Comparison of Soil Properties, Understory Vegetation Species Diversities and Soil Microbial Diversities between Chinese Fir Plantation and Close-to-Natural Forest
Abstract
1. Introduction
2. Materials and Methods
2.1. Site Selection and Soil Sampling
2.2. Plant Investigation
- Richness index: R = S, Dm = (S − 1)/lnN;
 - Diversity index: , ;
 - Evenness index:, .
 
2.3. Soil Properties
2.4. Soil Enzyme Activities Analyses
2.5. Soil Microbial Communities Analyses
2.6. Statistical Analyses
3. Results
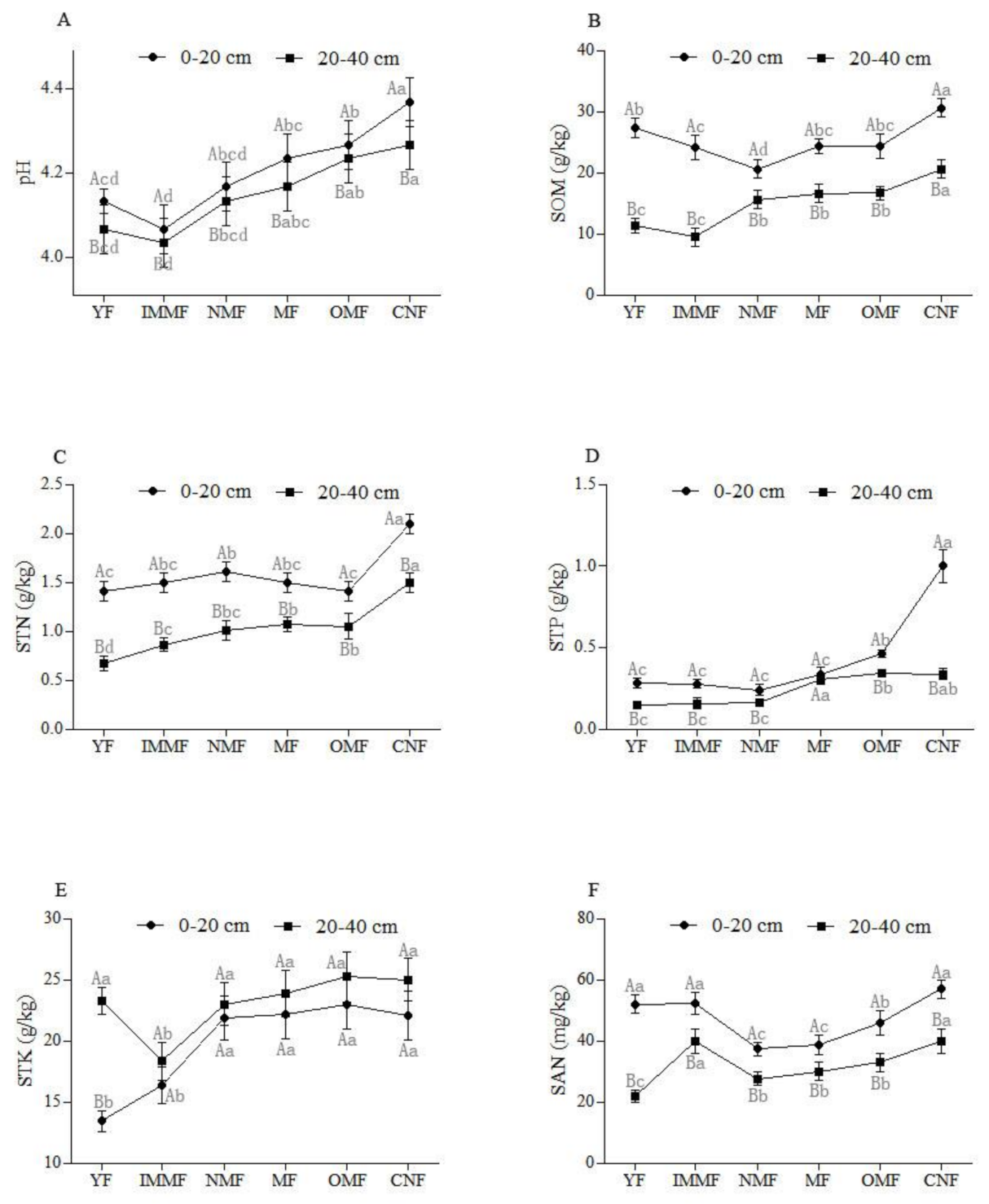
3.1. General Soil Properties
3.2. Soil Enzyme Activity
3.3. Management Effects on Plant Diversity
3.4. Management Effects on Soil Microbial Diversity
3.5. Correlation Analysis
4. Discussion
4.1. Influence on Soil Properties and Soil Enzyme Activity
4.2. Influence on Undergrowth Vegetation Species Diversity and Soil Microbial Diversity
4.3. Correlation Analysis of Limiting Factors
5. Conclusions
Author Contributions
Funding
Acknowledgments
Conflicts of Interest
References
- Douh, C.; Daïnou, K.; Loumeto, J.; Moutsambote, J.M. Soil seed bank characteristics in two central African forest types and implications for forest restoration. For. Ecol. Manag. 2018, 409, 766–776. [Google Scholar] [CrossRef]
 - Halofsky, J.E.; Andrews-Key, S.A.; Edwards, J.E. Adapting forest management to climate change: The state of science and applications in Canada and the United States. For. Ecol. Manag. 2017, 421, 84–97. [Google Scholar] [CrossRef]
 - Lefèvre, F.; Koskela, J.; Hubert, J.; Kraigher, H. Dynamic Conservation of Forest Genetic Resources in 33 European Countries. Conserv. Biol. 2013, 27, 373–384. [Google Scholar] [CrossRef] [PubMed]
 - Shen, L.; Tian, M.R.; Gao, J.X.; Qian, J.P. Spatio-temporal change of sand-fixing function and its driving forces in desertification control ecological function area of Hunshandake, China. J. Appl. Ecol. 2016, 27, 73–82. [Google Scholar]
 - Zinda, J.A.; Trac, C.J.; Zhai, D. Dual-function forests in the returning farmland to forest program and the flexibility of environmental policy in China. Geoforum 2017, 78, 119–132. [Google Scholar] [CrossRef]
 - Yu, Z.; Liu, S.R.; Wang, J.X.; Wei, X.H. Natural forests exhibit higher carbon sequestration and lower water consumption than planted forests in China. Glob. Chang. Biol. 2019, 25, 68–77. [Google Scholar] [CrossRef]
 - Zhou, Q.Q.; Li, F.; Cai, X.A.; Rao, X.Q. Survivorship of plant species from soil seedbank after translocation from subtropical natural forests to plantation forests. For. Ecol. Manag. 2019, 432, 741–747. [Google Scholar] [CrossRef]
 - Xia, Z.C.; Kong, C.H.; Chen, L.C.; Wang, P.; Wang, S.L. A broadleaf species enhances an autotoxic conifers growth through belowground chemical interactions. Ecology 2016, 97, 2283–2292. [Google Scholar] [CrossRef]
 - Yang, Y.S.; He, Z.M. On the advantages and disadvantages of the effects of controlled burning on the ecological system of Chinese fir plantation and the countermeasures. J. Nat. Resour. 1997, 2, 153–159. (In Chinese) [Google Scholar]
 - Xia, L.D.; Xu, Y.X. Researches on soil decline of Chinese fir plantation. World For. Res. 2018, 31, 37–42. (In Chinese) [Google Scholar]
 - Ma, Q.X. A review for research of productivity decline in Chinese fir plantations after successive plantings. J. Fujian Coll. For. 2001, 21, 380–384. (In Chinese) [Google Scholar]
 - Chen, L.C.; Wang, S.L.; Chen, C.Y. Degradation mechanism of Chinese fir plantation. Chin. J. Appl. Ecol. 2004, 15, 1953–1957. (In Chinese) [Google Scholar]
 - Brang, P.; Spathelf, P.; Larsen, J.B.; Bauhus, J.; Boncčìna, A.; Chauvin, C.; Drössler, L.; García-Güemes, C.; Heiri, C.; Kerr, G.; et al. Suitability of close-to-nature silviculture for adapting temperate European forests to climate change. Forestry 2014, 87, 492–503. [Google Scholar] [CrossRef]
 - Fichtner, A.; Oheimb, G.V.; Härdtle, W.; Wilken, C.; Gutknecht, J.L.M. Effects of anthropogenic disturbances on soil microbial communities in oak forests persist for more than 100 years. Soil Biol. Biochem. 2014, 70, 79–87. [Google Scholar] [CrossRef]
 - Zhang, Y.P.; Xu, J.L.; Kang, M.Y.; Zhao, C.J. Review on progress in near-natural forestry. Res. Soil Water Conserv 2007, 14, 214–217. (In Chinese) [Google Scholar]
 - Zheng, C.Z.; Hu, L.Z.; Zheng, W.H.; Yan, L.S.; Jiang, N.C. Current situation and development countermeasure of Chinese Fir plantation construction in forest farm of Kaihua County, Zhejiang Province. East China For. Manag. 2013, 3, 5–9. (In Chinese) [Google Scholar]
 - Zhou, W.; Chen, L.M. Hu’nan Zhangjiajie national forest peak’s Chinese fir plantation landscape reconstruction countermeasures. J. Fujian For. Sci. Technol. 2010, 37, 137–139. (In Chinese) [Google Scholar]
 - Li, T.T.; Lu, Y.C.; Pang, L.F.; Zhang, X.Q.; Wang, X.; Liu, X.Z.; Jiang, J. Initial Effect of Close-to-Nature Management of Chinese Fir Plantation. Sci. Silva. Sin. 2014, 50, 90–100. (In Chinese) [Google Scholar]
 - Wang, Q.T. Effectiveness study on the close-to-nature management for mixed forest of Chinese fir. J. Northwest For. Univ. 2014, 29, 95–99. (In Chinese) [Google Scholar]
 - Shi, J.P. Preliminary effect of close-to-natural management of Chinese fir plantation. J. Green Sci. Technol. 2017, 9, 181–182. (In Chinese) [Google Scholar]
 - Lin, J.J. Comparative studies on community characteristics of natural forest and plantation of Chinese fir. Mod. Agric. Sci. Technol. 2007, 9, 17–18. (In Chinese) [Google Scholar]
 - Guo, J.F.; Chen, G.S.; Qian, W.; Yang, S.H.; Yang, Y.S.; Zheng, Q.R. Litter production and nutrient return in two natural forests and a Cunninghamia lanceolata plantation in Wanmulin Nature Reserve. Acta Ecol. Sin. 2006, 26, 4091–4098. (In Chinese) [Google Scholar]
 - Mao, Y.L.; Yang, Y.S.; Xing, S.H.; Zou, S.Q.; Cui, J.C. A comparison of soil organic carbon of water-stable aggregates between Altingia gracilipes natural Forest and Cunninghamia lanceolata plantation. J. Huaqiao Univ. 2008, 29, 106–110. (In Chinese) [Google Scholar]
 - Sujii, P.S.; Schwarcz, K.D.; Grando, C.; de Aguiar Silvestre, E.; Mori, G.M.; Brancalion, P.H.S.; Zucchi, M.I. Recovery of genetic diversity levels of a Neotropical tree in Atlantic Forest restoration plantations. Biol. Conserv. 2017, 211, 110–116. [Google Scholar] [CrossRef]
 - Wu, S.H.; Huang, B.H.; Huang, C.L.; Li, G.; Liao, P.C. The Aboveground Vegetation Type and Underground Soil Property Mediate the Divergence of Soil Microbiomes and the Biological Interactions. Microb. Ecol. 2017, 75, 434–446. [Google Scholar] [CrossRef]
 - Jing, Z.B.; Cheng, J.M.; Su, J.H.; Bai, Y.; Jin, J.W. Changes in plant community composition and soil properties under 3-decade grazing exclusion in semiarid grassland. Ecol. Eng. 2014, 64, 171–178. [Google Scholar] [CrossRef]
 - Institute of Soil Science, Chinese Academy of Sciences. Soil Physical and Chemical Analysis; Shanghai Scientific & Technical Publishers: Shanghai, China, 1978. [Google Scholar]
 - Kjeldahl, J. Neuemethode zur bestimmung des stickstos in organischen Körpern. Z. Anal. Chem. 1883, 22, 366–382. [Google Scholar] [CrossRef]
 - Danilo, S.; Almeida Penn, C.J.; Rosolem, C.A. Assessment of phosphorus availability in soil cultivated with ruzigrass. Geoderma 2018, 312, 64–73. [Google Scholar]
 - Menšík, L.; Hlisnikovský, L.; Pospíšilová, L.; Kunzová, E. The effect of application of organic manures and mineral fertilizers on the state of soil organic matter and nutrients in the long-term field experiment. J. Soils Sediments 2018, 18, 2813–2822. [Google Scholar] [CrossRef]
 - Myrvang, M.B.; Hillersoy, M.H.; Heim, M.; Bleken, M.A.; Gjengedal, E. Uptake of macro nutrients, barium, and strontium by vegetation from mineral soils on carbonatite and pyroxenite bedrock at the Lillebukt Alkaline Complex on Stjernøy, Northern Norway. J. Plant Nutr. Soil Sci. 2016, 179, 705–716. [Google Scholar] [CrossRef]
 - Kieloaho, A.J.; Pihlatie, M.; Carrasco, M.; Kanerva, S.; Parshintsev, J.; Riekkola, M. Stimulation of soil organic nitrogen pool: The effect of plant and soil organic matter degrading enzymes. Soil Biol. Biochem. 2016, 96, 97–106. [Google Scholar] [CrossRef]
 - Guan, S.Y. Soil Enzymes and Their Research Methods; China Agricultural Press: Beijing, China, 1986. (In Chinese) [Google Scholar]
 - Ordóñez, I.; López, I.F.; Kemp, P.D.; Descalzi, C.A.; Horn, R.; Zúñiga, F.; Dec, D.; Dörner, J. Effect of pasture improvement managements on physical properties and water content dynamics of a volcanic ash soil in southern Chile. Soil Tillage Res. 2018, 178, 55–64. [Google Scholar] [CrossRef]
 - Potthast, K.; Hamer, U.; Makeschin, F. In an Ecuadorian pasture soil the growth of Setaria sphacelata, but not of soil microorganisms, is co-limited by N and P. Appl. Soil Ecol. 2012, 62, 103–114. [Google Scholar] [CrossRef]
 - Hungate, B.A.; Hart, S.C.; Selmants, P.C.; Boyle, S.I.; Gehring, C.A. Soil responses to management, increased precipitation, and added nitrogen in ponderosa pine forests. Ecol. Appl. 2007, 17, 1352–1365. [Google Scholar] [CrossRef]
 - Fang, X.M.; Zhang, X.L.; Chen, F.S.; Zong, Y.Y.; Bu, W.H. Phosphorus addition alters the response of soil organic carbon decomposition to nitrogen deposition in a subtropical forest. Soil Biol. Biochem. 2019, 133, 119–128. [Google Scholar] [CrossRef]
 - Lin, J.H. Comparative Study on Soil Moisture and Physical Properties of Different Forest Types; South China Agriculture University: Guangzhou, China, 2016. (In Chinese) [Google Scholar]
 - Wang, X.Y.; Wang, Q.C. Effects of the close-to-natural cultivation of Larix olgensis and Fraxinus mandshurica on the soil physiochemical properties. Sci. Silva. Sin. 2008, 44, 21–27. (In Chinese) [Google Scholar]
 - Sun, Q.W.; Yang, C.D.; Jiao, R.Z. The changes of soil properties of the successive Chinese fir plantation in Dagang mountain of Jiangxi Provience. Sci. Silva. Sin. 2003, 39, 1–5. (In Chinese) [Google Scholar]
 - Sheng, W.T.; Yang, C.D.; Fan, S.H. Variation of soil properties of Chinese Fir plantation. Fore. Res. 2003, 16, 377–385. (In Chinese) [Google Scholar]
 - Raboin, L.M.; Razafimahafaly, A.H.D.; Rabenjarisoa, M.B.; Rabary, B.; Dusserre, J.; Becquer, T. Improving the fertility of tropical acid soils: Liming versus biochar application? A long term comparison in the highlands of Madagascar. Field Crop. Res. 2016, 199, 99–108. [Google Scholar] [CrossRef]
 - Pandit, N.R.; Mulder, J.; Hale, S.; Martinsen, V.; Schmidt, H.P.; Cornelissen, G. Biochar improves maize growth by alleviation of nutrient stress in a moderately acidic low-input Nepalese soil. Sci. Total Environ. 2018, 625, 1380–1389. [Google Scholar] [CrossRef]
 - Lin, W.L. Effects of controlled burning on species diversity and soil fertility. J. For. Eng. 2002, 16, 37–38. (In Chinese) [Google Scholar]
 - Xu, H.C. A comparative evaluation of the man-made forest and natural forest. World For. Res. 1991, 3, 50–56. (In Chinese) [Google Scholar]
 - Schnecker, J.; Borken, W.; Schindlbacher, A.; Wanek, W. Little effects on soil organic matter chemistry of density fractions after seven years of forest soil warming. Soil Biol. Biochem. 2016, 103, 300–307. [Google Scholar] [CrossRef] [PubMed]
 - He, B.; Yuan, X.; Liu, Y.H.; Zhai, X.C.; Mo, Y.F.; Huang, X.M. Studies on the change of soil nutrient before and after controlled burning all cutting woodland of Pinus massoniana plantation. Genom Appl. Biol. 2002, 21, 216–218. (In Chinese) [Google Scholar]
 - Wang, S.Q.; Li, T.X.; Zheng, Z.C. Effects of tea plantation age on soil aggregate-associated C- and N-cycling enzyme activities in the hilly areas of Western Sichuan, China. CATENA 2018, 171, 145–153. [Google Scholar] [CrossRef]
 - Tischer, A.; Blagodatskaya, E.; Hamer, U. Microbial community structure and resource availability drive the catalytic efficiency of soil enzymes under land-use change conditions. Soil Biol. Biochem. 2015, 89, 226–237. [Google Scholar] [CrossRef]
 - Liu, G.M.; Zhang, X.C.; Wang, X.P.; Shao, H.B.; Yang, J.S.; Wang, X.P. Soil enzymes as indicators of saline soil fertility under various soil amendments. Agric. Ecosyst. Environ. 2017, 237, 274–279. [Google Scholar]
 - Dilly, O.; Munch, J.C.; Pfeiffer, E.M. Enzyme activities and litter decomposition in agricultural soils in northern, central, and southern Germany. J. Plant Nutr. Soil Sci. 2007, 170, 197–204. [Google Scholar] [CrossRef]
 - Deforest, J.L. The influence of time, storage temperature, and substrate age on potential soil enzyme activity in acidic forest soils using MUB-linked substrates and L-DOPA. Soil Biol. Biochem. 2009, 41, 1180–1186. [Google Scholar] [CrossRef]
 - Caldwell, B.A.; Griffiths, R.P.; Sollins, P. Soil enzyme response to vegetation disturbance in two lowland Costa Rican soils. Soil Biol. Biochem. 1999, 31, 1603–1608. [Google Scholar] [CrossRef]
 - Weand, M.P.; Arthur, M.A.; Lovett, G.M.; McCulley, R.L.; Weathers, K.C. Effects of tree species and N additions on forest floor microbial communities and extracellular enzyme activities. Soil Biol. Biochem. 2010, 42, 2161–2173. [Google Scholar] [CrossRef]
 - Li, J.; Zhou, X.; Yan, J.X.; Li, H.J.; He, J.Z. Effects of regenerating vegetation on soil enzyme activity and microbial structure in reclaimed soils on a surface coal mine site. Appl. Soil Ecol. 2015, 87, 56–62. [Google Scholar] [CrossRef]
 - Stéphane, B.; Frédéric, G.; Balandier, P. Influence of tree species on understory vegetation diversity and mechanisms involved—A critical review for temperate and boreal forests. For. Ecol. Manag. 2008, 254, 1–15. [Google Scholar]
 - Adler, G.H. Tropical tree diversity, forest structure and the demography of a frugivorous rodent, the spiny rat (Proechimys semispinosus). J. Zool. 2015, 250, 57–74. [Google Scholar] [CrossRef]
 - Vleut, I.; Galindo-González, J.; De Boer, W.F.; Levy-Tacher, S.I.; Vazquez, L.B. Niche Differentiation and its Relationship with Food Abundance and Vegetation Complexity in Four Frugivorous Bat Species in Southern Mexico. Biotropica 2015, 47, 606–615. [Google Scholar] [CrossRef]
 - Pigan, I. The effect of soil preparation on pine seedling performance in plantations established in moist forest habitats. Sylwan 2009, 153, 745–757. [Google Scholar]
 - Liang, J.; Sun, Z.Q.; Qiao, J.; Zhang, X.H. Relation between natural forest stability and pest disturbance: To control and to be controlled. Acta Ecol. Sin. 2010, 9, 2454–2464. (In Chinese) [Google Scholar]
 - Zechmeister-Boltenstern, S.; Keiblinger, K.M.; Mooshammer, M.; Peñuelas, J.; Richter, A. The application of ecological stoichiometry to plant–microbial–soil organic matter transformations. Ecol. Monogr. 2016, 85, 133–155. [Google Scholar] [CrossRef]
 - Lu, S.B.; Guo, X.M.; Rui, Y.C.; Zhou, X.Q.; Chen, C.R.; Xu, Z.H.; Niu, D.K. Utilization of carbon sources by the soil microbial community of different forest type in subtropical Australia. Acta Ecol. Sin. 2012, 32, 2819–2826. (In Chinese) [Google Scholar]
 - Silva, G.L.; Lima, H.V.; Campanha, M.M.; Gilkes, R.J.; Oliveira, T.S. Soil physical quality of Luvisols under agroforestry, natural vegetation and conventional crop management systems in the Brazilian semi-arid region. Geoderma 2011, 167, 61–70. [Google Scholar] [CrossRef]
 - Wang, C.T.; Wang, G.X.; Liu, W.; Wang, W.; Hu, L.; Ma, L. Effects of establishing an artificial grassland on vegetation characteristics and soil quality in a degraded meadow. Isr. J. Ecol. Evol. 2013, 59, 141–153. [Google Scholar] [CrossRef]
 - Chen, T.; Xi, M.; Kong, F.L.; Li, Y.; Pang, L.H. A review on litter decomposition and influence factors. Chin. J. Ecol. 2016, 35, 1927–1935. (In Chinese) [Google Scholar]
 - Hackl, E.; Pfeffer, M.; Donat, C.; Bachmann, G.; Zechmeister-Boltenstern, S. Composition of the microbial communities in the mineral soil under different types of natural forest. Soil Biol. Biochem. 2005, 37, 661–671. [Google Scholar] [CrossRef]
 - Jangid, K.; Williams, M.A.; Franzluebbers, A.J.; Schmidt, T.M.; Coleman, D.C.; Whitman, W.B. Land-use history has a stronger impact on soil microbial community composition than aboveground vegetation and soil properties. Soil Biol. Biochem. 2011, 43, 2184–2193. [Google Scholar] [CrossRef]
 







| Stand Age | Age (a) | Slope Aspect | Slope Gradient (°) | Mean Tree Height (m) | Mean DBH (cm) | 
|---|---|---|---|---|---|
| YF | 6 | Southeast | 25~28 | 7.37 ± 0.55 | 7.11 ± 0.12 | 
| IMF | 15 | South | 25~28 | 12.40 ± 1.12 | 11.46 ± 0.35 | 
| NMF | 25 | South | 23~25 | 15.49 ± 1.56 | 21.37 ± 2.15 | 
| MF | 32 | South | 24~27 | 17.22 ± 1.79 | 19.03 ± 1.79 | 
| OMF | 50 | South | 20~23 | 19.02 ± 1.74 | 20.90 ± 1.49 | 
| CNF | - | Southeast | 22~25 | 25.26 ± 2.46 | 32.15 ± 2.15 | 
| Stand Age | Soil Layer (cm) | Soil Bulk Density (g·cm−3) | Soil  Moisture (%)  | Saturated Moisture (t·hm−2) | Capillary  Capacity (t·hm−2)  | Field  Capacity (t·hm−2)  | Total  Porosity (%)  | Capillary  Porosity (%)  | 
|---|---|---|---|---|---|---|---|---|
| YF (6 years)  | 0~20 | 1.17 ± 0.02b | 28.71 ± 0.10a | 459.23 ± 19.69b | 377.01 ± 19.69a | 302.36 ± 16.31a | 54.68 ± 3.46ab | 44.88 ± 3.16a | 
| 20~40 | 1.19 ± 0.02a | 28.58 ± 0.54a | 479.17 ± 25.26a | 371.37 ± 15.26a | 326.95 ± 14.26a | 54.80 ± 4.66a | 42.57 ± 2.67b | |
| IMF (15 years)  | 0~20 | 1.21 ± 0.02a | 24.19 ± 1.55c | 404.84 ± 15.51c | 311.50 ± 15.51c | 256.23 ± 11.26c | 48.67 ± 4.94c | 37.79 ± 2.65d | 
| 20~40 | 1.25 ± 0.00b | 26.47 ± 0.26b | 406.20 ± 14.24c | 350.94 ± 14.24b | 283.51 ± 13.64c | 52.63 ± 5.15b | 45.54 ± 2.93a | |
| NMF (25 years)  | 0~20 | 1.21 ± 0.01a | 26.76 ± 1.34b | 491.65 ± 15.88a | 334.13 ± 15.88b | 263.72 ± 9.81bc | 56.07 ± 3.24a | 38.11 ± 2.46d | 
| 20~40 | 1.26 ± 0.01b | 21.95 ± 1.14d | 468.73 ± 15.16a | 347.99 ± 25.16b | 294.84 ± 16.64b | 54.09 ± 4.95a | 40.08 ± 3.16c | |
| MF (32 years)  | 0~20 | 1.18 ± 0.01b | 24.36 ± 1.42c | 414.70 ± 18.59c | 324.18 ± 18.59bc | 270.83 ± 12.61b | 53.23 ± 2.64b | 41.91 ± 2.59c | 
| 20~40 | 1.22 ± 0.01a | 24.92 ± 0.33c | 414.50 ± 16.25bc | 330.04 ± 16.25c | 277.97 ± 16.16c | 52.40 ± 2.94b | 41.87 ± 3.16b | |
| OMF (50 years)  | 0~20 | 1.21 ± 0.01a | 29.39 ± 0.91a | 427.88 ± 19.62c | 342.55 ± 19.62b | 288.97 ± 12.26b | 53.67 ± 3.96b | 43.33 ± 3.49b | 
| 20~40 | 1.22 ± 0.0a | 19.56 ± 1.58d | 370.39 ± 15.25d | 309.55 ± 15.25d | 257.28 ± 16.15d | 50.27 ± 4.64c | 41.98 ± 3.46b | |
| CNF | 0~20 | 1.21 ± 0.00a | 27.24 ± 1.23ab | 423.07 ± 16.66c | 322.80 ± 13.65bc | 257.51 ± 13.46c | 49.19 ± 3.84c | 37.52 ± 2.76d | 
| 20~40 | 1.22 ± 0.01a | 28.43 ± 1.64a | 437.25 ± 14.59b | 377.57 ± 16.59a | 303.93 ± 15.69a | 52.96 ± 2.49ab | 45.73 ± 3.65a | 
| Stand Age | Species, Genes and Family | Dominant Undergrowth Vegetation Species | 
|---|---|---|
| YF (6 years)  | 38, 33, and 26 | Rubus buergeri, Maesa acuminatissima, Paederia scandens, Dryopteris fuscipes, Centotheca lappacea, Lygodiaceae | 
| IMF (15 years)  | 24, 23, and 19 | Uncaria rhynchophylla, Machilus velutina, Smilax glabra, Diplazium donianum, Dryopteris fuscipes, Cyclosorus dentatus | 
| NMF (25 years)  | 40, 37, and 31 | Maesa acuminatissima, Machilus pauhoi, Machilus velutina, Ilex pubescens, Dryopteris fuscipes, Diplazium donianum, Woodwardia japonica | 
| MF (32 years)  | 58, 51, and 35 | Maesa acuminatissima, Machilus velutina, Rubus rosaefolius, Diplazium donianum, Arthraxon hispidus, Dicranopteris linearis | 
| OMF (50 years)  | 51, 45, and 31 | Maesa acuminatissima, Machilus pauhoi, Ilex pubescens, Diplazium donianum, Adiantum flabellulatum, Lindsaea orbiculata | 
| CNF | 66, 58, and 38 | Maesa acuminatissima, Oreocnide frutescens, Piper hancei, Ficus sarmentosa, Trachelospermum jasminoides, Diplazium donianum, Ophiorrhiza chinensis, Cyperus rotundus, Viola verecunda | 
| Stand Ages | Fungi | Bacteria | ||
|---|---|---|---|---|
| Shannon Index | Chao1 Index | Shannon Index | Chao1 Index | |
| YF (6 years)  | 3.46 ± 0.50d | 475.00 ± 15.29d | 5.39 ± 0.08d | 1692.38 ± 45.03c | 
| IMMF (15 years)  | 3.35 ± 0.50d | 637.26 ± 20.43c | 6.14 ± 0.03ab | 1915.00 ± 20.20b | 
| NMF (25 years)  | 3.90 ± 0.58c | 475.04 ± 10.41d | 6.00 ± 0.10b | 2031.13 ± 20.01a | 
| MF (32 years)  | 3.88 ± 0.80c | 746.37 ± 15.02b | 6.10 ± 0.09ab | 1898.96 ± 45.06b | 
| OMF (50 years)  | 4.09 ± 0.70b | 643.03 ± 15.12c | 6.18 ± 0.11a | 2072.43 ± 30.03a | 
| CNF | 4.34 ± 050a | 1005.51 ± 50.10a | 5.85 ± 0.29c | 2022.20 ± 30.33a | 
| Shrub | Herb | |||||||||||
|---|---|---|---|---|---|---|---|---|---|---|---|---|
| S | Dm | H | Ds | Jsw | Jsi | S | Dm | H | Ds | Jsw | Jsi | |
| SBD | NS | NS | NS | NS | NS | NS | NS | NS | NS | NS | NS | NS | 
| pH | 0.885 ** | 0.853 ** | 0.614 ** | .0649 ** | 0.429 | 0.262 | 0.819 ** | 0.708 ** | NS | NS | NS | 0.819 ** | 
| SOM | 0.522 * | 0.499 * | NS | 0.562 * | 0.529 * | 0.519 * | 0.571 * | 0.522 * | NS | NS | 0.500 * | 0.571 * | 
| STN | 0.661 ** | 0.631 ** | NS | NS | NS | NS | 0.547 * | NS | NS | NS | NS | 0.547 * | 
| STP | 0.804 ** | 0.783 ** | 0.576 * | 0.551 * | NS | 0.512 * | 0.707 ** | 0.618 ** | NS | NS | NS | 0.707 ** | 
| STK | 0.614 ** | 0.614 ** | NS | NS | NS | NS | NS | NS | NS | NS | NS | NS | 
| SAN | NS | NS | NS | NS | NS | NS | NS | NS | NS | NS | NS | NS | 
| SAP | NS | NS | NS | NS | NS | NS | NS | NS | NS | NS | NS | NS | 
| SAK | −628 ** | −608 ** | NS | NS | NS | NS | −0.526 * | NS | −0.487 * | NS | NS | −0.526 * | 
| PPO | NS | NS | NS | NS | NS | NS | NS | NS | NS | NS | NS | NS | 
| UE | 0.596 ** | 0.595 ** | 0.517 * | NS | NS | NS | 0.556 * | 0.550* | NS | NS | NS | 0.556 * | 
| CL | NS | NS | NS | NS | NS | NS | NS | NS | NS | NS | NS | NS | 
| ACP | NS | NS | NS | NS | NS | NS | NS | NS | NS | NS | NS | NS | 
| Fungi | Bacteria | |||
|---|---|---|---|---|
| Shannon Index | Chao1 Index | Shannon Index | Chao1 Index | |
| SBD | NS | NS | NS | NS | 
| pH | 0.846 ** | 0.676 ** | 0.079 | 0.496 * | 
| SOM | 0.683 ** | 0.614 ** | −0.504 * | NS | 
| STN | 0.622 ** | 0.741 ** | NS | NS | 
| STP | 0.725 ** | 0.869 ** | NS | NS | 
| STK | 0.783 ** | 0.638 ** | 0.596 ** | 0.778 ** | 
| SAN | NS | NS | NS | NS | 
| SAP | NS | NS | NS | NS | 
| SAK | −0.740 ** | NS | NS | −0.573 * | 
| PPO | 0.618 ** | NS | NS | 0.532 * | 
| UE | 0.494 * | 0.691 ** | NS | NS | 
| CL | NS | NS | NS | NS | 
| ACP | −0.540 * | NS | NS | −0.587 * | 
| Fungi | Bacteria | ||||
|---|---|---|---|---|---|
| Shannon Index | Chao1 Index | Shannon Index | Chao1 Index | ||
| Shrub | S | 0.904 ** | 0.829 ** | NS | NS | 
| Dm | 0.875 ** | 0.818 ** | NS | NS | |
| H | 0.550 * | 0.655 ** | NS | NS | |
| Ds | 0.468 | 0.544 * | NS | NS | |
| Jsw | NS | NS | NS | NS | |
| Jsi | NS | 0.525 * | NS | NS | |
| Herb | S | 0.753 ** | 0.649 ** | NS | NS | 
| Dm | 0.657 ** | 0.554 * | NS | NS | |
| H | NS | NS | NS | NS | |
| Ds | NS | NS | NS | NS | |
| Jsw | NS | NS | NS | NS | |
| Jsi | NS | NS | NS | NS | |
Publisher’s Note: MDPI stays neutral with regard to jurisdictional claims in published maps and institutional affiliations.  | 
© 2021 by the authors. Licensee MDPI, Basel, Switzerland. This article is an open access article distributed under the terms and conditions of the Creative Commons Attribution (CC BY) license (https://creativecommons.org/licenses/by/4.0/).
Share and Cite
Hou, L.; Zhang, Y.; Li, Z.; Shao, G.; Song, L.; Sun, Q. Comparison of Soil Properties, Understory Vegetation Species Diversities and Soil Microbial Diversities between Chinese Fir Plantation and Close-to-Natural Forest. Forests 2021, 12, 632. https://doi.org/10.3390/f12050632
Hou L, Zhang Y, Li Z, Shao G, Song L, Sun Q. Comparison of Soil Properties, Understory Vegetation Species Diversities and Soil Microbial Diversities between Chinese Fir Plantation and Close-to-Natural Forest. Forests. 2021; 12(5):632. https://doi.org/10.3390/f12050632
Chicago/Turabian StyleHou, Lingyu, Yongqiang Zhang, Zhichao Li, Guodong Shao, Liguo Song, and Qiwu Sun. 2021. "Comparison of Soil Properties, Understory Vegetation Species Diversities and Soil Microbial Diversities between Chinese Fir Plantation and Close-to-Natural Forest" Forests 12, no. 5: 632. https://doi.org/10.3390/f12050632
APA StyleHou, L., Zhang, Y., Li, Z., Shao, G., Song, L., & Sun, Q. (2021). Comparison of Soil Properties, Understory Vegetation Species Diversities and Soil Microbial Diversities between Chinese Fir Plantation and Close-to-Natural Forest. Forests, 12(5), 632. https://doi.org/10.3390/f12050632
        
                                                
