Forest Total and Component Above-Ground Biomass (AGB) Estimation through C- and L-band Polarimetric SAR Data
Abstract
:1. Introduction
2. Materials and Methods
2.1. Test Site
2.1.1. Test Site I
2.1.2. Test Site II
2.2. Plot Measurements
2.3. Field-Based AGB Calculation
2.4. SAR Data Acquisition and Processing
2.5. Polarimetric Parameter Extraction
2.6. Correlation Analysis
2.7. Parameter Optimal Selection
2.8. Model Building and Evaluation
3. Results
3.1. Relating Biomass to Backscattering Coefficients of Each Polarimetric Channel
3.2. Relating Biomass to Polarimetric Decomposition Parameters
3.3. Optimal Selected Parameters
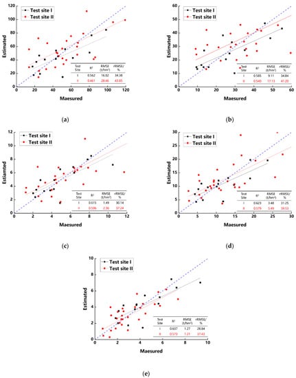
3.4. Forest AGB Estimation and Validation
4. Discussion
5. Conclusions
Author Contributions
Funding
Institutional Review Board Statement
Informed Consent Statement
Data Availability Statement
Acknowledgments
Conflicts of Interest
References
- Wang, Y.; Pyörälä, J.; Liang, X.; Lehtomäki, M.; Kukko, A.; Yu, X.; Kaartinen, H.; Hyyppä, J. In Situ Biomass Estimation at Tree and Plot Levels: What Did Data Record and What Did Algorithms Derive from Terrestrial and Aerial Point Clouds in Boreal Forest. Remote Sens. Environ. 2019, 232, 111309. [Google Scholar] [CrossRef]
- Santoro, M.; Cartus, O.; Fransson, J.E.S.; Wegmüller, U. Complementarity of X-, C-, and L-Band SAR Backscatter Observations to Retrieve Forest Stem Volume in Boreal Forest. Remote Sens. 2019, 11, 1563. [Google Scholar] [CrossRef] [Green Version]
- Lu, D.; Chen, Q.; Wang, G.; Liu, L.; Li, G.; Moran, E. A Survey of Remote Sensing-Based Aboveground Biomass Estimation Methods in Forest Ecosystems. Int. J. Digit. Earth 2016, 9, 63–105. [Google Scholar] [CrossRef]
- Hayashi, M.; Motohka, T.; Sawada, Y. Aboveground Biomass Mapping Using ALOS-2/PALSAR-2 Time-Series Images for Borneo’s Forest. IEEE J. Sel. Top. Appl. Earth Obs. Remote Sens. 2019, 12, 5167–5177. [Google Scholar] [CrossRef]
- Gallaun, H.; Zanchi, G.; Nabuurs, G.-J.; Hengeveld, G.; Schardt, M.; Verkerk, P.J. EU-Wide Maps of Growing Stock and above-Ground Biomass in Forests Based on Remote Sensing and Field Measurements. For. Ecol. Manag. 2010, 260, 252–261. [Google Scholar] [CrossRef]
- Baccini, A.; Goetz, S.J.; Walker, W.S.; Laporte, N.T.; Sun, M.; Sulla-Menashe, D.; Hackler, J.; Beck, P.S.A.; Dubayah, R.; Friedl, M.A.; et al. Estimated Carbon Dioxide Emissions from Tropical Deforestation Improved by Carbon-Density Maps. Nat. Clim. Change 2012, 2, 182–185. [Google Scholar] [CrossRef]
- Kellndorfer, J.M.; Dubayah, R.; Siqueira, P.; Saatchi, S.S.; Chapman, B.D.; Rosen, P.A. Large-Scale Mapping and Monitoring of Terrestrial Ecosystems with the NISAR Mission. In Proceedings of the AGU Fall Meeting 2014, San Francisco, CA, USA, 15–19 December 2014. [Google Scholar]
- Lambert, M.-C.; Ung, C.-H.; Raulier, F. Canadian National Tree Aboveground Biomass Equations. Can. J. For. Res. 2005, 35, 1996–2018. [Google Scholar] [CrossRef]
- Tsui, O.W.; Coops, N.C.; Wulder, M.A.; Marshall, P.L.; McCardle, A. Using Multi-Frequency Radar and Discrete-Return LiDAR Measurements to Estimate above-Ground Biomass and Biomass Components in a Coastal Temperate Forest. ISPRS J. Photogramm. Remote Sens. 2012, 69, 121–133. [Google Scholar] [CrossRef]
- Saatchi, S.; Halligan, K.; Despain, D.G.; Crabtree, R.L. Estimation of Forest Fuel Load From Radar Remote Sensing. IEEE Trans. Geosci. Remote Sens. 2007, 45, 1726–1740. [Google Scholar] [CrossRef]
- Le Toan, T.; Beaudoin, A.; Riom, J.; Guyon, D. Relating Forest Biomass to SAR Data. IEEE Trans. Geosci. Remote Sens. 1992, 30, 403–411. [Google Scholar] [CrossRef]
- Dobson, M.C.; Ulaby, F.T.; LeToan, T.; Beaudoin, A.; Kasischke, E.S.; Christensen, N. Dependence of Radar Backscatter on Coniferous Forest Biomass. IEEE Trans. Geosci. Remote Sens. 1992, 30, 412–415. [Google Scholar] [CrossRef]
- Kasischke, E.S.; Christensen, N.L.; Bourgeau-Chavez, L.L. Correlating Radar Backscatter with Components of Biomass in Loblolly Pine Forests. IEEE Trans. Geosci. Remote Sens. 1995, 33, 643–659. [Google Scholar] [CrossRef]
- Peregon, A.; Yamagata, Y. The Use of ALOS/PALSAR Backscatter to Estimate above-Ground Forest Biomass: A Case Study in Western Siberia. Remote Sens. Environ. 2013, 137, 139–146. [Google Scholar] [CrossRef]
- Stelmaszczuk-Górska, M.; Urbazaev, M.; Schmullius, C.; Thiel, C. Estimation of Above-Ground Biomass over Boreal Forests on Siberia Using Updated In Situ, ALOS-2 PALSAR-2, and RADARSAT-2 Data. Remote Sens. 2018, 10, 1550. [Google Scholar] [CrossRef] [Green Version]
- Monteith, A.R.; Ulander, L.M.H. Temporal Characteristics of P-Band Tomographic Radar Backscatter of a Boreal Forest. IEEE J. Sel. Top. Appl. Earth Obs. Remote Sens. 2021, 14, 1967–1984. [Google Scholar] [CrossRef]
- Garestier, F.; Dubois-Fernandez, P.C.; Guyon, D.; Le Toan, T. Forest Biophysical Parameter Estimation Using L- and P-Band Polarimetric SAR Data. IEEE Trans. Geosci. Remote Sens. 2009, 47, 3379–3388. [Google Scholar] [CrossRef]
- Gonçalves, F.G.; Santos, J.R.; Treuhaft, R.N. Stem Volume of Tropical Forests from Polarimetric Radar. Int. J. Remote Sens. 2011, 32, 503–522. [Google Scholar] [CrossRef]
- Kobayashi, S.; Omura, Y.; Sanga-Ngoie, K.; Widyorini, R.; Kawai, S.; Supriadi, B.; Yamaguchi, Y. Characteristics of Decomposition Powers of L-Band Multi-Polarimetric SAR in Assessing Tree Growth of Industrial Plantation Forests in the Tropics. Remote Sens. 2012, 4, 3058–3077. [Google Scholar] [CrossRef] [Green Version]
- Chowdhury, T.; Thiel, C.; Schmullius, C.; Stelmaszczuk-Górska, M. Polarimetric Parameters for Growing Stock Volume Estimation Using ALOS PALSAR L-Band Data over Siberian Forests. Remote Sens. 2013, 5, 5725–5756. [Google Scholar] [CrossRef] [Green Version]
- Dobson, M.C.; Ulaby, F.T.; Pierce, L.E.; Sharik, T.L.; Bergen, K.M.; Kellndorfer, J.; Kendra, J.R.; Li, E.; Lin, Y.C.; Nashashibi, A.; et al. Estimation of Forest Biophysical Characteristics in Northern Michigan with SIR-C/X-SAR. IEEE Trans. Geosci. Remote Sens. 1995, 33, 877–895. [Google Scholar] [CrossRef]
- Cronin, N.; Lucas, R.M.; Milne, A.K.; Witte, C. Relationships between the Component Biomass of Woodlands in Australia and Data from Airborne and Spaceborne SAR. IEEE 2000, 4, 1393–1395. [Google Scholar]
- Wei, J.; Fan, W.; Yu, Y.; Mao, X. Polarimetric Decomposition Parameters for Artificial Forest Canopy Biomass Estimation Using GF-3 Fully Polarimetric SAR Data. Sci. Silvae Sin. 2020, 56, 174–183. (In Chinese) [Google Scholar] [CrossRef]
- Cheng, S.; Xu, Z.; Su, Y.; Zhen, L. Spatial and Temporal Flows of China’s Forest Resources: Development of a Framework for Evaluating Resource Efficiency. Ecol. Econ. 2010, 69, 1405–1415. [Google Scholar] [CrossRef]
- Cai, H.; Yang, X.; Wang, K.; Xiao, L. Is Forest Restoration in the Southwest China Karst Promoted Mainly by Climate Change or Human-Induced Factors? Remote Sens. 2014, 6, 9895–9910. [Google Scholar] [CrossRef] [Green Version]
- Hu, T.; Hu, H.; Li, F.; Zhao, B.; Wu, S.; Zhu, G.; Sun, L. Long-Term Effects of Post-Fire Restoration Types on Nitrogen Mineralisation in a Dahurian Larch (Larix Gmelinii) Forest in Boreal China. Sci. Total Environ. 2019, 679, 237–247. [Google Scholar] [CrossRef]
- Song, Q.; Fan, W. ALOS PALSAR Estimation of Vegetation Biomass in Daxing’anling Region. Chin. J. Appl. Ecol. 2011, 22, 303–308. (In Chinese) [Google Scholar]
- Li, M.; Yu, X.; Gao, Y.; Fan, W. Remote Sensing Quantification on Forest Biomass Based on SAR Polarization Decompositon and Landsat Data. J. Beijing For. Univ. 2018, 40, 1–10. (In Chinese) [Google Scholar] [CrossRef]
- State Forestry Administration of China. Tree Biomass Models and Related Parameters to Carbon Accounting for Pinus yunnanensis; State Forestry Administration of China: Beijing, China, 2014; pp. 2–3. (In Chinese)
- State Forestry Administration of China. Tree Biomass Models and Related Parameters to Carbon Accounting for Larix gmelinii; State Forestry Administration of China: Beijing, China, 2016; pp. 2–6. (In Chinese)
- State Forestry Administration of China. Tree Biomass Models and Related Parameters to Carbon Accounting for Betula platyphylla; State Forestry Administration of China: Beijing, China, 2016; pp. 2–6. (In Chinese)
- Li, B.; Liu, Z.; Wang, L. A Primary Study on the Structure of the Forest Stands of Forest of Pinus Yunnanensis and the Regular Pattern of Its Development. J. Yunnan Univ. Nat. Sci. 1984, 01, 47–58. (In Chinese) [Google Scholar]
- Zhang, J.; Sun, Y.; Xu, J. Research on Growing Process of Larix Gmeini Plantation in Northeast of China. J. Northwest For. Univ. 2008, 23, 179–181. (In Chinese) [Google Scholar]
- Wang, L.; Wang, L. The Growth Model of DBH of Birch Based on Quantitative Theory. Anhui Agri. Sci. Bull. 2016, 22, 89–99. (In Chinese) [Google Scholar] [CrossRef]
- Zhang, W.; Li, Z.; Chen, E.; Zhang, Y.; Yang, H.; Zhao, L.; Ji, Y. Compact Polarimetric Response of Rape (Brassica Napus L.) at C-Band: Analysis and Growth Parameters Inversion. Remote Sens. 2017, 9, 591. [Google Scholar] [CrossRef] [Green Version]
- Zhang, W.; Chen, E.; Li, Z.; Zhao, L.; Ji, Y.; Zhang, Y.; Liu, Z. Rape (Brassica Napus L.) Growth Monitoring and Mapping Based on Radarsat-2 Time-Series Data. Remote Sens. 2018, 10, 206. [Google Scholar] [CrossRef] [Green Version]
- Cloude, S.R.; Pottier, E. A Review of Target Decomposition Theorems in Radar Polarimetry. IEEE Trans. Geosci. Remote Sens. 1996, 34, 498–518. [Google Scholar] [CrossRef]
- Breiman, L. Random Forests. Mach. Learn. 2001, 45, 5–32. [Google Scholar] [CrossRef] [Green Version]
- R Core Team. R: A Language and Environment for Statistical Computing; R Foundation for Statistical Computing: Vienna, Austria, 2020. [Google Scholar]
- He, Q.; Chen, E.; An, R.; Li, Y. Above-Ground Biomass and Biomass Components Estimation Using LiDAR Data in a Coniferous Forest. Forests 2013, 4, 984–1002. [Google Scholar] [CrossRef] [Green Version]
- Stone, M. Cross-Validatory Choice and Assessment of Statistical Predictions. J. R. Stat. Soc. Ser. B Methodol. 1974, 36, 111–133. [Google Scholar] [CrossRef]
- Cawley, G.C.; Talbot, N.L.C. Fast Exact Leave-One-out Cross-Validation of Sparse Least-Squares Support Vector Machines. Neural Netw. 2004, 17, 1467–1475. [Google Scholar] [CrossRef]
- Imhoff, M.L. Radar Backscatter and Biomass Saturation: Ramifications for Global Biomass Inventory. IEEE Trans. Geosci. Remote Sens. 1995, 33, 511–518. [Google Scholar] [CrossRef]
- Ji, Y.; Xu, K.; Zeng, P.; Zhang, W. GA-SVR Algorithm for Improving Forest above Ground Biomass Estimation Using SAR Data. IEEE J. Sel. Top. Appl. Earth Obs. Remote Sens. 2021, 14, 6585–6595. [Google Scholar] [CrossRef]
- Santoro, M.; Fransson, J.E.S.; Eriksson, L.E.B.; Magnusson, M.; Ulander, L.M.H.; Olsson, H. Signatures of ALOS PALSAR L-Band Backscatter in Swedish Forest. IEEE Trans. Geosci. Remote Sens. 2009, 47, 4001–4019. [Google Scholar] [CrossRef] [Green Version]
- Cui, Y.; Yamaguchi, Y.; Yang, J.; Park, S.-E.; Kobayashi, H.; Singh, G. Three-Component Power Decomposition for Polarimetric SAR Data Based on Adaptive Volume Scatter Modeling. Remote Sens. 2012, 4, 1559–1572. [Google Scholar] [CrossRef] [Green Version]
- Baker, T.R.; Phillips, O.L.; Malhi, Y.; Almeida, S.; Arroyo, L.; Di Fiore, A.; Erwin, T.; Killeen, T.J.; Laurance, S.G.; Laurance, W.F.; et al. Variation in Wood Density Determines Spatial Patterns InAmazonian Forest Biomass: Wood Specific Gravity and Amazonian Biomass Estimates. Glob. Change Biol. 2004, 10, 545–562. [Google Scholar] [CrossRef]
- Bispo, P.C.; Santos, J.R.; Valeriano, M.M.; Touzi, R.; Seifert, F.M. Integration of Polarimetric PALSAR Attributes and Local Geomorphometric Variables Derived from SRTM for Forest Biomass Modeling in Central Amazonia. Can. J. Remote Sens. 2014, 40, 26–42. [Google Scholar] [CrossRef]
- Cassol, H.L.G.; Carreiras, J.M.; Moraes, E.C.; Aragão, L.E.; Silva, C.V.; Quegan, S.; Shimabukuro, Y.E. Retrieving Secondary Forest Aboveground Biomass from Polarimetric ALOS-2 PALSAR-2 Data in the Brazilian Amazon. Remote Sens. 2018, 11, 59. [Google Scholar] [CrossRef] [Green Version]
- Godinho Cassol, H.L.; De Oliveira E Cruz De Aragão, L.E.; Moraes, E.C.; De Brito Carreiras, J.M.; Shimabukuro, Y.E. Quad-Pol Advanced Land Observing Satellite/Phased Array L-Band Synthetic Aperture Radar-2 (ALOS/PALSAR-2) Data for Modelling Secondary Forest above-Ground Biomass in the Central Brazilian Amazon. Int. J. Remote Sens. 2021, 42, 4985–5009. [Google Scholar] [CrossRef]








| AGB | Model Equations | Determination Coefficient |
|---|---|---|
| Total AGB (MA, kg) | For Pinus yunnanensis: 0.070231DBH2.10392H0.41120 For Larix gmelinii: 0.06848DBH2.01549H0.59145 For Betula platyphylla: 0.06807DBH2.10850H0.52019 | For Pinus yunnanensis: 0.9485 For Larix gmelinii: 0.9690 For Betula platyphylla: 0.9550 |
| Stem (MS, kg) | For Pinus yunnanensis: 0.9494 For Larix gmelinii: 0.9701 For Betula platyphylla: 0.9545 | |
| Bark (MB, kg) | For Pinus yunnanensis: 0.8724 For Larix gmelinii: 0.8817 For Betula platyphylla: 0.8678 | |
| Branch (MBr, kg) | For Pinus yunnanensis: 0.8395 For Larix gmelinii: 0.8513 For Betula platyphylla: 0.9545 | |
| Leaf (ML, kg) | For Pinus yunnanensis: 0.6540 For Larix gmelinii: 0.7439 For Betula platyphylla: 0.6311 |
| Parameters | GF-3 | ALOS-2 PALSAR-2 |
|---|---|---|
| Acquired Date | 18 May 2018 | 22 April 2016 |
| Center frequency | 5.40 GHz | 1.24 GHz |
| Incidence angle | 39.1° | 33.9° |
| Resolution (range × azimuth) | 2.248 m × 5.120 m | 2.86 m × 3.21 m |
| Orbit direction | Ascending | Ascending |
| Observation mode | Quad-Polarization Stripmap I (QPSI) | High-Sensitive Full Polarization (HBQ) |
| Parameters | RADARSAT-2 | ALOS-2 PALSAR-2 |
|---|---|---|
| Acquired Date | 20 August 2013 | 29 August 2014 |
| Center frequency | 5.405 GHz | 1.24 GHz |
| Incidence angle | 37.4° | 36.52° |
| Resolution (range × azimuth) | 4.96 m × 4.73 m | 2.86 m × 2.64 m |
| Orbit direction | Ascending | Ascending |
| Observation mode | ULTRA FINE | High-Sensitive Full Polarization (HBQ) |
| Method | Parameter |
|---|---|
| Yamaguchi3 decomposition | Volume scattering component of Yamaguchi3 decomposition (Yam3_Vol) Odd scattering component of Yamaguchi3 decomposition (Yam3_Odd) Double-bounce component of Yamaguchi3 decomposition (Yam3_Dbl) |
| Freeman2 decomposition | Scattering component of Yamaguchi3 decomposition (Fre2_Vol) Ground scattering component of Yamaguchi3 decomposition (Fre2_Grd) |
| H/A/alpha decomposition | Mean scattering angle (alpha) A parameter for assessing the type of symmetry (anisotropy) Polarimetric scattering entropy (entropy) Single-Bounce Eigenvalue Relative Difference (SERD) Double-Bounce Eigenvalue Relative Difference (SERD) Shannon entropy (SE) Intensity component of Shannon entropy (SEi) Polarization degree component of Shannon entropy (SEp) Polarization Fraction (PF) Polarization Asymmetry (PA) Radar Vegetation Index (RVI) Pedestal Height (PH) |
| TSVM decomposition | 4 symmetry scattering parameters (TSVM_alpha_s, TSVM_alpha_s1, TSVM_alpha_s2, TSVM_alpha_s3) 4 target phase angle parameters (TSVM_phi_s; TSVM_phi_s1, TSVM_phi_s2, TSVM_phi_s3) 4 target orientation angle parameters (TSVM_psi, TSVM_psi1, TSVM_psi2, TSVM_psi3) 4 target ellipticity angle parameters (TSVM_tau_m, TSVM_tau_m1, TSVM_tau_m2, TSVM_tau_m3) |
| Biomass | HH (C) | HV (C) | VH (C) | VV (C) | HH (L) | HV (L) | VH (L) | VV (L) |
|---|---|---|---|---|---|---|---|---|
| Total | 0.737 ** | 0.827 ** | 0.805 ** | 0.723 ** | −0.173 | 0.224 | 0.243 | 0.008 |
| Stem | 0.724 ** | 0.817 ** | 0.795 ** | 0.720 ** | −0.198 | 0.204 | 0.229 | −0.010 |
| Bark | 0.748 ** | 0.830 ** | 0.811 ** | 0.710 ** | −0.115 | 0.265 | 0.269 | 0.047 |
| Branch | 0.742 ** | 0.829 ** | 0.808 ** | 0.722 ** | −0.157 | 0.235 | 0.250 | 0.018 |
| Leaf | 0.748 ** | 0.831 ** | 0.812 ** | 0.711 ** | −0.099 | 0.275 | 0.275 | 0.057 |
| Biomass | HH (C) | HV (C) | VH (C) | VV (C) | HH (L) | HV (L) | VH (L) | VV (L) |
|---|---|---|---|---|---|---|---|---|
| Total | 0.511 ** | 0.285 | 0.335 | 0.493 ** | 0.273 | 0.473 ** | 0.481 ** | 0.302 |
| Stem | 0.508 ** | 0.268 | 0.321 | 0.474 ** | 0.255 | 0.455 ** | 0.462 ** | 0.283 |
| Bark | 0.515 ** | 0.306 | 0.350 | 0.513 ** | 0.289 | 0.488 ** | 0.499 ** | 0.321 |
| Branch | 0.494 ** | 0.296 | 0.342 | 0.511 ** | 0.293 | 0.488 ** | 0.500 ** | 0.320 |
| Leaf | 0.532 ** | 0.333 | 0.401 * | 0.530 ** | 0.292 | 0.481 ** | 0.508 ** | 0.352 |
| Biomass | Fre2_Grd (C) | Fre2_Vol (C) | Yam3_Dbl (C) | Yam3_Odd (C) | Yam3_Vol (C) | SE (C) | SEi (C) | TSVM_tau_m2(C) | TSVM_psi3(L) |
|---|---|---|---|---|---|---|---|---|---|
| Total | 0.798 ** | 0.809 ** | 0.814 ** | 0.675 ** | 0.833 ** | 0.781 ** | 0.837 ** | 0.634 * | −0.689 ** |
| Stem | 0.786 ** | 0.795 ** | 0.835 ** | 0.657 ** | 0.863 ** | 0.789 ** | 0.824 ** | 0.626 * | −0.683 ** |
| Bark | 0.810 ** | 0.825 ** | 0.849 ** | 0.703 ** | 0.868 ** | 0.791 ** | 0.850 ** | 0.640 * | −0.692 ** |
| Branch | 0.804 ** | 0.813 ** | 0.805 ** | 0.684 ** | 0.861 ** | 0.794 ** | 0.841 ** | 0.635 * | −0.690 ** |
| Leaf | 0.809 ** | 0.828 ** | 0.809 ** | 0.708 ** | 0.881 ** | 0.801 ** | 0.851 ** | 0.641 * | −0.690 ** |
| Biomass | Fre2_Vol (C) | Yam3_Odd (C) | Yam3_Vol (C) | SE (C) | SEI (C) | TSVM_alpha_s1(C) | TSVM_tau_m2(C) | Fre2_Grd (L) | Yam_3_Vol (L) | TSVM_phi_s2(L) |
|---|---|---|---|---|---|---|---|---|---|---|
| Total | 0.519 ** | 0.378 * | 0.561 ** | 0.533 ** | 0.481 ** | −0.458 * | −0.549 ** | 0.419 * | 0.499 ** | 0.554 ** |
| Stem | 0.511 ** | 0.371 * | 0.552 ** | 0.523 ** | 0.470 ** | −0.439 * | −0.536 ** | 0.389 * | 0.484 ** | 0.550 ** |
| Bark | 0.535 ** | 0.390 * | 0.569 ** | 0.546 ** | 0.495 ** | −0.485 **. | −0.564 ** | 0.441 * | 0.510 ** | 0.546 ** |
| Branch | 0.519 ** | 0.367 * | 0.557 ** | 0.526 ** | 0.477 ** | −0.481 ** | −0.565 ** | 0.474 ** | 0.507 ** | 0.551 ** |
| Leaf | 0.520 ** | 0.387 * | 0.580 ** | 0.538 ** | 0.512 ** | −0.451 * | −0.563 ** | 0.396 * | 0.512 ** | 0.496 ** |
| Test Site | Component | Parameter |
|---|---|---|
| I | Total AGB | Yam3_Vol(C), Yam3_Dbl(C), SE(C), HV(C), HH(C) |
| Stem biomass | Yam3_Dbl(C), SE(C), HV(C), HH(C), VV(C) | |
| Bark biomass | Yam3_Dbl(C), HV(C), SE(C), HH(C), VV(C) | |
| Branch biomass | Yam3_Vol(C), SE(C), VV(C), Yam3_Dbl(C), HV(C) | |
| Leaf biomass | Yam3_Vol(C), Yam3_Dbl(C), VV(C), HV(C), SE(C) | |
| II | Total AGB | TSVM_phi_s1(L), TSVM_phi_s2(L), TSVM_tau_m2(C), Yam3_Vol(C), SE(C) |
| Stem biomass | TSVM_phi_s1(L), TSVM_phi_s2(L), TSVM_tau_m2(C), Yam3_Vol(C), SE(C) | |
| Bark biomass | TSVM_phi_s2(L), TSVM_phi_s1(L), TSVM_tau_m2(C), SE(C), Yam3_Vol(C) | |
| Branch biomass | TSVM_phi_s2(L), TSVM_phi_s1(L), TSVM_tau_m2(C), Yam3_Vol(C), SE(C) | |
| Leaf biomass | Yam3_Vol(C), TSVM_phi_s2(L), TSVM_tau_m2(C), TSVM_phi_s1(L), SE(C) |
Publisher’s Note: MDPI stays neutral with regard to jurisdictional claims in published maps and institutional affiliations. |
© 2022 by the authors. Licensee MDPI, Basel, Switzerland. This article is an open access article distributed under the terms and conditions of the Creative Commons Attribution (CC BY) license (https://creativecommons.org/licenses/by/4.0/).
Share and Cite
Zeng, P.; Zhang, W.; Li, Y.; Shi, J.; Wang, Z. Forest Total and Component Above-Ground Biomass (AGB) Estimation through C- and L-band Polarimetric SAR Data. Forests 2022, 13, 442. https://doi.org/10.3390/f13030442
Zeng P, Zhang W, Li Y, Shi J, Wang Z. Forest Total and Component Above-Ground Biomass (AGB) Estimation through C- and L-band Polarimetric SAR Data. Forests. 2022; 13(3):442. https://doi.org/10.3390/f13030442
Chicago/Turabian StyleZeng, Peng, Wangfei Zhang, Yun Li, Jianmin Shi, and Zhanhui Wang. 2022. "Forest Total and Component Above-Ground Biomass (AGB) Estimation through C- and L-band Polarimetric SAR Data" Forests 13, no. 3: 442. https://doi.org/10.3390/f13030442
APA StyleZeng, P., Zhang, W., Li, Y., Shi, J., & Wang, Z. (2022). Forest Total and Component Above-Ground Biomass (AGB) Estimation through C- and L-band Polarimetric SAR Data. Forests, 13(3), 442. https://doi.org/10.3390/f13030442

