Application of LiDAR Data for the Modeling of Solar Radiation in Forest Artificial Gaps—A Case Study
Abstract
1. Introduction
2. Methods
2.1. Study Area
2.2. Accomplishment of Hemispherical Photographs
2.3. LiDAR Data
2.4. Description of the DSM Used as a 3D Model of a Gap
2.5. Analysis of Hemispherical Photographs
2.6. Modeling of Radiation Conditions in the Gap Using DSM
2.7. Comparison of Modeling Results
3. Results
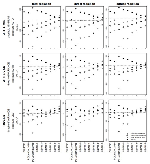
3.1. Impact of Exposure and Photograph Thresholding Method on Assessment of Congruency of GLA and SRT Models
3.2. Impact of Gap Shape Modeling Method on Assessment of GLA and SRT Models
3.3. Relation between the Difference of Outcomes of the GLA and SRT Models and the Distance from Sampling Points to the Nearest Tree Trunk
4. Discussion
4.1. Exposure and Thresholding
4.2. Modeled Gap Shape
5. Conclusions
Author Contributions
Funding
Conflicts of Interest
Appendix A
| Radiation | Threshold Exposition | Measure of Discrepancy between Models | Variant of SOLAR Model | ||||||||
|---|---|---|---|---|---|---|---|---|---|---|---|
| ELLIPSE | POLYGON.GAP | POLYGON.LiDAR | LiDAR.0 | LiDAR.1 | LiDAR.2 | LiDAR.3 | LiDAR.4 | LiDAR.5 | |||
| Total | AUTOMIN | minimal absolute error | −276.64 | −270.26 | −497.96 | −333.18 | −305.29 | −229.95 | −191.65 | −151.94 | −117.55 |
| mean absolute error | −139.19 | −113.91 | −210.35 | −157.22 | −139.81 | −106.55 | −72.83 | −39.12 | −8.38 | ||
| maximal absolute error | −49.72 | −25.27 | -95.79 | −74.12 | −58.4 | −23.91 | 13.73 | 50.77 | 79.73 | ||
| RMSE | 154.88 | 136.37 | 229.24 | 173.3 | 154.88 | 118.67 | 86.96 | 58.93 | 41.94 | ||
| AUTOVAR | minimal absolute error | −238.23 | −233.62 | −424.99 | −260.21 | −232.32 | −143.93 | −88.43 | −49.19 | −27.86 | |
| mean absolute error | −105.57 | −80.29 | −176.73 | −123.6 | −106.19 | −72.94 | −39.22 | −5.5 | 25.24 | ||
| maximal absolute error | −23.93 | −1.19 | −70 | −48.32 | −42.77 | −22.15 | 3.9 | 28.46 | 62.82 | ||
| RMSE | 121.71 | 105.57 | 194.44 | 136.13 | 117 | 79.74 | 47.32 | 23.01 | 34.43 | ||
| UNVAR | minimal absolute error | −162.86 | −155.25 | −367.91 | −203.13 | −175.23 | −62.42 | −14.46 | 13.31 | 33.99 | |
| mean absolute error | −45.25 | −19.98 | −116.42 | −63.28 | −45.87 | −12.62 | 21.1 | 54.82 | 85.56 | ||
| maximal absolute error | 19.12 | 41.86 | −26.95 | −0.77 | 12.67 | 32.52 | 64.72 | 95.56 | 142.55 | ||
| RMSE | 68.94 | 63.18 | 138.48 | 80.53 | 62.6 | 28.66 | 31.43 | 59.54 | 90.56 | ||
| Direct | AUTOMIN | minimal absolute error | −179.32 | −186.03 | −241.06 | −169.07 | −162.97 | −154.95 | −122.26 | −76.76 | −43.38 |
| mean absolute error | −64.92 | −54.83 | −94.83 | −67.24 | −58.88 | −43.56 | −27.46 | −11.37 | 5.28 | ||
| maximal absolute error | −6.18 | 3.78 | −16.66 | −3.47 | −0.76 | 2.5 | 15.33 | 34.26 | 61.27 | ||
| RMSE | 82.12 | 78.77 | 111.42 | 78.37 | 69.5 | 55.1 | 40.59 | 29.05 | 24.04 | ||
| AUTOVAR | minimal absolute error | −149.07 | −158.88 | −205.22 | −127.83 | −108.6 | −100.58 | −67.89 | −27.31 | −11.34 | |
| mean absolute error | −50.48 | −40.39 | −80.39 | −52.8 | −44.44 | −29.12 | −13.02 | 3.06 | 19.72 | ||
| maximal absolute error | 4.16 | 14.12 | -6.32 | 6.82 | 9.53 | 12.78 | 24.43 | 32.98 | 57.16 | ||
| RMSE | 68.76 | 66.62 | 98.37 | 63.8 | 54.11 | 38.8 | 24.83 | 17.89 | 26.33 | ||
| UNVAR | minimal absolute error | −108.99 | −119.92 | −159.63 | −81.64 | −62.45 | −51.44 | −18.75 | 0.16 | 10.1 | |
| mean absolute error | −21.1 | −11.01 | −51.02 | −23.42 | −15.06 | 0.26 | 16.36 | 32.44 | 49.09 | ||
| maximal absolute error | 22.11 | 32.07 | 11.63 | 29.44 | 32.15 | 36.95 | 57.65 | 76.7 | 103.35 | ||
| RMSE | 43.71 | 46.04 | 71.37 | 37.55 | 28.84 | 20.46 | 25.1 | 37.76 | 54.51 | ||
| Diffuse | AUTOMIN | minimal absolute error | −148.33 | −127.2 | −298.95 | −213.83 | −216.96 | −153.22 | −26.94 | −97.13 | −74.17 |
| mean absolute error | −74.27 | −59.09 | −115.52 | −89.98 | −80.93 | −63 | −45.38 | −27.75 | −13.66 | ||
| maximal absolute error | −30.45 | −14.8 | -59.16 | −39.89 | −33.66 | −19.48 | −1.61 | 16.51 | 30.51 | ||
| RMSE | 79.13 | 65.22 | 125.9 | 100.13 | 90.79 | 69.08 | 51.85 | 35.42 | 24.31 | ||
| AUTOVAR | minimal absolute error | −93.39 | −90.26 | −246.3 | −161.18 | −164.31 | −67.78 | −49.11 | −31.98 | −16.52 | |
| mean absolute error | −55.09 | −39.9 | −96.34 | −70.8 | −61.75 | −43.82 | −26.2 | −8.57 | 5.53 | ||
| maximal absolute error | −28.08 | −15.31 | −58.12 | −31.37 | −27.52 | −18.55 | −6.68 | 9.66 | 27.35 | ||
| RMSE | 57.55 | 43.86 | 103.02 | 76.5 | 67.15 | 45.34 | 27.76 | 11.97 | 11.42 | ||
| UNVAR | minimal absolute error | −55.77 | −52.65 | −208.28 | −123.16 | −126.28 | −29.1 | −11.31 | 7.27 | 17.75 | |
| mean absolute error | −24.15 | −8.96 | −65.4 | −39.86 | −30.81 | −12.88 | 4.74 | 22.37 | 36.47 | ||
| maximal absolute error | −2.57 | 17.01 | −33.73 | −7.96 | −4.11 | 4.85 | 24.15 | 47.15 | 64.84 | ||
| RMSE | 28.54 | 19.37 | 73.43 | 46.89 | 38.38 | 15.74 | 9.86 | 24.66 | 38.85 | ||
| Radiation | Threshold Exposition | Measure of Dependence between Models | Variant of SOLAR Model | ||||||||
|---|---|---|---|---|---|---|---|---|---|---|---|
| ELIPSE | POLYGON GAP | POLYGON LiDAR | LiDAR.0 | LiDAR.1 | LiDAR.2 | LiDAR.3 | LiDAR.4 | LiDAR.5 | |||
| Total | AUTOMIN | R2 | 0.90 | 0.91 | 0.76 | 0.84 | 0.84 | 0.87 | 0.87 | 0.86 | 0.85 |
| PBIAS (%) | −19.10 | −15.70 | −28.90 | −21.60 | −19.20 | −14.60 | −10.00 | −5.40 | −1.20 | ||
| r (edge) | −0.68 | −0.65 | −0.68 | −0.81 | −0.78 | −0.70 | −0.63 | −0.59 | −0.47 | ||
| AUTOVAR | R2 | 0.93 | 0.93 | 0.82 | 0.93 | 0.94 | 0.97 | 0.97 | 0.97 | 0.95 | |
| PBIAS (%) | −15.20 | −11.60 | −25.50 | −17.80 | −15.30 | −10.50 | −5.70 | −0.80 | 3.60 | ||
| r (edge) | −0.49 | −0.47 | −0.56 | −0.74 | −0.72 | −0.61 | −0.47 | −0.38 | −0.26 | ||
| UNVAR | R2 | 0.94 | 0.94 | 0.83 | 0.94 | 0.94 | 0.97 | 0.97 | 0.96 | 0.94 | |
| PBIAS (%) | −7.10 | −3.20 | −18.40 | −10.00 | −7.20 | −2.00 | 3.30 | 8.70 | 13.50 | ||
| error/distance cor. | −0.41 | −0.45 | −0.49 | −0.68 | −0.65 | −0.52 | 0.10 | −0.12 | −0.44 | ||
| Direct | AUTOMIN | R2 | 0.93 | 0.93 | 0.85 | 0.93 | 0.95 | 0.95 | 0.94 | 0.93 | 0.93 |
| PBIAS (%) | −21.20 | −17.90 | −31.00 | −22.00 | −19.20 | −14.20 | −9.00 | −3.70 | 1.70 | ||
| error/distance cor. | −0.51 | −0.51 | −0.45 | −0.66 | −0.66 | −0.58 | −0.58 | −0.63 | −0.27 | ||
| AUTOVAR | R2 | 0.94 | 0.93 | 0.85 | 0.95 | 0.97 | 0.98 | 0.98 | 0.97 | 0.96 | |
| PBIAS (%) | −17.30 | −13.80 | −27.60 | −18.10 | −15.20 | −10.00 | −4.50 | 1.00 | 6.80 | ||
| error/distance cor. | −0.41 | −0.42 | −0.35 | −0.58 | −0.61 | −0.54 | −0.51 | −0.30 | −0.03 | ||
| UNVAR | R2 | 0.96 | 0.96 | 0.88 | 0.96 | 0.98 | 0.98 | 0.97 | 0.96 | 0.94 | |
| PBIAS (%) | −8.00 | −4.20 | −19.40 | −8.90 | −5.70 | 0.10 | 6.20 | 12.40 | 18.70 | ||
| error/distance cor. | −0.40 | −0.40 | −0.33 | −0.62 | −0.60 | −0.33 | 0.12 | 0.16 | −0.14 | ||
| Diffuse | AUTOMIN | R2 | 0.80 | 0.78 | 0.64 | 0.71 | 0.66 | 0.70 | 0.69 | 0.68 | 0.67 |
| PBIAS (%) | −17.60 | −14.00 | −27.40 | −21.40 | −19.20 | −15.00 | −10.80 | −6.60 | −3.20 | ||
| error/distance cor. | −0.75 | −0.73 | −0.71 | −0.73 | −0.67 | −0.60 | −0.52 | −0.45 | −0.33 | ||
| AUTOVAR | R2 | 0.91 | 0.89 | 0.86 | 0.93 | 0.90 | 0.96 | 0.96 | 0.96 | 0.95 | |
| PBIAS (%) | −13.70 | −9.90 | −24.00 | −17.60 | −15.40 | −10.90 | −6.50 | −2.10 | 1.40 | ||
| error/distance cor. | −0.62 | −0.54 | −0.69 | −0.75 | −0.65 | −0.59 | −0.31 | 0.05 | −0.58 | ||
| UNVAR | R2 | 0.91 | 0.88 | 0.85 | 0.93 | 0.90 | 0.97 | 0.96 | 0.96 | 0.96 | |
| PBIAS (%) | −6.50 | −2.40 | −17.60 | −10.70 | −8.30 | −3.50 | 1.30 | 6.00 | 9.80 | ||
| error/distance cor. | −0.36 | −0.44 | −0.61 | −0.69 | −0.54 | −0.26 | −0.40 | −0.57 | −0.72 | ||
References
- Mortzfeldt, M. Über horstweisen Vorverjüngungsbetrieb. Z. Forst-und Jagdwes. 1896, 28, 2–31. [Google Scholar]
- Coates, K.D.; Burton, P.J. A gap-based approach for development of silvicultural systems to address ecosystem management objectives. For. Ecol. Manag. 1997, 99, 337–354. [Google Scholar] [CrossRef]
- York, R.A.; Battles, J.J.; Heald, R.C. Gap-based silviculture in a sierran mixed-conifer forest: Effects of gap size on early survival and 7-year seedling growth. In Restoring Fire-Adapted Ecosystems: Proceedings of the 2005 National Silviculture Workshop; General Technical Report (GTR) PSW-GTR-203; U.S. Department of Agriculture Forest Service: Albany, CA, USA, 2007; pp. 181–191. [Google Scholar]
- York, R.A.; Battles, J.J.; Eschtruth, A.K.; Schurr, F.G. Giant Sequoia (Sequoiadendron giganteum) Regeneration in Experimental Canopy Gaps. Restor. Ecol. 2011, 19, 14–23. [Google Scholar] [CrossRef]
- Mercurio, R.; Spinelli, R. Exploring the silvicultural and economic viability of gap cutting in Mediterranean softwood plantations. For. Stud. China 2012, 14, 63–69. [Google Scholar] [CrossRef]
- Čater, M.; Diaci, J.; Roženbergar, D. Gap size and position influence variable response of Fagus sylvatica L. and Abies alba Mill. For. Ecol. Manag. 2014, 325, 128–135. [Google Scholar] [CrossRef]
- Pasanen, H.; Rouvinen, S.; Kouki, J. Artificial canopy gaps in the restoration of boreal conservation areas: Long-term effects on tree seedling establishment in pine-dominated forests. Eur. J. For. Res. 2016, 135, 697–706. [Google Scholar] [CrossRef]
- Geiger, R. The Climate Near the Ground; Harvard Unoversity Press: Cambridge, MA, USA, 1950. [Google Scholar]
- Marquis, D.A. Controlling Light in Small Clearcuttings; Northeastern Forest Experiment Station, Forest Service, U.S. Department of Agriculture: Durham, NH, USA, 1965.
- Latif, Z.A.; Blackburn, G.A. The effects of gap size on some microclimate variables during late summer and autumn in a temperate broadleaved deciduous forest. Int. J. Biometeorol. 2010, 54, 119–129. [Google Scholar] [CrossRef]
- Canham, C.D. An Index For Understory Light Levels in and Around Canopy Gaps. Ecology 1988, 69, 1634–1638. [Google Scholar] [CrossRef]
- Prévost, M.; Raymond, P. Effect of gap size, aspect and slope on available light and soil temperature after patch-selection cutting in yellow birch–conifer stands, Quebec, Canada. For. Ecol. Manag. 2012, 274, 210–221. [Google Scholar] [CrossRef]
- Bolibok, L.; Brach, M.; Szeligowski, H.; Orzechowski, M. Effect of surrounding stand height, terrain aspect and inclination on radiation microclimate on the gap –results of the modelling. Sylwan 2015, 159, 813–823. [Google Scholar]
- Carlson, D.W.; Groot, A. Microclimate of clear-cut, forest interior, and small openings in trembling aspen forest. Agric. For. Meteorol. 1997, 87, 313–329. [Google Scholar] [CrossRef]
- Brang, P. Early seedling establishment of Picea abies in small forest gaps in the Swiss Alps. Can. J. For. Res. 1998, 28, 626–639. [Google Scholar] [CrossRef]
- Malcolm, D.C. Potential for the improvement of silver birch (Betula pendula Roth.) in Scotland. Forestry 2001, 74, 439–453. [Google Scholar] [CrossRef]
- Raymond, P.; Munson, A.D.; Ruel, J.-C.; Coates, K.D. Spatial patterns of soil microclimate, light, regeneration, and growth within silvicultural gaps of mixed tolerant hardwood—White pine stands. Can. J. For. Res. 2006, 36, 639–651. [Google Scholar] [CrossRef]
- Yoshida, T.; Yanagisawa, Y.; Kamitani, T. An empirical model for predicting the gap light index in an even-aged oak stand. For. Ecol. Manag. 1998, 109, 85–89. [Google Scholar] [CrossRef]
- Spittlehouse, D.L. Forest, Edge, and Opening Microclimate at Sicamous Creek; University of British Columbia Press: Victoria, BC, Canada, 2004; ISBN 0-7726-5145-0. [Google Scholar]
- De Chantal, M.; Leinonen, K.; Kuuluvainen, T.; Cescatti, A. Early response of Pinus sylvestris and Picea abies seedlings to an experimental canopy gap in a boreal spruce forest. For. Ecol. Manag. 2003, 176, 321–336. [Google Scholar] [CrossRef]
- Sprugel, D.G.; Rascher, K.G.; Gersonde, R.; Dovčiak, M.; Lutz, J.A.; Halpern, C.B. Spatially explicit modeling of overstory manipulations in young forests: Effects on stand structure and light. Ecol. Model. 2009, 220, 3565–3575. [Google Scholar] [CrossRef]
- Rich, P.M.; Dubayah, R.; Hetrick, W.A.; Saving, S.C. Using Viewshed Models to Calculate Intercepted Solar Radiation: Applications in Ecology; American Society for Photogrammetry and Remote Sensing Technical Papers; ASPRS: Bethesda, MD, USA, 1994. [Google Scholar]
- Dubayah, R.; Rich, P.M. Topographic solar radiation models for GIS. Int. J. Geogr. Inf. Syst. 1995, 9, 405–419. [Google Scholar] [CrossRef]
- ESRI Solar Radiation Tool (Spatial Analyst) ArcGIS Desktop 10; ESRI: Redlands, CA, USA, 2011.
- GRASS Development Team. Geographic Resources Analysis Support System (GRASS GIS) Software; Version 7.2; Open Source Geospatial Foundation: Beaverton, OR, USA, 2017. [Google Scholar]
- Bradshaw, F.J. Quantifying edge effect and patch size for multiple-use silviculture—A discussion paper. For. Ecol. Manag. 1992, 48, 249–264. [Google Scholar] [CrossRef]
- Ammer, C.; Wagner, S. Problems and options in modelling fine-root biomass of single mature Norway spruce trees at given points from stand data. Can. J. For. Res. 2002, 32, 581–590. [Google Scholar] [CrossRef]
- Taskinen, O.; Ilvesniemi, H.; Kuuluvainen, T.; Leinonen, K. Response of fine roots to an experimental gap in a boreal Picea abies forest. Plant Soil 2003, 255, 503–512. [Google Scholar] [CrossRef]
- Yan, W.Y.; Shaker, A.; El-Ashmawy, N. Urban land cover classification using airborne LiDAR data: A review. Remote Sens. Environ. 2015, 158, 295–310. [Google Scholar] [CrossRef]
- Vauhkonen, J.; Tokola, T.; Maltamo, M.; Packalén, P. Applied 3D texture features in ALS-based forest inventory. Eur. J. For. Res. 2010, 129, 803–811. [Google Scholar] [CrossRef]
- Lisein, J.; Pierrot-Deseilligny, M.; Bonnet, S.; Lejeune, P. A Photogrammetric Workflow for the Creation of a Forest Canopy Height Model from Small Unmanned Aerial System Imagery. Forests 2013, 4, 922–944. [Google Scholar] [CrossRef]
- Tomaštík, J.; Mokroš, M.; Salon, Š.; Chudý, F.; Tunák, D. Accuracy of Photogrammetric UAV-Based Point Clouds under Conditions of Partially-Open Forest Canopy. Forests 2017, 8, 151. [Google Scholar] [CrossRef]
- Agüera-Vega, F.; Carvajal-Ramírez, F.; Martínez-Carricondo, P. Assessment of photogrammetric mapping accuracy based on variation ground control points number using unmanned aerial vehicle. Measurement 2017, 98, 221–227. [Google Scholar] [CrossRef]
- Runkle, J.R. Gap Regeneration in Some Old-growth Forests of the Eastern United States. Ecology 1981, 62, 1041–1051. [Google Scholar] [CrossRef]
- Brach, M.; Bielak, K.; Drozdowski, S. Measurements accuracy of selected laser rangefinders in the forest environment. Sylwan 2013, 157, 671–677. [Google Scholar]
- Canham, C.D.; Burbank, D.H.; Pacala, S.W.; Finzi, A.C. Causes and consequences of resource heterogeneity in forests: Interspecific variation in light transmission by canopy trees. Can. J. For. Res. 1994, 24, 337–349. [Google Scholar] [CrossRef]
- Kato, S.; Komiyama, A. A calibration method for adjusting hemispherical photographs to appropriate black-and-white images. J. For. Res. 2000, 5, 109–111. [Google Scholar] [CrossRef]
- Rich, P.M. A Manual for Analysis of Hemispherical Canopy Photography; Los Alamos National Laboratory: Los Alamos, NM, USA, 1989. [Google Scholar]
- Macfarlane, C.; Coote, M.; White, D.A.; Adams, M.A. Photographic exposure affects indirect estimation of leaf area in plantations of Eucalyptus globulus Labill. Agric. For. Meteorol. 2000, 100, 155–168. [Google Scholar] [CrossRef]
- Ishida, M. Automatic thresholding for digital hemispherical photography. Can. J. For. Res. 2004, 34, 2208–2216. [Google Scholar] [CrossRef]
- Hale, S.E. The effect of thinning intensity on the below-canopy light environment in a Sitka spruce plantation. For. Ecol. Manag. 2003, 179, 341–349. [Google Scholar] [CrossRef]
- Frazer, G.W.; Lertzman, K.P.; Trofymow, J.A. A Method for Estimating Canopy Openness, Effective Leaf Area Index, and Photosynthetically Active Photon Flux Density Using Hemispherical Photography and Computerized Image Analysis Techniques; Pacific Forestry Centre: Victoria BC, Canada, 1997; Volume 373. [Google Scholar]
- Migoń, P.; Kasprzak, M. Pathways of geomorphic evolution of sandstone escarpments in the Góry Stołowe tableland (SW Poland)—Insights from LiDAR-based high-resolution DEM. Geomorphology 2016, 260, 51–63. [Google Scholar] [CrossRef]
- Takenaka, A. An analysis of solar beam penetration through circular gaps in canopies of uniform thickness. Agric. For. Meteorol. 1988, 42, 307–320. [Google Scholar] [CrossRef]
- Chen, J.M.; Black, T.A.; Price, D.T.; Carter, R.E. Model for Calculating Photosynthetic Photon Flux Densities in Forest Openings on Slopes. J. Appl. Meteorol. 1993, 32, 1656–1665. [Google Scholar] [CrossRef]
- Dai, X. Influence of light conditions in canopy gaps on forest regeneration: A new gap light index and its application in a boreal forest in east-central Sweden. For. Ecol. Manag. 1996, 84, 187–197. [Google Scholar] [CrossRef]
- Cescatti, A. Indirect estimates of canopy gap fraction based on the linear conversion of hemispherical photographs. Agric. For. Meteorol. 2007, 143, 1–12. [Google Scholar] [CrossRef]
- Glatthorn, J.; Beckschäfer, P. Standardizing the Protocol for Hemispherical Photographs: Accuracy Assessment of Binarization Algorithms. PLoS ONE 2014, 9, e111924. [Google Scholar] [CrossRef]
- Nobis, M.; Hunziker, U. Automatic thresholding for hemispherical canopy-photographs based on edge detection. Agric. For. Meteorol. 2005, 128, 243–250. [Google Scholar] [CrossRef]
- Kittler, J.; Illingworth, J. Minimum error thresholding. Pattern Recognit. 1986, 19, 41–47. [Google Scholar] [CrossRef]
- Otsu, N. A Threshold Selection Method from Gray-Level Histograms. IEEE Trans. Syst. Man Cybern. 1979, 9, 62–66. [Google Scholar] [CrossRef]
- Inoue, A.; Yamamoto, K.; Mizoue, N. Comparison of automatic and interactive thresholding of hemispherical photography. J. For. Sci. 2011, 57, 78–87. [Google Scholar] [CrossRef]
- Leblanc, S.G.; Chen, J.M.; Fernandes, R.; Deering, D.W.; Conley, A. Methodology comparison for canopy structure parameters extraction from digital hemispherical photography in boreal forests. Agric. For. Meteorol. 2005, 129, 187–207. [Google Scholar] [CrossRef]
- Frazer, G.W.; Canham, C.D.; Lertzman, K.P. Gap Light Analyzer (GLA): Imaging Software to Extract Canopy Structure and Gap Light Transmission Indices from True-Colour Fisheye Photographs, User’s Manual and Program Documentation; Simon Fraser University: Burnaby, BC, Canada, 1999. [Google Scholar] [CrossRef]
- Lang, M.; Kuusk, A.; Mõttus, M.; Rautiainen, M.; Nilson, T. Canopy gap fraction estimation from digital hemispherical images using sky radiance models and a linear conversion method. Agric. For. Meteorol. 2010, 150, 20–29. [Google Scholar] [CrossRef]
- Podstawczyńska, A. Cechy Solarne Klimatu Łodzi; Wydawnictwo Uniwersytetu Łódzkiego: Lodz, Poland, 2007. [Google Scholar]
- Jennings, S.B.; Brown, N.D.; Sheil, D. Assessing forest canopies and understorey illumination: Canopy closure, canopy cover and other measures. Forestry 1999, 72, 59–74. [Google Scholar] [CrossRef]
- Hardy, J.P.; Melloh, R.; Koenig, G.; Marks, D.; Winstral, A.; Pomeroy, J.W.; Link, T. Solar radiation transmission through conifer canopies. Agric. For. Meteorol. 2004, 126, 257–270. [Google Scholar] [CrossRef]
- Lawler, R.R.; Link, T.E. Quantification of incoming all-wave radiation in discontinuous forest canopies with application to snowmelt prediction. Hydrol. Process. 2011, 25, 3322–3331. [Google Scholar] [CrossRef]
- Bode, C.A.; Limm, M.P.; Power, M.E.; Finlay, J.C. Subcanopy Solar Radiation model: Predicting solar radiation across a heavily vegetated landscape using LiDAR and GIS solar radiation models. Remote Sens. Environ. 2014, 154, 387–397. [Google Scholar] [CrossRef]
- Musselman, K.N.; Pomeroy, J.W.; Link, T.E. Variability in shortwave irradiance caused by forest gaps: Measurements, modelling, and implications for snow energetics. Agric. For. Meteorol. 2015, 207, 69–82. [Google Scholar] [CrossRef]
- Beckschäfer, P.; Seidel, D.; Kleinn, C.; Xu, J. On the exposure of hemispherical photographs in forests. iForest Biogeosci. For. 2013, 6, 228–237. [Google Scholar] [CrossRef]
- Chen, J.M.; Black, T.A.; Adams, R.S. Evaluation of hemispherical photography for determining plant area index and geometry of a forest stand. Agric. For. Meteorol. 1991, 56, 129–143. [Google Scholar] [CrossRef]
- Zhang, Y.; Chen, J.M.; Millerb, J.R. Determining digital hemispherical photograph exposure for leaf area index estimation. Agric. For. Meteorol. 2005, 133, 166–181. [Google Scholar] [CrossRef]
- Wallace, L.; Lucieer, A.; Malenovský, Z.; Turner, D.; Vopěnka, P. Assessment of Forest Structure Using Two UAV Techniques: A Comparison of Airborne Laser Scanning and Structure from Motion (SfM) Point Clouds. Forests 2016, 7, 62. [Google Scholar] [CrossRef]
- Alexander, C.; Bøcher, P.K.; Arge, L.; Svenning, J.-C. Regional-scale mapping of tree cover, height and main phenological tree types using airborne laser scanning data. Remote Sens. Environ. 2014, 147, 156–172. [Google Scholar] [CrossRef]
- Harwin, S.; Lucieer, A. Assessing the Accuracy of Georeferenced Point Clouds Produced via Multi-View Stereopsis from Unmanned Aerial Vehicle (UAV) Imagery. Remote Sens. 2012, 4, 1573–1599. [Google Scholar] [CrossRef]






| Canopy Openness | AUTOMIN | AUTOVAR | UNVAR |
|---|---|---|---|
| Minimum | 39.48 | 34.42 | 27.94 |
| Mean | 45.19 a | 42.15 b | 37.43 c |
| Maximum | 50.36 | 48.51 | 44.29 |
© 2020 by the authors. Licensee MDPI, Basel, Switzerland. This article is an open access article distributed under the terms and conditions of the Creative Commons Attribution (CC BY) license (http://creativecommons.org/licenses/by/4.0/).
Share and Cite
Bolibok, L.; Brach, M. Application of LiDAR Data for the Modeling of Solar Radiation in Forest Artificial Gaps—A Case Study. Forests 2020, 11, 821. https://doi.org/10.3390/f11080821
Bolibok L, Brach M. Application of LiDAR Data for the Modeling of Solar Radiation in Forest Artificial Gaps—A Case Study. Forests. 2020; 11(8):821. https://doi.org/10.3390/f11080821
Chicago/Turabian StyleBolibok, Leszek, and Michał Brach. 2020. "Application of LiDAR Data for the Modeling of Solar Radiation in Forest Artificial Gaps—A Case Study" Forests 11, no. 8: 821. https://doi.org/10.3390/f11080821
APA StyleBolibok, L., & Brach, M. (2020). Application of LiDAR Data for the Modeling of Solar Radiation in Forest Artificial Gaps—A Case Study. Forests, 11(8), 821. https://doi.org/10.3390/f11080821

