Experimental Examination of Vegetative Propagation Methods of Nothofagus antarctica (G. Forst.) Oerst. for Restoration of Fire-Damaged Forest in Torres del Paine National Park, Chile
Abstract
1. Introduction
2. Materials and Methods
2.1. Experimental Design
2.2. Data Analysis
3. Results
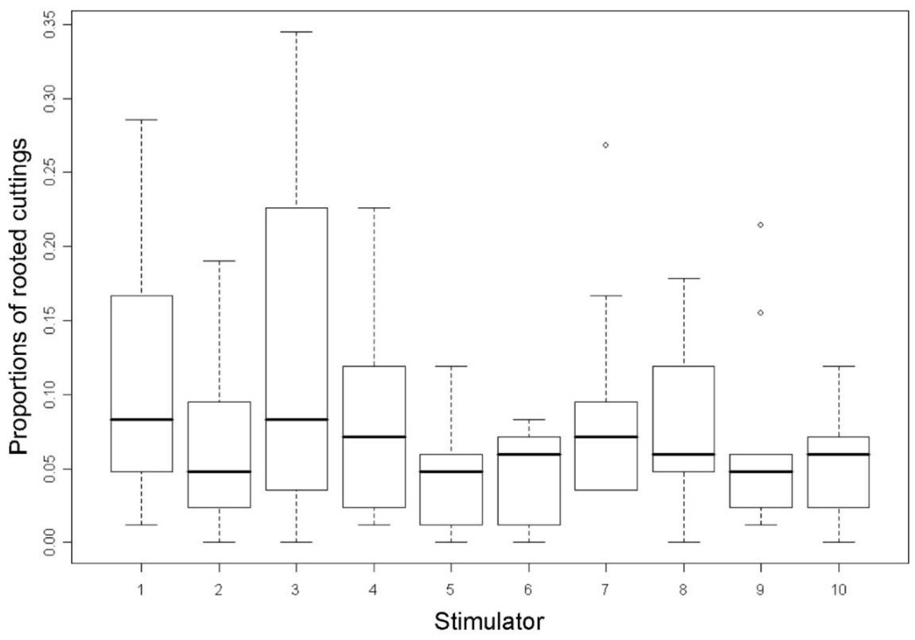
3.1. Proportion of Rooted Cuttings from the Total Number of Cuttings
3.2. Proportion of Surviving Cuttings from the Total Number of Cuttings
3.3. Proportion of Rooted Cuttings from the Surviving Cuttings
4. Discussion
5. Conclusions
Author Contributions
Funding
Institutional Review Board Statement
Informed Consent Statement
Data Availability Statement
Acknowledgments
Conflicts of Interest
Appendix A








References
- Haemet-Ahti, L. The zonal position of “Nothofagus” forests. Veröff. Geobot. Inst. ETH Stift. Rübel Zür. 1986, 91, 217–227. [Google Scholar]
- SAyDS. Primer Inventario Nacional de Bosques Nativos; Ministerio de Salud y Ambiente de la Nación-Secretaria de Ambiente y Desarollo Sustentable: Buenos Aires, Argentina, 2005; p. 86.
- Bizma, G.; Torrejón, F.; Aguayo, M.; Muñoz, M.D.; Echeverría, C.; Urrutia, R. Pérdida y fragmentación del bosque nativo en la cuenca del río Aysén (Patagonia-Chile) durante el siglo XX. Rev. Geogr. Norte Gd. 2011, 49, 125–138. [Google Scholar] [CrossRef]
- Bahamonde, H.A.; Peri, P.L.; Monelos, L.H.; Pastur, G.M. Regeneración por semillas en bosques nativos de Nothofagus antarctica bajo uso silvopastoril en Patagonia Sur, Argentina. Bosque 2013, 34, 89–101. [Google Scholar] [CrossRef]
- Alonso, M.F.; Wentzel, H.; Schmidt, A.; Balocchi, O. Plant community shifts along tree canopy cover gradients in grazed Patagonian Nothofagus antarctica forests and grasslands. Agrofor. Syst. 2020, 94, 651–661. [Google Scholar] [CrossRef]
- Pastur, G.J.M.; Rosas, Y.M.; Cellini, J.M.; Barrera, M.D.; Toro Manríquez, M.D.R.; Herrera, A.H.; Bondar, S.F.; Lencinas, M.V.; Peri, P.L. Conservation values of understory vascular plants in even and uneven-aged Nothofagus antarctica forests. Biodivers. Conserv. 2020, 29, 3783–3805. [Google Scholar] [CrossRef]
- Francois, J.P.S. Historia Paleoambiental del Ecotono Bosque-Estepa al Interior del Parque Nacional Torres del Paine (Región Magallanes, Chile) Durante los Últimos 14.800 aňos. Master’s Thesis, Facultad de Ciencias, Universidad De Chile, Santiago, Chile, 2009; p. 101. [Google Scholar]
- Pastur, G.J.M.; Rosas, Y.M.; Chaves, J.; Cellini, J.M.; Barrera, M.D.; Favoretti, S.; Lencinas, M.V.; Peri, P.L. Changes in forest structure values along the natural cycle and different management strategies in Nothofagus antarctica forests. For. Ecol. Manag. 2021, 486, 118973. [Google Scholar] [CrossRef]
- Cifuentes, R.M. Reserva de la Biosféra Torres del Paine, Turismo e Incendios Forestales; CONAF: Santiago, Chile, 2017; p. 30. [Google Scholar]
- Peri, P.L.; Hansen, L.; Rusch, V.; Tejera, L.; Monelos, L.; Frtig, L.; Bahmonde, H.; Sarasola, M. Pautas de manejo de sistemas silvopastoriles en bosques nativos de Nothofagus antarctica (Ñirre) en Patagonia. In Proceedings of the 1st National Congress of Silvopastoral Systems, Misiones, Argentina, 14–16 May 2009; pp. 151–164. [Google Scholar]
- Buamscha, M.G.; Contardi, L.T.; Dumroese, R.K.; Enricci, J.A.; Escobar, R.R.; Gonda, H.E.; Jacobs, D.F.; Landis, T.D.; Luna, T.; Mexal, J.G.; et al. Produción de Plantas en Viveros Forestales, 1st ed.; Universidad National de la Patagonia San Juan Bosco y Centro de investigación y extensión Forestal Andino Patagónico: Buenos Aires, Argentina, 2012; p. 220. [Google Scholar]
- Esteban, R.S.; Pastur, G.M.; Lencinas, M.V.; Peri, P.L. Flowering and seeding patterns in primary, secondary and silvopastoral managed Nothofagus antarctica forests in South Patagonia. N. Z. J. Bot. 2010, 48, 63–73. [Google Scholar] [CrossRef]
- Premoli, A.C. Morfología y capacidad germinativa en poblaciones de Nothofagus antarctica (Foster)Oerst. Del noroeste andino patagónico. Bosque 1991, 12, 53–59. [Google Scholar] [CrossRef]
- Tejera, L.; Nidia, H.; Fertig, M. Efecto de la cobertura arbórea y del pastoreeo vacuno sobre el establicimiento de la regeneración de Nothofagus antarctica. Forests 2006, 12, 51–54. [Google Scholar]
- Cóbar-Carranza, A.J.; García, R.A.; Pauchard, A.; Peña, E. Effects of high temperatures in the germination and seed survival of the invasive species Pinus contorta and two native species of South Chile. Bosque 2015, 36, 53–60. [Google Scholar] [CrossRef]
- Veblen, T.T.; Donoso, C.; Kitzberger, T.; Rebertus, A.J. Ecology of Southern Chilean and Argentinean Nothofagus forests. In Ecologia de los Bosques de los Bosques Nativos de Chile, 1st ed.; Armesto, J.J., Arroyo, M.T.A., Villagran, C., Eds.; Universidad de Chile: Santiago, Chile, 1996; pp. 169–198. [Google Scholar]
- Bahamonde, H.A.; Peri, P.L.; Monelos, L.H.; Pastur, G.M. Aspectos ecológicos de la regeneración por semillas en bosques nativos de Nothofagus antarctica en Patagonia Sur, Argentina. Bosque 2011, 32, 20–29. [Google Scholar] [CrossRef]
- Echevarría, D.C.; Von Müller, A.R.; Hansen, N.E.; Bava, J.O. Efecto del ramoneo bovino en renovales de Nothofagus antarctica en Chubut, Argentina, en relación con la carga ganadera y la altura de la plantas. Bosque 2014, 35, 357–368. [Google Scholar] [CrossRef]
- Wollenweber, E.; Stuber, A.; Kraut, L. Flavonoid aglycones and flavonol glycosides in the lipophilic leaf exudate of Nothofagus antarctica. Phytochemistry 1997, 44, 1399–1400. [Google Scholar] [CrossRef]
- Burns, B.R. Fire-induced dynamics of Araucaria araucana-Nothofagus antarctica forest in the southern Andes. J. Biogeogr. 1993, 20, 669–685. [Google Scholar] [CrossRef]
- Acuña, T.L.O. Propagación Vegetativa de Nothofagus antarctica (Ñirre) a Través de Estacas; CONAF: Santiago, Chile, 2006; p. 26. [Google Scholar]
- Hartmann, H.; Kester, D. Propagación de Plantas, Principiosy Practicas; Editorial Continental: Ciudad de México, México, 1995; p. 760. [Google Scholar]
- Salinas, J.S.; Ovando, V.B.; Acuña, B.A.; Diaz, E.V. Estandares de Producción Vegetativa en Plantas de Nothofagus antarctica (G. Forst.) Oerst. en la Region de Aysén; Instituto forestall—sede Patagonia: Coyhaique, Chile, 2011; p. 11. [Google Scholar]
- Zobel, B.; Talbert, J. Técnicas de Mejoraminento Genético de Árboles Forestáles; Editorial Limusa SA: Ciudad de México, México, 1994; p. 545. [Google Scholar]
- Smilauer, P. Modern Regression Methods (in Czech); Biologická fakulta JU: České Budějovice, Czech Republic, 2007; p. 168. [Google Scholar]
- Agresti, A. Categorial Data Analysis; John Wiley & Sons: Hoboken, NJ, USA, 2002; p. 701. [Google Scholar]
- Corredoira, E.; Martínez, T.; Cernadas, J.; San José, C. Application of Biotechnology in the Conservation of the Genus Castanea. Forests 2017, 8, 394. [Google Scholar] [CrossRef]
- De Almeida, M.R.; Aumond, M., Jr.; Da Costa, C.T.; Schwambach, J.; Ruedell, C.M.; Correa, L.R.; Fett-Neto, A.G. Environmental control of adventitious rooting in Eucalyptus and Populus cuttings. Trees 2017, 31, 1377–1390. [Google Scholar] [CrossRef]
- Yusnita, Y.; Jamaludin, J.; Agustiansyah, A.; Hapsoro, D. A combination of IBA and NAA resulted in better rooting and shoot sprouting than single auxin on Malay apple [Syzygium malaccense (L.) Merr. & Perry] stem cuttings. AGRIVITA J. Agric. Sci. 2018, 40, 80–90. [Google Scholar] [CrossRef]
- Cristofori, V.; Rouphael, Z.; Rugini, E. Collection time, cutting age, IBA and putrescine effects on root formation in Corylus avellana L. cuttings. Sci. Hortic. 2010, 124, 189–194. [Google Scholar] [CrossRef]
- Gergoff Grozeff, G.E.; De Los, Á.; Romero, M.; Aubone Videla, M. Nitric oxide in combination with indole-3-butyric acid improves root growth in ‘Ferdor Julior’ hardwood cuttings (Prunus insistitia (L.) × Prunus domestica (L.)). J. Hortic. Sci. Biotechnol. 2017, 93, 175–184. [Google Scholar] [CrossRef]
- Chater, J.M.; Merhauta, D.J.; Preeceb, J.E.; Blythec, E.K. Rooting and vegetative growth of hardwood cuttings of 12 pomegranate (Punica granatum L.) cultivars. Sci. Hortic. 2017, 221, 68–72. [Google Scholar] [CrossRef][Green Version]
- Véras, M.L.M.; Mendonça, R.M.N.; Ramires, C.M.C.; De Melo Silva, S.; Pereira, W.E. Effect of ethephon and indolebutyric acid on yellow mombin propagation via cutting. Pesqui. Agropecu. Tropical. 2017, 47, 416–423. [Google Scholar] [CrossRef][Green Version]
- Akat, H.; Demirkan, G.C.; Tuna, A.L. The effect of naphthalene acetic acid and some rooting media on rooting abilities and shoot growth of Dwarf Nerium cuttings. J. Environ. Biol. 2017, 38, 903–909. [Google Scholar] [CrossRef]
- Trueman, S.J. Cytokinin and auxin effects on survival and rooting of Eucalyptus pellita and E. grandis × E. pellita cuttings. Rhizosphere 2018, 6, 74–76. [Google Scholar] [CrossRef]
- Stevens, M.E.; Pijut, P.M. Origin of adventitious roots in black walnut (Juglans nigra) softwood cuttings rooted under optimized conditions in a fog chamber. New For. 2017, 48, 685–697. [Google Scholar] [CrossRef]
- Latsague, M.; Lara, J. Total phenol content and its relations with rhizogenesis in cuttings of Nothofagus pumilio (Poepp. et Endl.) Krasser. Gayana Bot. 2003, 60, 90–93. [Google Scholar] [CrossRef][Green Version]
- Rolón, A.; Mari, C.; Fernández, H.M.; Dezzoti, A.; Orlov, D. Efecto del indolbutírico sobre el enraizamiento de estacas juveniles de verano de Nothofagus nervosa y Nothofagus pumilio (Nothofagaceae). Rev. Fac. Agron. 2012, 111, 91–98. [Google Scholar]
- Romero, M. Propagación Vegetativa en Lenga (Nothofagus pumilio (Poepp. et Endl.) Krasser) Mediante Enraizamiento de Estacas. Master's Thesis, Universidad Católica de Temuco, Temuco, Chile, 2000; p. 54. [Google Scholar]
- Puga, C. Propagación Vegetativa de lenga (N. pumilio (Poepp et Endl.) Krasser) Mediante el Enraizamiento de Estacas. Master's Thesis, Facultad de Ciencias Forestales, Universidad de Concepción, Concepción, Chile, 2001; p. 45. [Google Scholar]
- Peri, P.L.; Gargaglione, V.; Pastur, M.; Lencinas, V. Carbon accumulation along a stand development sequence of Nothofagus antarctica forests across a gradient in site quality in Southern Patagonia. For. Ecol. Manag. 2010, 260, 229–237. [Google Scholar] [CrossRef]
- Peri, P.L.; Gargaglione, V.; Pastur, G.M. Above- and belowground nutrients storage and biomass accumulation in marginal Nothofagus antarctica forests in Southern Patagonia. For. Ecol. Manag. 2008, 255, 2502–2511. [Google Scholar] [CrossRef]
- Kanmegne, G.; Mbouobda, H.D.; Fotso; Kamtat, G.F.; Omokolo, D.N. Interaction of stockplants shading and exogenous auxin on the propagation of Cola anomala K. Schum (Malvaceae) by cuttings. S. Afr. J. Bot. 2017, 112, 246–252. [Google Scholar] [CrossRef]
- De Carvalho Silva, A.; De Oliveira, L.M.; Da Silva, A.A. Substrate composition and indolebutyric acid on the propagation of Eplingiella fruticosa from cuttings. Ciênc. Rural 2017, 47, 20150233. [Google Scholar] [CrossRef][Green Version]
- Monder, M.J.; Pacholczak, A. Preparations of plant origin enhance carbohydrate content in plant tissues of rooted cuttings of rambler roses: Rosa beggeriana ‘Polstjärnan’ and Rosa helenae ‘Semiplena’. Acta Agric. Scand. Sect. B-Plant Soil Sci. 2017, 68, 189–198. [Google Scholar] [CrossRef]
- Otiende, M.A.; Nyabundi, J.O.; Ngamau, K.; Opala, P. Effects of cutting position of rose rootstock cultivars on rooting and its relationship with mineral nutrient content and endogenous carbohydrates. Sci. Hortic. 2017, 225, 204–212. [Google Scholar] [CrossRef]
- Hartmann, H.T.; Kester, D.E.; Davies, F.T., Jr.; Geneve, R.L. Plant Propagation: Principles and Practices, 8th ed.; Pearson: Boston, MA, USA, 2010; p. 928. [Google Scholar]
- Justamante, M.S.; Ibáñez, S.; Villanova, J.; Pérez-Pérez, J.M. Vegetative propagation of argan tree (Argania spinosa (L.) Skeels) using in vitro germinated seeds and stem cuttings. Sci. Hortic. 2017, 225, 81–87. [Google Scholar] [CrossRef]
- Kaviani, B.; Negahdar, N. Propagation, micropropagation and cryopreservation of Buxus hyrcana Pojark., an endangered ornamental shrub. S. Afr. J. Bot. 2017, 111, 326–335. [Google Scholar] [CrossRef]
- Abu-Zahra, T.R.; Al-Shadaideh, A.N.; Abubaker, S.M.; Qrunfleh, I.M. Influence of auxin concentrations on different ornamental plants rooting. Int. J. Bot. 2013, 9, 96–99. [Google Scholar] [CrossRef][Green Version]
- Filho, J.B.; Di Carvalho, M.A.; De Oliveira, L.S.; Konzen, E.R.; Brondani, G.E. Mini-cutting technique for Khaya anthotheca: Selection of suitable IBA concentration and nutrient solution for its vegetative propagation. J. For. Res. 2018, 29, 73–84. [Google Scholar] [CrossRef]
- Rugini, E.; Politi, V.; Bignami, C.; De Agazio, M. Effect of polyamine treatments on rooting cutting of three olive cultivars. Acta Hortic. 1990, 286, 97–100. [Google Scholar] [CrossRef]
- Taiz, L.; Zeiger, E. Plant Physiology: Mineral Nutrition; The Benjamin Cumming Publishing Co.: Redwood City, CA, USA, 1991; pp. 100–119. [Google Scholar]
- Kanamori, A. Puesta a Punto de la Técnica Para Cuantificación de Sustancias Fenólicas en Estacas Herbáceas de Chirimoyo Según Swaim y Hillis. Master's Thesis, Universidad Católica de Valparaíso, Valparaíso, Chile, 1995; p. 146. [Google Scholar]
- Donoso, C.; Cabello, A. Antecedentes fenológicos y de germinación de especies leňosas chilenas. Forestales 1978, 1, 31–42. [Google Scholar]









| Source | Rooting Regulator | Species | Concentration |
|---|---|---|---|
| Stevens and Pijut [36] | IBA potassium salt (K-IBA) and (IBA) | Juglans nigra | highest |
| De Carvalho Silva et al. [44] | 5 concentrations of IBA | Eplingiella fruticosa | 1.5 g·L−1. |
| Filho et al. [51] | indole-3-butyric acid (IBA) | Khaya anthotheca | 2.0 g·L−1 |
| Kanmegne et al. [43] | indole-3-butyric acid (IBA) | Cola anomala | 5 a 10 g·L−1 |
| Véras et al. [33] | indole-3-butyric acid (IBA) | Spondias mombin | 3.0 g·L−1 |
| Chater et al. [32] | indole-3-butyric acid (IBA) | Punica granatum | 3.0 g·L−1 |
| Akat et al. [34] | naphthaleneacetic acid (NAA) | Nerium olenader | 0.5 g·L−1 |
| Justamante et al. [48] | IBA + NAA | Argania spinosa | 1 + 2 mg·L−1 |
| Yusnita et al. [29] | IBA + NAA | Syzygium malaccense | 1 + 1 g·L−1 |
| Yusnita et al. [29] | NAA | Syzygium malaccense | 2–4 g·L−1 |
| Kaviani and Negahdar [49] | IBA + NAA | Buxus hyrcana | - |
| Cristofori et al. [30] | IBA + putrescine | Corylus avellana | 1 + 1.6 g·L−1 |
| Rugini et al. [52] | IBA + putrescine | Olea europaea | 2 + 1.6 g·L−1 |
| Gergoff Grozeff et al. [31] | sodium nitroprusside (SNP) + IBA | Prunus insititia × P. domestica | 1 + 0.3 g·L−1 |
Publisher’s Note: MDPI stays neutral with regard to jurisdictional claims in published maps and institutional affiliations. |
© 2021 by the authors. Licensee MDPI, Basel, Switzerland. This article is an open access article distributed under the terms and conditions of the Creative Commons Attribution (CC BY) license (https://creativecommons.org/licenses/by/4.0/).
Share and Cite
Cafourek, J.; Maděra, P.; Střítecký, J.; Adolt, R.; Smola, M. Experimental Examination of Vegetative Propagation Methods of Nothofagus antarctica (G. Forst.) Oerst. for Restoration of Fire-Damaged Forest in Torres del Paine National Park, Chile. Forests 2021, 12, 1238. https://doi.org/10.3390/f12091238
Cafourek J, Maděra P, Střítecký J, Adolt R, Smola M. Experimental Examination of Vegetative Propagation Methods of Nothofagus antarctica (G. Forst.) Oerst. for Restoration of Fire-Damaged Forest in Torres del Paine National Park, Chile. Forests. 2021; 12(9):1238. https://doi.org/10.3390/f12091238
Chicago/Turabian StyleCafourek, Josef, Petr Maděra, Josef Střítecký, Radim Adolt, and Martin Smola. 2021. "Experimental Examination of Vegetative Propagation Methods of Nothofagus antarctica (G. Forst.) Oerst. for Restoration of Fire-Damaged Forest in Torres del Paine National Park, Chile" Forests 12, no. 9: 1238. https://doi.org/10.3390/f12091238
APA StyleCafourek, J., Maděra, P., Střítecký, J., Adolt, R., & Smola, M. (2021). Experimental Examination of Vegetative Propagation Methods of Nothofagus antarctica (G. Forst.) Oerst. for Restoration of Fire-Damaged Forest in Torres del Paine National Park, Chile. Forests, 12(9), 1238. https://doi.org/10.3390/f12091238

