Evaluation of the Oriented Strand Board Properties Produced Using Tropical Wood Mixtures
Abstract
1. Introduction
2. Material and Methods
2.1. Raw Material
2.2. Wood Strand Production and Drying
2.3. Wood Strands Extractive Contents
2.4. OSB Production
2.5. Physical and Mechanical Properties
2.6. Experimental Design and Statistical Analysis
3. Results
3.1. Wood Strand Extractive Contents
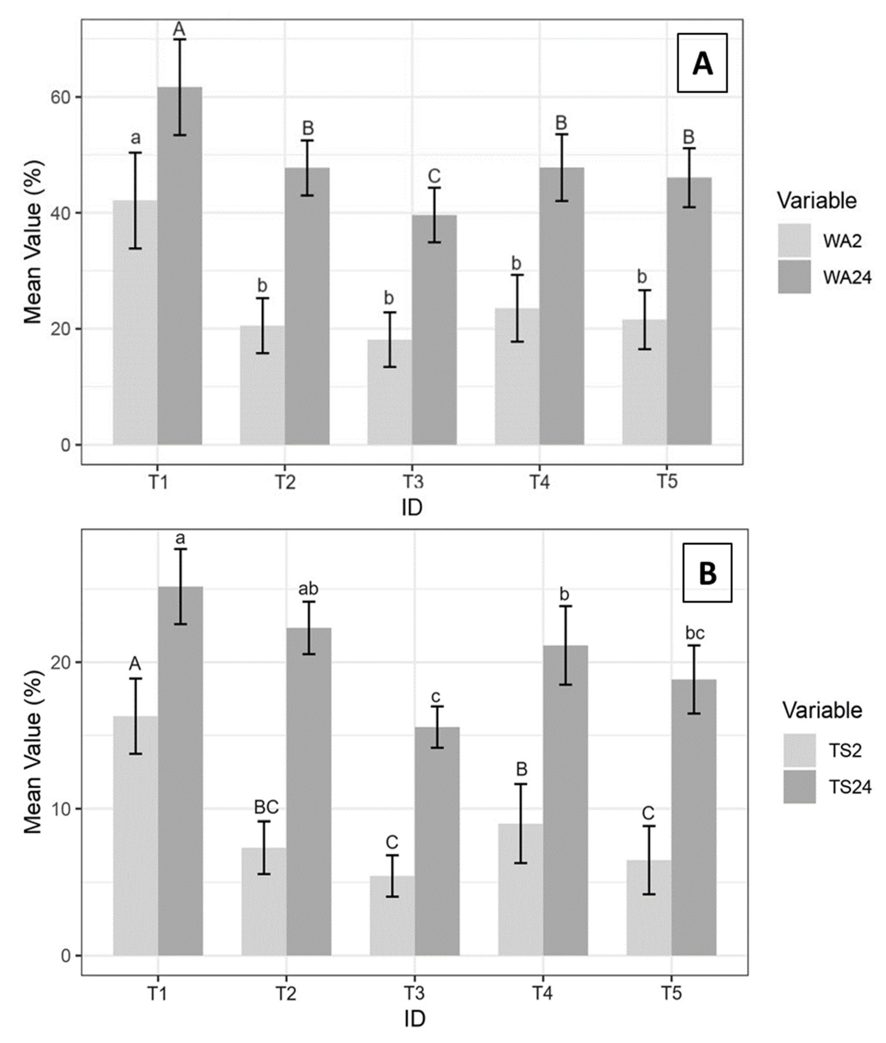
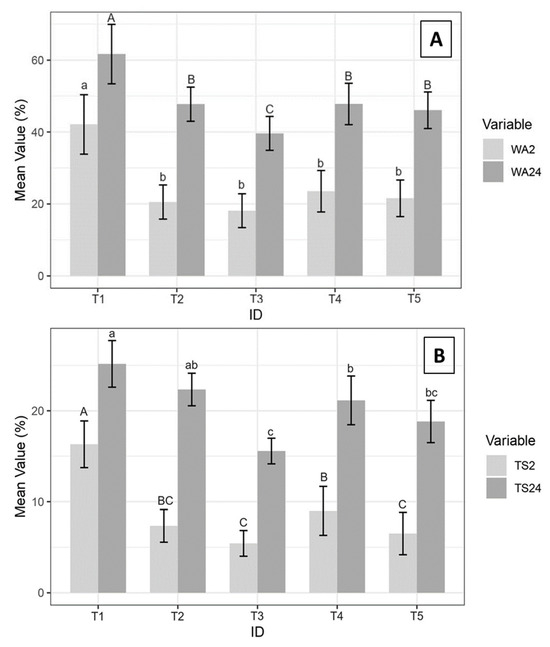
3.2. Physical Properties of the OSB Panels
3.3. OSB Panels’ Mechanical Properties
4. Discussion
4.1. Extractive Content
4.2. Physical Properties
4.3. Mechanical Properties
5. Conclusions
Author Contributions
Funding
Data Availability Statement
Acknowledgments
Conflicts of Interest
References
- Li, W.; Chen, C.; Shi, J.; Mei, C.; Kibleur, P.; Van Acker, J.; Van den Bulcke, J. Understanding the mechanical performance of OSB in compression tests. Constr. Build. Mater. 2020, 260, 119837. [Google Scholar] [CrossRef]
- Tureková, I.; Marková, I.; Ivanovičová, M.; Harangózo, J.; Papadopoulos, N. Experimental Study of Oriented Strand Board Ignition by Radiant Heat Fluxes. Polymers 2021, 13, 709. [Google Scholar] [CrossRef] [PubMed]
- Akrami, A.; Barbu, M.C.; Fruehwald, A. Characterization of properties of oriented strand boards from beech and poplar. Eur. J. Wood Wood Prod. 2014, 72, 393–398. [Google Scholar] [CrossRef]
- Copak, A.; Jirouš-Rajković, V.; Španić, N.; Mikleĉić, J. The impact of post-manufacture treatments on the surface characteristics important for finishing of OSB and Particleboard. Forests 2021, 12, 975. [Google Scholar] [CrossRef]
- Han, G.; Wu, Q.; Lu, J.Z. The influence of fines content and panel density on properties of mixed hardwood oriented strand board. Wood Fiber Sci. 2007, 39, 2–15. [Google Scholar]
- Sumardi, I.; Dungani, R.; Suhaya, Y.; Rumidatul, A.; Rofii, M.N. Alternative materials for strandboards made with waste veneer from industrial plywood in Indonesia. BioResources 2018, 13, 8385–8393. [Google Scholar] [CrossRef]
- Pipíška, T.; Leavengood, S.; Kamke, F.A.; Král, P. Properties of the western juniper (Juniperus occidentalis) strandboard. BioResources 2021, 16, 2853–2860. [Google Scholar] [CrossRef]
- FAO. Forest Production and Trade. OSB Production Quantity in the Word. 2020. Available online: https://www.fao.org/faostat/en/#data/FO (accessed on 1 December 2022).
- Bufalino, L.; Corrêa, A.A.R.; De Sá, V.A.; Mendes, L.M.; Almeida, N.A.; Pizzol, V.D. Alternative compositions of oriented strand boards (OSB) made with commercial woods produced in Brazil. Maderas Cienc. Tecnol. 2015, 17, 105–116. [Google Scholar] [CrossRef]
- Ferro, F.S.; Silva, D.A.L.; Rocco Lahr, F.A.; Argenton, M.; González-García, S. Environmental Aspects of Oriented Strand Boards Production. A Brazilian Case Study. J. Clean. Prod. 2018, 183, 710–719. [Google Scholar] [CrossRef]
- Sugahara, E.; Dias, A.; Arroyo, F.; Christoforo, A.; Costa, M.L.; Botelho, E.C.; Dias, A.M.P.G.; Campos, C. Study of the Influence of Heat Treatment on OSB Panels Produced with Eucalyptus Wood in Different Layer Compositions. Forests 2022, 13, 2083. [Google Scholar] [CrossRef]
- Sugahara, E.S.; Silva, S.A.M.; Buzo, A.L.S.C.; Campos, C.I.; Morales, E.A.M.; Ferreira, B.S.; Azambuja, M.A.; Lahr, F.A.; Christoforo, A.L. High-density particleboard made from agro-industrial waste and different adhesives. BioResources 2019, 14, 5162–5170. [Google Scholar]
- Ferro, F.S.; Magalhães, S.A.; De Araujo, I.I.; Van Der Neut, A.M.M.; Christoforo, A.L.; Rocco Lahr, F.A. Effect of alternative wood species and first thinning wood on oriented strand board performance. Adv. Mater. Sci. Eng. 2018, 2018, 4603710. [Google Scholar] [CrossRef]
- Freitas, J.F.; Souza, A.M.; Granco, L.A.M.N.; Chahud, E.; Christoforo, A.L.; Lahr, F.A.R. Production of Structural OSB with Cajueiro (Anacardium sp.) and Amescla (Trattinikia sp.)—A Preliminary Study. Int. J. Mater. Eng. 2017, 7, 17–20. [Google Scholar] [CrossRef]
- Rosa, T.S.; Trianoski, R.; Iwakiri, S.; Bonduelle, G.M.; Souza, H.P. Utilização de cinco espécies de Eucalyptus para a produção de painéis OSB. Floram 2017, 24, e20160049. [Google Scholar] [CrossRef]
- Barbirato, G.H.A.; Junior, W.E.L.; Hellmeister, V.; Pavesi, M.; Fiorelli, J. OSB Panels with Balsa Wood Waste and Castor Oil Polyurethane Resin. Waste Biomass Valorization 2020, 11, 743–751. [Google Scholar] [CrossRef]
- Moslemi, A.A. Particleboard; Southern Illinois University Press: London, UK, 1974. [Google Scholar]
- Iwakiri, S.; Trianoski, C.C.N.; Azambuja, R.R.; Campelo, S.R.; Ribeiro, R.S. Produção de painéis aglomerados com misturas de seis espécies de madeiras da amazônia e Pinus taeda. Floresta 2016, 46, 259–267. [Google Scholar] [CrossRef]
- Garcia, F.M.; Manfio, D.R.; Sansílogo, C.A.; Magalhães, P.A.D. Rendimento no desdobro de toras de Itaúba (Mezilaurus itauba) e Tauari (Couratari guianensis) segundo a classificação da qualidade de tora. Floram 2012, 19, 468–474. [Google Scholar] [CrossRef]
- Silva, C.E.F.; Xavier, C.N.; Junqueira, A.A.; Junior, O.F.N.; Carvalho, P.C.L.; Torres, A.C.; Carvalho, A.M. Investigando a geração de resíduos do processamento mecânico da madeira de duas espécies florestais. Pesqui. Florest. Bras. 2022, 42, 1–8. [Google Scholar] [CrossRef]
- Moreira, L.S.; Andrade, F.W.C.; Balboni, B.M.; Moutinho, V.H.P. Wood from Forest Residues: Technological Properties and Potential Uses of Branches of Three Species from Brazilian Amazon. Sustainability 2022, 14, 11176. [Google Scholar] [CrossRef]
- Barbirato, G.H.A.; Junior, W.E.L.; Martins, R.H.; Soriano, J.; Fiorelli, J. Experimental evaluation and numerical modeling of the mechanical performance of OSB sandwich panels manufactured with trapezoidal core. Constr. Build. Mater. 2022, 326, 126721. [Google Scholar] [CrossRef]
- Giannotas, G.; Kamperidou, V.; Barboutis, I. Tree bark utilization in insulating bio-aggregates: A review. Biofuel Bioprod. Bioref. 2021, 15, 1989–1999. [Google Scholar] [CrossRef]
- TimberFlow. Available online: https://timberflow.org.br/fluxo-madeireiro (accessed on 21 September 2023).
- NBR 14853; Determinação do material solúvel em etanol-tolueno, em diclorometano e em acetona. ABNT: Rio de Janeiro, Brazil, 2010.
- EN-317; Particleboards and Fiberboards—Determination of Swelling in Thickness after Immersion in Water. European Committee for Standardization: Brussels, Belgium, 1993.
- EN-319; Particleboards and Fiberboards—Determination of Tensile Strength Perpendicular to the Plane of the Board. European Committee for Standardization: Brussels, Belgium, 1993.
- EN-310; Wood Based Panels: Determination of Modulus of Elasticity in Bending and of Bending Strength. European Committee for Standardization: Brussels, Belgium, 1993.
- EN-300; Oriented Strand Board (OSB)—Definitions, classification and specifications. European Committee for Standardization: Brussels, Belgium, 2006.
- Frihart, C.R.; Hunt, C.G. Chapter 10: Adhesives with Wood Materials—Bond Formation and Performance. In Wood Handbook; U.S. Department of Agriculture Forest Service: Washington, DC, USA, 2010. [Google Scholar]
- Iwakiri, S. Painéis de madeira reconstituída; FUPEF: Curitiba, Brazil, 2005; 247p. [Google Scholar]
- Cloutier, A. Oriented strandboard (OSB): Raw material, manufacturing process, properties, and uses. In Proceedings of the I seminário Internacional Sobre Produtos Sólidos de Madeira de Alta Tecnologia e I Encontro Sobre Tecnologias Apropriadas de Desdobro, Secagem e Utilização da Madeira de Eucalipto, Belo Horizonte, Brazil; 1998; pp. 173–185. [Google Scholar]
- Christoforo, A.L.; Ferro, F.S.; Arroyo, F.N.; Araújo, V.A.; Icimoto, F.H.; Santos, H.F.; Lahr, F.A.R. Chromated copper borate influence on physical and mechanical properties of oriented strand boards using Schizolobium amazonicum wood specie. Constr. Build. Mater. 2022, 356, 129237. [Google Scholar] [CrossRef]
- Maloney, T. Modern Particleboard e Dry-Process Fiberboard Manufacturing; Miller Freeman Publication: San Francisco, CA, USA, 1993. [Google Scholar]
- Longo, B.L.; Cunha, A.B.; Rios, P.D.; Terezo, R.F.; Almeida, C.C.F. Technological characterization of particleboards made with waste of five tropical species. Sci. For. 2015, 43, 907–917. [Google Scholar] [CrossRef]
- Lunguleasa, A.; Dumitrascu, A.E.; Ciobanu, V.D. Comparative studies on two types of osb boards obtained from mixed resinous and fast-growing hard wood. Appl. Sci. 2020, 10, 6634. [Google Scholar] [CrossRef]
- Zhuang, B.; Cloutier, A.; Koubaa, A. Physical and mechanical properties of oriented strand board made from eastern canadian softwood species. Forests 2022, 13, 523. [Google Scholar] [CrossRef]
- Iwakiri, S.; Potulski, D.C.; Sanches, F.G.; Silva, J.B.; Trianoski, R.; Pretko, W.C. Avaliação do potencial de uso da madeira de Acrocarpus fraxinifolius, Grevilea robusta, Melia azedarach e Toona ciliata para produção de painéis osb. Cerne 2020, 20, 277–284. [Google Scholar] [CrossRef][Green Version]
- Kelly, M. Critical Literature Review of Relationships between Processing Parameters and Physical Properties of Particleboard; U.S. Department of Agriculture, Forest Service, Forest Products Laboratory: Washington, DC, USA, 1977. [Google Scholar]
- Surdi, P.G.; Bortoletto, G.; Castro, V.R. Evaluating the Effects of Removing Fines from Particleboards Manufactured from Amazonian Wood Residue. Floresta Ambient. 2018, 25, e20170490. [Google Scholar] [CrossRef]
- Gorski, L.; Cunha, A.B.; Rios, P.D.; Trianoski, R.; Martarello, L.P. Produção de painéis de partículas orientadas (OSB) de Eucalyptus benthamii e Pinus spp. em diferentes combinações de camadas. Sci. For. 2015, 43, 367–375. [Google Scholar]
- Cabral, C.P.T.; Vital, B.R.; Lucia, R.M.D.; Pimenta, A.S.; Soares, C.P.B.; Carvalho, A.M.M.L. Propriedades de chapas tipo OSB, fabricadas com partículas acetiladas de madeiras de Eucalyptus grandis, Eucalyptus urophylla, Eucalyptus cloeziana e Pinus elliottii. Rev. Arvore 2006, 30, 659–668. [Google Scholar] [CrossRef]





| ID | Strand Proportion (%) | F:C:F * | |||
|---|---|---|---|---|---|
| Pinus | Erisma uncinatum | Hymenolobium excelsum | Caryocar villosum | ||
| T1 | 100% | - | - | - | 30:40:30 |
| T2 | 40% | 50% | - | 10% | 30:40:30 |
| T3 | 40% | - | 40% | 20% | 30:40:30 |
| T4 | 40% | 25% | 35% | - | 30:40:30 |
| T5 | 40% | 20% | 20% | 20% | 30:40:30 |
| Wood Species | Extractives (%) | p-Value | |
|---|---|---|---|
| Before | After | ||
| Erisma uncinatum | 4.80 ± 0.10 | 3.52 ± 0.35 | 38.46 |
| Caryocar villosum | 10.0 ± 0.16 | 7.25 ± 0.54 | 71.03 |
| Hymenolobium excelsum | 6.78 ± 0.08 | 6.88 ± 0.36 | 0.24 |
| ID | AD (kg/m3) | CR | MC (%) | NRRT (%) |
|---|---|---|---|---|
| T1 | 725.9 ± 0.025 a | 1.49 ± 0.03 d | 7.70 ± 1.19 a | 18.49 ± 6.06 ab |
| T2 | 735.3 ± 0.042 a | 1.60 ± 0.04 c | 8.17 ± 0.43 a | 16.21 ± 4.41 bc |
| T3 | 730.6 ± 0.055 a | 1.63 ± 0.05 b | 8.13 ± 0.30 a | 10.82 ± 2.86 d |
| T4 | 725.3 ± 0.042 a | 1.75 ± 0.05 a | 8.23 ± 0.36 a | 14.67 ± 3.19 bcd |
| T5 | 734.4 ± 0.044 a | 1.58 ± 0.05 c | 8.11 ± 0.39 a | 13.22 ± 3.61 cd |
Disclaimer/Publisher’s Note: The statements, opinions and data contained in all publications are solely those of the individual author(s) and contributor(s) and not of MDPI and/or the editor(s). MDPI and/or the editor(s) disclaim responsibility for any injury to people or property resulting from any ideas, methods, instructions or products referred to in the content. |
© 2023 by the authors. Licensee MDPI, Basel, Switzerland. This article is an open access article distributed under the terms and conditions of the Creative Commons Attribution (CC BY) license (https://creativecommons.org/licenses/by/4.0/).
Share and Cite
Aguiar, D.L.; Júnior, G.B.; Jankowsky, I.P.; Candaten, L.; Cavalcante, A.K.d.L.; Klingenberg, D.; de Souza, E.C.; Surdi, P.; Moutinho, V.H.P. Evaluation of the Oriented Strand Board Properties Produced Using Tropical Wood Mixtures. Forests 2023, 14, 2143. https://doi.org/10.3390/f14112143
Aguiar DL, Júnior GB, Jankowsky IP, Candaten L, Cavalcante AKdL, Klingenberg D, de Souza EC, Surdi P, Moutinho VHP. Evaluation of the Oriented Strand Board Properties Produced Using Tropical Wood Mixtures. Forests. 2023; 14(11):2143. https://doi.org/10.3390/f14112143
Chicago/Turabian StyleAguiar, Diego Lima, Geraldo Bortoletto Júnior, Ivaldo Pontes Jankowsky, Luana Candaten, Annie Karoline de Lima Cavalcante, Debora Klingenberg, Elias Costa de Souza, Paula Surdi, and Victor Hugo Pereira Moutinho. 2023. "Evaluation of the Oriented Strand Board Properties Produced Using Tropical Wood Mixtures" Forests 14, no. 11: 2143. https://doi.org/10.3390/f14112143
APA StyleAguiar, D. L., Júnior, G. B., Jankowsky, I. P., Candaten, L., Cavalcante, A. K. d. L., Klingenberg, D., de Souza, E. C., Surdi, P., & Moutinho, V. H. P. (2023). Evaluation of the Oriented Strand Board Properties Produced Using Tropical Wood Mixtures. Forests, 14(11), 2143. https://doi.org/10.3390/f14112143

