Attention and Emotion Recovery Effects of Urban Parks during COVID-19—Psychological Symptoms as Moderators
Abstract
1. Introduction
1.1. Background
1.2. Restorative Benefits of Natural Settings
1.3. Psychological Symptoms and Restorative Benefits
1.4. Study Aims
2. Materials and Methods
2.1. Measures
2.1.1. Attention Function
2.1.2. Emotion
2.1.3. Control Variables
2.2. The Emotion and Attention Fatigue Induction
2.3. Environmental Stimulus
2.4. Participants
2.5. Procedure
2.6. Data Analysis
3. Results
3.1. Randomization and Manipulation Checks
3.2. Attention Function
3.3. Emotion
3.3.1. Valence
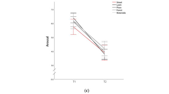
3.3.2. Arousal
3.4. The Effect of Stress and Depressive Symptoms on Restorative Benefits
4. Discussion
4.1. Effects of Different Setting Types on Attention Function
4.2. Effects of Different Setting Types on Emotion
4.3. Do Psychological Symptoms Affect Restorative Benefits?
4.4. Limitations and Future Research
5. Conclusions
Supplementary Materials
Author Contributions
Funding
Institutional Review Board Statement
Informed Consent Statement
Data Availability Statement
Conflicts of Interest
References
- World Health Organization. Mental Health Atlas 2020; World Health Organization: Geneva, Switzerland, 2021.
- Reid, C.E.; Rieves, E.S.; Carlson, K. Perceptions of green space usage, abundance, and quality of green space were associated with better mental health during the COVID-19 pandemic among residents of Denver. PLoS ONE 2022, 17, e0263779. [Google Scholar] [CrossRef] [PubMed]
- Varma, P.; Junge, M.; Meaklim, H.; Jackson, M.L. Younger people are more vulnerable to stress, anxiety and depression during COVID-19 pandemic: A global cross-sectional survey. Prog. Neuro-Psychopharmacol. Biol. Psychiatry 2021, 109, 110236. [Google Scholar] [CrossRef] [PubMed]
- Xiong, J.; Lipsitz, O.; Nasri, F.; Lui, L.M.; Gill, H.; Phan, L.; Chen-Li, D.; Iacobucci, M.; Ho, R.; Majeed, A. Impact of COVID-19 pandemic on mental health in the general population: A systematic review. J. Affect. Disord. 2020, 277, 55–64. [Google Scholar] [CrossRef]
- Santomauro, D.F.; Herrera, A.M.M.; Shadid, J.; Zheng, P.; Ashbaugh, C.; Pigott, D.M.; Abbafati, C.; Adolph, C.; Amlag, J.O.; Aravkin, A.Y. Global prevalence and burden of depressive and anxiety disorders in 204 countries and territories in 2020 due to the COVID-19 pandemic. Lancet 2021, 398, 1700–1712. [Google Scholar] [CrossRef] [PubMed]
- Hartig, T.; Nyberg, L.; Nilsson, L.-G.; Gärling, T. Testing for mood congruent recall with environmentally induced mood. J. Environ. Psychol. 1999, 19, 353–367. [Google Scholar] [CrossRef]
- Ulrich, R.S.; Simons, R.F.; Losito, B.D.; Fiorito, E.; Miles, M.A.; Zelson, M. Stress recovery during exposure to natural and urban environments. J. Environ. Psychol. 1991, 11, 201–230. [Google Scholar] [CrossRef]
- Claesen, J.L.A.; Wheeler, A.J.; Klabbers, G.; Gonzalez, D.D.; Molina, M.A.; Tham, R.; Nieuwenhuijsen, M.; Carver, A. Associations of traffic-related air pollution and greenery with academic outcomes among primary schoolchildren. Environ. Res. 2021, 199, 111325. [Google Scholar] [CrossRef] [PubMed]
- Tuen Veronica Leung, W.; Yee Tiffany Tam, T.; Pan, W.-C.; Wu, C.-D.; Candice Lung, S.-C.; Spengler, J.D. How is environmental greenness related to students’ academic performance in English and Mathematics? Landsc. Urban Plann. 2019, 181, 118–124. [Google Scholar] [CrossRef]
- Wu, C.-D.; McNeely, E.; Cedeño-Laurent, J.G.; Pan, W.-C.; Adamkiewicz, G.; Dominici, F.; Lung, S.-C.C.; Su, H.-J.; Spengler, J.D. Linking student performance in Massachusetts elementary schools with the "greenness" of school surroundings using remote sensing. PLoS ONE 2014, 9, e108548. [Google Scholar] [CrossRef] [PubMed]
- Jimenez, M.P.; Shoaff, J.; Kioumourtzoglou, M.-A.; Korrick, S.; Rifas-Shiman, S.L.; Hivert, M.-F.; Oken, E.; James, P. Early-Life Exposure to Green Space and Mid-Childhood Cognition in the Project Viva Cohort, Massachusetts. Am. J. Epidemiol. 2022, 191, 115–125. [Google Scholar] [CrossRef] [PubMed]
- Wallner, P.; Kundi, M.; Arnberger, A.; Eder, R.; Allex, B.; Weitensfelder, L.; Hutter, H.-P. Reloading Pupils’ Batteries: Impact of Green Spaces on Cognition and Wellbeing. Int. J. Environ. Res. Public Health 2018, 15, 1205. [Google Scholar] [CrossRef] [PubMed]
- Dadvand, P.; Nieuwenhuijsen, M.J.; Esnaola, M.; Forns, J.; Basagaña, X.; Alvarez-Pedrerol, M.; Rivas, I.; López-Vicente, M.; De Castro Pascual, M.; Su, J.; et al. Green spaces and cognitive development in primary schoolchildren. Proc. Natl. Acad. Sci. USA 2015, 112, 7937–7942. [Google Scholar] [CrossRef]
- Dadvand, P.; Tischer, C.; Estarlich, M.; Llop, S.; Dalmau-Bueno, A.; López-Vicente, M.; Valentín, A.; de Keijzer, C.; Fernández-Somoano, A.; Lertxundi, N.; et al. Lifelong Residential Exposure to Green Space and Attention: A Population-based Prospective Study. Environ. Health Perspect. 2017, 125, 097016. [Google Scholar] [CrossRef]
- Lee, K.-S.; Kim, B.-N.; Cho, J.; Jang, Y.-Y.; Choi, Y.-J.; Lee, W.-S.; Han, C.; Bae, H.J.; Lim, Y.-H.; Kim, J.I.; et al. Associations between surrounding residential greenness and intelligence quotient in 6-year-old children. Sci. Total Environ. 2021, 759, 143561. [Google Scholar] [CrossRef] [PubMed]
- Bijnens, E.M.; Derom, C.; Thiery, E.; Weyers, S.; Nawrot, T.S. Residential green space and child intelligence and behavior across urban, suburban, and rural areas in Belgium: A longitudinal birth cohort study of twins. PLoS Med. 2020, 17, e1003213. [Google Scholar] [CrossRef]
- McMahan, E.A.; Estes, D. The effect of contact with natural environments on positive and negative affect: A meta-analysis. J. Posit. Psychol. 2015, 10, 507–519. [Google Scholar] [CrossRef]
- Martens, D.; Gutscher, H.; Bauer, N. Walking in “wild” and “tended” urban forests: The impact on psychological well-being. J. Environ. Psychol. 2011, 31, 36–44. [Google Scholar] [CrossRef]
- Herzog, T.R.; Maguire, P.; Nebel, M.B. Assessing the restorative components of environments. J. Environ. Psychol. 2003, 23, 159–170. [Google Scholar] [CrossRef]
- Ulrich, R.S. Biophilia, biophobia, and natural landscapes. Biophilia Hypothesis 1993, 7, 73–137. [Google Scholar]
- Kaplan, R.; Kaplan, S. The Experience of Nature: A Psychological Perspective; Cambridge University Press: Cambridge, UK, 1989. [Google Scholar]
- Kaplan, S. The restorative benefits of nature: Toward an integrative framework. J. Environ. Psychol. 1995, 15, 169–182. [Google Scholar] [CrossRef]
- Kaplan, S.; Berman, M.G. Directed attention as a common resource for executive functioning and self-regulation. Perspect. Psychol. Sci. 2010, 5, 43–57. [Google Scholar] [CrossRef] [PubMed]
- Van den Berg, A.E.; Jorgensen, A.; Wilson, E.R. Evaluating restoration in urban green spaces: Does setting type make a difference? Landsc. Urban Plan. 2014, 127, 173–181. [Google Scholar] [CrossRef]
- Beil, K.; Hanes, D. The influence of urban natural and built environments on physiological and psychological measures of stress—A pilot study. Int. J. Environ. Res. Public Health 2013, 10, 1250–1267. [Google Scholar] [CrossRef] [PubMed]
- Gidlow, C.J.; Jones, M.V.; Hurst, G.; Masterson, D.; Clark-Carter, D.; Tarvainen, M.P.; Smith, G.; Nieuwenhuijsen, M. Where to put your best foot forward: Psycho-physiological responses to walking in natural and urban environments. J. Environ. Psychol. 2016, 45, 22–29. [Google Scholar] [CrossRef]
- Hedblom, M.; Gunnarsson, B.; Iravani, B.; Knez, I.; Schaefer, M.; Thorsson, P.; Lundström, J.N. Reduction of physiological stress by urban green space in a multisensory virtual experiment. Sci. Rep. 2019, 9, 10113. [Google Scholar] [CrossRef]
- Huang, Q.; Yang, M.; Jane, H.-a.; Li, S.; Bauer, N. Trees, grass, or concrete? The effects of different types of environments on stress reduction. Landsc. Urban Plan. 2020, 193, 103654. [Google Scholar] [CrossRef]
- Nordh, H.; Østby, K. Pocket parks for people—A study of park design and use. Urban For. Urban Green. 2013, 12, 12–17. [Google Scholar] [CrossRef]
- Gao, T.; Zhang, T.; Zhu, L.; Gao, Y.; Qiu, L. Exploring psychophysiological restoration and individual preference in the different environments based on virtual reality. Int. J. Environ. Res. Public Health 2019, 16, 3102. [Google Scholar] [CrossRef] [PubMed]
- Deng, L.; Li, X.; Luo, H.; Fu, E.-K.; Ma, J.; Sun, L.-X.; Huang, Z.; Cai, S.-Z.; Jia, Y. Empirical study of landscape types, landscape elements and landscape components of the urban park promoting physiological and psychological restoration. Urban For. Urban Green. 2020, 48, 126488. [Google Scholar]
- Tyrväinen, L.; Ojala, A.; Korpela, K.; Lanki, T.; Tsunetsugu, Y.; Kagawa, T. The influence of urban green environments on stress relief measures: A field experiment. J. Environ. Psychol. 2014, 38, 1–9. [Google Scholar] [CrossRef]
- Wang, X.; Rodiek, S.; Wu, C.; Chen, Y.; Li, Y. Stress recovery and restorative effects of viewing different urban park scenes in Shanghai, China. Urban For. Urban Green. 2016, 15, 112–122. [Google Scholar] [CrossRef]
- Staats, H.; Jahncke, H.; Herzog, T.R.; Hartig, T. Urban options for psychological restoration: Common strategies in everyday situations. PLoS ONE 2016, 11, e0146213. [Google Scholar] [CrossRef] [PubMed]
- Purcell, T.; Peron, E.; Berto, R. Why do preferences differ between scene types? Environ. Behav. 2001, 33, 93–106. [Google Scholar] [CrossRef]
- Johansson, M.; Hartig, T.; Staats, H. Psychological benefits of walking: Moderation by company and outdoor environment. Appl. Psychol. Health Well-Being 2011, 3, 261–280. [Google Scholar] [CrossRef]
- Bornioli, A.; Parkhurst, G.; Morgan, P.L. Psychological wellbeing benefits of simulated exposure to five urban settings: An experimental study from the pedestrian’s perspective. J. Transp. Health 2018, 9, 105–116. [Google Scholar] [CrossRef]
- Cuijpers, P.; Koole, S.L.; van Dijke, A.; Roca, M.; Li, J.; Reynolds, C.F. Psychotherapy for subclinical depression: Meta-analysis. Br. J. Psychiatry 2014, 205, 268–274. [Google Scholar] [CrossRef] [PubMed]
- Treadway, M.T.; Zald, D.H. Reconsidering anhedonia in depression: Lessons from translational neuroscience. Neurosci. Biobehav. Rev. 2011, 35, 537–555. [Google Scholar] [CrossRef]
- Brinkmann, K.; Gendolla, G.H. Does depression interfere with effort mobilization? Effects of dysphoria and task difficulty on cardiovascular response. J. Personal. Soc. Psychol. 2008, 94, 146. [Google Scholar] [CrossRef] [PubMed]
- Hartig, T.; Staats, H. The need for psychological restoration as a determinant of environmental preferences. J. Environ. Psychol. 2006, 26, 215–226. [Google Scholar] [CrossRef]
- Korpela, K.M.; Ylén, M.; Tyrväinen, L.; Silvennoinen, H. Determinants of restorative experiences in everyday favorite places. Health Place 2008, 14, 636–652. [Google Scholar] [CrossRef] [PubMed]
- Ottosson, J.; Grahn, P. The role of natural settings in crisis rehabilitation: How does the level of crisis influence the response to experiences of nature with regard to measures of rehabilitation? Landsc. Res. 2008, 33, 51–70. [Google Scholar] [CrossRef]
- Peschardt, K.K.; Stigsdotter, U.K. Associations between park characteristics and perceived restorativeness of small public urban green spaces. Landsc. Urban Plan. 2013, 112, 26–39. [Google Scholar] [CrossRef]
- Roe, J.; Aspinall, P. The restorative benefits of walking in urban and rural settings in adults with good and poor mental health. Health Place 2011, 17, 103–113. [Google Scholar] [CrossRef] [PubMed]
- Beute, F.; de Kort, Y.A. The natural context of wellbeing: Ecological momentary assessment of the influence of nature and daylight on affect and stress for individuals with depression levels varying from none to clinical. Health Place 2018, 49, 7–18. [Google Scholar] [CrossRef] [PubMed]
- Meuwese, D.; Dijkstra, K.; Maas, J.; Koole, S.L. Beating the blues by viewing Green: Depressive symptoms predict greater restoration from stress and negative affect after viewing a nature video. J. Environ. Psychol. 2021, 75, 101594. [Google Scholar] [CrossRef]
- Beck, A.T. Cognitive Therapy and the Emotional Disorders; International Universities Press: New York, NY, USA, 1979. [Google Scholar]
- Nolen-Hoeksema, S.; Wisco, B.E.; Lyubomirsky, S. Rethinking rumination. Perspect. Psychol. Sci. 2008, 3, 400–424. [Google Scholar] [CrossRef] [PubMed]
- Landrø, N.I.; Stiles, T.C.; Sletvold, H. Neuropsychological function in nonpsychotic unipolar major depression. Cognit. Behav. Neurol. 2001, 14, 233–240. [Google Scholar]
- Joormann, J.; Gotlib, I.H. Updating the contents of working memory in depression: Interference from irrelevant negative material. J. Abnorm. Psychol. 2008, 117, 182. [Google Scholar] [CrossRef]
- Berman, M.G.; Nee, D.E.; Casement, M.; Kim, H.S.; Deldin, P.; Kross, E.; Gonzalez, R.; Demiralp, E.; Gotlib, I.H.; Hamilton, P. Neural and behavioral effects of interference resolution in depression and rumination. Cognit. Affect. Behav. Neurosci. 2011, 11, 85–96. [Google Scholar] [CrossRef] [PubMed]
- Bylsma, L.M.; Morris, B.H.; Rottenberg, J. A meta-analysis of emotional reactivity in major depressive disorder. Clin. Psychol. Rev. 2008, 28, 676–691. [Google Scholar] [CrossRef] [PubMed]
- Craig, C.; Klein, M.I.; Menon, C.V.; Rinaldo, S.B. Digital nature benefits typical individuals but not individuals with depressive symptoms. Ecopsychology 2015, 7, 53–58. [Google Scholar] [CrossRef]
- Cashel, C.M.; Lane, S.W.; Montgomery, D. Emotional response patterns of participants during a wilderness experience. Wilderness Environ. Med. 1996, 7, 9–18. [Google Scholar] [CrossRef]
- Jakubec, S.L.; Carruthers Den Hoed, D.; Ray, H.; Krishnamurthy, A. Mental well-being and quality-of-life benefits of inclusion in nature for adults with disabilities and their caregivers. Landsc. Res. 2016, 41, 616–627. [Google Scholar] [CrossRef]
- Bratman, G.N.; Daily, G.C.; Levy, B.J.; Gross, J.J. The benefits of nature experience: Improved affect and cognition. Landsc. Urban Plan. 2015, 138, 41–50. [Google Scholar] [CrossRef]
- Li, D.; Sullivan, W.C. Impact of views to school landscapes on recovery from stress and mental fatigue. Landsc. Urban Plan. 2016, 148, 149–158. [Google Scholar] [CrossRef]
- Yu, T.; Behm, H.; Bill, R.; Kang, J. Audio-visual perception of new wind parks. Landsc. Urban Plan. 2017, 165, 1–10. [Google Scholar] [CrossRef]
- Bradley, M.M.; Lang, P.J. Measuring emotion: The self-assessment manikin and the semantic differential. J. Behav. Ther. Exp. Psychiatry 1994, 25, 49–59. [Google Scholar] [CrossRef] [PubMed]
- Russell, J.A. A circumplex model of affect. J. Personal. Soc. Psychol. 1980, 39, 1161. [Google Scholar] [CrossRef]
- Posner, J.; Russell, J.A.; Peterson, B.S. The circumplex model of affect: An integrative approach to affective neuroscience, cognitive development, and psychopathology. Dev. Psychopathol. 2005, 17, 715–734. [Google Scholar] [CrossRef]
- Linzmayer, C.D.; Halpenny, E.A.; Walker, G.J. A multidimensional investigation into children’s optimal experiences with nature. Landsc. Res. 2014, 39, 481–501. [Google Scholar] [CrossRef]
- Maehr, A.M.; Watts, G.R.; Hanratty, J.; Talmi, D. Emotional response to images of wind turbines: A psychophysiological study of their visual impact on the landscape. Landsc. Urban Plan. 2015, 142, 71–79. [Google Scholar] [CrossRef]
- Hoyle, H.; Hitchmough, J.; Jorgensen, A. All about the ‘wow factor’? The relationships between aesthetics, restorative effect and perceived biodiversity in designed urban planting. Landsc. Urban Plan. 2017, 164, 109–123. [Google Scholar] [CrossRef]
- Shu, S.; Ma, H. Restorative effects of urban park soundscapes on children’s psychophysiological stress. Appl. Acoust. 2020, 164, 107293. [Google Scholar] [CrossRef]
- Rosenbaum, M.S. Restorative servicescapes: Restoring directed attention in third places. J. Serv. Manag. 2009, 20, 173–191. [Google Scholar] [CrossRef]
- Cohen, S.; Kamarck, T.; Mermelstein, R. Perceived stress scale. Meas. Stress Guide Health Soc. Sci. 1994, 10, 1–2. [Google Scholar]
- Kroenke, K.; Spitzer, R.L.; Williams, J.B. The PHQ-9: Validity of a brief depression severity measure. J. Gen. Intern. Med. 2001, 16, 606–613. [Google Scholar] [CrossRef]
- Kirschbaum, C.; Pirke, K.-M.; Hellhammer, D.H. The ‘Trier Social Stress Test’—A tool for investigating psychobiological stress responses in a laboratory setting. Neuropsychobiology 1993, 28, 76–81. [Google Scholar] [CrossRef]
- Jiang, B.; Li, D.; Larsen, L.; Sullivan, W.C. A dose-response curve describing the relationship between urban tree cover density and self-reported stress recovery. Environ. Behav. 2016, 48, 607–629. [Google Scholar] [CrossRef]
- Jiang, B.; Chang, C.-Y.; Sullivan, W.C. A dose of nature: Tree cover, stress reduction, and gender differences. Landsc. Urban Plan. 2014, 132, 26–36. [Google Scholar] [CrossRef]
- Lin, W.; Chen, Q.; Zhang, X.; Tao, J.; Liu, Z.; Lyu, B.; Li, N.; Li, D.; Zeng, C. Effects of Different Bamboo Forest Spaces on Psychophysiological Stress and Spatial Scale Evaluation. Forests 2020, 11, 616. [Google Scholar] [CrossRef]
- Salehi, M.; Marefat, F. The Effects of Foreign Language Anxiety and Test Anxiety on Foreign Language Test Performance. Theory Pract. Lang. Stud. 2014, 4, 931–940. [Google Scholar] [CrossRef]
- Von Worde, R. Students’ Perspectives on Foreign Language Anxiety. Inquiry 2003, 8, n1. [Google Scholar]
- Kuper, R. Effects of flowering, foliation, and autumn colors on preference and restorative potential for designed digital landscape models. Environ. Behav. 2020, 52, 544–576. [Google Scholar] [CrossRef]
- Paddle, E.; Gilliland, J. Orange is the new green: Exploring the restorative capacity of seasonal foliage in schoolyard trees. Int. J. Environ. Res. Public Health 2016, 13, 497. [Google Scholar] [CrossRef] [PubMed]
- Tabrizian, P.; Baran, P.K.; Smith, W.R.; Meentemeyer, R.K. Exploring perceived restoration potential of urban green enclosure through immersive virtual environments. J. Environ. Psychol. 2018, 55, 99–109. [Google Scholar] [CrossRef]
- Gatersleben, B.; Andrews, M. When walking in nature is not restorative—The role of prospect and refuge. Health Place 2013, 20, 91–101. [Google Scholar] [CrossRef]
- Laumann, K.; Gärling, T.; Stormark, K.M. Selective attention and heart rate responses to natural and urban environments. J. Environ. Psychol. 2003, 23, 125–134. [Google Scholar] [CrossRef]
- Van den Berg, A.E.; Koole, S.L.; van der Wulp, N.Y. Environmental preference and restoration:(How) are they related? J. Environ. Psychol. 2003, 23, 135–146. [Google Scholar] [CrossRef]
- Wang, T.-C.; Sit, C.H.-P.; Tang, T.-W.; Tsai, C.-L. Psychological and Physiological Responses in Patients with Generalized Anxiety Disorder: The Use of Acute Exercise and Virtual Reality Environment. Int. J. Environ. Res. Public Health 2020, 17, 4855. [Google Scholar] [CrossRef]
- Faul, F.; Erdfelder, E.; Lang, A.-G.; Buchner, A. G* Power 3: A flexible statistical power analysis program for the social, behavioral, and biomedical sciences. Behav. Res. Methods 2007, 39, 175–191. [Google Scholar] [CrossRef] [PubMed]
- Field, A. Discopering Statistics Using SPSS, 3rd ed.; Sage Publications: New York, NY, USA, 2009. [Google Scholar]
- Staats, H.; Kieviet, A.; Hartig, T. Where to recover from attentional fatigue: An expectancy-value analysis of environmental preference. J. Environ. Psychol. 2003, 23, 147–157. [Google Scholar] [CrossRef]
- Joye, Y. Architectural lessons from environmental psychology: The case of biophilic architecture. Rev. Gen. Psychol. 2007, 11, 305–328. [Google Scholar] [CrossRef]
- Reber, R.; Schwarz, N.; Winkielman, P. Processing fluency and aesthetic pleasure: Is beauty in the perceiver’s processing experience? Personal. Soc. Psychol. Rev. 2004, 8, 364–382. [Google Scholar] [CrossRef] [PubMed]
- Subiza-Pérez, M.; Korpela, K.; Pasanen, T. Still not that bad for the grey city: A field study on the restorative effects of built open urban places. Cities 2021, 111, 103081. [Google Scholar] [CrossRef]
- Stigsdotter, U.K.; Corazon, S.S.; Sidenius, U.; Kristiansen, J.; Grahn, P. It is not all bad for the grey city–A crossover study on physiological and psychological restoration in a forest and an urban environment. Health Place 2017, 46, 145–154. [Google Scholar] [CrossRef] [PubMed]
- de Kort, Y.A.W.; Meijnders, A.L.; Sponselee, A.A.G.; Ijsselsteijn, W.A. What’s wrong with virtual trees? Restoring from stress in a mediated environment. J. Environ. Psychol. 2006, 26, 309–320. [Google Scholar] [CrossRef]
- Richardson, M.; McEwan, K.; Maratos, F.; Sheffield, D. Joy and Calm: How an Evolutionary Functional Model of Affect Regulation Informs Positive Emotions in Nature. Evol. Psychol. Sci. 2016, 2, 308–320. [Google Scholar] [CrossRef]
- White, M.; Smith, A.; Humphryes, K.; Pahl, S.; Snelling, D.; Depledge, M. Blue space: The importance of water for preference, affect, and restorativeness ratings of natural and built scenes. J. Environ. Psychol. 2010, 30, 482–493. [Google Scholar] [CrossRef]
- Li, H.; Dong, W.; Wang, Z.; Chen, N.; Wu, J.; Wang, G.; Jiang, T. Effect of a Virtual Reality-Based Restorative Environment on the Emotional and Cognitive Recovery of Individuals with Mild-to-Moderate Anxiety and Depression. Int. J. Environ. Res. Public Health 2021, 18, 9053. [Google Scholar] [CrossRef] [PubMed]
- Berman, M.G.; Kross, E.; Krpan, K.M.; Askren, M.K.; Burson, A.; Deldin, P.J.; Kaplan, S.; Sherdell, L.; Gotlib, I.H.; Jonides, J. Interacting with nature improves cognition and affect for individuals with depression. J. Affect. Disord. 2012, 140, 300–305. [Google Scholar] [CrossRef]
- Gonzalez, M.T.; Hartig, T.; Patil, G.G.; Martinsen, E.W.; Kirkevold, M. Therapeutic horticulture in clinical depression: A prospective study of active components. J. Adv. Nurs. 2010, 66, 2002–2013. [Google Scholar] [CrossRef] [PubMed]
- McEwen, B.S.; Morrison, J.H. The brain on stress: Vulnerability and plasticity of the prefrontal cortex over the life course. Neuron 2013, 79, 16–29. [Google Scholar] [CrossRef]
- Roozendaal, B.; Barsegyan, A.; Lee, S. Adrenal stress hormones, amygdala activation, and memory for emotionally arousing experiences. Prog. Brain Res. 2007, 167, 79–97. [Google Scholar] [CrossRef]
- Young, A.H.; Sahakian, B.J.; Robbins, T.W.; Cowen, P.J. The effects of chronic administration of hydrocortisone on cognitive function in normal male volunteers. Psychopharmacology 1999, 145, 260–266. [Google Scholar] [CrossRef] [PubMed]
- Yuan, Y.; Leung, A.W.S.; Duan, H.; Zhang, L.; Zhang, K.; Wu, J.; Qin, S. The effects of long-term stress on neural dynamics of working memory processing: An investigation using ERP. Sci. Rep. 2016, 6, 23217. [Google Scholar] [CrossRef] [PubMed]
- Qin, S.; Hermans, E.J.; van Marle, H.J.F.; Luo, J.; Fernández, G. Acute Psychological Stress Reduces Working Memory-Related Activity in the Dorsolateral Prefrontal Cortex. Biol. Psychiatry 2009, 66, 25–32. [Google Scholar] [CrossRef]
- Kuhlmann, S.; Piel, M.; Wolf, O.T. Impaired memory retrieval after psychosocial stress in healthy young men. J. Neurosci. 2005, 25, 2977–2982. [Google Scholar] [CrossRef] [PubMed]
- Markevych, I.; Schoierer, J.; Hartig, T.; Chudnovsky, A.; Hystad, P.; Dzhambov, A.M.; De Vries, S.; Triguero-Mas, M.; Brauer, M.; Nieuwenhuijsen, M.J. Exploring pathways linking greenspace to health: Theoretical and methodological guidance. Environ. Res. 2017, 158, 301–317. [Google Scholar] [CrossRef]
- Wu, W.-Y.; Yau, O.H.M.; Lu, H.-Y. Feng Shui Principles in Residential Housing Selection. Psychol. Mark. 2012, 29, 502–518. [Google Scholar] [CrossRef]
- Lindal, P.J.; Hartig, T. Effects of urban street vegetation on judgments of restoration likelihood. Urban For. Urban Green. 2015, 14, 200–209. [Google Scholar] [CrossRef]
- Lindal, P.J.; Hartig, T. Architectural variation, building height, and the restorative quality of urban residential streetscapes. J. Environ. Psychol. 2013, 33, 26–36. [Google Scholar] [CrossRef]
- Hartig, T.; Korpela, K.; Evans, G.W.; Gärling, T. A measure of restorative quality in environments. Scand. Hous. Plan. Res. 1997, 14, 175–194. [Google Scholar] [CrossRef]
- Berman, M.G.; Jonides, J.; Kaplan, S. The cognitive benefits of interacting with nature. Psychol. Sci. 2008, 19, 1207–1212. [Google Scholar] [CrossRef] [PubMed]
- Higuera-Trujillo, J.L.; Maldonado, J.L.-T.; Millán, C.L. Psychological and physiological human responses to simulated and real environments: A comparison between Photographs, 360 Panoramas, and Virtual Reality. Appl. Ergon. 2017, 65, 398–409. [Google Scholar] [CrossRef] [PubMed]
- Browning, M.H.; Mimnaugh, K.J.; Van Riper, C.J.; Laurent, H.K.; LaValle, S.M. Can simulated nature support mental health? Comparing short, single-doses of 360-degree nature videos in virtual reality with the outdoors. Front. Psychol. 2020, 10, 2667. [Google Scholar] [CrossRef] [PubMed]
- Mayer, F.S.; Frantz, C.M.; Bruehlman-Senecal, E.; Dolliver, K. Why Is Nature Beneficial? Environ. Behav. 2008, 41, 607–643. [Google Scholar] [CrossRef]
- Stevenson, M.P.; Schilhab, T.; Bentsen, P. Attention Restoration Theory II: A systematic review to clarify attention processes affected by exposure to natural environments. J. Toxicol. Environ. Health Part B 2018, 21, 227–268. [Google Scholar] [CrossRef] [PubMed]
- Valtchanov, D.; Barton, K.R.; Ellard, C. Restorative effects of virtual nature settings. Cyberpsychol. Behav. Soc. Netw. 2010, 13, 503–512. [Google Scholar] [CrossRef] [PubMed]
- Villani, D.; Riva, F.; Riva, G. New technologies for relaxation: The role of presence. Int. J. Stress Manag. 2007, 14, 260. [Google Scholar] [CrossRef]
- Li, W.; Yang, Y.; Liu, Z.-H.; Zhao, Y.-J.; Zhang, L.; Cheung, T.; Ng, C.H.; Xiang, Y.-T. The first national action plan on depression in China: Progress and challenges. Lancet Reg. Health–West. Pac. 2021, 7, 100078. [Google Scholar] [CrossRef] [PubMed]






| Variable | BDS | Valence | Arousal | ||||||
|---|---|---|---|---|---|---|---|---|---|
| F | p | F | p | F | p | ||||
| Time (T) | 64.44 | <0.001 *** | 0.349 | 82.37 | <0.001 *** | 0.407 | 194.73 | <0.001 *** | 0.619 |
| Setting (S) | 0.53 | 0.716 | 0.017 | 0.22 | 0.929 | 0.007 | 1.17 | 0.328 | 0.037 |
| T × S | 2.56 | 0.042 * | 0.079 | 5.55 | <0.001 *** | 0.156 | 0.97 | 0.456 | 0.031 |
| Variable | BDS (Post-Video) | Valence (Post-Video) | ||
|---|---|---|---|---|
| Β | SE | Β | SE | |
| Constant | 9.326 *** | 0.304 | 4.786 *** | 0.205 |
| Measure pre-video (centered) | 0.705 *** | 0.048 | 0.532 *** | 0.080 |
| Treatment (street as reference) | ||||
| Lawn | 0.802 + | 0.432 | 0.865 ** | 0.286 |
| Plaza | 0.896 * | 0.430 | 1.225 *** | 0.289 |
| Forest | 0.986 * | 0.430 | 1.266 *** | 0.289 |
| Lake | 1.367 ** | 0.430 | 1.441 *** | 0.290 |
| PSS score (centered) | 0.050 + | 0.028 | −0.018 | 0.018 |
| Variable | BDS (Post-Video) | Valence (Post-Video) | ||
|---|---|---|---|---|
| Β | SE | Β | SE | |
| Constant | 9.339 *** | 0.308 | 4.808 *** | 0.202 |
| Measure pre-video (centered) | 0.697 *** | 0.048 | 0.517 *** | 0.079 |
| Treatment (street as reference) | ||||
| Lawn | 0.802 + | 0.438 | 0.867 ** | 0.282 |
| Plaza | 0.859 + | 0.435 | 1.198 *** | 0.285 |
| Forest | 0.969 * | 0.436 | 1.218 *** | 0.286 |
| Lake | 1.354 ** | 0.436 | 1.407 *** | 0.287 |
| PHQ score (centered) | 0.019 | 0.029 | −0.038 * | 0.019 |
Publisher’s Note: MDPI stays neutral with regard to jurisdictional claims in published maps and institutional affiliations. |
© 2022 by the authors. Licensee MDPI, Basel, Switzerland. This article is an open access article distributed under the terms and conditions of the Creative Commons Attribution (CC BY) license (https://creativecommons.org/licenses/by/4.0/).
Share and Cite
Jin, Z.; Wang, J.; Liu, X. Attention and Emotion Recovery Effects of Urban Parks during COVID-19—Psychological Symptoms as Moderators. Forests 2022, 13, 2001. https://doi.org/10.3390/f13122001
Jin Z, Wang J, Liu X. Attention and Emotion Recovery Effects of Urban Parks during COVID-19—Psychological Symptoms as Moderators. Forests. 2022; 13(12):2001. https://doi.org/10.3390/f13122001
Chicago/Turabian StyleJin, Ziliang, Jiangping Wang, and Xu Liu. 2022. "Attention and Emotion Recovery Effects of Urban Parks during COVID-19—Psychological Symptoms as Moderators" Forests 13, no. 12: 2001. https://doi.org/10.3390/f13122001
APA StyleJin, Z., Wang, J., & Liu, X. (2022). Attention and Emotion Recovery Effects of Urban Parks during COVID-19—Psychological Symptoms as Moderators. Forests, 13(12), 2001. https://doi.org/10.3390/f13122001

