Leaf Stoichiometry of Halophyte Shrubs and Its Relationship with Soil Factors in the Xinjiang Desert
Abstract
1. Introduction
2. Materials and Methods
2.1. Study Area
2.2. Field Sampling
2.3. Chemical Analysis
2.4. Data Analysis
3. Results
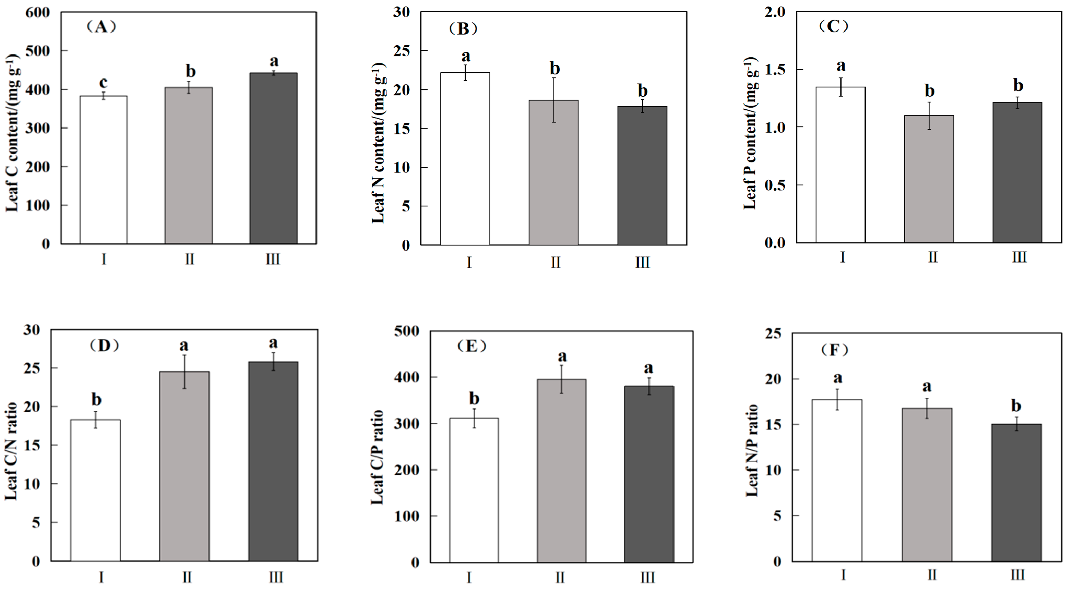
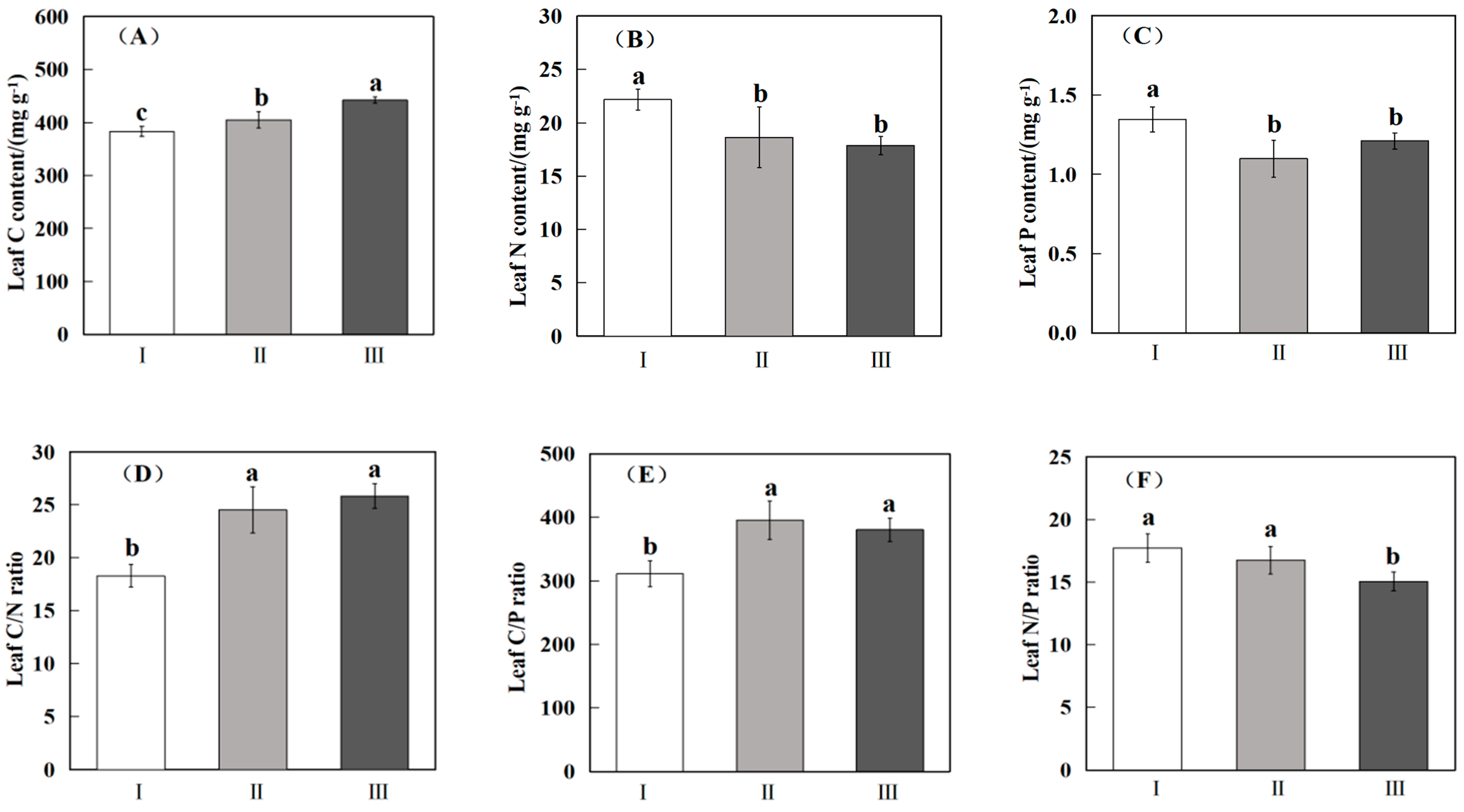
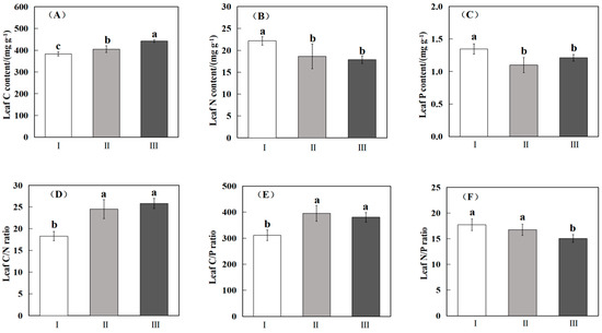
3.1. Ecological Stoichiometric Characteristics of C, N, and P in Desert Saline Shrub Leaves
3.2. Characteristics of Soil Factors of Desert Halophyte Shrubs
3.3. Relationship between Ecological Stoichiometric Characteristics of Desert Halophyte Shrub Leaves and Soil Factors
4. Discussion
4.1. Stoichiometric Characteristic of C, N, and P Elements in Leaves of Desert Halophyte Shrubs
4.2. Characteristics and Relationship of Soil Factors
4.3. Response of Desert Halophyte Shrubs’ Stoichiometry to Soil Factors
5. Conclusions
Supplementary Materials
Author Contributions
Funding
Data Availability Statement
Acknowledgments
Conflicts of Interest
References
- Sterner, R.W.; Elser, J.J. Ecological Stoichiometry: Biology of Elements from Molecules to the Biosphere; Princeton University Press: Princeton, NJ, USA, 2002. [Google Scholar]
- Castellanos, A.E.; Llano-Sotelo, J.M.; Machado-Encinas, L.I.; Lopez-Pina, J.E.; Romo-Leon, J.R.; Sardans, J.; Penuelas, J. Foliar C, N, and P stoichiometry characterize successful plant ecological strategies in the Sonoran Desert. Plant Ecol. 2018, 219, 775–788. [Google Scholar] [CrossRef]
- Zhao, K.F.; Li, F.Z.; Zhang, F.S. Halophytes in China, 2nd ed.; Science Press: Beijing, China, 2013. [Google Scholar]
- He, M.Z.; Dijkstra, F.A.; Zhang, K.; Li, X.R.; Tan, H.J.; Gao, Y.H.; Li, G. Leaf nitrogen and phosphorus of temperate desert plants in response to climate and soil nutrient availability. Sci. Rep. 2014, 4, 6932. [Google Scholar] [CrossRef] [PubMed]
- Chatterton, N.J.; Goodin, J.R.; Duncan, C. Nitrogen metabolism in Atriplex polycarpa as affected by substrate nitrogen and NaCl salinity. Agron. J. 1971, 63, 271–274. [Google Scholar] [CrossRef]
- Zhang, K.; Li, C.J.; Li, Z.S.; Zhang, F.H.; Zhao, Z.Y.; Tian, C.Y. Characteristics of mineral elements in shoots of three annual halophytes in a saline desert, Northern Xinjiang. J. Arid. Land 2013, 5, 244–254. [Google Scholar] [CrossRef]
- He, M.Z.; Dijkstra, F.A.; Zhang, K.; Tan, H.J.; Zhao, Y.; Li, X.R. Influence of life form, taxonomy, climate, and soil properties on shoot and root concentrations of 11 elements in herbaceous plants in a temperate desert. Plant Soil 2016, 398, 339–350. [Google Scholar] [CrossRef]
- Zhang, X.M.; Wang, Y.D.; Zhao, Y.; Xu, X.W.; Lei, J.Q.; Hill, R.L. Litter decomposition and nutrient dynamics of three woody halophytes in the Taklimakan desert highway shelterbelt. Arid. Land Res. Manag. 2017, 31, 335–351. [Google Scholar] [CrossRef]
- Liu, R.; Cieraad, E.; Li, Y. Summer rain pulses may stimulate a CO2 release rather than absorption in desert halophyte communities. Plant Soil 2013, 373, 799–811. [Google Scholar] [CrossRef]
- Amatangelo, K.L.; Vitousek, P.M. Stoichiometry of ferns in Hawaii: Implications for nutrient cycling. Oecologia 2008, 157, 619–627. [Google Scholar] [CrossRef]
- Luo, Y.; Peng, Q.W.; Li, K.H.; Gong, Y.M.; Liu, Y.Y.; Han, W.X. Patterns of nitrogen and phosphorus stoichiometry among leaf, stem and root of desert plants and responses to climate and soil factors in Xinjiang, China. Catena 2021, 199, 105100. [Google Scholar] [CrossRef]
- Zhang, X.L.; Zhou, J.H.; Guan, T.Y.; Cai, W.T.; Jiang, L.H.; Lai, L.M.; Gao, N.N.; Zheng, Y.R. Spatial variation in leaf nutrient traits of dominant desert riparian plant species in an arid inland river basin of China. Ecol. Evol. 2019, 9, 1523–1531. [Google Scholar] [CrossRef]
- Wang, L.; Zhao, G.; Li, M.; Zhang, M.; Zhang, L.; Zhang, X.; Xu, S. C:N:P stoichiometry and leaf traits of halophytes in an arid saline environment, northwest China. PLoS ONE 2015, 10, e0119935. [Google Scholar] [CrossRef] [PubMed]
- Yuan, K.Y.; Xu, H.L.; Zhang, G.P.; Yan, J.J. Aridity and high salinity, rather than soil nutrients, regulate nitrogen and phosphorus stoichiometry in desert plants from the individual to the community level. Forests 2022, 13, 890. [Google Scholar] [CrossRef]
- Luo, Y.; Gong, L.; Zhu, M.L.; An, S.Q. Leaf and soil ecological stoichiometric characteristics of four shrub species in desert area of upper reaches of Tarim River. Acta Ecol. Sin. 2017, 37, 8326–8335. (In Chinese) [Google Scholar] [CrossRef]
- Sun, M.M.; Zhai, B.C.; Chen, Q.W.; Li, G.Q.; Du, S. Response of density-related fine root production to soil and leaf traits in coniferous and broad-leaved plantations in the semiarid loess hilly region of China. J. For. Res. 2022, 33, 1071–1082. [Google Scholar] [CrossRef]
- Zheng, Z.Y.; Ma, Z.G.; Li, M.X.; Xia, J.J. Regional water budgets and hydroclimatic trend variations in Xinjiang from 1951 to 2000. Clim. Chang. 2017, 144, 447–460. [Google Scholar] [CrossRef]
- Zhang, W.T.; Wu, H.Q.; Gu, H.B.; Feng, G.L.; Wang, Z.; Sheng, J.D. Variability of soil salinity at multiple spatio-temporal scales and the related driving factors in the oasis areas of Xinjiang, China. Pedoshere 2015, 24, 753–762. [Google Scholar] [CrossRef]
- Xi, J.B.; Zhang, F.S.; Tian, C.Y. Halophytes in Xinjiang; Science Press: Beijing, China, 2006. [Google Scholar]
- Zhang, X.; Guan, T.; Zhou, J.; Cai, W.; Gao, N.; Du, H.; Zheng, Y. Community characteristics and leaf stoichiometric traits of desert ecosystems regulated by precipitation and soil in an arid area of China. Int. J. Environ. Res. Public Health 2018, 15, 109. [Google Scholar] [CrossRef]
- Sardans, J.; Grau, O.; Chen, H.Y.H.; Janssens, I.A.; Ciais, P.; Piao, S.L.; Penuelas, J. Changes in nutrient concentrations of leaves and roots in response to global change factors. Glob. Chang. Biol. 2017, 23, 3849–3856. [Google Scholar] [CrossRef]
- Hou, X.Y. Vegetation Geography and Chemical Constituents of Dominant Plants in China; Science Press: Beijing, China, 1982. [Google Scholar]
- Elser, J.J.; Fagan, W.F.; Denno, R.F.; Dobberfuhl, D.R.; Folarin, A.; Huberty, A.A.; Interlandi, S.; Kilham, S.S.; McCauley, E.; Schulz, K.L.; et al. Nutritional constraints in terrestrial and freshwater food webs. Nature 2000, 408, 578–580. [Google Scholar] [CrossRef]
- Li, Y.L.; Mao, W.; Zhao, X.Y.; Zhang, T.H. Leaf nitrogen and phosphorus stoichiometry in typical desert and desertified regions, north China. Environ. Sci. 2010, 31, 1716–1725. [Google Scholar] [CrossRef]
- Wang, L.L.; Wang, L.; He, W.L.; An, L.Z.; Xu, S.J. Nutrient resorption or accumulation of desert plants with contrasting sodium regulation strategies. Sci. Rep. 2017, 7, 17035. [Google Scholar] [CrossRef] [PubMed]
- Zhang, L.F.; Wang, L.L.; He, W.L.; Zhang, X.F.; An, L.Z.; Xu, S.J. Patterns of leaf N:P stoichiometry along climatic gradients in sandy region, north of China. J. Plant Ecol. 2018, 11, 218–225. [Google Scholar] [CrossRef]
- Li, J.L.; Sun, X.; Zheng, Y.; Lü, P.P.; Wang, Y.L.; Guo, L.D. Diversity and community of culturable endophytic fungi from stems and roots of desert halophytes in northwest China. MycoKeys 2020, 62, 75–95. [Google Scholar] [CrossRef] [PubMed]
- Meng, X.Q.; Zhou, J.; Sui, N. Mechanisms of salt tolerance in halophytes: Current understanding and recent advances. Open Life Sci. 2018, 13, 149–154. [Google Scholar] [CrossRef]
- Yang, Y.; Liu, B.R.; An, S.S. Ecological stoichiometry in leaves, roots, litters and soil among different plant communities in a desertified region of Northern China. Catena 2018, 166, 328–338. [Google Scholar] [CrossRef]
- Luo, Y.; Chen, Y.; Peng, Q.W.; Li, K.H.; Mohammat, A.; Han, W.X. Nitrogen and phosphorus resorption of desert plants with various degree of propensity to salt in response to drought and saline stress. Ecol. Indic. 2021, 125, 107488. [Google Scholar] [CrossRef]
- Li, A.; Guo, D.; Wang, Z.Q.; Liu, H.Y. Nitrogen and phosphorus allocation in leaves, twigs, and fine roots across 49 temperate, subtropical and tropical tree species: A hierarchical pattern. Funct. Ecol. 2010, 24, 224–232. [Google Scholar] [CrossRef]
- Gong, Y.M.; Lv, G.H.; Guo, Z.J.; Chen, Y.; Cao, J. Influence of aridity and salinity on plant nutrients scales up from species to community level in a desert ecosystem. Sci. Rep. 2017, 7, 6811. [Google Scholar] [CrossRef]
- Güsewell, S. N:P ratios in terrestrial plants: Variation and functional significance. New Phytol. 2004, 164, 243–266. [Google Scholar] [CrossRef]
- Tong, R.; Zhou, B.Z.; Jiang, L.N.; Ge, X.G.; Cao, Y.H.; Shi, J.X. Leaf litter carbon, nitrogen and phosphorus stoichiometry of Chinese fir (Cunninghamia lanceolata) across China. Glob. Ecol. Conserv. 2021, 27, e01542. [Google Scholar] [CrossRef]
- Han, W.X.; Fang, J.Y.; Guo, D.L.; Zhang, Y. Leaf nitrogen and phosphorus stoichiometry across 753 terrestrial plant species in China. New Phytol. 2005, 168, 377–385. [Google Scholar] [CrossRef] [PubMed]
- Gao, R.; Ai, N.; Liu, G.Q.; Liu, C.H.; Zhang, Z.Y. Soil C:N:P stoichiometric characteristics and soil quality evaluation under different restoration modes in the loess region of Northern Shanxi Province. Forests 2022, 13, 913. [Google Scholar] [CrossRef]
- Li, Y.Q.; Zhao, X.Y.; Zhang, F.X.; Awada, T.; Wang, S.K.; Zhao, H.L.; Zhang, T.H.; Li, Y.L. Accumulation of soil organic carbon during natural restoration of desertified grassland in China’s Horqin Sandy Land. J. Arid. Land 2015, 7, 328–340. [Google Scholar] [CrossRef]
- Yang, Y.H.; Ji, C.J.; Ma, W.H.; Wang, S.F.; Wang, S.P.; Han, W.X.; Mohammat, A.; Robinson, D.; Smith, P. Significant soil acidification across northern China’s grasslands during 1980s–2000s. Glob. Chang. Biol. 2012, 18, 2293–2300. [Google Scholar] [CrossRef]
- Liu, W.; Li, R.J.; Han, T.T.; Cai, W.; Fu, Z.W.; Lu, Y.T. Salt stress reduces root meristem size by nitric oxide-mediated modulation of auxin accumulation and signaling in arabidopsis. Plant Physiol. 2015, 168, 343–U607. [Google Scholar] [CrossRef]
- Yang, X.; Tang, Z.; Ji, C.; Liu, H.; Ma, W.; Mohhamot, A.; Zheng, C. Scaling of nitrogen and phosphorus across plant organs in shrubland biomes across Northern China. Sci. Rep. 2014, 4, 5448. [Google Scholar] [CrossRef]
- Zheng, S.X.; Shangguan, Z.P. Spatial patterns of leaf nutrient traits of the plants in the Loess Plateau of China. Trees 2007, 21, 357–370. [Google Scholar] [CrossRef]
- He, J.S.; Fang, J.Y.; Wang, Z.H.; Guo, D.L.; Flynn, D.F.B.; Geng, Z. Stoichiometry and large-scale patterns of leaf carbon and nitrogen in the grassland biomes of China. Oecologia 2006, 149, 115–122. [Google Scholar] [CrossRef]
- Zhang, L.; Guo, H.; Bao, A.K. Unique salt-secreting structure of halophytes-salt vesicles. Plant Physiol. 2019, 55, 232–240. [Google Scholar] [CrossRef]
- Cho, Y.; Sudduth, K.A.; Chung, S.O. Soil physical property estimation from soil strength and apparent electrical conductivity sensor data. Biosyst. Eng. 2016, 152, 68–78. [Google Scholar] [CrossRef]
- An, H.; Tang, Z.S.; Keesstra, S.; Shangguan, Z.P. Impact of desertification on soil and plant nutrient stoichiometry in a desert grassland. Sci. Rep. 2019, 9, 9422. [Google Scholar] [CrossRef] [PubMed]
- Rong, Q.Q.; Liu, J.T.; Cai, Y.P.; Lu, Z.H.; Zhao, Z.Z.; Yue, W.C.; Xia, J.B. Leaf carbon, nitrogen and phosphorus stoichiometry of Tamarix chinensis Lour. in the Laizhou Bay coastal wetland, China. Ecol. Eng. 2015, 76, 57–65. [Google Scholar] [CrossRef]
- Flowers, T.J.; Torke, P.F.; Yeo, A.R. The mechanism of salt tolerance in halophytes. Annu. Rev. Plant Physiol. 1977, 28, 89–121. [Google Scholar] [CrossRef]
- Flowers, T.J.; Colmer, T.D. Salinity tolerance in halophytes. New Phytol. 2008, 179, 945–963. [Google Scholar] [CrossRef] [PubMed]
- Yi, L.P.; Ma, J.; Li, Y. Soil salt and nutrient concentration in the rhizosphere of desert halophytes. Acta Ecol. Sin. 2007, 27, 3565–3571. [Google Scholar] [CrossRef]
- Didi, D.A.; Su, S.P.; Sam, F.E.; Tiika, R.J.; Zhang, X. Effect of plant growth regulators on osmotic regulatory substances and antioxidant enzyme activity of Nitraria tangutorum. Plants 2022, 11, 2559. [Google Scholar] [CrossRef]
- Sardans, J.; Peñuelas, J. The role of plants in the effects of global change on nutrient availability and stoichiometry in the plant-soil system. Plant Physiol. 2012, 160, 1741–1761. [Google Scholar] [CrossRef] [PubMed]
- Song, Z.P.; Liu, Y.H.; Su, H.X.; Hou, J.H. N-P utilization of Acer mono leaves at different life history stages across altitudinal gradients. Ecol. Evol. 2020, 10, 851–862. [Google Scholar] [CrossRef] [PubMed]





| Variable | n | Mean | SE | Minimum | Maximum | CV (%) |
|---|---|---|---|---|---|---|
| C (mg g−1) | 225 | 409.31 | 3.26 | 303.64 | 512.29 | 11.96 |
| N (mg g−1) | 225 | 19.92 | 0.39 | 10.21 | 43.97 | 29.42 |
| P (mg g−1) | 225 | 1.25 | 0.24 | 0.59 | 2.39 | 28.18 |
| C/N | 225 | 22.25 | 0.45 | 9.40 | 44.38 | 30.11 |
| C/P | 225 | 352.20 | 6.81 | 145.12 | 654.44 | 29.01 |
| N/P | 225 | 16.53 | 0.32 | 7.02 | 37.39 | 28.67 |
| Plant Group | Soil C (mg g−1) | Soil TN (mg g−1) | Soil TP (mg g−1) | pH | EC (mS cm−1) |
|---|---|---|---|---|---|
| Euhalophyte | 9.99 ± 0.22 a | 2.54 ± 0.17 a | 2.34 ± 0.19 a | 8.90 ± 0.34 a | 10.04 ± 1.30 a |
| Pseudohalophyte | 8.75 ± 0.31 b | 2.74 ± 0.32 a | 2.28 ± 0.33 a | 8.90 ± 0.50 a | 1.58 ± 0.40 b |
| Secretohalophyte | 9.82 ± 0.23 a | 2.24 ± 0.11 a | 2.71 ± 0.19 a | 8.80 ± 0.30 a | 14.29 ± 1.86 a |
| Mean | 9.71 ± 0.14 a | 2.47 ± 0.10 a | 2.48 ± 0.13 a | 8.86 ± 0.21 a | 10.14 ± 0.96 a |
| Name | Importance Rank | Contribution % | Pseudo-F | p |
|---|---|---|---|---|
| Soil C | 1 | 57.8 | 25.6 | 0.002 |
| Soil EC | 2 | 23.2 | 10.7 | 0.002 |
| Soil TP | 3 | 7.4 | 3.5 | 0.02 |
| pH | 4 | 5.9 | 2.8 | 0.048 |
| Soil TN | 5 | 5.8 | 2.7 | 0.05 |
Publisher’s Note: MDPI stays neutral with regard to jurisdictional claims in published maps and institutional affiliations. |
© 2022 by the authors. Licensee MDPI, Basel, Switzerland. This article is an open access article distributed under the terms and conditions of the Creative Commons Attribution (CC BY) license (https://creativecommons.org/licenses/by/4.0/).
Share and Cite
Luo, Y.; Lian, C.; Gong, L.; Mo, C. Leaf Stoichiometry of Halophyte Shrubs and Its Relationship with Soil Factors in the Xinjiang Desert. Forests 2022, 13, 2121. https://doi.org/10.3390/f13122121
Luo Y, Lian C, Gong L, Mo C. Leaf Stoichiometry of Halophyte Shrubs and Its Relationship with Soil Factors in the Xinjiang Desert. Forests. 2022; 13(12):2121. https://doi.org/10.3390/f13122121
Chicago/Turabian StyleLuo, Yan, Cuimeng Lian, Lu Gong, and Chunnan Mo. 2022. "Leaf Stoichiometry of Halophyte Shrubs and Its Relationship with Soil Factors in the Xinjiang Desert" Forests 13, no. 12: 2121. https://doi.org/10.3390/f13122121
APA StyleLuo, Y., Lian, C., Gong, L., & Mo, C. (2022). Leaf Stoichiometry of Halophyte Shrubs and Its Relationship with Soil Factors in the Xinjiang Desert. Forests, 13(12), 2121. https://doi.org/10.3390/f13122121

