Physical and Acoustical Properties of Wavy Grain Sycamore Maple (Acer pseudoplatanus L.) Used for Musical Instruments
Abstract
1. Introduction
2. Materials and Methods
2.1. Materials
2.2. Methods
2.2.1. Color Measurement
2.2.2. Anatomical Features Measurement
2.2.3. Determination of Sound Velocity, Dynamic Elastic Moduli and Shear Moduli by Means of Ultrasonic Devices
2.2.4. Statistical Evaluation
3. Results and Discussion
3.1. Anatomical Descriptors of the Sycamore Maple Wood
3.2. Color of Sycamore Maple Wood Related to Anatomical Quality Classes
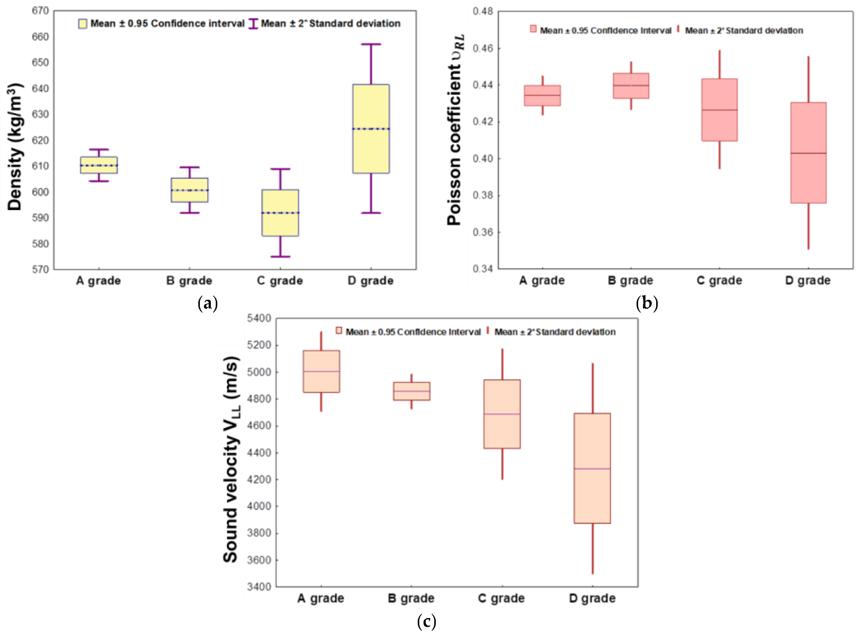
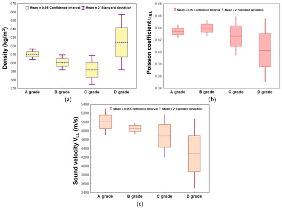
3.3. Acoustic and Elastic Properties of Sycamore Maple Wood
3.4. Statistical Correlations between Physical and Acoustic/Elastic Features
4. Conclusions
- the link between the values of the physical parameters and the acoustic and elastic properties of sycamore maple wood was confirmed, according to the quality classes used by luthiers for musical instruments;
- the Spearman rank-order correlation coefficient between the wavelength and the width of the rings was −0.367 (p = 0.13) and the correlation between the wavelength and the regularity of the rings was −0.075 (p = 0.79). From here it followed that there was no connection between the geometry of the rings and the curly grain. Therefore, the degree of curly grain can only be justified with the wavelength (if the wavelength is small, which means a pronounced undulation, and if the wavelength is large, it means a low degree of curly grain);
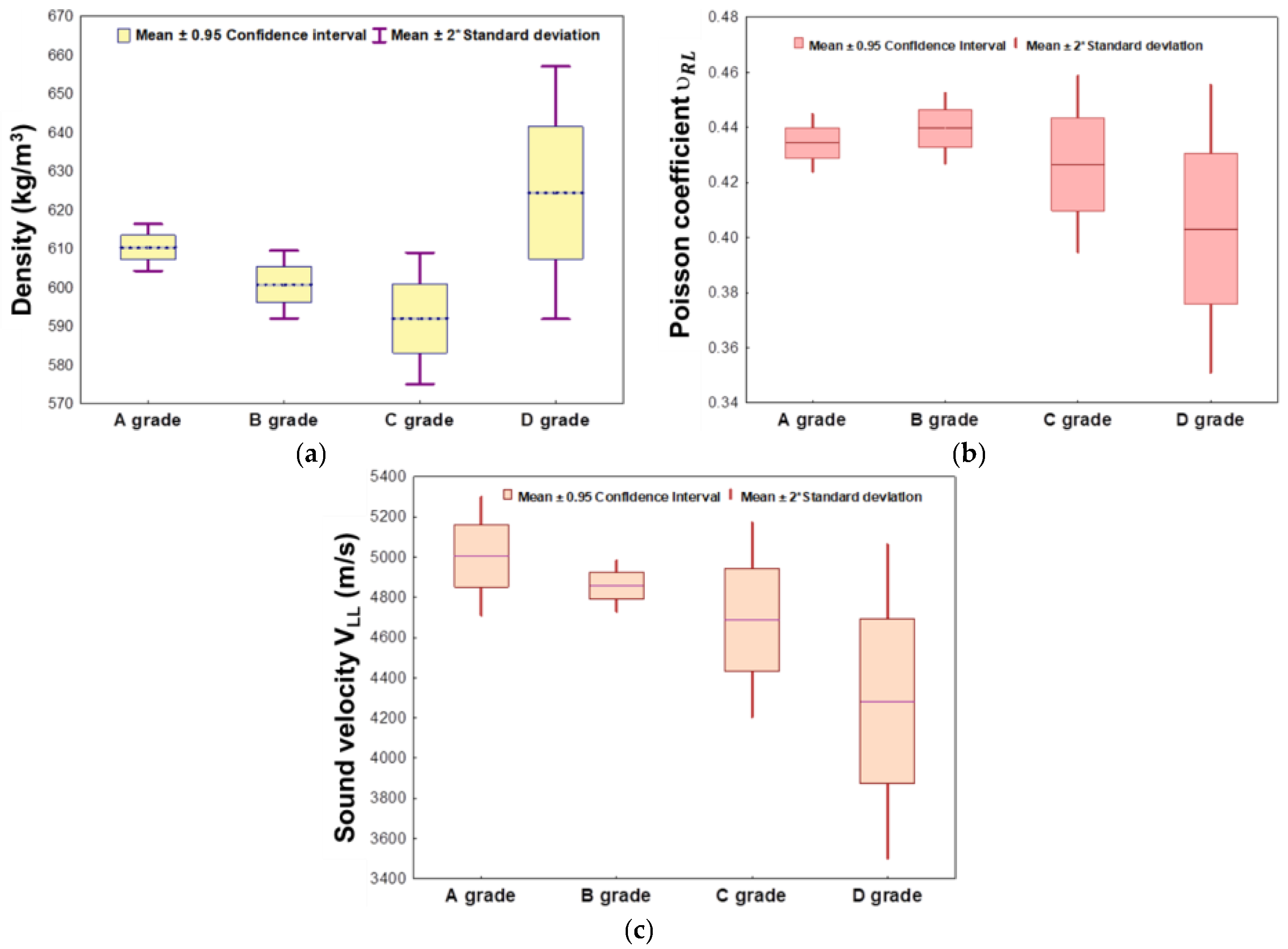
- wood density is the variable that best separates the quality classes of sycamore maple wood samples;
- acoustic properties (sound propagation speed) are not influenced by color parameter, but the redness correlates with elastic properties;
- the closest correlation was observed between the shear modulus and the sound propagation speed in the radial direction ;
- the anisotropy axes, L and R, are divergent in the size of the physical and acoustic features;
- the pitch of the wavy fiber has a contribution of 63% to the magnitude variations of the longitudinal modulus of elasticity ().
Author Contributions
Funding
Institutional Review Board Statement
Informed Consent Statement
Data Availability Statement
Acknowledgments
Conflicts of Interest
References
- Nagyvary, J.; DiVerdi, J.; Owen, N.; Tolley, H.D. Wood used by Stradivari and Guarneri. Nature 2006, 444, 565. [Google Scholar] [CrossRef] [PubMed]
- Tai, H.C.; Li, G.C.; Huang, S.J.; Jhu, C.-R.; Chung, J.-H.; Wang, B.Y.; Hsu, C.-S.; Brandmair, B.; Chung, D.-T.; Chen, H.M. Chemical distinctions between Stradivari’s maple and modern tonewood. Proc. Natl. Acad. Sci. USA 2016, 114, 27–32. [Google Scholar] [CrossRef] [PubMed]
- Stanciu, M.D.; Mihălcică, M.; Dinulică, F.; Nauncef, A.M.; Purdoiu, R.; Lăcătuș, R.; Gliga, G.V. X-ray Imaging and Computed Tomography for the Identification of Geometry and Construction Elements in the Structure of Old Violins. Materials 2021, 14, 5926. [Google Scholar] [CrossRef]
- Sedlar, T.; Šefc, B.; Stojnić, S.; Sinković, T. Wood quality characterization of sycamore maple (Acer pseudoplatanus L.) and its utilization in wood products industries. Croat. J. Eng. 2021, 42, 543–560. [Google Scholar] [CrossRef]
- Sonderegger, W.; Martienssen, A.; Nitsche, C.; Ozyhar, T.; Kaliske, M.; Niemz, P. Investigations on the physical and mechanical behavior of sycamore maple (Acer pseudoplatanus L.). Eur. J. Wood Prod. 2013, 71, 91–99. [Google Scholar] [CrossRef]
- Krajnc, L.; Čufar, K.; Brus, R. Characteristics and geographical distribution of fiddleback figure in wood of Acer pseudoplatanus L in Slovenia. Drv. Ind. 2015, 66, 213–220. [Google Scholar] [CrossRef]
- Quambusch, M.; Bäucker, C.; Haag, V.; Meier-Dinkel, A. Growth performance and wood structure of wavy grain sycamore maple (Acer pseudoplatanus L.) in a progeny trial. Ann. For. Sci. 2021, 78, 15. [Google Scholar] [CrossRef]
- Beals, H.; Davis, T. Figure in Wood—An Illustrated Review; Agricultural Experiment Station, Auburn University: Auburn, AL, USA, 1977; Available online: https://aurora.auburn.edu/handle/11200/2414 (accessed on 6 November 2022).
- Harris, J.M. Spiral Grain and Wave Phenomena in Wood Formation; Springer: New York, NY, USA, 1989. [Google Scholar]
- Savidge, R.A.; Farrar, J.L. Cellular adjustments in the vascular cambium leading to spiral grain formation in conifers. Can. J. Bot. 1984, 62, 2872–2879. [Google Scholar] [CrossRef]
- Binggeli, P. Invasive Woody Plants. 1999. Available online: https://www.cabidigitallibrary.org/doi/10.1079/cabicompendium.2884#REF-DDB--25 (accessed on 30 December 2022).
- Kollmann, F.F.P.; Cồté, W.A., Jr. Principles of Wood Science and Technology, vol I. In Solid Wood; Springer: Berlin/Heidelberg, Germany, 1968. [Google Scholar]
- Spycher, M.; Schwarze, F.W.M.R.; Steiger, R. Assessment of resonance wood quality by comparing its physical and histological properties. Wood Sci. Technol. 2008, 42, 325–342. [Google Scholar] [CrossRef]
- Alkadri, A.; Carlier, C.; Wahyundi, I.; Grill, J.; Langbour, P.; Bremaud, I. Relationships between anatomical and vibrational properties of wavy sycamore. IAWA—Intern. Assoc. Wood Anat. J. 2018, 39, 63–86. Available online: https://hal.archives-ouvertes.fr/hal-01667816 (accessed on 6 November 2022). [CrossRef]
- Stanciu, M.D.; Coşereanu, C.; Dinulică, F.; Bucur, V. Effect of wood species on vibration modes of violins plates. Eur. J. Wood Prod. 2020, 78, 785–799. [Google Scholar] [CrossRef]
- Bucur, V. Wood species for musical instruments. In Handbook of Materials for String Musical Instruments; Springer: Cham, Switzerland, 2016; pp. 283–320. [Google Scholar] [CrossRef]
- Crețu, N.; Roșca, I.C.; Stanciu, M.D.; Gliga, V.G.; Cerbu, C. Evaluation of wave velocity in orthotropic media based on intrinsic transfer matrix. Exp. Mech. 2022, 62, 1595–1602. [Google Scholar] [CrossRef]
- Kudela, J.; Kunštar, M. Physical-acoustical characteristics of maple wood with wavy structure. Ann. Wars. Univ. Life Sci. 2011, 75, 12–18. [Google Scholar]
- Yoshikawa, S. Acoustical classification of woods for string instruments. J. Acoust. Soc. Am. 2007, 122, 568–573. [Google Scholar] [CrossRef]
- Stanciu, M.D.; Curtu, I.; Moisan, E.; Man, D.; Savin, A.; Dobrescu, G. Rheological Behaviour of Curly Maple Wood (Acer Pseudoplatanus) Used for Back Side of Violin. ProLigno 2015, 11, 73–80. [Google Scholar]
- Gliga, V.G.; Stanciu, M.D.; Nastac, S.M.; Campean, M. Modal Analysis of Violin Bodies with Back Plates Made of Different Wood Species. BioResources 2020, 15, 7687–7713. [Google Scholar] [CrossRef]
- Bucur, V.; Archer, R.R. Elastic constants for wood by an ultrasonic method. Wood Sci. Technol. 1984, 18, 255–265. [Google Scholar] [CrossRef]
- Fedyukov, V.; Saldaeva, E.; Chernova, M. Different ways of elastic modulus comparative study to predict resonant properties of standing spruce wood. Wood Res. 2017, 62, 607–614. [Google Scholar]
- Dinulică, F.; Stanciu, M.D.; Savin, A. Correlation between Anatomical Grading and Acoustic–Elastic Properties of Resonant SpruceWood Used for Musical Instruments. Forests 2021, 12, 1122. [Google Scholar] [CrossRef]
- Viala, R.; Placet, V.; Cogan, S. Simultaneous non-destructive identification of multiple elastic and damping properties of spruce tonewood to improve grading. J. Cult. Herit. 2020, 42, 108–116. [Google Scholar] [CrossRef]
- Gonçalves, R.; Trinca, A.J. Comparison of elastic constants of wood determined by ultrasonic wave propagation and static compression testing. Wood Fiber Sci. 2011, 43, 64–75. [Google Scholar]
- Fang, Y.; Lin, L.; Feng, H.; Lu, Z.; Emms, G.W. Review of the use of air-coupled ultrasonic technologies for nondestructive testing of wood and wood products. Comput. Electron. Agric. 2017, 137, 79–87. [Google Scholar] [CrossRef]
- Rocaboy, F.; Bucur, V. About the physical properties of wood of twentieth century violins. J. Acoust. Soc. Am. 1990, 1, 21–28. [Google Scholar]
- Dinulica, F.; Albu, C.; Borz, A.S.; Vasilescu, M.M.; Petrițan, C. Specific structural indexes for resonance Norway spruce wood used for violin manufacturing. Bioresources 2015, 10, 7525–7543. [Google Scholar] [CrossRef]
- Pilcher, J.R. Sample preparation, cross-dating and measurement. In Methods of Dendrochronology; Cook, E.R., Kairiukstis, L.A., Eds.; Kluwer Academis Publishing: Dordrecht, The Netherlands, 1990; pp. 40–51. [Google Scholar]
- Zar, J.H. Biostatistical Analysis; Prentice-Hall Inc.: Englewood Cliffs, NJ, USA, 1974. [Google Scholar]
- Carlson, D. MANOVA and Discriminant Analysis. In Quantitative Methods in Archaeology Using R; Cambridge Manuals in Archaeology; Cambridge University Press: Cambridge, UK, 2017; pp. 244–264. [Google Scholar] [CrossRef]
- Bucur, V. Varieties of resonance wood and their elastic constants. J. Catgut Acoust. Soc. 1987, 47, 42–48. [Google Scholar]
- Brémaud, I. Acoustical properties of wood in string instruments soundboards and tuned idiophones: Biological and cultural diversity. J. Acoust. Soc. Am. 2012, 131, 807–818. [Google Scholar] [CrossRef]
- Carlier, C.; Brémaud, I.; Gril, J. Violin making “tonewood”: Comparing makers’ empirical expertise with wood structural/visual and acoustical properties. In Proceedings of the International Symposium on Musical Acoustics ISMA2014, Le Mans, France, 7–12 July 2014; pp. 325–330. [Google Scholar]
- Dinulică, F.; Bucur, V.; Albu, C.T.; Vasilescu, M.M.; Curtu, A.L.; Nicolescu, N.V. Relevant phenotypic descriptors of the resonance Norway spruce standing trees for the acoustical quality of wood for musical instruments. Eur. J. Forest Res. 2021, 140, 105–125. [Google Scholar] [CrossRef]








| Physical Features | Grade/Average Value/STDEV | |||||||
|---|---|---|---|---|---|---|---|---|
| A | STDEV | B | STDEV | C | STDEV | D | STDEV | |
| Wood density WD (kg/m3) | 609 | 3.022 | 601 | 4.381 | 594 | 8.494 | 623 | 16.308 |
| Moisture content (%) | 6.8 | 0.05 | 7.2 | 0.1 | 7.0 | 0.092 | 8 | 0.45 |
| Anatomical Descriptors | Grade/Average Value/STDEV | |||||||
|---|---|---|---|---|---|---|---|---|
| A | STDEV | B | STDEV | C | STDEV | D | STDEV | |
| Annual ring width RW (mm) | 1.249 | 0.167 | 1.218 | 0.068 | 0.844 | 0.119 | 0.987 | 0.026 |
| Regularity of annual ring width RRI (%) | 76.574 | 5.838 | 80.028 | 5.700 | 82.932 | 5.872 | 83.462 | 6.045 |
| Fiber undulation pitch CWL (mm) | 5.448 | 0.460 | 6.2952 | 0.625 | 7.4182 | 1.400 | NA | NA |
| Type of Variables | Symbol | Grade of Sycamore Maple Wood Average Values | |||
|---|---|---|---|---|---|
| A | B | C | D | ||
| Density (kg/m3) | 610 | 601 | 592 | 624 | |
| Sound velocity in wood (m/s) | VLL | 4238 | 3820 | 3750 | 3925 |
| VRR | 1773 | 1896 | 1866 | 1808 | |
| VTT | 1326 | 1392 | 1360 | 1359 | |
| The ratios of sound propagation speeds | VLL/VRR | 2.39 | 2.015 | 2.009 | 2.17 |
| VLL/VTT | 3.19 | 2.74 | 2.75 | 2.88 | |
| VRR/VTT | 1.33 | 1.36 | 1.37 | 1.33 | |
| Young’s elasticity modulus (MPa) | EL | 10,968 | 8775 | 8359 | 9626 |
| ER | 1920 | 2030 | 2044 | 2044 | |
| ET | 1074 | 1164 | 1096 | 1157 | |
| Specific longitudinal modulus of elasticity () | EL/ρ | 17.97 | 14.60 | 14.12 | 15.41 |
| ER/ρ | 3.14 | 3.38 | 3.45 | 3.27 | |
| ET/ρ | 1.76 | 1.93 | 1.85 | 1.85 | |
| Shear Modulus (MPa) | GRT | 1259 | 1259 | 1259 | 1259 |
| GLR | 1648 | 1648 | 1648 | 1648 | |
| GLT | 1560 | 1560 | 1560 | 1560 | |
| Specific shear modulus of elasticity () | GRT/ρ | 2.064 | 2.74 | 2.63 | 2.22 |
| GLR/ρ | 2.24 | 2.71 | 2.60 | 2.42 | |
| GLT/ρ | 1.74 | 1.99 | 1.90 | 1.81 | |
| Poisson Coefficient | υLT | 0.445 | 0.423 | 0.422 | 0.431 |
| υLR | 0.394 | 0.335 | 0.331 | 0.365 | |
| υRT | 0.140 | 0.085 | 0.072 | 0.168 | |
| Variables | Coefficients of Simple Correlation * | |||||
|---|---|---|---|---|---|---|
| WL | RRI | CWL | L* | a* | b* | |
| WD | 0.1905 | −0.0534 | −0.6388 | −0.6096 | 0.6470 | 0.1191 |
| 0.2483 | −0.0932 | −0.7089 | −0.4165 | 0.5678 | 0.2826 | |
| −0.1378 | 0.3714 | 0.3828 | 0.5173 | −0.4791 | −0.3765 | |
| 0.1013 | 0.1172 | 0.2776 | 0.2269 | −0.1773 | −0.2739 | |
| 0.2400 | −0.1007 | −0.7481 | −0.5295 | 0.6600 | 0.3086 | |
| −0.1691 | 0.4390 | 0.1248 | 0.1008 | −0.1408 | −0.1260 | |
| 0.0713 | 0.0766 | 0.1207 | −0.0408 | 0.0826 | −0.2400 | |
| 0.1272 | −0.0940 | −0.6256 | −0.3166 | 0.4372 | 0.2909 | |
| 0.2579 | −0.3039 | −0.6752 | −0.5097 | 0.6024 | 0.3553 | |
| −0.2487 | 0.3458 | 0.1104 | 0.3443 | −0.3052 | −0.1295 | |
| 0.0243 | 0.3249 | 0.2591 | 0.2296 | −0.1809 | −0.3144 | |
| −0.0487 | 0.2917 | 0.4840 | 0.2913 | −0.2869 | −0.3634 | |
| −0.1461 | 0.3729 | 0.4468 | 0.5382 | −0.5182 | −0.3834 | |
| −0.0082 | −0.0165 | 0.5748 | 0.1165 | −0.1556 | −0.2643 | |
| −0.0247 | 0.2083 | 0.5624 | 0.1409 | −0.1869 | −0.3992 | |
| −0.2279 | 0.2655 | 0.6264 | 0.4540 | −0.5166 | −0.4574 | |
| Dependent Variable | Predictors | Statistical Model | Adjusted R2 | F | p |
|---|---|---|---|---|---|
| CWL, a* | 0.7 | 20.06 | <0.001 | ||
| 0.6 | 12.9 | <0.001 | |||
| 0.6 | 12.95 | <0.002 |
Disclaimer/Publisher’s Note: The statements, opinions and data contained in all publications are solely those of the individual author(s) and contributor(s) and not of MDPI and/or the editor(s). MDPI and/or the editor(s) disclaim responsibility for any injury to people or property resulting from any ideas, methods, instructions or products referred to in the content. |
© 2023 by the authors. Licensee MDPI, Basel, Switzerland. This article is an open access article distributed under the terms and conditions of the Creative Commons Attribution (CC BY) license (https://creativecommons.org/licenses/by/4.0/).
Share and Cite
Dinulica, F.; Savin, A.; Stanciu, M.D. Physical and Acoustical Properties of Wavy Grain Sycamore Maple (Acer pseudoplatanus L.) Used for Musical Instruments. Forests 2023, 14, 197. https://doi.org/10.3390/f14020197
Dinulica F, Savin A, Stanciu MD. Physical and Acoustical Properties of Wavy Grain Sycamore Maple (Acer pseudoplatanus L.) Used for Musical Instruments. Forests. 2023; 14(2):197. https://doi.org/10.3390/f14020197
Chicago/Turabian StyleDinulica, Florin, Adriana Savin, and Mariana Domnica Stanciu. 2023. "Physical and Acoustical Properties of Wavy Grain Sycamore Maple (Acer pseudoplatanus L.) Used for Musical Instruments" Forests 14, no. 2: 197. https://doi.org/10.3390/f14020197
APA StyleDinulica, F., Savin, A., & Stanciu, M. D. (2023). Physical and Acoustical Properties of Wavy Grain Sycamore Maple (Acer pseudoplatanus L.) Used for Musical Instruments. Forests, 14(2), 197. https://doi.org/10.3390/f14020197

