Drought Stress Described by Transcriptional Responses of Picea abies (L.) H. Karst. under Pathogen Heterobasidion parviporum Attack
Abstract
:1. Introduction
2. Materials and Methods
2.1. Plant and Fungal Material
2.2. Experimental Design
2.3. RNA Extraction
2.4. Quantitation and Purity Analyses of Extracted totRNA
2.5. RNA-seq Analysis
2.6. GO Enrichment Test
2.7. Transcriptional Responses Validated with Quantitative Real-Time Polymerase Chain Reaction (qRT-PCR)
3. Results
3.1. RNA-seq
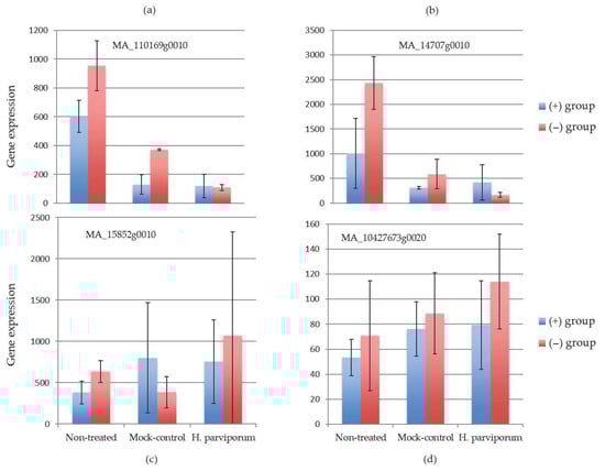
3.2. qRT-PCR
4. Discussion
4.1. Heterobasidion Resistance Related Genes
4.2. Changing Environment: Drought as a New Factor in Forest Pathosystems
4.3. Norway Spruce Resistance in a Changing Climate
Supplementary Materials
Author Contributions
Funding
Institutional Review Board Statement
Informed Consent Statement
Data Availability Statement
Acknowledgments
Conflicts of Interest
References
- NASA. The Causes of Climate Change. Available online: https://climate.nasa.gov/causes (accessed on 23 June 2019).
- Seidl, R.; Thom, D.; Kautz, M.; Martin-Benito, D.; Peltoniemi, M.; Vacchiano, G.; Wild, J.; Ascoli, D.; Petr, M.; Honkaniemi, J.; et al. Forest Disturbances under Climate Change. Nat. Clim. Chang. 2017, 7, 395–402. [Google Scholar] [CrossRef] [PubMed] [Green Version]
- Linnakoski, R.; Sugano, J.; Junttila, S.; Pulkkinen, P.; Asiegbu, F.O.; Forbes, K.M. Effects of Water Availability on a Forestry Pathosystem: Fungal Strain-Specific Variation in Disease Severity. Sci. Rep. 2017, 7, 1–7. [Google Scholar] [CrossRef] [PubMed] [Green Version]
- Linnakoski, R.; Kasanen, R.; Dounavi, A.; Forbes, K.M. Editorial: Forest Health Under Climate Change: Effects on Tree Resilience, and Pest and Pathogen Dynamics. Front. Plant Sci. 2019, 10, 1157. [Google Scholar] [CrossRef] [PubMed] [Green Version]
- Terhonen, E.; Blumenstein, K.; Kovalchuk, A.; Asiegbu, F.O. Forest Tree Microbiomes and Associated Fungal Endophytes: Functional Roles and Impact on Forest Health. Forests 2019, 10, 42. [Google Scholar] [CrossRef] [Green Version]
- Moore, D.; Robson, G.D.; Trinci, A.P. 21st Century Guidebook to Fungi; Cambridge University Press: Cambridge, UK, 2020; ISBN 1-108-80784-4. [Google Scholar]
- McNew, G.L. The Nature, Origin, and Evolution of Parasitism. Plant Pathol. Adv. Treatise 1960, 2, 19–69. [Google Scholar]
- La Porta, N.; Capretti, P.; Thomsen, I.M.; Kasanen, R.; Hietala, A.M.; Von Weissenberg, K. Forest Pathogens with Higher Damage Potential Due to Climate Change in Europe. Can. J. Plant Pathol. 2008, 30, 177–195. [Google Scholar] [CrossRef]
- Brodde, L.; Adamson, K.; Julio Camarero, J.; Castaño, C.; Drenkhan, R.; Lehtijärvi, A.; Luchi, N.; Migliorini, D.; Sánchez-Miranda, Á.; Stenlid, J.; et al. Diplodia Tip Blight on Its Way to the North: Drivers of Disease Emergence in Northern Europe. Front. Plant Sci. 2019, 9, 1818. [Google Scholar] [CrossRef] [Green Version]
- Blumenstein, K.; Bußkamp, J.; Langer, G.J.; Schlößer, R.; Parra Rojas, N.M.; Terhonen, E. Sphaeropsis Sapinea and Associated Endophytes in Scots Pine: Interactions and Effect on the Host under Variable Water Content. Front. For. Glob. Chang. 2021, 4, 55. [Google Scholar] [CrossRef]
- Garrett, K.A.; Dendy, S.P.; Frank, E.E.; Rouse, M.N.; Travers, S.E. Climate Change Effects on Plant Disease: Genomes to Ecosystems. Annu. Rev. Phytopathol. 2006, 44, 489–509. [Google Scholar] [CrossRef] [Green Version]
- Bostock, R.M.; Pye, M.F.; Roubtsova, T.V. Predisposition in Plant Disease: Exploiting the Nexus in Abiotic and Biotic Stress Perception and Response. Annu. Rev. Phytopathol. 2014, 52, 517–549. [Google Scholar] [CrossRef] [Green Version]
- Asiegbu, F.O.; Adomas, A.; Stenlid, J. Conifer Root and Butt Rot Caused by Heterobasidion Annosum (Fr.) Bref. Sl. Mol. Plant Pathol. 2005, 6, 395–409. [Google Scholar] [CrossRef]
- Redfern, D.B. Spore Dispersal and Infection. In Heterobasidion Annosum: Ecology, Impact and Control; CAB International: Wallingford, UK, 1998; pp. 105–124. [Google Scholar]
- Gonthier, P.; Garbelotto, M. Reducing the Threat of Emerging Infectious Diseases of Forest Trees—Mini Review. CAB Rev. 2013, 8, 1–2. [Google Scholar] [CrossRef] [Green Version]
- Žemaitis, P.; Stakenas, V. Ecological Factors Influencing Frequency of Norway Spruce Butt Rot in Mature Stands in Lithuania. Russ. J. Ecol. 2016, 47, 355–363. [Google Scholar] [CrossRef]
- Piri, T.; Selander, A.; Hantula, J.; Kuitunen, P. Juurikääpätuhojen Tunnistaminen Ja Torjunta. 2019. Available online: http://urn.fi/URN:NBN:fi-fe2019091828606 (accessed on 2 August 2021).
- Terhonen, E.; Langer, G.J.; Bußkamp, J.; Rӑscuţoi, D.R.; Blumenstein, K. Low Water Availability Increases Necrosis in Picea Abies after Artificial Inoculation with Fungal Root Rot Pathogens Heterobasidion Parviporum and Heterobasidion Annosum. Forests 2019, 10, 55. [Google Scholar] [CrossRef] [Green Version]
- Hantula, J.; Vainio, E. Specific Primers for the Differentiation of Heterobasidion Annosum (s. Str.) and H. Parviporum Infected Stumps in Northern Europe. Silva Fenn. 2003, 37, 181–187. [Google Scholar] [CrossRef] [Green Version]
- Kovalchuk, A.; Zeng, Z.; Ghimire, R.P.; Kivimäenpää, M.; Raffaello, T.; Liu, M.; Mukrimin, M.; Kasanen, R.; Sun, H.; Julkunen-Tiitto, R. Dual RNA-Seq Analysis Provides New Insights into Interactions between Norway Spruce and Necrotrophic Pathogen Heterobasidion Annosum Sl. BMC Plant Biol. 2019, 19, 1–17. [Google Scholar] [CrossRef]
- Capador-Barreto, H.D.; Bernhardsson, C.; Milesi, P.; Vos, I.; Lundén, K.; Wu, H.X.; Karlsson, B.; Ingvarsson, P.K.; Stenlid, J.; Elfstrand, M. Killing Two Enemies with One Stone? Genomics of Resistance to Two Sympatric Pathogens in Norway Spruce. Mol. Ecol. 2021, 30, 4433–4447. [Google Scholar] [CrossRef]
- Swedjemark, G.; Stenlid, J.; Karlsson, B. Genetic Variation among Clones of Picea Abies in Resistance to Growth of Heterobasidion Annosum. Silvae Genetica 1998, 46, 369–374. [Google Scholar]
- Arnerup, J.; Swedjemark, G.; Elfstrand, M.; Karlsson, B.; Stenlid, J. Variation in Growth of Heterobasidion Parviporum in a Full-Sib Family of Picea Abies. Scand. J. For. Res. 2010, 25, 106–110. [Google Scholar] [CrossRef]
- Elfstrand, M.; Baison, J.; Lundén, K.; Zhou, L.; Vos, I.; Capador, H.D.; Åslund, M.S.; Chen, Z.; Chaudhary, R.; Olson, Å.; et al. Association Genetics Identifies a Specifically Regulated Norway Spruce Laccase Gene,PaLAC5, Linked to Heterobasidion Parviporum Resistance. Plant Cell Environ. 2020, 43, 1779–1791. [Google Scholar] [CrossRef] [PubMed] [Green Version]
- Kovalchuk, A.; Keriö, S.; Oghenekaro, A.; Jaber, E.; Raffaello, T.; Asiegbu, F. Antimicrobial Defenses and Resistance in Forest Trees: Challenges and Perspectives in a Genomic Era. Annu. Rev. Phytopathol. 2013, 51, 221–244. [Google Scholar] [CrossRef] [PubMed]
- Robert-Seilaniantz, A.; Grant, M.; Jones, J.D.G. Hormone Crosstalk in Plant Disease and Defense: More than Just Jasmonate-Salicylate Antagonism. Annu. Rev. Phytopathol. 2011, 49, 317–343. [Google Scholar] [CrossRef] [PubMed]
- Arnerup, J.; Lind, M.; Olson, Å.; Stenlid, J.; Elfstrand, M. The Pathogenic White-Rot Fungus Heterobasidion Parviporum Triggers Non-Specific Defence Responses in the Bark of Norway Spruce. Tree Physiol. 2011, 31, 1262–1272. [Google Scholar] [CrossRef] [Green Version]
- Arnerup, J.; Nemesio-Gorriz, M.; Lundén, K.; Asiegbu, F.O.; Stenlid, J.; Elfstrand, M. The Primary Module in Norway Spruce Defence Signalling against H. Annosum s.l. Seems to Be Jasmonate-Mediated Signalling without Antagonism of Salicylate-Mediated Signalling. Planta 2013, 237, 1037–1045. [Google Scholar] [CrossRef] [PubMed]
- Lunden, K.; Danielsson, M.; Durling, M.B.; Ihrmark, K.; Gorriz, M.N.; Stenlid, J.; Asiegbu, F.O.; Elfstrand, M. Transcriptional Responses Associated with Virulence and Defence in the Interaction between Heterobasidion Annosum s. s. and Norway Spruce. PLoS ONE 2015, 10, e0131182. [Google Scholar] [CrossRef]
- Likar, M.; Regvar, M. Early Defence Reactions in Norway Spruce Seedlings Inoculated with the Mycorrhizal Fungus Pisolithus Tinctorius (Persoon) Coker & Couch and the Pathogen Heterobasidion Annosum (Fr.) Bref. Trees 2008, 22, 861–868. [Google Scholar]
- Arnerup, J. Induced Defence Responses in Picea Abies Triggered by Heterobasidion Annosum s.l.; Acta Universitatis Agriculturae Sueciae: Uppsala, Sweden, 2011; p. 56. [Google Scholar]
- Oliva, J.; Rommel, S.; Fossdal, C.G.; Hietala, A.M.; Nemesio-Gorriz, M.; Solheim, H.; Elfstrand, M. Transcriptional Responses of Norway Spruce (Picea Abies) Inner Sapwood against Heterobasidion Parviporum. Tree Physiol. 2015, 35, 1007–1015. [Google Scholar] [CrossRef] [Green Version]
- Yaqoob, N.; Yakovlev, I.A.; Krokene, P.; Kvaalen, H.; Solheim, H.; Fossdal, C.G. Defence-Related Gene Expression in Bark and Sapwood of Norway Spruce in Response to Heterobasidion Parviporum and Methyl Jasmonate. Physiol. Mol. Plant Pathol. 2012, 77, 10–16. [Google Scholar] [CrossRef]
- Keriö, S.; Terhonen, E.; LeBoldus, J. Safe DNA-Extraction Protocol Suitable for Studying Tree-Fungus Interactions. BIO-PROTOCOL 2020, 10, 3634. [Google Scholar] [CrossRef]
- Zeng, Z.; Raffaello, T.; Liu, M.-X.; Asiegbu, F.O. Co-Extraction of Genomic DNA & Total RNA from Recalcitrant Woody Tissues for next-Generation Sequencing Studies. Future Sci. OA 2018, 4, FSO309. [Google Scholar]
- Nystedt, B.; Street, N.R.; Wetterbom, A.; Zuccolo, A.; Lin, Y.-C.; Scofield, D.G.; Vezzi, F.; Delhomme, N.; Giacomello, S.; Alexeyenko, A. The Norway Spruce Genome Sequence and Conifer Genome Evolution. Nature 2013, 497, 579–584. [Google Scholar] [CrossRef] [Green Version]
- Zhang, Y.; Park, C.; Bennett, C.; Thornton, M.; Kim, D. Rapid and Accurate Alignment of Nucleotide Conversion Sequencing Reads with HISAT-3N. Genome Res. 2021, gr-275193. [Google Scholar]
- R Core Team R: A Language and Environment for Statistical Computing. R Foundation for Statistical Computing, Vienna, Austria. Available online: https://www.r-project.org/ (accessed on 23 May 2020).
- Love, M.I.; Huber, W.; Anders, S. Moderated Estimation of Fold Change and Dispersion for RNA-Seq Data with DESeq2. Genome Biol. 2014, 15, 550. [Google Scholar] [CrossRef] [Green Version]
- Chaudhary, R.; Lundén, K.; Dalman, K.; Dubey, M.; Nemesio-Gorriz, M.; Karlsson, B.; Stenlid, J.; Elfstrand, M. Combining Transcriptomics and Genetic Linkage Based Information to Identify Candidate Genes Associated with Heterobasidion-Resistance in Norway Spruce. Sci. Rep. 2020, 10, 12711. [Google Scholar] [CrossRef] [PubMed]
- Raffaello, T.; Asiegbu, F.O. Small Secreted Proteins from the Necrotrophic Conifer Pathogen Heterobasidion Annosum Sl. (HaSSPs) Induce Cell Death in Nicotiana Benthamiana. Sci. Rep. 2017, 7, 1–11. [Google Scholar] [CrossRef] [PubMed]
- Livak, K.J.; Schmittgen, T.D. Analysis of Relative Gene Expression Data Using Real-Time Quantitative PCR and the 2(-Delta Delta C(T)) Method. Methods 2001, 25, 402–408. [Google Scholar] [CrossRef] [PubMed]
- Prospero, S.; Botella, L.; Santini, A.; Robin, C. Biological Control of Emerging Forest Diseases: How Can We Move from Dreams to Reality? For. Ecol. Manag. 2021, 496, 119377. [Google Scholar] [CrossRef]
- Trujillo-Moya, C.; George, J.P.; Fluch, S.; Geburek, T.; Grabner, M.; Karanitsch-Ackerl, S.; Konrad, H.; Mayer, K.; Sehr, E.M.; Wischnitzki, E.; et al. Drought Sensitivity of Norway Spruce at the Species’ Warmest Fringe: Quantitative and Molecular Analysis Reveals High Genetic Variation among and within Provenances. G3 Genes Genomes Genet. 2018, 8, 1225–1245. [Google Scholar] [CrossRef] [Green Version]
- Harshavardhan, V.T.; Van Son, L.; Seiler, C.; Junker, A.; Weigelt-Fischer, K.; Klukas, C.; Altmann, T.; Sreenivasulu, N.; Bäumlein, H.; Kuhlmann, M. AtRD22 and AtUSPL1, Members of the Plant-Specific BURP Domain Family Involved in Arabidopsis Thaliana Drought Tolerance. PLoS ONE 2014, 9, e110065. [Google Scholar] [CrossRef] [Green Version]
- Wei, L.; Wang, L.; Yang, Y.; Wang, P.; Guo, T.; Kang, G. Abscisic Acid Enhances Tolerance of Wheat Seedlings to Drought and Regulates Transcript Levels of Genes Encoding Ascorbate-Glutathione Biosynthesis. Front. Plant Sci. 2015, 6, 458. [Google Scholar] [CrossRef]
- Yadegari, L.Z.; Heidari, R.; Rahmani, F.; Khara, J. Drought Tolerance Induced by Foliar Application of Abscisic Acid and Sulfonamide Compounds in Tomato. J. Stress Physiol. Biochem. 2014, 10, 326–334. [Google Scholar]
- Wang, C.; Yang, A.; Zhang, H.Y. and J. Influence of Water Stress on Endogenous Hormone Contents and Cell Damage of Maize Seedlings. J. Integr. Plant Biol. 2008, 50, 427. [Google Scholar] [CrossRef]
- Fountain, J.C.; Chen, Z.-Y.; Scully, B.T.; Kemerait, R.C.; Lee, R.D.; Guo, B. Pathogenesis-Related Gene Expressions in Different Maize Genotypes under Drought Stressed Conditions. AJPS 2010, 4, 433–440. [Google Scholar] [CrossRef]
- Dubos, C.; Plomion, C. Drought Differentially Affects Expression of a PR-10 Protein, in Needles of Maritime Pine (Pinus Pinaster Ait.) Seedlings. J. Exp. Bot. 2001, 52, 1143–1144. [Google Scholar] [CrossRef] [PubMed] [Green Version]
- Ekramoddoullah, A.K.M. Physiology and Molecular Biology of a Family of Pathogenesis-Related PR-10 Proteins in Conifers. J. Crop. Improv. 2004, 10, 261–280. [Google Scholar] [CrossRef]
- OuYang, F.; Mao, J.-F.; Wang, J.; Zhang, S.; Li, Y. Transcriptome Analysis Reveals That Red and Blue Light Regulate Growth and Phytohormone Metabolism in Norway Spruce [Picea Abies (L.) Karst.]. PLoS ONE 2015, 10, e0127896. [Google Scholar] [CrossRef] [Green Version]
- Nemesio-Gorriz, M.; Hammerbacher, A.; Ihrmark, K.; Källman, T.; Olson, Å.; Lascoux, M.; Stenlid, J.; Gershenzon, J.; Elfstrand, M. Different Alleles of a Gene Encoding Leucoanthocyanidin Reductase (PaLAR3) Influence Resistance against the Fungus Heterobasidion Parviporum in Picea Abies. Plant Physiol. 2016, 171, 2671–2681. [Google Scholar] [CrossRef] [PubMed]
- Edesi, J.; Tikkinen, M.; Elfstrand, M.; Olson, Å.; Varis, S.; Egertsdotter, U.; Aronen, T. Root Rot Resistance Locus PaLAR3 Is Delivered by Somatic Embryogenesis (SE) Pipeline in Norway Spruce (Picea Abies (L.) Karst.). Forests 2021, 12, 193. [Google Scholar] [CrossRef]





| Inoculation | Water | Significant | Up-Regulated | Down-Regulated | Not Significant | SUM |
|---|---|---|---|---|---|---|
| Heterobasidion parviporum | ‒ | 521 | 133 | 388 | 29,592 | 30,113 |
| Heterobasidion parviporum | + | 184 | 141 | 43 | 29,944 | 30,128 |
| Non-treated | ‒ | 82 | 27 | 55 | 29,715 | 29,797 |
| Mock-inoculated | ‒ | 78 | 11 | 67 | 29,950 | 30,028 |
| Mock-inoculated | + | 202 | 148 | 54 | 29,951 | 30,153 |
| Gene | Description | Chromosome | Source | Confidence | Trinity | GO | GO-Description |
|---|---|---|---|---|---|---|---|
| MA_10265000g0010 | PR10 | MA_10265000 | AUGUSTUS | High | comp87387_c0_seq1 | ||
| MA_10435878g0010 | ACC | MA_10435878 | AUGUSTUS | High | comp94559_c0_seq1 | GO:0008152 | GO:0008152-metabolic process |
| MA_178006g0010 | BURP domain RD22-like | MA_178006 | AUGUSTUS | High | comp75759_c0_seq1 | ||
| MA_189802g0010 | Thaumatin | MA_189802 | AUGUSTUS | High | comp87856_c1_seq1 |
| Gene | Mean Fold Change (2−ΔΔCt) | SD | Inoculation Type | Water Treatment |
|---|---|---|---|---|
| LOX | 1.006 | 0.129 | H. parviporum | normal |
| 1.088 | 0.291 | non-treated | normal | |
| 0.962 | 0.206 | mock-control | normal | |
| 0.990 | 0.024 | H. parviporum | low | |
| 1.052 | 0.122 | non-treated | low | |
| 1.038 | 0.102 | mock-control | low | |
| ERF1 | 1.009 | 0.162 | H. parviporum | normal |
| 1.017 | 0.210 | non-treated | normal | |
| 1.004 | 0.069 | mock-control | normal | |
| 1.009 | 0.145 | H. parviporum | low | |
| 1.002 | 0.073 | non-treated | low | |
| 1.112 | 0.565 | mock-control | low | |
| CHIIV | 0.998 | 0.020 | H. parviporum | normal |
| 1.033 | 0.267 | non-treated | normal | |
| 1.020 | 0.251 | mock-control | normal | |
| 1.001 | 0.098 | H. parviporum | low | |
| 1.019 | 0.214 | non-treated | low | |
| 1.028 | 0.171 | mock-control | low | |
| p/DIR32 | 1.182 | 0.788 | H. parviporum | normal |
| 1.034 | 0.324 | non-treated | normal | |
| 1.025 | 0.288 | mock-control | normal | |
| 1.090 | 0.311 | H. parviporum | low | |
| 1.013 | 0.139 | non-treated | low | |
| 1.172 | 0.822 | mock-control | low |
| Gene | Water Treatment | 2−ΔΔCt | ||
|---|---|---|---|---|
| H. parviporum | Physical Wound | H. parviporum + Physical Wound | ||
| LOX | normal | 1.60 | 0.17 | 0.27 |
| low | 1.27 | 6.92 | 8.82 | |
| ERF1 | normal | 2.81 | 0.31 | 0.87 |
| low | 0.46 | 2.31 | 1.06 | |
| CHIIV | normal | 0.19 | 10.85 | 2.03 |
| low | 7.16 | 0.91 | 6.50 | |
| p/DIR32 | normal | 0.25 | 0.33 | 0.08 |
| low | 2.64 | 17.03 | 44.94 | |
Publisher’s Note: MDPI stays neutral with regard to jurisdictional claims in published maps and institutional affiliations. |
© 2021 by the authors. Licensee MDPI, Basel, Switzerland. This article is an open access article distributed under the terms and conditions of the Creative Commons Attribution (CC BY) license (https://creativecommons.org/licenses/by/4.0/).
Share and Cite
Yeoh, X.H.-Y.; Durodola, B.; Blumenstein, K.; Terhonen, E. Drought Stress Described by Transcriptional Responses of Picea abies (L.) H. Karst. under Pathogen Heterobasidion parviporum Attack. Forests 2021, 12, 1379. https://doi.org/10.3390/f12101379
Yeoh XH-Y, Durodola B, Blumenstein K, Terhonen E. Drought Stress Described by Transcriptional Responses of Picea abies (L.) H. Karst. under Pathogen Heterobasidion parviporum Attack. Forests. 2021; 12(10):1379. https://doi.org/10.3390/f12101379
Chicago/Turabian StyleYeoh, Xenia Hao-Yi, Blessing Durodola, Kathrin Blumenstein, and Eeva Terhonen. 2021. "Drought Stress Described by Transcriptional Responses of Picea abies (L.) H. Karst. under Pathogen Heterobasidion parviporum Attack" Forests 12, no. 10: 1379. https://doi.org/10.3390/f12101379
APA StyleYeoh, X. H.-Y., Durodola, B., Blumenstein, K., & Terhonen, E. (2021). Drought Stress Described by Transcriptional Responses of Picea abies (L.) H. Karst. under Pathogen Heterobasidion parviporum Attack. Forests, 12(10), 1379. https://doi.org/10.3390/f12101379

