sonn.). Sci. Hortic. 2015, 188, 78–83. [Google Scholar] [CrossRef]
- Miler, N.; Wozny, A. Effect of Pollen Genotype, Temperature and Period of Storage on In Vitro Germinability and In Vivo Seed Set in Chrysanthemum—Preliminary Study. Agronomy 2021, 11, 2395. [Google Scholar] [CrossRef]








| Media Type | Control (CK) | Sucrose (%) | Boric Acid (mg/L) | Calcium Chloride (mg/mL) | |||||||||
|---|---|---|---|---|---|---|---|---|---|---|---|---|---|
| Sucrose | 0 | 5 | 10 | 15 | 20 | ||||||||
| Boric acid | 0 | 50 | 100 | 150 | 200 | ||||||||
| Calcium chloride | 0 | 50 | 100 | 150 | 200 | ||||||||
| Distilled water | 100 mL | ||||||||||||
| Levels | Test Factors | ||
|---|---|---|---|
| Sucrose (%) A | Boric Acid (mg/L) B | Calcium Chloride (mg/L) C | |
| 1 | 5 | 50 | 20 |
| 2 | 10 | 100 | 40 |
| 3 | 15 | 150 | 60 |
| Type of Dye Method | Post-Treatment | Judgment Basis of Active Pollen |
|---|---|---|
| TTC | 2 h of dark culture at 37 °C | Red |
| MTT | Stand for 5–10 min | Purple |
| KI-I2 | Observe immediately | Blue |
| Alexander | Observe immediately | cell wall green, protoplast red |
| Combinations | Sucrose (%) A | Boric Acid (mg/L) B | Calcium Chloride (mg/L) C | Empty Column | Pollen Germination Rate |
|---|---|---|---|---|---|
| 1 | S1 | B1 | C1 | 1 | 25.50% ± 0.55% |
| 2 | S1 | B2 | C2 | 2 | 19.65% ± 0.46% |
| 3 | S1 | B3 | C3 | 3 | 19.97% ± 0.22% |
| 4 | S2 | B1 | C2 | 3 | 17.68% ± 0.27% |
| 5 | S2 | B2 | C3 | 1 | 33.36% ± 0.31% |
| 6 | S2 | B3 | C1 | 2 | 23.85% ± 0.36% |
| 7 | S3 | B1 | C3 | 2 | 41.20% ± 0.21% |
| 8 | S3 | B2 | C1 | 3 | 47.40% ± 0.5% |
| 9 | S3 | B3 | C2 | 1 | 29.71% ± 0.27% |
| K1 | 65.12% | 84.38% | 96.75% | 88.57% | |
| K2 | 74.89% | 100.41% | 67.04% | 84.70% | |
| K3 | 118.31% | 73.53% | 94.53% | 85.05% | |
| 1 | 21.71% | 28.13% | 32.25% | 29.52% | |
| 2 | 24.96% | 33.47% | 22.35% | 28.23% | |
| 3 | 39.44% | 24.51% | 31.51% | 28.35% | |
| R | 53.19% | 26.88% | 29.71% | 3.87% | |
| Order of influencing factors | A > C > B | ||||
| Best levels | A3 | B2 | C1 | ||
| Excellent combination | A3 B2 C1 | ||||
| Methods | Pollen Viability ± Standard Error | |
|---|---|---|
| In vitro germination | 65.89% ± 3.41% b | |
| staining | TTC | 36.87% ± 1.80% c |
| Alexander | 90.40% ± 1.54% a | |
| MTT | 68.19% ± 2.09% b |
Disclaimer/Publisher’s Note: The statements, opinions and data contained in all publications are solely those of the individual author(s) and contributor(s) and not of MDPI and/or the editor(s). MDPI and/or the editor(s) disclaim responsibility for any injury to people or property resulting from any ideas, methods, instructions or products referred to in the content. |
© 2023 by the authors. Licensee MDPI, Basel, Switzerland. This article is an open access article distributed under the terms and conditions of the Creative Commons Attribution (CC BY) license (https://creativecommons.org/licenses/by/4.0/).
Share and Cite
Liu, Q.; Yang, J.; Wang, X.; Zhao, Y. Studies on Pollen Morphology, Pollen Vitality and Preservation Methods of Gleditsia sinensis Lam. (Fabaceae). Forests 2023, 14, 243. https://doi.org/10.3390/f14020243
Liu Q, Yang J, Wang X, Zhao Y. Studies on Pollen Morphology, Pollen Vitality and Preservation Methods of Gleditsia sinensis Lam. (Fabaceae). Forests. 2023; 14(2):243. https://doi.org/10.3390/f14020243
Chicago/Turabian StyleLiu, Qiao, Ju Yang, Xiurong Wang, and Yang Zhao. 2023. "Studies on Pollen Morphology, Pollen Vitality and Preservation Methods of Gleditsia sinensis Lam. (Fabaceae)" Forests 14, no. 2: 243. https://doi.org/10.3390/f14020243
APA StyleLiu, Q., Yang, J., Wang, X., & Zhao, Y. (2023). Studies on Pollen Morphology, Pollen Vitality and Preservation Methods of Gleditsia sinensis Lam. (Fabaceae). Forests, 14(2), 243. https://doi.org/10.3390/f14020243
