Dendrochronology-Based Normalized Difference Vegetation Index Reconstruction in the Qinling Mountains, North-Central China
Abstract
:1. Introduction
2. Materials and Methods
2.1. Site Description
2.2. Tree-Ring Data
2.3. Meteorological Data and NDVI Datasets
2.4. Statistical Analysis
3. Results
3.1. Monthly Variation Characteristics of Mt. Taibai NDVI
3.2. Descriptive Statistical Characteristics of Chronologies
3.3. Response of Tree-Ring Width to Climatic Factors
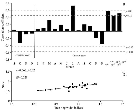
3.4. Climate-NDVI and Growth-NDVI Relationships
3.5. NDVI Reconstruction
3.6. Dryness/Wetness Index-NDVI Relationship
3.7. NDVI Periodicity
4. Discussion
4.1. Response Comparison among Climate, Tree-Ring Width and Greenness
4.1.1. Climate and Tree-Ring Width
4.1.2. Greenness and Tree-Ring Width
4.1.3. Greenness and Climate
4.2. Validation of the Reconstruction
4.2.1. The Representativeness of Reconstructed NDVI
4.2.2. Reconstructed NDVI and Local Dry/Humid Conditions
4.3. Possible Climate Drivers
5. Conclusions
Author Contributions
Funding
Institutional Review Board Statement
Informed Consent Statement
Acknowledgments
Conflicts of Interest
References
- Yue, T.; Fan, Z. A review of responses of typical terrestrial ecosystems to climate change. Chin. Sci. Bull. 2014, 59, 217. [Google Scholar]
- Piao, S.L.; Friedlingstein, P.; Ciais, P.; Zhou, L.; Chen, A. Effect of climate and CO2 changes on the greening of the Northern Hemisphere over the past two decades. Geophys. Res. Lett. 2006, 33, 265–288. [Google Scholar] [CrossRef] [Green Version]
- Zhao, Y.S. Principle and Method of Remote Sensing Applied Analysis; Science Press: Beijing, China, 2003. [Google Scholar]
- Tucker, C.J.; Fung, I.Y.; Keeling, C.D.; Gammon, R.H. Relationship between atmospheric CO2 variations and a satellite-derived vegetation index. Nature 1986, 319, 195–199. [Google Scholar] [CrossRef]
- Tucker, C.J.; Sellers, P.J. Satellite remote sensing of primary production. Int. J. Remote Sens. 1986, 7, 1395–1416. [Google Scholar] [CrossRef]
- Fang, J.Y.; Piao, S.L.; He, J.; Ma, W. Increasing terrestrial vegetation activity in China, 1982–1999. Sci. China Ser. C 2004, 47, 229–240. [Google Scholar]
- Xin, Z.B.; Xu, J.X.; Zheng, W. Spatio-temporal variations of vegetation cover on the Chinese Loess Plateau (1981–2006): Impacts of climate changes and human activities. Sci. China Ser. D 2008, 51, 67–78. [Google Scholar] [CrossRef]
- Wang, Q.; Chen, Y.; Ruan, X.R.; Li, X.D.; Wang, X.L.; Shi, J.Z.; Wang, Z.W. The changes of NDVI in China from 1982 to 2012 and its relationship with climatic factors. Acta Agrestia Sin. 2017, 25, 691–700. [Google Scholar]
- Ljungqvist, F.C.; Piermattei, A.; Seim, A.; Krusic, P.J.; Esper, J. Ranking of tree-ring based hydroclimate reconstructions of the past millennium. Quat. Sci. Rev. 2020, 230, 106074. [Google Scholar] [CrossRef]
- Cook, E.R.; Anchukaitis, K.J.; Buckley, B.M.; D’Arrigo, R.D.; Jacoby, G.C.; Wright, W.E. Asian monsoon failure and mega drought during the last millennium. Science 2010, 328, 486–489. [Google Scholar] [CrossRef] [Green Version]
- Briffa, K.R.; Melvin, T.M.; Osborn, T.J.; Hantemirov, R.M.; Kirdyanov, A.V.; Mazepa, V.S.; Shiyatov, S.G.; Esper, J. Reassessing the evidence for tree-growth and inferred temperature change during the Common Era in Yamalia, northwest Siberia. Quat. Sci. Rev. 2013, 72, 83–107. [Google Scholar] [CrossRef]
- Esper, J.; Cook, E.R.; Schweingruber, F.H. Low-frequency signals in long tree-ring chronologies for reconstructing past temperature variability. Science 2002, 295, 2250–2253. [Google Scholar] [CrossRef] [Green Version]
- Liu, R.; Song, Y.; Liu, Y.; Li, X.; Song, H.; Sun, C.; Li, Q.; Cai, Q.; Ren, M.; Wang, L. changes in the tree-ring width-derived cumulative Normalized Difference Vegetation Index over northeast China during 1825 to 2013 CE. Forests 2021, 12, 241. [Google Scholar] [CrossRef]
- Speer, J.H. Fine-scale ndvi reconstruction back to 1906 from tree-rings in the greater yellowstone ecosystem. Forests 2021, 12, 1324. [Google Scholar]
- Qin, J.; BAI, H.Y.; Zhai, D.P.; Wang, J.; Li, S.H.; Li, B. The relationship between Abies fargesii tree-ring width and climate factors at Niubeiliang Natural Reserve in eastern Qinling Mountains of China. J. Glaciol. Geocryol. 2017, 39, 540–548. (In Chinese) [Google Scholar]
- Qin, J.; Bai, H.Y.; Su, K.; Liu, R.J.; Zhai, D.P.; Wang, J.; Li, S.H.; Zhou, Q.; Li, B. Comparison of instrumental and interpolated meteorological data-based summer temperature reconstructions on Mt. Taibai in the Qinling Mountains, northwestern China. Theor. Appl. Climatol. 2018, 133, 633–645. [Google Scholar] [CrossRef]
- Yan, B.; Yu, J.; Liu, Q.J.; Wang, L.H.; Hu, L.L. Tree-ring response of Larix chinensis on regional climate and sea-surface temperature variations in alpine timberline in the Qinling Mountains. J. For. Res. 2020, 31, 209–218. [Google Scholar] [CrossRef]
- Zhang, Y.X.; Hu, Y.X.; Zhang, B.; Li, Y.X.; Zhang, X.Y.; Xie, Y. Conflict between nature reserves and surrounding communities in China: An empirical study based on a social and ecological system framework. Glob. Ecol. Conserv. 2019, 21, e00804. [Google Scholar] [CrossRef]
- Fang, K.; Yang, B.; Zheng, H. Research methods of dendrochronology and its application in global change. Quat. Sci. 2015, 35, 1283–1293. (In Chinese) [Google Scholar]
- Stokes, M.A.; Smiley, T.L. An Introduction to Tree Ring Dating; University of Chicago Press: Chicago, IL, USA, 1968. [Google Scholar]
- Holmes, R.L. Dendrochronology Program Library Users Manual. Laboratory of Tree-Ring Research; University of Arizona: Tucson, AZ, USA, 1994. [Google Scholar]
- Cook, E.R.; Krusic, P.J. Program ARSTAN. In A Tree-Ring Standardization Program Based on Detrending and Autoregressive Time Series Modeling, with Interactive Graphics; Lamont-Doherty Earth Observatory of Columbia University: Palisades, NY, USA, 2005. [Google Scholar]
- Fritts, H.C. Tree Rings and Climate; Academic Press: New York, NY, USA, 1976. [Google Scholar]
- Monserud, R.A. Time-series analyses of tree-ring chronologies. For. Sci. 1986, 32, 349–372. [Google Scholar]
- Cook, E.R. A Time Series Analysis Approach to Tree Ring Standardization. Ph.D. Thesis, University of Arizona, Tucson, AZ, USA, 1985. [Google Scholar]
- Ma, X.P.; Bai, H.Y.; He, Y.N.; Qin, J. The vegetation remote sensing phenology of Qinling Mountains based on NDVI and its response to temperature: Taking with the territory of Shaanxi as an example. Scientia. Geograph. Sin. 2015, 35, 1616–1621. [Google Scholar]
- Qi, G.Z.; Bai, H.Y.; Meng, Q.; Zhao, T.; Guo, S.Z. Reconstruction of spring dry and wet changes in Taibai Mountain area based on tree ring width. Arid Land Geogr. 2020, 43, 955–966. [Google Scholar]
- Michaelsen, J. Cross-validation in statistical climate forecast models. J. Clim. Appl. Meteor. 1987, 26, 1589–1600. [Google Scholar] [CrossRef] [Green Version]
- Liu, N.; Zhou, Q.; Bao, G. Droughts and broad-scale climate variability reflected by temperature-sensitive tree growth in the Qinling mountains, central china. Int. J. Biometeorol. 2013, 57, 169–177. [Google Scholar] [CrossRef] [PubMed]
- Torrence, C.; Compo, G.P. A practical guide to wavelet analysis. Bull. Am. Meteorol. Soc. 1998, 79, 61–78. [Google Scholar] [CrossRef] [Green Version]
- Tucker, C.J.; Slayback, D.A.; Pinzon, J.E.; Los, S.O.; Myneni, R.B.; Taylor, M.G. Higher northern latitude normalized difference vegetation index and growing season trends from 1982 to 1999. Int. J. Biometeorol. 2001, 45, 184–190. [Google Scholar] [CrossRef]
- Lucht, W.; Prentice, I.C.; Myneni, R.B.; Sitch, S.; Friedlingstein, P.; Cramer, W.; Bousquet, P.; Buermann, W.; Smith, B. Climatic control of the high-latitude vegetation greening trend and Pinatubo effect. Science. 2002, 296, 1687–1689. [Google Scholar] [CrossRef] [Green Version]
- Cook, E.R.; Kairiukstis, L.A. Methods of Dendrochronology Applications in the Environmental Sciences; Kluwer Academic Publishers: Dordrecht, The Netherlands, 1990. [Google Scholar]
- Briffa, K.R. Interpreting high-resolution proxy climate data: The example of dendroclimatology. In Analysis of Climate Variability: Applications of Statistical Techniques; Von Storch, H., Navarra, A., Eds.; Springer: Berlin/Heidelberg, Germany, 1995; pp. 77–94. [Google Scholar]
- Wigley, T.M.L.; Briffa, K.R.; Jones, P.D. On the average value of correlated time-series, with applications in dendroclimatology and hydrometeorology. J. Appl. Meteorol. 1984, 23, 201–213. [Google Scholar] [CrossRef]
- Li, J.J.; Wang, S.; Qin, N.S.; Liu, X.S.; Jin, L.Y. Vegetation index reconstruction and linkage with drought for the source region of the Yangtze river based on tree-ring data. Chin. Geogr. Sci. 2021, 31, 684–695. [Google Scholar] [CrossRef]
- Ding, M.J.; Zhang, Y.L.; Liu, L.S.; Zhang, W.; Wang, Z.F.; Bai, W.Q. The relationship between NDVI and precipitation on the Tibetan Plateau. J. Geogr. Sci. 2007, 17, 259–268. [Google Scholar] [CrossRef]
- Zeng, B.; Yang, T.B. Impacts of climate warming on vegetation in Qaidam Area from 1990 to 2003. Environ. Assess. 2008, 144, 403–417. [Google Scholar] [CrossRef]
- Schultz, P.A.; Halpert, M.S. Global correlation of temperature, NDVI and precipitation. Adv. Space Res. 1993, 13, 277–280. [Google Scholar] [CrossRef]
- Tucker, C.J. Red and photographic infrared linear combinations for monitoring vegetation. Remote Sens. Environ. 1979, 8, 127–150. [Google Scholar] [CrossRef] [Green Version]
- Tucker, C.J.; Pinzon, J.E.; Brown, M.E.; Slayback, D.A.; Pak, E.W.; Mahoney, R.; Vermote, E.F.; El Saleous, N. An extended AVHRR 8-km NDVI dataset compatible with MODIS and SPOT vegetation NDVI data. Int. J. Remote Sens. 2005, 26, 4485–4498. [Google Scholar] [CrossRef]
- Durbin, J.; Watson, G.S. Testing for serial correlation in least squares regression I. Biometrika 1951, 38, 159–178. [Google Scholar] [CrossRef]
- Jiang, Y.; Yuan, X.; Zhang, J.; Han, S.; Chen, Z.; Wang, X.; Wang, J.; Hao, L.; Li, G.; Dong, S.; et al. Reconstruction of June–July Temperatures Based on a 233 Year Tree-Ring of Picea jezoensis var. microsperma. Forests 2019, 10, 416. [Google Scholar] [CrossRef] [Green Version]
- Bao, G.; Liu, Y.; Liu, N. A tree-ring-based reconstruction of the Yimin River annual runoff in the Hulun Buir region, Inner Mongolia, for the past 135 years. Chin. Sci. Bull. 2013, 57, 4765–4775. [Google Scholar] [CrossRef] [Green Version]
- Li, T.; Li, J.; Au, T.F.; Zhang, D.D. Tree-ring width data of Tsuga longibracteata reveal growing season temperature signals in the North-Central pearl river basin since 1824 AD. Forests 2021, 12, 1067. [Google Scholar] [CrossRef]
- Liu, Y.; Linderholm, H.W.; Song, H.; Cai, Q.; Tian, Q.; Sun, J.; Chen, D.; Simelton, E.; Seftigen, K.; Tian, H.; et al. Temperature variations recorded in Pinus tabulaeformis tree rings from the southern and northern slopes of the central Qinling Mountains, central China. Boreas 2009, 38, 285–291. [Google Scholar] [CrossRef]
- Kang, Y.X.; Liu, J.H.; Dai, S.F.; He, X.J. Characteristics of ring-width chronologies of Larix chinensis and their responses to climate change at different elevations in Taibai Mountain. J. Northwest Univ. A&F Nat. Sci. Ed. 2010, 38, 141–147. (In Chinese) [Google Scholar]
- Dang, H.S.; Jiang, M.X.; Zhang, Q.F.; Zhang, Y.J. Growth responses of subalpine fir (Abies fargesii) to climate variability in the Qinling Mountain, China. Forest Ecol. Manag. 2007, 240, 143–150. [Google Scholar] [CrossRef]
- Graumlich, L.J. Subalpine tree growth, climate, and increasing CO2: An assessment of recent growth trends. Ecology 1991, 72, 1–11. [Google Scholar] [CrossRef]
- Sheppard, P.R.; Graumlich, L.J.; Conkey, L.E. Reflected-light image analysis of conifer tree rings for reconstructing climate. Holocene 1996, 6, 62–68. [Google Scholar] [CrossRef]
- Vaganov, E.A.; Hughes, M.K.; Kirdyanov, A.V.; Schweingruber, F.H.; Silkin, P.P. Influence of snowfall and melt timing on tree growth in subarctic Eurasia. Nature 1999, 400, 149–151. [Google Scholar] [CrossRef]
- Kaufmann, R.K.; D’Arrigo, R.D.; Laskowski, C.; Myneni, R.B.; Zhou, L.M.; Davi, N.K. The effect of growing season and summer greenness on northern forests. Geophys. Res. Lett. 2004, 31, 3–6. [Google Scholar] [CrossRef]
- D’Arrigo, R.D.; Malmstrom, C.M.; Jacoby, G.C.; Los, S.O.; Bunker, D.E. Correlation between maximum latewood density of annual tree rings and NDVI based estimates of forest productivity. Int. J. Remote Sens. 2000, 21, 2329–2336. [Google Scholar] [CrossRef]
- Wang, J.; Rich, P.M.; Price, K.P.; Kettle, W.D. Relations between NDVI and tree productivity in the central Great Plains. Int. J. Remote Sens. 2004, 25, 3127–3138. [Google Scholar] [CrossRef]
- Chiesi, M.; Maselli, F.; Bindi, M.; Fibbi, L.; Cherubini, P.; Arlotta, E.; Tirone, G.; Matteucci, G.; Seufert, G. Modelling carbon budget of Mediterranean forest using ground and remote sensing measurements. Agric. Forest Meteorol. 2005, 135, 22–34. [Google Scholar] [CrossRef]
- Lopatin, E.; Kolstrom, T.; Spiecker, H. Determination of forest growth trends in Komi Republic (northwestern Russia): Combination of tree-ring analysis and remote sensing data. Boreal Environ. Res. 2006, 11, 341–353. [Google Scholar]
- Leavitt, S.W.; Chase, T.N.; Rajagopalan, B.; Lee, E.; Lawrence, P.J. Southwestern US tree-ring carbon isotope indices as a possible proxy for reconstruction of greenness of vegetation. Geophys. Res. Lett. 2008, 35, 150–152. [Google Scholar] [CrossRef]
- Chen, Z.J.; Li, J.B.; Fang, K.Y.; Davi, N.K.; He, X.Y.; Cui, M.X.; Zhang, X.L.; Peng, J.J. Seasonal dynamics of vegetation over the past 100 years inferred from tree rings and climate in Hulunbei’er steppe, northern China. J. Arid Environ. 2012, 83, 86–93. [Google Scholar] [CrossRef] [Green Version]
- Wang, W.Z.; Liu, X.H.; Chen, T. Reconstruction of regional NDVI using tree-ring width chronologies in the Qilian Mountains, northwestern China. Chin. J. Plant Ecol. 2010, 34, 1033–1044. [Google Scholar]
- Liang, E.Y.; Shao, X.M.; He, J.C. Relationships between tree growth and NDVI of grassland in the semiarid grassland of north China. Int. J. Remote. Sens. 2005, 26, 2901–2908. [Google Scholar] [CrossRef]
- Chen, F.; Yuan, Y.J.; Zhang, R.B.; Yu, S.L. Reconstruction of regional NDVI using tree-ring width chronology in the southern edge of the Badain Jaran desert, northwestern China. Desert Oasis Meteor. 2015, 9, 1033. [Google Scholar]
- He, J.; Shao, X. Relationships between tree-ring width index and NDVI of grassland in Delingha. Chin. Sci. Bull. 2006, 51, 1106–1114. [Google Scholar]
- Liang, E.Y.; Shao, X.M.; Xu, Y. Tree-ring evidence of recent abnormal warming on the southeast Tibetan Plateau. Theor. Appl. Climatol. 2009, 98, 9–18. [Google Scholar] [CrossRef]
- Li, H.M.; Fan, J.Z.; Li, X.M. Preliminary analysis of extreme drought events in Shaanxi province during the past 500 years. J. Shaanxi Meteorol. 2011, 35–37. (In Chinese) [Google Scholar]
- Zhang, D.E.; Liang, Y.Y. A long lasting and extensive drought event over China in 1876–1878. Adv. Clim. Chang. Res. 2010, 1, 91–99. (In Chinese) [Google Scholar] [CrossRef]
- Wang, Y.J.; Ma, Y.Z.; Lu, R.J.; Gao, S.Y. Summer NDVI variability recorded by tree radial growth in the Xinglong Mountain, the eastward extension of the Qilian Mountains, since 1845 AD. Geograph Res. 2016, 35, 653–663. [Google Scholar]
- Allan, R.; Lindesay, J.; Parker, D. El Niño-Southern Oscillation and Climatic Variability; CSIRO Publishing: Melbourne, Australia, 1996. [Google Scholar]
- Zhang, C.; Zhao, J.B. Effects of El Niño-Southern Oscillation events on climate in Shaanxi province. J. Shaanxi Normal Univ. 2010, 38, 98–104. [Google Scholar]
- Cai, Q.F.; Liu, Y. January to August temperature variability since 1776 inferred from tree-ring width of Pinus tabulaeformis in Helan Mountain. J. Geogr. Sci. 2007, 17, 293–303. [Google Scholar] [CrossRef]











| Code | Meteorological Station | Latitude (°N) | Longitude (°E) | Altitude (m a.s.l.) |
|---|---|---|---|---|
| 1 | Zhouzhi | 34.2 | 108.2 | 433.1 |
| 2 | Meixian | 34.3 | 107.8 | 517.6 |
| 3 | Foping | 33.6 | 108.0 | 1087.7 |
| 4 | Taibai | 34.1 | 107.3 | 1543.6 |
| Statistical Item | RES | STD |
|---|---|---|
| Mean sensitivity | 0.22 | 0.19 |
| Standard deviation | 0.19 | 0.21 |
| First-order autocorrelation | 0.02 | 0.51 |
| Variance in first eigenvector (%) | 50 | 54 |
| Signal–noise ratio | 12.15 | 10.44 |
| Mean correlation within a tree | 0.62 | 0.60 |
| Mean correlation between trees | 0.49 | 0.48 |
| Expressed population signal | 0.94 | 0.92 |
| Length/a | 165 | 165 |
| First year where SSS > 0.75 (No. cores) | 1868 (7) | 1870 (9) |
| Period | r | R2 | R2adj | S1 | S2 | RE | F | t | D/W | p |
|---|---|---|---|---|---|---|---|---|---|---|
| 1991–2013 | 0.726 | 52.80% | 50.30% | 18 (16 *,18 **) | 16 (16 *,17 **) | 0.523 | 21.213 | 2.36 | 1.966 | <0.001 |
Publisher’s Note: MDPI stays neutral with regard to jurisdictional claims in published maps and institutional affiliations. |
© 2022 by the authors. Licensee MDPI, Basel, Switzerland. This article is an open access article distributed under the terms and conditions of the Creative Commons Attribution (CC BY) license (https://creativecommons.org/licenses/by/4.0/).
Share and Cite
Qin, J.; Bai, H.; Zhao, P.; Fang, S.; Xiang, Y.; Huang, X. Dendrochronology-Based Normalized Difference Vegetation Index Reconstruction in the Qinling Mountains, North-Central China. Forests 2022, 13, 443. https://doi.org/10.3390/f13030443
Qin J, Bai H, Zhao P, Fang S, Xiang Y, Huang X. Dendrochronology-Based Normalized Difference Vegetation Index Reconstruction in the Qinling Mountains, North-Central China. Forests. 2022; 13(3):443. https://doi.org/10.3390/f13030443
Chicago/Turabian StyleQin, Jin, Hongying Bai, Pei Zhao, Shu Fang, Yuanlin Xiang, and Xiaoyue Huang. 2022. "Dendrochronology-Based Normalized Difference Vegetation Index Reconstruction in the Qinling Mountains, North-Central China" Forests 13, no. 3: 443. https://doi.org/10.3390/f13030443
APA StyleQin, J., Bai, H., Zhao, P., Fang, S., Xiang, Y., & Huang, X. (2022). Dendrochronology-Based Normalized Difference Vegetation Index Reconstruction in the Qinling Mountains, North-Central China. Forests, 13(3), 443. https://doi.org/10.3390/f13030443
