Impact of Chemical Composition on Eucalyptus Wood Clones for Sustainable Energy Production
Abstract
:1. Introduction
2. Materials and Methods
2.1. Wood Combustibility Parameters
2.2. Statistical Analysis
3. Results
3.1. Chemical Characterization of Wood
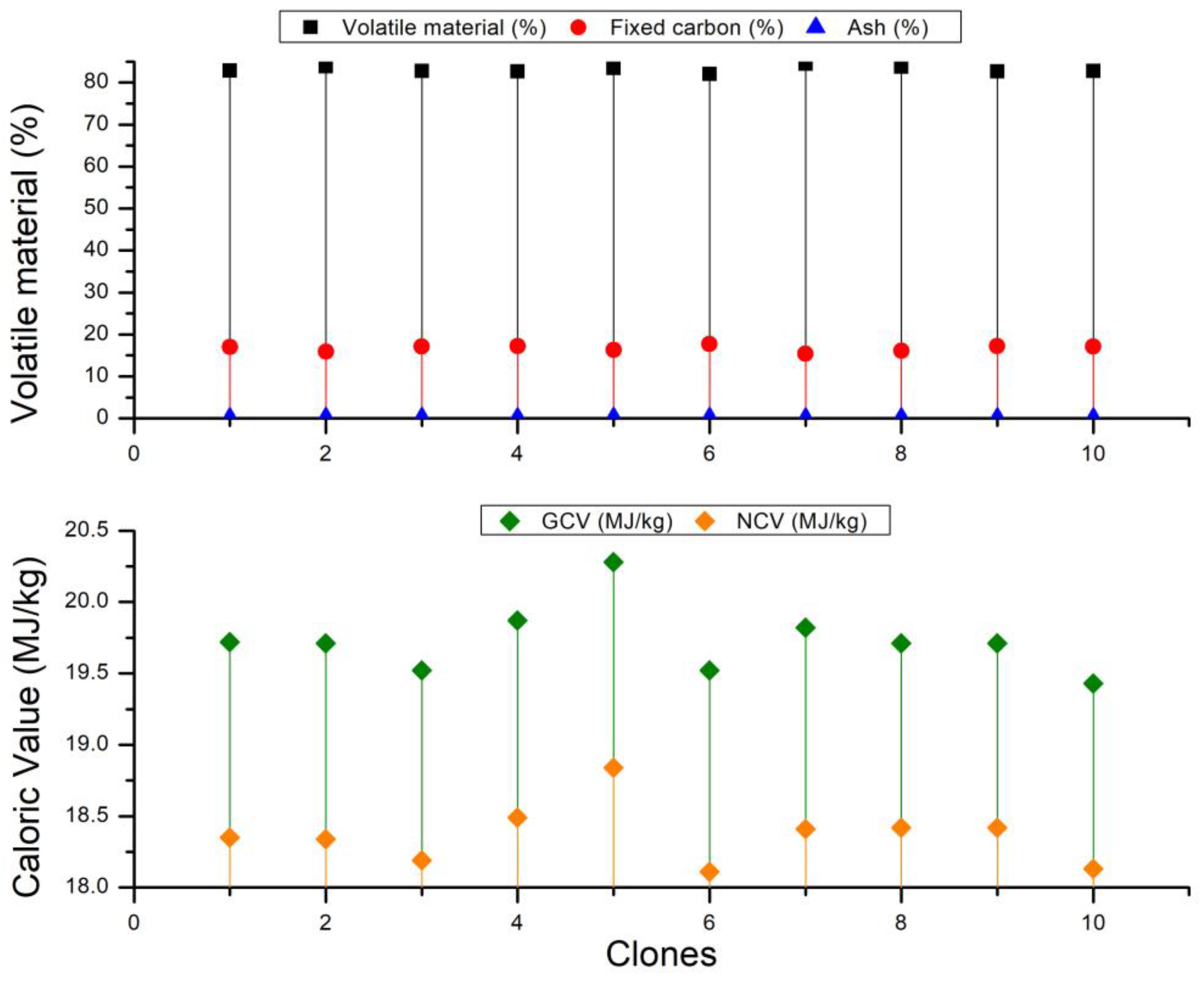
3.2. Wood Combustibility
3.3. Relationships between Wood Chemistry and Combustibility
4. Discussion
4.1. Wood Chemical Characterization
4.2. Wood Combustibility
4.3. Relationship between Wood Chemistry and Combustibility
5. Conclusions
Author Contributions
Funding
Data Availability Statement
Conflicts of Interest
References
- Bustos-Vanegas, J.D.; Martins, M.A.; Freitas, A.G.; Mellmann, J. Experimental Characterization of Self-Heating Behavior of Charcoal from Eucalyptus Wood. Fuel 2019, 244, 412–418. [Google Scholar] [CrossRef]
- De Protásio, T.P.; Lima, M.D.R.; Teixeira, R.A.C.; do Rosário, F.S.; de Araújo, A.C.C.; de Assis, M.R.; Hein, P.R.G.; Trugilho, P.F. Influence of Extractives Content and Lignin Quality of Eucalyptus Wood in the Mass Balance of Pyrolysis Process. Bioenergy Res. 2021, 14, 175–189. [Google Scholar] [CrossRef]
- De Protásio, T.P.; Lima, M.D.R.; Scatolino, M.V.; Silva, A.B.; Rodrigues de Figueiredo, I.C.; Gherardi Hein, P.R.; Trugilho, P.F. Charcoal Productivity and Quality Parameters for Reliable Classification of Eucalyptus Clones from Brazilian Energy Forests. Renew. Energy 2021, 164, 34–45. [Google Scholar] [CrossRef]
- Nishiguchi, S.; Tabata, T. Assessment of Social, Economic, and Environmental Aspects of Woody Biomass Energy Utilization: Direct Burning and Wood Pellets. Renew. Sustain. Energy Rev. 2016, 57, 1279–1286. [Google Scholar] [CrossRef]
- Travassos, I.S.; De Souza, B.I. Os Negócios Da Lenha: Indústria, Desmatamento e Desertificação No Cariri Paraibano. GEOUSP Espaç. Tempo 2014, 18, 329. [Google Scholar] [CrossRef]
- De Oliveira, A.U. Lenha e Carvão Vegetal No Brasil: Balanço Oferta-Demanda e Métodos Para a Estimação Do Consumo; Universidade de São Paulo: São Paulo, Brazil, 2008. [Google Scholar]
- Ribeiro, E.M.S.; Santos, B.A.; Arroyo-Rodríguez, V.; Tabarelli, M.; Souza, G.; Leal, I.R. Phylogenetic Impoverishment of Plant Communities Following Chronic Human Disturbances in the Brazilian Caatinga. Ecology 2016, 97, 1583–1592. [Google Scholar] [CrossRef] [PubMed]
- Ministério do Meio Ambiente, M. Caatinga. Available online: https://antigo.mma.gov.br/biomas/caatinga.html (accessed on 9 November 2023).
- Gioda, A. Residential Fuelwood Consumption in Brazil: Environmental and Social Implications. Biomass Bioenergy 2019, 120, 367–375. [Google Scholar] [CrossRef]
- IBÁ. Indústria Brasileira de Árvores Relatório Anual; IBÁ: Brasília, Brazil, 2017; p. 80. [Google Scholar]
- Brockerhoff, E.G.; Jactel, H.; Parrotta, J.A.; Ferraz, S.F.B. Role of Eucalypt and Other Planted Forests in Biodiversity Conservation and the Provision of Biodiversity-Related Ecosystem Services. For. Ecol. Manag. 2013, 301, 43–50. [Google Scholar] [CrossRef]
- Borges, A.C.P.; Onwudili, J.A.; Andrade, H.; Alves, C.; Ingram, A.; de Melo, S.V.; Torres, E. Catalytic Properties and Recycling of NiFe2O4 Catalyst for Hydrogen Production by Supercritical Water Gasification of Eucalyptus Wood Chips. Energies 2020, 13, 4553. [Google Scholar] [CrossRef]
- Penín, L.; López, M.; Santos, V.; Alonso, J.L.; Parajó, J.C. Technologies for Eucalyptus Wood Processing in the Scope of Biorefineries: A Comprehensive Review. Bioresour. Technol. 2020, 311, 123528. [Google Scholar] [CrossRef]
- Dufourny, A.; Van De Steene, L.; Humbert, G.; Guibal, D.; Martin, L.; Blin, J. Influence of Pyrolysis Conditions and the Nature of the Wood on the Quality of Charcoal as a Reducing Agent. J. Anal. Appl. Pyrolysis 2019, 137, 1–13. [Google Scholar] [CrossRef]
- Terzopoulou, P.; Kamperidou, V. Chemical Characterization of Wood and Bark Biomass of the Invasive Species of Tree-of-Heaven (Ailanthus Altissima (Mill.) Swingle), Focusing on Its Chemical Composition Horizontal Variability Assessment. Wood Mater. Sci. Eng. 2022, 17, 469–477. [Google Scholar] [CrossRef]
- Vieira, T.A.S.; Arriel, T.G.; Zanuncio, A.J.V.; Carvalho, A.G.; Branco-Vieira, M.; Carabineiro, S.A.C.; Trugilho, P.F. Determination of the Chemical Composition of Eucalyptus Spp. For Cellulosic Pulp Production. Forests 2021, 12, 649. [Google Scholar] [CrossRef]
- Alvares, C.A.; Stape, J.L.; Sentelhas, P.C.; De Moraes Gonçalves, J.L.; Sparovek, G. Köppen’s Climate Classification Map for Brazil. Meteorol. Z. 2013, 22, 711–728. [Google Scholar] [CrossRef] [PubMed]
- TAPPI T 211 Om-16; Ash in Wood, Pulp, Paper, and Paperboard: Combustion at 525 °C. Technical Association of Pulp and Paper Industry: Peachtree Corners, GA, USA, 2016.
- TAPPI T 207 CM; Water Solubility of Wood and Pulp. Technical Association of Pulp and Paper Industry: Peachtree Corners, GA, USA, 2008; p. 3.
- TAPPI T 222; Acid-Insoluble Lignin in Wood and Pulp. Technical Association of Pulp and Paper Industry: Peachtree Corners, GA, USA, 2002; p. 5.
- TAPPI UM 250; Acid-Soluble Lignin in Wood and Pulp. Technical Association of Pulp and Paper Industry: Peachtree Corners, GA, USA, 2000.
- TAPPI 249 CM-21; Carbohydrate Ition of Extractive-Free Wood and Wood Pulp by Gas-Liquid Chromatography. Technical Association of the Pulp and Paper Industry: Peachtree Corners, GA, USA, 2021.
- ASTM D 1762-84; Standard Method for Chemical Analyses of Wood Charcoal. American Society for Testing Materials: West Conshohocken, PA, USA, 2007; p. 2.
- Sahu, S.G.; Sarkar, P.; Chakraborty, N.; Adak, A.K. Thermogravimetric Assessment of Combustion Characteristics of Blends of a Coal with Different Biomass Chars. Fuel Process. Technol. 2010, 91, 369–378. [Google Scholar] [CrossRef]
- Wang, C.A.; Liu, Y.; Zhang, X.; Che, D. A Study on Coal Properties and Combustion Characteristics of Blended Coals in Northwestern China. Energy Fuels 2011, 25, 3634–3645. [Google Scholar] [CrossRef]
- Moon, C.; Sung, Y.; Ahn, S.; Kim, T.; Choi, G.; Kim, D. Effect of Blending Ratio on Combustion Performance in Blends of Biomass and Coals of Different Ranks. Exp. Therm. Fluid Sci. 2013, 47, 232–240. [Google Scholar] [CrossRef]
- Silva, F.T.M.; Ataíde, C.H. Valoriza—Tion of Eucalyptus Urograndis Wood via Carbonization: Product Yields and Characterization. Energy 2019, 172, 509–516. [Google Scholar] [CrossRef]
- Sseremba, O.E.; Mugabi, P.; Banana, A.Y.; Wessels, B.C.; Plessis, M. Variation of Basic Density, Calorific Value and Volumetric Shrinkage within Tree Height and Tree Age of Ugandan Grown Eucalyptus Grandis Wood. J. For. Res. 2021, 32, 503–512. [Google Scholar] [CrossRef]
- Ramírez-Ramírez, M.A.; Carrillo-Parra, A.; Ruíz-Aquino, F.; Pintor-Ibarra, L.F.; González-Ortega, N.; Orihuela-Equihua, R.; Carrillo-ávila, N.; Luján-álvarez, C.; Rutiaga-Quiñones, J.G. Valorization of Briquettes Fuel Using Pinus Spp. Sawdust from Five Regions of Mexico. BioResources 2021, 16, 2249–2263. [Google Scholar] [CrossRef]
- Ponnusamy, V.K.; Nguyen, D.D.; Dharmaraja, J.; Shobana, S.; Banu, J.R.; Saratale, R.G.; Chang, S.W.; Kumar, G. A Review on Lignin Structure, Pretreatments, Fermentation Reactions and Biorefinery Potential. Bioresour. Technol. 2019, 271, 462–472. [Google Scholar] [CrossRef]
- Zanuncio, A.J.V.; Carvalho, A.G.; Trugilho, P.F.; Monteiro, T.C. Extractives and Energetic Properties of Wood and Charcoal. Rev. Árvore 2014, 38, 369–374. [Google Scholar] [CrossRef]
- Benouadah, N.; Pranovich, A.; Aliouche, D.; Hemming, J.; Smeds, A.; Willför, S. Analysis of Extractives from Pinus Halepensis and Eucalyptus Camaldulensis as Predominant Trees in Algeria. Holzforschung 2018, 72, 97–104. [Google Scholar] [CrossRef]
- Mészáros, E.; Jakab, E.; Várhegyi, G. TG/MS, Py-GC/MS and THM-GC/MS Study of the Composition and Thermal Behavior of Extractive Components of Robinia Pseudoacacia. J. Anal. Appl. Pyrolysis 2007, 79, 61–70. [Google Scholar] [CrossRef]
- Farrokh, N.T.; Suopajärvi, H.; Sulasalmi, P.; Fabritius, T. A Thermogravimetric Analysis of Lignin Char Combustion. Energy Procedia 2019, 158, 1241–1248. [Google Scholar] [CrossRef]
- Yeo, J.Y.; Chin, B.L.F.; Tan, J.K.; Loh, Y.S. Comparative Studies on the Pyrolysis of Cellulose, Hemicellulose, and Lignin Based on Combined Kinetics. J. Energy Inst. 2019, 92, 27–37. [Google Scholar] [CrossRef]
- Ignacio, L.H.D.S.; Santos, P.E.d.A.; Duarte, C.A.R. An Experimental Assessment of Eucalyptus Urosemente Energy Potential for Biomass Production in Brazil. Renew. Sustain. Energy Rev. 2019, 103, 361–369. [Google Scholar] [CrossRef]
- Dias, A.F., Jr.; Suuchi, M.A.; Sant’Anna Neto, A.; da Silva, J.G.M.; da Silva, Á.M.; de Souza, N.D.; Protásio, T.D.P.; Brito, J.O. Blends of Charcoal Fines and Wood Improve the Combustibility and Quality of the Solid Biofuels. Bioenergy Res. 2021, 14, 344–354. [Google Scholar] [CrossRef]
- Xiong, S.; Zhang, S.; Wu, Q.; Guo, X.; Dong, A.; Chen, C. Investigation on Cotton Stalk and Bamboo Sawdust Carbonization for Barbecue Charcoal Preparation. Bioresour. Technol. 2014, 152, 86–92. [Google Scholar] [CrossRef]
- de Souza, H.J.P.L.; Arantes, M.D.C.; Vidaurre, G.B.; Andrade, C.R.; Carneiro, A.D.C.O.; de Souza, D.P.L.; Protásio, T.D.P. Pelletization of Eucalyptus Wood and Coffee Growing Wastes: Strategies for Biomass Valorization and Sustainable Bioenergy Production. Renew. Energy 2020, 149, 128–140. [Google Scholar] [CrossRef]
- Cavinato, C.D.; Poletto, M. Kinetic Analysis Of Thermal Degradation Of Cedrela Odorata, Marmaroxylon Racemosum And Tectona Grandis From Timber Industry. Maderas Cienc. Tecnol. 2021, 23, 1–10. [Google Scholar] [CrossRef]
- Gominho, J.; Lourenço, A.; Marques, A.V.; Pereira, H. An Extensive Study on the Chemical Diversity of Lipophilic Extractives from Eucalyptus Globulus Wood. Phytochemistry 2020, 180, 112520. [Google Scholar] [CrossRef] [PubMed]
- Wang, J.; Minami, E.; Asmadi, M.; Kawamoto, H. Effect of Delignification on Thermal Degradation Reactivities of Hemicellulose and Cellulose in Wood Cell Walls. J. Wood Sci. 2021, 67, 19. [Google Scholar] [CrossRef]
- Chaturvedi, S.; Singh, S.V.; Dhyani, V.C.; Govindaraju, K.; Vinu, R.; Mandal, S. Characterization, Bioenergy Value, and Thermal Stability of Biochars Derived from Diverse Agriculture and Forestry Lignocellulosic Wastes. Biomass Convers. Biorefin. 2023, 13, 879–892. [Google Scholar] [CrossRef]



| Clone | Origin | DBH (cm) | Height (m) | ||
|---|---|---|---|---|---|
| Total | Commercial | ||||
| 1 | E. camaldulensis × E. grandis | E. urophylla × E. grandis | 13.39 | 23.07 | 21.40 |
| 2 | E. urophylla × E. grandis | E. camaldulensis × E. grandis | 16.55 | 26.06 | 24.54 |
| 3 | E. camaldulensis × E. grandis | E. urophylla × E. grandis | 15.25 | 25.40 | 23.72 |
| 4 | E. urophylla × E. grandis | E. camaldulensis × E. grandis | 15.25 | 25.37 | 22.87 |
| 5 | E. urophylla × E. grandis | E. camaldulensis × E. grandis | 15.39 | 23.63 | 21.03 |
| 6 | E. urophylla × E. grandis | E. pelita | 14.67 | 22.60 | 21.37 |
| 7 | E. urophylla × E. grandis | E. camaldulensis × E. grandis | 15.84 | 24.30 | 22.10 |
| 8 | E. urophylla × E. grandis | E. pelita | 15.07 | 24.30 | 22.52 |
| 9 | E. camaldulensis × E. grandis | E. urophylla × E. grandis | 13.20 | 23.03 | 21.23 |
| 10 | E. grandis | E. urophylla × E. grandis | 14.92 | 22.70 | 20.64 |
| Clone | Ti (°C) | Tf (°C) | (dm/dt)max (% min−1) | tc (min) | ti (min) | C × 107 (%2 min−2 °C−3) | Ii × 103 (% min−3) |
|---|---|---|---|---|---|---|---|
| 1 | 234.31 | 434.82 | 10.78 | 52.92 | 42.08 | 4.15 | 4.84 |
| 2 | 232.21 | 430.74 | 10.36 | 52.79 | 41.66 | 4.19 | 4.71 |
| 3 | 232.22 | 437.57 | 10.14 | 53.16 | 41.66 | 4.04 | 4.58 |
| 4 | 236.26 | 434.02 | 6.67 | 53.24 | 41.47 | 2.62 | 3.02 |
| 5 | 235.90 | 434.77 | 9.23 | 53.28 | 41.73 | 3.6 | 4.15 |
| 6 | 239.35 | 451.38 | 8.47 | 53.23 | 42.09 | 2.98 | 3.78 |
| 7 | 232.14 | 437.97 | 9.92 | 53.15 | 41.31 | 4.07 | 4.53 |
| 8 | 237.07 | 456.03 | 7.86 | 53.06 | 41.63 | 2.99 | 3.56 |
| 9 | 234.44 | 427.1 | 8.37 | 53.28 | 41.11 | 3.44 | 3.82 |
| 10 | 236.53 | 438.01 | 8.89 | 53.42 | 41.52 | 3.36 | 4.0 |
| Mean | 235.04 | 438.24 | 9.07 | 53.15 | 41.63 | 3.54 | 4.1 |
| SD | 2.41 | 8.89 | 1.27 | 0.19 | 0.30 | 0.56 | 0.58 |
| CV (%) | 1.07 | 2.00 | 9.58 | 0.30 | 0.99 | 11.72 | 9.28 |
| Compound (%) | Ti (°C) | Tf (°C) | tc (min) | ti (min) | (dm/dt)max (% min−1) | C × 107%2/ (min2 °C3) | Ii × 103 (% min−3) |
|---|---|---|---|---|---|---|---|
| Total lignin | 0.44 | 0.27 | 0.10 | −0.23 | −0.80 | −0.72 | −0.79 |
| (0.20) | (0.46) | (0.79) | (0.53) | (0.01) | (0.02) | (0.01) | |
| Dichloromethane * | −0.32 | 0.16 | −0.01 | −0.12 | 0.29 | 0.30 | 0.30 |
| (0.37) | (0.66) | (0.97) | (0.74) | (0.42) | (0.40) | (0.40) | |
| Ethanol * | 0.53 | 0.08 | 0.26 | 0.09 | −0.64 | −0.67 | −0.66 |
| (0.12) | (0.84) | (0.47) | (0.81) | (0.05) | (0.03) | (0.04) | |
| Cold water * | −0.67 | −0.46 | −0.65 | 0.16 | 0.75 | 0.78 | 0.75 |
| (0.03) | (0.18) | (0.04) | (0.66) | (0.01) | (0.01) | (0.01) | |
| Holocellulose | −0.20 | 0.02 | 0.00 | 0.20 | 0.58 | 0.49 | 0.57 |
| (0.59) | (0.97) | (0.99) | (0.59) | (0.08) | (0.15) | (0.09) | |
| Rhamnose | −0.14 | 0.11 | −0.52 | 0.17 | 0.14 | 0.15 | 0.14 |
| (0.69) | (0.76) | (0.12) | (0.64) | (0.71) | (0.69) | (0.69) | |
| Arabinose | −0.27 | −0.09 | −0.43 | −0.08 | 0.20 | 0.25 | 0.22 |
| (0.45) | (0.81) | (0.22) | (0.83) | (0.59) | (0.49) | (0.55) | |
| Xylose | 0.80 | 0.76 | 0.18 | 0.40 | −0.61 | −0.74 | −0.63 |
| (0.01) | (0.01) | (0.63) | (0.25) | (0.06) | (0.01) | (0.05) | |
| Mannose | −0.11 | 0.09 | −0.07 | 0.37 | 0.23 | 0.19 | 0.21 |
| (0.76) | (0.81) | (0.85) | (0.29) | (0.52) | (0.61) | (0.55) | |
| Galactose | −0.30 | −0.25 | −0.39 | −0.20 | 0.18 | 0.25 | 0.20 |
| (0.39) | (0.50) | (0.26) | (0.59) | (0.62) | (0.48) | (0.58) | |
| Glucose | −0.71 | −0.33 | −0.52 | −0.17 | 0.76 | 0.83 | 0.78 |
| (0.02) | (0.35) | (0.13) | (0.64) | (0.01) | (0.00) | (0.01) |
| (%) | Ti (°C) | Tf (°C) | tc (min) | ti (min) | (dm/dt)max (% min−1) | C × 107%2/(min2 °C3) | Ii × 103 (% min−3) |
|---|---|---|---|---|---|---|---|
| Volatile materials | −0.54 | −0.03 | −0.42 | −0.32 | 0.33 | 0.45 | 0.36 |
| (0.11) | (0.93) | (0.23) | (0.37) | (0.36) | (0.19) | (0.31) | |
| Ashes | 0.17 | 0.13 | −0.09 | 0.28 | −0.14 | −0.18 | −0.15 |
| (0.63) | (0.73) | (0.80) | (0.44) | (0.71) | (0.63) | (0.68) | |
| Fixed carbon | 0.54 | 0.03 | 0.43 | 0.31 | −0.32 | −0.45 | −0.36 |
| (0.11) | (0.94) | (0.22) | (0.39) | (0.36) | (0.20) | (0.31) |
Disclaimer/Publisher’s Note: The statements, opinions and data contained in all publications are solely those of the individual author(s) and contributor(s) and not of MDPI and/or the editor(s). MDPI and/or the editor(s) disclaim responsibility for any injury to people or property resulting from any ideas, methods, instructions or products referred to in the content. |
© 2023 by the authors. Licensee MDPI, Basel, Switzerland. This article is an open access article distributed under the terms and conditions of the Creative Commons Attribution (CC BY) license (https://creativecommons.org/licenses/by/4.0/).
Share and Cite
Vieira, T.A.S.; Trugilho, P.F.; Carabineiro, S.A.C.; Zanuncio, A.J.V.; Carvalho, A.G.; Branco-Vieira, M. Impact of Chemical Composition on Eucalyptus Wood Clones for Sustainable Energy Production. Forests 2023, 14, 2240. https://doi.org/10.3390/f14112240
Vieira TAS, Trugilho PF, Carabineiro SAC, Zanuncio AJV, Carvalho AG, Branco-Vieira M. Impact of Chemical Composition on Eucalyptus Wood Clones for Sustainable Energy Production. Forests. 2023; 14(11):2240. https://doi.org/10.3390/f14112240
Chicago/Turabian StyleVieira, Túlio A. S., Paulo F. Trugilho, Sónia A. C. Carabineiro, Antônio José Vinha Zanuncio, Amélia Guimarães Carvalho, and Monique Branco-Vieira. 2023. "Impact of Chemical Composition on Eucalyptus Wood Clones for Sustainable Energy Production" Forests 14, no. 11: 2240. https://doi.org/10.3390/f14112240
APA StyleVieira, T. A. S., Trugilho, P. F., Carabineiro, S. A. C., Zanuncio, A. J. V., Carvalho, A. G., & Branco-Vieira, M. (2023). Impact of Chemical Composition on Eucalyptus Wood Clones for Sustainable Energy Production. Forests, 14(11), 2240. https://doi.org/10.3390/f14112240

