Exploring the Role of Weather and Forest Management on Nutrient Export in Boreal Forested Catchments Using Spatially Distributed Model
Abstract
1. Introduction
- i
- Estimate how much extreme weather conditions (dry, wet, and wet & mild) influence the N and P export from managed forest areas to water bodies,
- ii
- Estimate how much the effect of clear-cutting is affected by the extreme weather conditions, and
- iii
- Identify the nutrient export hotspots on sub-catchment and grid-cell level, and explore whether the hotspots vary between different weather conditions and clear-cut scenarios.
2. Materials and Methods
2.1. Study Area
2.2. NutSpaFHy
2.3. Input Data
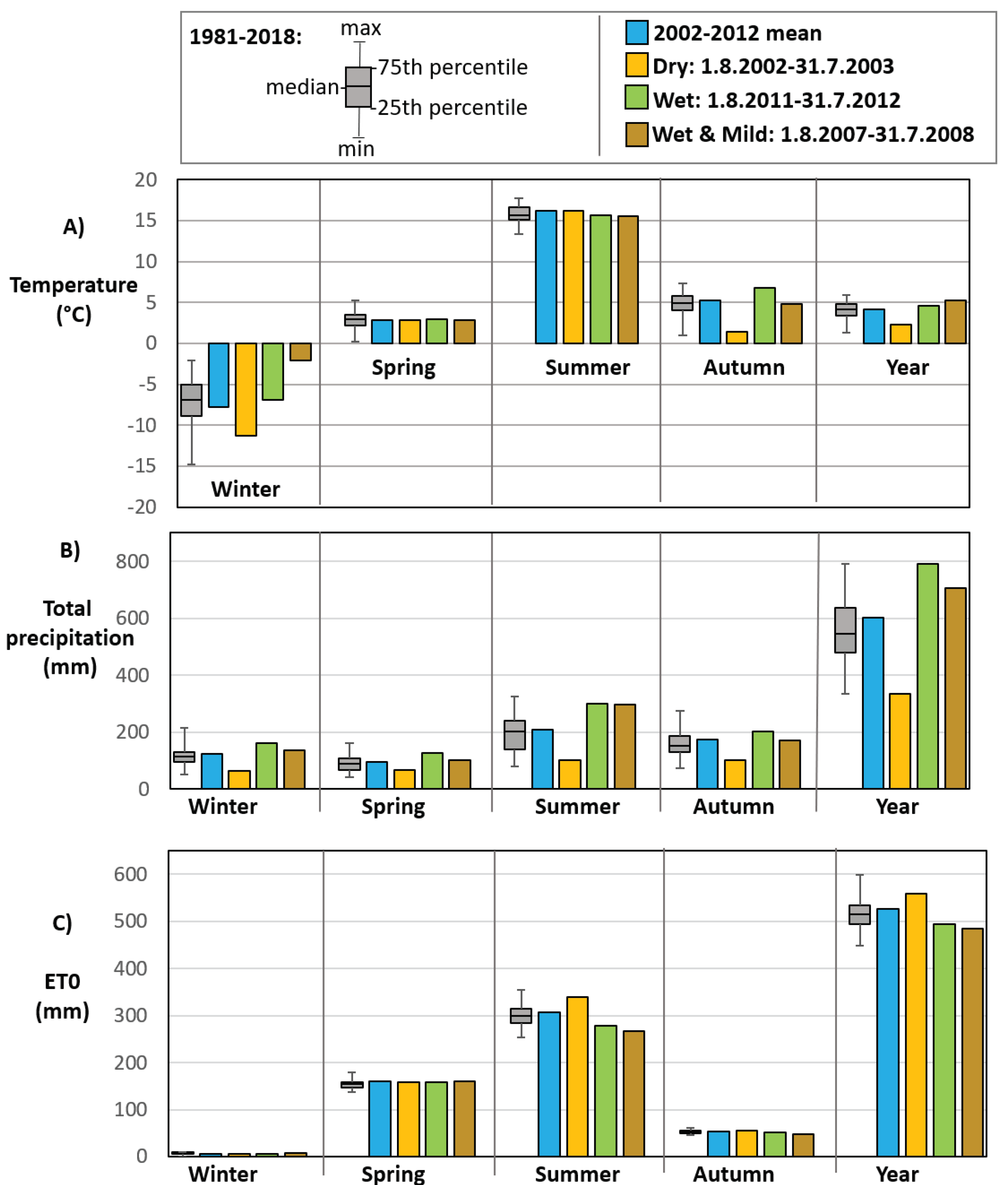
2.3.1. Weather Scenarios
2.3.2. Clear-Cut Scenarios
2.4. Calculations and Mapping of Hotspots
3. Results
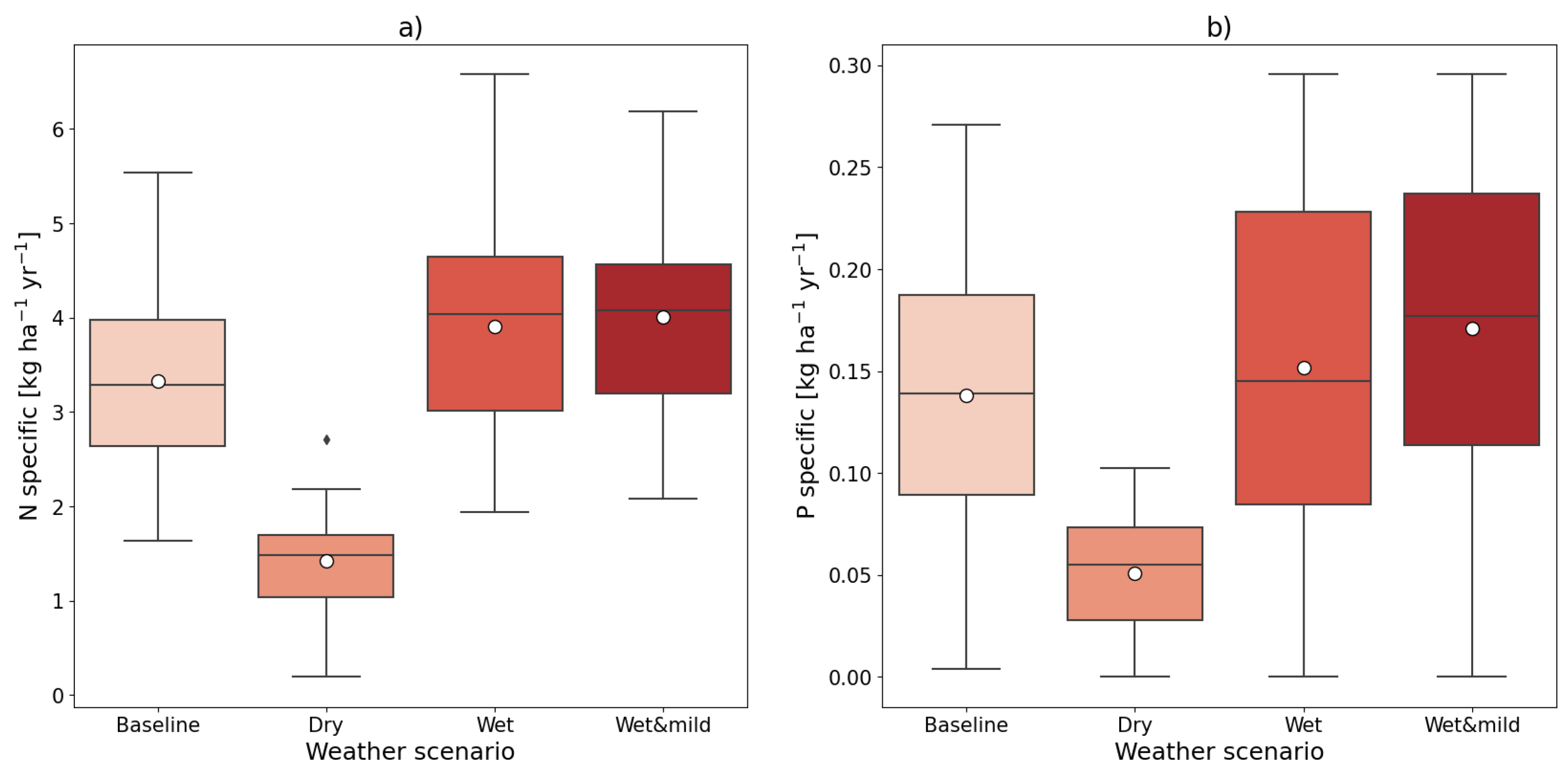
3.1. The Effects of Clear-Cuts and Extreme Weather on the Nutrient Export
3.2. Nutrient Export Hotspots
4. Discussion
5. Conclusions
Supplementary Materials
Author Contributions
Funding
Institutional Review Board Statement
Informed Consent Statement
Data Availability Statement
Acknowledgments
Conflicts of Interest
References
- WFD. Water Framework Directive. Directive 2000/60/EC of the European Parliament and the Council of 23 October 2000 establishing a framework for community action in the field of water policy. Off. J. Eur. Communities 2000, 327, 1–73. [Google Scholar]
- Röman, E.; Ekholm, P.; Tattari, S.; Koskiaho, J.; Kotamäki, N. Catchment characteristics predicting nitrogen and phosphorus losses in Finland. River Res. Appl. 2018, 34, 397–405. [Google Scholar] [CrossRef]
- Basnyat, P.; Teeter, L.; Flynn, K.; Lockaby, B.G. Relationships Between Landscape Characteristics and Nonpoint Source Pollution Inputs to Coastal Estuaries. Environ. Manag. 1999, 23, 539–549. [Google Scholar] [CrossRef] [PubMed]
- Evans, D.; Schoenholtz, S.; Wigington, P.; Griffith, S.; Floyd, W. Spatial and temporal patterns of dissolved nitrogen and phosphorus in surface waters of a multi-land use basin. Environ. Monit. Assess. 2014, 186, 873–887. [Google Scholar] [CrossRef] [PubMed]
- Malve, O.; Tattari, S.; Riihimäki, J.; Jaakkola, E.; Voss, A.; Williams, R.; Bärlund, I. Estimation of diffuse pollution loads in Europe for continental scale modelling of loads and in-stream river water quality. Hydrol. Process. 2012, 26, 2385–2394. [Google Scholar] [CrossRef]
- Taka, M. Key Drivers of Stream Water Quality Along an Urban-Rural Transition—A Watershed-Scale Perspective. Ph.D. Thesis, Department of Geosciences and Geography, University of Helsinki, Helsinki, Finland, 2017. [Google Scholar]
- Vesistöjen Kuormitus ja Luonnon Huuhtouma. 2020. Available online: https://www.ymparisto.fi/fi-fi/kartat_ja_tilastot/vesistojen_kuormitus_ja_luonnon_huuhtouma (accessed on 6 November 2022).
- Pihlainen, S.; Zandersen, M.; Hyytiäinen, K.; Andersen, H.E.; Bartosova, A.; Gustafsson, B.; Jabloun, M.; McCrackin, M.; Meier, H.M.; Olesen, J.E.; et al. Impacts of changing society and climate on nutrient loading to the Baltic Sea. Sci. Total. Environ. 2020, 731, 138935. [Google Scholar] [CrossRef]
- Räike, A.; Taskinen, A.; Knuuttila, S. Nutrient export from Finnish rivers into the Baltic Sea has not decreased despite water protection measures. Ambio 2020, 49, 460–474. [Google Scholar] [CrossRef]
- de Wit, H.A.; Lepistö, A.; Marttila, H.; Wenng, H.; Bechmann, M.; Blicher-Mathiesen, G.; Eklöf, K.N.; Futter, M.; Kortelainen, P.; Kronvang, B.; et al. Land-use dominates climate controls on nitrogen and phosphorus export from managed and natural Nordic headwater catchments. Hydrol. Process. 2020, 34, 4831–4850. [Google Scholar] [CrossRef]
- Lauren, A.A.; Guan, M.; Salmivaara, A.; Leinonen, A.; Palviainen, M.; Launiainen, S. NutSpaFHy—A Distributed Nutrient Balance Model to Predict Nutrient Export from Managed Boreal Headwater Catchments. Forests 2021, 12, 808. [Google Scholar] [CrossRef]
- Finér, L.; Lepistö, A.; Karlsson, K.; Räike, A.; Härkönen, L.; Huttunen, M.; Joensuu, S.; Kortelainen, P.; Mattsson, T.; Piirainen, S.; et al. Drainage for forestry increases N, P and TOC export to boreal surface waters. Sci. Total. Environ. 2021, 762, 144098. [Google Scholar] [CrossRef]
- Sponseller, R.A.; Gundale, M.J.; Futter, M.; Ring, E.; Nordin, A.; Näsholm, T.; Laudon, H. Nitrogen dynamics in managed boreal forests: Recent advances and future research directions. Ambio 2016, 45, 175–187. [Google Scholar] [CrossRef] [PubMed]
- Palviainen, M.; Finér, L.; Laurén, A.; Launiainen, S.; Piirainen, S.; Mattsson, T.; Starr, M. Nitrogen, Phosphorus, Carbon, and Suspended Solids Loads from Forest Clear-Cutting and Site Preparation: Long-Term Paired Catchment Studies from Eastern Finland. Ambio 2014, 43, 218–233. [Google Scholar] [CrossRef] [PubMed]
- Nieminen, M. Export of dissolved organic carbon, nitrogen and phosphorus following clear-cutting of three Norway spruce forests growing on drained peatlands in southern Finland. Silva Fenn. 2004, 38, 422. [Google Scholar] [CrossRef]
- Kreutzweiser, D.P.; Hazlett, P.W.; Gunn, J.M. Logging impacts on the biogeochemistry of boreal forest soils and nutrient export to aquatic systems: A review. Environ. Rev. 2008, 16, 157–179. [Google Scholar] [CrossRef]
- Ahtiainen, M.; Huttunen, P. Long term effects of forestry managements on water quality and loading in brooks. Boreal Environ. Res. 1999, 4, 101–114. [Google Scholar]
- Kortelainen, P.; Mattsson, T.; Finér, L.; Ahtiainen, M.; Saukkonen, S.; Sallantaus, T. Controls on the export of C, N, P and Fe from undisturbed boreal catchments, Finland. Aquat. Sci. 2006, 68, 453–468. [Google Scholar] [CrossRef]
- Korhonen, J. Suomen Vesistöjen Virtaaman ja Vedenkorkeuden Vaihtelut; Suomen Ympäristökeskus: Helsinki, Finland, 2007. [Google Scholar]
- Lindgren, V.; Guillaume, J.H.; Räsänen, T.A.; Jakkila, J.; Veijalainen, N.; Kummu, M. Spatiotemporal hydroclimate variability in Finland: Past trends. J. Hydrometeorol. 2017, 18, 1765–1782. [Google Scholar] [CrossRef]
- Ide, J.; Finér, L.; Laurén, A.; Piirainen, S.; Launiainen, S. Effects of clear-cutting on annual and seasonal runoff from a boreal forest catchment in eastern Finland. For. Ecol. Manag. 2013, 304, 482–491. [Google Scholar] [CrossRef]
- Finér, L.; Mannerkoski, H.; Piirainen, S.; Starr, M. Carbon and nitrogen pools in an old-growth, Norway spruce mixed forest in eastern Finland and changes associated with clear-cutting. For. Ecol. Manag. 2003, 174, 51–63. [Google Scholar] [CrossRef]
- Palviainen, M.; Finér, L.; Mannerkoski, H.; Piirainen, S.; Starr, M. Responses of ground vegetation species to clear-cutting in a boreal forest: Aboveground biomass and nutrient contents during the first 7 years. Ecol. Res. 2005, 20, 652–660. [Google Scholar] [CrossRef]
- Nieminen, M.; Sallantaus, T.; Ukonmaanaho, L.; Nieminen, T.M.; Sarkkola, S. Nitrogen and phosphorus concentrations in discharge from drained peatland forests are increasing. Sci. Total. Environ. 2017, 609, 974–981. [Google Scholar] [CrossRef] [PubMed]
- Laurén, A.; Finér, L.; Koivusalo, H.; Kokkonen, T.; Karvonen, T.; Kellomäki, S.; Mannerkoski, H.; Ahtiainen, M. Water and nitrogen processes along a typical water flowpath and streamwater exports from a forested catchment and changes after clear-cutting: A modelling study. Hydrol. Earth Syst. Sci. 2005, 9, 657–674. [Google Scholar] [CrossRef]
- Huttunen, I.; Lehtonen, H.; Huttunen, M.; Piirainen, V.; Korppoo, M.; Veijalainen, N.; Viitasalo, M.; Vehviläinen, B. Effects of climate change and agricultural adaptation on nutrient loading from Finnish catchments to the Baltic Sea. Sci. Total. Environ. 2015, 529, 168–181. [Google Scholar] [CrossRef] [PubMed]
- Finér, L.; Mattsson, T.; Joensuu, S.; Koivusalo, H.; Laurén, A.; Makkonen, T.; Nieminen, M.; Tattari, S.; Ahti, E.; Kortelainen, P.; et al. Metsäisten Valuma-Alueiden Vesistökuormituksen Laskenta; Suomen Ympäristökeskus: Helsinki, Finland, 2010; p. 33. (In Finnish) [Google Scholar]
- Huttunen, I.; Huttunen, M.; Piirainen, V.; Korppoo, M.; Lepistö, A.; Räike, A.; Tattari, S.; Vehviläinen, B. A national scale nutrient loading model for Finnish watersheds—VEMALA. Environ. Model. Assess. 2016, 21, 83–109. [Google Scholar] [CrossRef]
- Wade, A.; Durand, P.; Beaujouan, V.; Wessel, W.W.; Raat, K.J.; Whitehead, P.G.; Butterfield, D.; Rankinen, K.; Lepistö, A. A nitrogen model for European catchments: INCA, new model structure and equations. Hydrol. Earth Syst. Sci. Discuss. 2002, 6, 559–582. [Google Scholar] [CrossRef]
- Børgesen, C.D.; Olesen, J.E. A probabilistic assessment of climate change impacts on yield and nitrogen leaching from winter wheat in Denmark. Nat. Hazards Earth Syst. Sci. 2011, 11, 2541–2553. [Google Scholar] [CrossRef]
- Mellander, P.E.; Jordan, P.; Bechmann, M.; Fovet, O.; Shore, M.M.; McDonald, N.T.; Gascuel-Odoux, C. Integrated climate-chemical indicators of diffuse pollution from land to water. Sci. Rep. 2018, 8, 1–10. [Google Scholar] [CrossRef]
- Tattari, S.; Koskiaho, J.; Kosunen, M.; Lepistö, A.; Linjama, J.; Puustinen, M. Nutrient loads from agricultural and forested areas in Finland from 1981 up to 2010—Can the efficiency of undertaken water protection measures seen? Environ. Monit. Assessessment 2017, 189, 95. [Google Scholar] [CrossRef][Green Version]
- Rankinen, K.; Keinänen, H.; Cano Bernal, J.E. Influence of climate and land use changes on nutrient fluxes from Finnish rivers to the Baltic Sea. Agric. Ecosyst. Environ. 2016, 216, 100–115. [Google Scholar] [CrossRef]
- Lehtonen, I.; Jylhä, K. Tendency towards a more extreme precipitation climate in the Coupled Model Intercomparison Project Phase 5 models. Atmos. Sci. Lett. 2019, 20, e895. [Google Scholar] [CrossRef]
- Olsson, T. Impacts of climate change on temperature, precipitation and hydrology in Finland-studies using bias corrected Regional Climate Model data. Hydrol. Earth Syst. Sci. 2015, 12, 2657–2706. [Google Scholar] [CrossRef]
- Launiainen, S.; Guan, M.; Salmivaara, A.; Kieloaho, A.J. Modeling boreal forest evapotranspiration and water balance at stand and catchment scales: A spatial approach. Hydrol. Earth Syst. Sci. 2019, 23, 3457–3480. [Google Scholar] [CrossRef]
- Nieminen, M.; Sarkkola, S.; Hasselquist, E.M.; Sallantaus, T. Long-Term Nitrogen and Phosphorus Dynamics in Waters Discharging from Forestry-Drained and Undrained Boreal Peatlands. Water Air Soil Pollut. 2021, 232, 1–9. [Google Scholar] [CrossRef]
- FFC. Open Forest Inventory Data (FID) of the Finnish Forest Centre (FFC). 2018. Available online: https://www.metsaan.fi/paikkatietoaineistot (accessed on 1 March 2020).
- Mäkisara, K.; Katila, M.; Peräsaari, J.; Tomppo, E. The Multi-Source National Forest Inventory of Finland—Methods and Results 2013; Number 8/2019 in Natural Resources and Bioeconomy Studies; Natural Resources Institute Finland (Luke): Helsinki, Finland, 2016. [Google Scholar]
- Leinonen, A.; Laurén, A.A.; Salmivaara, A.; Palviainen, M.; Finér, L. Identifying Nutrient Export Hotspots Using Spatially Distributed Process Model in Boreal Forested Catchments Managed by Clear-Cuts. Forests, 2022; submitted. [Google Scholar]
- NLSF. National Land Survey of Finland. Topographic Database. Available online: http://www.maanmittauslaitos.fi/en/e-services/open-data-file-download-service (accessed on 1 March 2020).
- Salmivaara, A. Topographical Wetness Index for Finland, 16 m. 2016. Available online: http://urn.fi/urn:nbn:fi:csc-kata20170511114638598124 (accessed on 1 March 2020).
- GSF. Geological Survey of Finland. Bedrock 1:200,000 and Superficial Deposits 1:20,000, 1:50,000 and 1:200,000. 2015. Available online: https://hakku.gtk.fi/en (accessed on 1 March 2020).
- Härkönen, S.; Lehtonen, A.; Manninen, T.; Tuominen, S.; Peltoniemi, M. Estimating forest leaf area index using satellite images: Comparison of k-NN based Landsat-NFI LAI with MODIS-RSR based LAI product for Finland. Boreal Environ. Res. 2015, 20, 181–195. [Google Scholar]
- Korhonen, L.; Korhonen, K.T.; Stenberg, P.; Maltamo, M.; Rautiainen, M. Local models for forest canopy cover with beta regression. Silva Fenn. 2007, 41, 671–685. [Google Scholar] [CrossRef]
- Aalto, J.; Pirinen, P.; Jylhä, K. New gridded daily climatology of Finland: Permutation-based uncertainty estimates and temporal trends in climate. J. Geophys. Res. Atmos. 2016, 121, 3807–3823. [Google Scholar] [CrossRef]
- Vicente-Serrano, S.M.; Beguería, S.; López-Moreno, J.I. A multiscalar drought index sensitive to global warming: The standardized precipitation evapotranspiration index. J. Clim. 2010, 23, 1696–1718. [Google Scholar] [CrossRef]
- Hargreaves, G.H. Defining and using reference evapotranspiration. J. Irrig. Drain. Eng. 1994, 120, 1132–1139. [Google Scholar] [CrossRef]
- Niinistö, T.; Peltola, A.; Räty, M.; Sauvula-Seppälä, T.; Torvelainen, J.; Uotila, E.; Vaahtera, E. (Eds.) Finnish Statistical Yearbook of Forestry 2021; Luonnonvarakeskus (Luke): Helsinki, Finland, 2021. [Google Scholar]
- Laurén, A.; Heinonen, J.; Koivusalo, H.; Sarkkola, S.; Tattari, S.; Mattsson, T.; Ahtiainen, M.; Joensuu, S.; Kokkonen, T.; Finér, L. Implications of Uncertainty in a Pre-treatment Dataset when Estimating Treatment Effects in Paired Catchment Studies: Phosphorus Loads from Forest Clear-cuts. Water Air Soil Pollut 2009, 169, 251–261. [Google Scholar] [CrossRef]
- Palviainen, M.; Laurén, A.; Launiainen, S.; Piirainen, S. Predicting the export and concentrations of organic carbon, nitrogen and phosphorus in boreal lakes by catchment characteristics and land use: A practical approach. Ambio 2016, 45, 933–945. [Google Scholar] [CrossRef]
- Palviainen, M.; Finér, L.; Laurén, A.; Högbom, L. A method to estimate the impact of clear-cutting on nutrient concentrations in boreal headwater streams. Ambio 2015, 44, 521–531. [Google Scholar] [CrossRef]
- Aaltonen, H.; Tuukkanen, T.; Palviainen, M.; Laurén, A.A.; Tattari, S.; Piirainen, S.; Mattsson, T.; Ojala, A.; Launiainen, S.; Finér, L. Controls of Organic Carbon and Nutrient Export from Unmanaged and Managed Boreal Forested Catchments. Water 2021, 13, 2363. [Google Scholar] [CrossRef]
- Finér, L.; Lepistö, A.; Karlsson, K.; Räike, A.; Tattari, S.; Huttunen, M.; Härkönen, L.; Joensuu, S.; Kortelainen, P.; Mattsson, T.; et al. Metsistä ja Soilta Tuleva Vesistökuormitus 2020; Valtioneuvoston Kanslia: Helsinki, Finland, 2020. (In Finnish)
- Tossavainen, T. Puruveteen Laskevan Kuonanjärven Nykyinen Tila—Sedimentin Laatu Ja Määrä, Pohjaeläimistö, Vedenlaatu Sekä Kuormitus—Ja fOsforimallitarkastelu Kunnostussuunnittelun Perustaksi (In Finnish) [The Current Status of Lake Kuonanjärvi Draining to Lake Puruvesi—Quality and Quantity of Sediment, Macro Invertebrates, Water Quality and Loading and Phosphorus Modelling for Water Protection Planning]; Karelia-ammattikorkeakoulu: Joensuu, Finland, 2019; p. 117. [Google Scholar]
- Siipilehto, J. Taimikoiden tila valtakunnan metsien 11. inventoinnin mukaan ja biometriset mallit eritasoisilla lähtötiedoilla. MetsäTieteen Aikakauskirja 2021, 2021, 10421. [Google Scholar] [CrossRef]
- Worrall, F.; Moody, C.S.; Clay, G.D.; Burt, T.P.; Rose, R. The total phosphorus budget of a peat-covered catchment. J. Geophys. Res. Biogeosci. 2016, 121, 1814–1828. [Google Scholar] [CrossRef]
- Tuukkanen, T.; Marttila, H.; Kløve, B. Predicting organic matter, nitrogen, and phosphorus concentrations in runoff from peat extraction sites using partial least squares regression. Water Resour. Res. 2017, 53, 5860–5876. [Google Scholar] [CrossRef]
- Leppä, K.; Hökkä, H.; Laiho, R.; Launiainen, S.; Lehtonen, A.; Mäkipää, R.; Peltoniemi, M.; Saarinen, M.; Sarkkola, S.; Nieminen, M. Selection Cuttings as a Tool to Control Water Table Level in Boreal Drained Peatland Forests. Front. Earth Sci. 2020, 8, 428. [Google Scholar] [CrossRef]
- Nieminen, M.; Hasselquist, E.M.; Mosquera, V.; Ukonmaanaho, L.; Sallantaus, T.; Sarkkola, S. Post-Drainage Stand Growth and Peat Mineralization Impair Water Quality from Forested Peatlands. J. Environ. Qual. 2022, 51, 1211–1221. [Google Scholar] [CrossRef]
- Tattari, S.; Leinonen, A. Malliperheen Sovellus Puruveden vesistöalueelle (In Finnish) [Applying the National Integrated Modelling framework in Lake Puruvesi region] Report of Milestone 3. First Applications on National Integrated Model for River Basin Management Pilot Areas to be Applied Ready (Case Puruvesi); Freshabit Life IP, Metsähallitus: Helsinki, Finland, 2017; p. 45. [Google Scholar]
- Ruosteenoja, K.; Jylhä, K. Projected climate change in Finland during the 21st century calculated from CMIP6 model simulations. Geophysica 2021, 56, 39–69. [Google Scholar]










| Data Item | Source; Additional Information |
|---|---|
| Needle/leaf biomass per tree species, [10 kg/ha] | FID&MS-NFI; converted to [kg/ha], Leaf-area index calculated based on [44] |
| Tree stand basal area, [m2/ha] | FID&MS-NFI; canopy cover calculated based on [45] |
| Stem volume per tree species, [m3/ha] | FID&MS-NFI |
| Stand age, [years] | FID&MS-NFI |
| Tree height, [dm] | FID&MS-NFI; converted to [m] |
| Root biomass, [10 kg/ha] | FID&MS-NFI; converted to [kg/ha] |
| Site type [unitless, classes 1–4] | FID&MS-NFI; Appendix A. in [11] |
| Site fertility class [unitless, classes 1–7] | FID&MS-NFI; Appendix A. in [11] |
| Clear-cut scenario rasters [binary] | FID; see Section 2.3.2 |
| Soil class [unitless] | [43] |
| Peat areas [binary] | [41] |
| Bare rock areas [binary] | [41] |
| Water elements [binary] | [41] |
| Digital elevation model (DEM) [m] | [41] |
| Slope [degree] | calculated from DEM |
| Flow accummulation [m2] | calculated from DEM |
| Topographic Wetness Index (TWI) [unitless] | [42] |
| Mean distance to waterbody [m] | calculated from DEM |
| Latitude & longitude [m] | [41]; in EUREF TM35FIN, EPSG:3067 |
| Mean daily temperature [°C] | [46]; temperature sum calculated as degree days, threshold above 5 °C, see Section 2.3.1. for weather scenario description |
| Daily precipitation [mm] | [46] |
| Water vapour partial pressure [hPa] | [46] |
| Global radiation [kJ/m2] | [46] |
| Weather | Clear-Cut Scenario | Description of Weather Construction |
|---|---|---|
| Baseline | no clear-cuts | EN,P base is the nutrient export simulated with observed weather in |
| period 2002–2012 without any clear-cuts. It gives the baseline to | ||
| which other scenarios were compared | ||
| Baseline | all clear-cuts | 2002–2012 observed weather and all mature forest sites clear-cut |
| Dry | no clear-cuts | repeating observed dry period without any clear-cuts |
| Dry | all clear-cuts | repeating observed dry period with all mature forest sites clear-cut |
| Wet | no clear-cuts | repeating observed wet period without any clear-cuts |
| Wet | all clear-cuts | repeating observed wet period with all mature forest sites clear-cut |
| Wet & mild | no clear-cuts | repeating observed wet & mild period without any clear-cuts |
| Wet & mild | all clear-cuts | repeating observed wet & mild period with all mature forest |
| sites clear-cut |
| Scenario | N [kg year−1] | P [kg year−1] | N [g L−1 year−1] | P [g L−1 year−1] | Runoff [mm year−1] |
|---|---|---|---|---|---|
| EN,P base | 11,510 | 413 | 967 | 35 | 240 |
| Baseline: all clear-cuts | 14,177 | 524 | 1081 | 40 | 264 |
| Dry: no clear-cuts | 1059 | 43 | 519 | 21 | 40 |
| Dry: all clear-cuts | 2278 | 89 | 859 | 34 | 52 |
| Wet: no clear-cuts | 14,468 | 559 | 743 | 29 | 394 |
| Wet: all clear-cuts | 17,598 | 681 | 834 | 32 | 425 |
| Wet & mild: no clear-cuts | 17,756 | 656 | 1084 | 40 | 331 |
| Wet & mild: all clear-cuts | 20,955 | 770 | 1195 | 45 | 353 |
Disclaimer/Publisher’s Note: The statements, opinions and data contained in all publications are solely those of the individual author(s) and contributor(s) and not of MDPI and/or the editor(s). MDPI and/or the editor(s) disclaim responsibility for any injury to people or property resulting from any ideas, methods, instructions or products referred to in the content. |
© 2023 by the authors. Licensee MDPI, Basel, Switzerland. This article is an open access article distributed under the terms and conditions of the Creative Commons Attribution (CC BY) license (https://creativecommons.org/licenses/by/4.0/).
Share and Cite
Salmivaara, A.; Leinonen, A.; Palviainen, M.; Korhonen, N.; Launiainen, S.; Tuomenvirta, H.; Ukonmaanaho, L.; Finér, L.; Laurén, A. Exploring the Role of Weather and Forest Management on Nutrient Export in Boreal Forested Catchments Using Spatially Distributed Model. Forests 2023, 14, 89. https://doi.org/10.3390/f14010089
Salmivaara A, Leinonen A, Palviainen M, Korhonen N, Launiainen S, Tuomenvirta H, Ukonmaanaho L, Finér L, Laurén A. Exploring the Role of Weather and Forest Management on Nutrient Export in Boreal Forested Catchments Using Spatially Distributed Model. Forests. 2023; 14(1):89. https://doi.org/10.3390/f14010089
Chicago/Turabian StyleSalmivaara, Aura, Antti Leinonen, Marjo Palviainen, Natalia Korhonen, Samuli Launiainen, Heikki Tuomenvirta, Liisa Ukonmaanaho, Leena Finér, and Annamari (Ari) Laurén. 2023. "Exploring the Role of Weather and Forest Management on Nutrient Export in Boreal Forested Catchments Using Spatially Distributed Model" Forests 14, no. 1: 89. https://doi.org/10.3390/f14010089
APA StyleSalmivaara, A., Leinonen, A., Palviainen, M., Korhonen, N., Launiainen, S., Tuomenvirta, H., Ukonmaanaho, L., Finér, L., & Laurén, A. (2023). Exploring the Role of Weather and Forest Management on Nutrient Export in Boreal Forested Catchments Using Spatially Distributed Model. Forests, 14(1), 89. https://doi.org/10.3390/f14010089

