The Significance of Log and Boulder Steps for Diversification of Fluvial Sediments Characteristics in a Stream Channel in a Small Forest Catchment in the Polish Carpathians
Abstract
1. Introduction
2. Materials and Methods
2.1. Study Area
2.2. Morphodynamic Characteristics of the Stream Channel Sections
2.3. Inventory of Steps in the Longitudinal Channel Profile
2.4. Mineral Material Sampling
2.5. Mineral Material Analysis
2.5.1. Granulometric Composition
2.5.2. Determination of the Gravel Shape Parameters
2.6. Basic Sedimentological Indicators of the Sediments
2.7. Statistical Analysis of Sedimentological Indicators of the Mineral Material
3. Results and Discussion
3.1. Characteristics of Steps Located in the Stream Channel
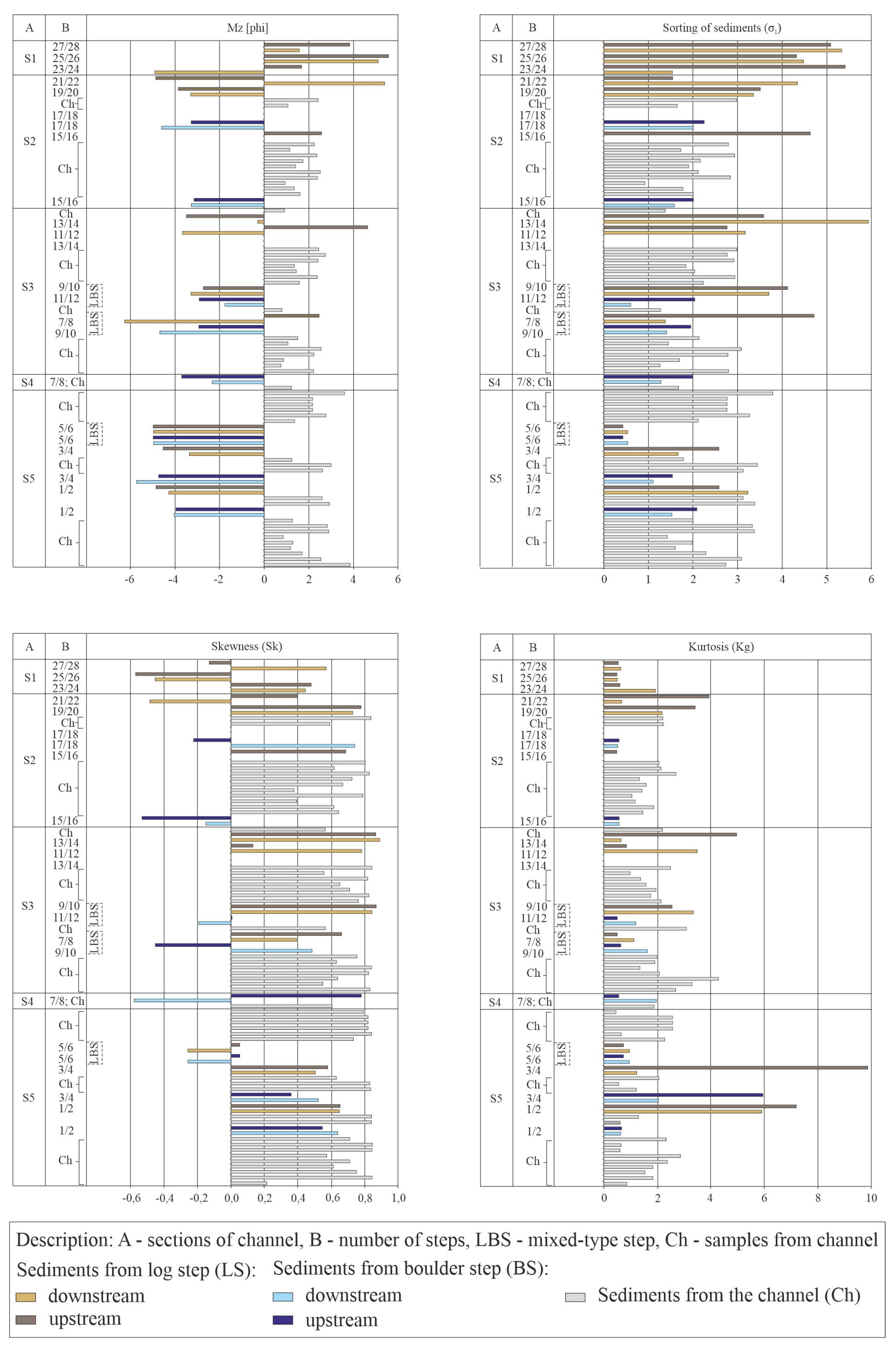
3.2. Sediment Heterogeneity in the Longitudinal Profile of the Stream Channel
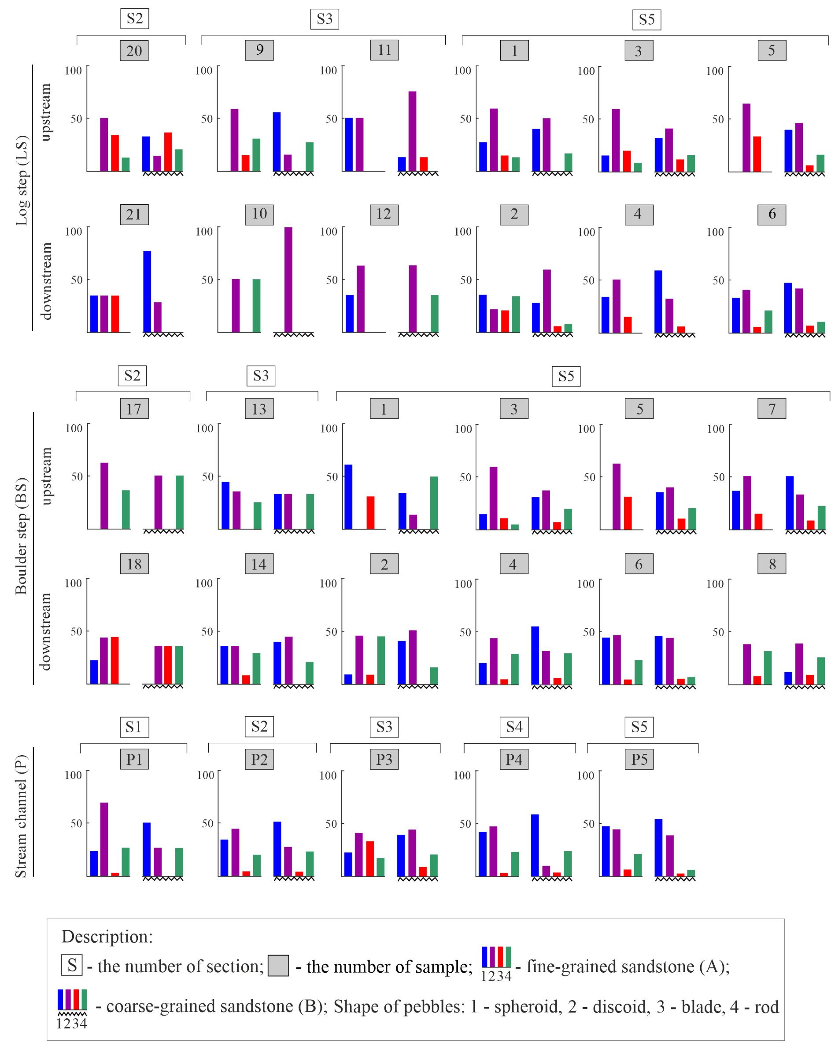
3.3. Characteristics of Gravel Shape Parameters
3.3.1. Gravels from LS
3.3.2. Gravels from BS
3.3.3. Gravels from LBS
3.3.4. Gravels from the Stream Channel (Ch and P)
4. Conclusions
Author Contributions
Funding
Conflicts of Interest
References
- Parker, G.; Klingeman, P.C.; McLean, D.G. Bedload and size distribution in paved gravel-bed streams. J. Hydraul. Div. Asce 1982, 108, 544–571. [Google Scholar]
- Montgomery, D.R.; Abbe, T.; Buffington, J.; Peterson, N.; Schmidt, K.M.; Stock, J.D. Distribution of bedrock and alluvial channels in forested mountain drainage basins. Nature (Lond. UK) 1996, 381, 587–589. [Google Scholar] [CrossRef]
- Theler, D.; Reynard, E.; Lambiel, C.; Bardou, E. The contribution of geomorphological mapping to sediment transfer evaluation in small alpine catchments. Geomorphology 2010, 124, 113–123. [Google Scholar] [CrossRef]
- Galia, T.; Hradecký, J. Morphological patterns of headwater streams based in flysch bedrock: Examples from the Outer Western Carpathians. Catena 2014, 119, 174–183. [Google Scholar] [CrossRef]
- Kodama, Y. Experimental study of abrasion and its role in producing downstream fining in gravel-bed rivers. J. Sediment. Res. 1994, 64, 76–85. [Google Scholar] [CrossRef]
- Wohl, E.; Scott, D.N. Wood and sediment storage and dynamics of river corridors. Earth Surf. Process. Landf. 2016, 42, 5–23. [Google Scholar] [CrossRef]
- Dumitriu, D.; Niculiţă, M.; Condorachi, D. Downstream variation in the pebble morphometry of the Trotuş River, Eastern Carpathians (Romania). Forum Geogr. X 2011, 1, 78–90. [Google Scholar] [CrossRef]
- Brummer, C.J.; Montgomery, D.R. Downstream coarsening in headwater channels. Water Res. Res. 2003, 39, 1294. [Google Scholar] [CrossRef]
- Rice, S. Which tributaries disrupt downstream fining along gravel-bed rivers. Geomorphology 1998, 22, 39–56. [Google Scholar] [CrossRef]
- Opreanu, G.; Oaie, G.; Păun, F. The dynamic significance of the grain size of sediments transported and deposited by the Danube. GeoEcoMar 2007, 13, 111–119. [Google Scholar]
- Buffington, J.M.; Montgomery, D.R. Effect of hydraulic roughness on surface textures of gravel-bed rivers. Water Res. Res. 1999, 35, 3507–3522. [Google Scholar] [CrossRef]
- Wobus, C.W. Self-formed bedrock channel. Geophys. Res. Lett. 2006, 3, 1–6. [Google Scholar] [CrossRef]
- Gurnell, A.M. Wood in Fluvial Systems. Treatise Geomorphol. 2013, 9, 163–188. [Google Scholar]
- Ward, G.M.; Aumen, N.G. Woody debris as a source of fine particulate organic matter in coniferous forest stream ecosystems. Can. J. Fish. Aquat. Sci. 1986, 43, 1635–1642. [Google Scholar] [CrossRef]
- Leichtfried, M. POM in bed sediments of a gravel stream (Ritrodat-Lunz study area, Austria). Verh. Intern. Ver. Limnol. 1991, 24, 1921–1925. [Google Scholar] [CrossRef]
- Piêgay, H.; Gurnell, A.M. Large woody debris and river geomorphological pattern: Examples from France and England. Geomorphology 1997, 19, 99–116. [Google Scholar] [CrossRef]
- Pawlaczyk, P. Deadwood as an element of river ecosystem. Przegląd Przyr. 2017, 28, 62–92. [Google Scholar]
- Polvi, L.E.; Wohl, E. The beaver meadow complex revisited-the role of beavers in postglacial floodplain development. Earth Surf. Process. Landf. 2012, 37, 332–346. [Google Scholar] [CrossRef]
- Pollock, M.M.; Beechie, T.J.; Wheaton, J.M.; Jordan, C.E.; Bouwes, N.; Volk, C. Using beaver dams to restore incise stream ecosystems. Bioscience 2014, 64, 279–290. [Google Scholar] [CrossRef]
- Smith, R.D.; Sidle, R.C.; Porter, P.E. Effects on bedload transport of experimental removal of woody debris from a forest gravel-bed stream. Earth Surf. Process. Landf. 1993, 18, 455–468. [Google Scholar] [CrossRef]
- Manga, M.; Kirchner, J.W. Stress partitioning in streams by large woody debris. Water Res. Res. 2000, 36, 2373–2379. [Google Scholar] [CrossRef]
- Keller, E.A.; MacDonald, A.; Tally, T.; Merrit, N.J. Effects of large organic debris on channel morphology and sediment storage in selected tributaries of Redwood Creek, northwestern California. US Geol. Surv. Prof. Pap. 1995, 1454, 1–29. [Google Scholar]
- Thompson, D.M. The effects of large organic debris on sediment processes and stream morphology in Vermont. Geomorphology 1995, 11, 235–244. [Google Scholar] [CrossRef]
- Zimmermann, A.; Church, M. Channel morphology, gradient profiles and bed stresses during flood in a step–pool channel. Geomorphology 2001, 40, 311–327. [Google Scholar] [CrossRef]
- Montgomery, D.R.; Piégay, H. Wood in rivers: Interactions with channel morphology and processes. Geomorphology 2003, 51, 1–5. [Google Scholar] [CrossRef]
- Mosley, M.P. The influence of organic debris on channel morphology and bedload transport in a New Zealand forest stream. Earth Surf. Process. Landf. 1981, 6, 571–579. [Google Scholar] [CrossRef]
- Curran, J.H.; Wohl, E.E. Large woody debris and flow resistance in step-pool channels, Cascade Range, Washington. Geomorphology 2003, 51, 141–157. [Google Scholar] [CrossRef]
- Chin, A.; Daniels, M.D.; Urban, M.A.; Piégay, H.; Gregory, K.J.; Bigler, W.; Butt, A.Z.; Grable, J.L.; Gregory, S.V.; Lafrenz, M.; et al. Perceptions of wood in rivers and challenges for stream restoration in the United States. Environ. Manag. 2008, 41, 893–903. [Google Scholar] [CrossRef]
- Buffington, J.M.; Lisle, T.E.; Woodsmith, R.D.; Hilton, S. Controls on the size and occurrence of pools in coarse-grained forest rivers. River Res. Appl. 2002, 18, 507–531. [Google Scholar] [CrossRef]
- Starzak, R.; Kucza, J.; Suliński, J. Dynamika zapasu wody w glebach pod wybranymi drzewostanami świerkowymi Beskidu Śląskiego w latach 1999–2004. In Ekologiczne i hodowlane uwarunkowania przebudowy drzewostanów świerkowych w Beskidzie Śląskim i Beskidzie Żywieckim; Małek, S., Ed.; Wydawnictwo UR: Krakow, Poland, 2015; pp. 67–93. [Google Scholar]
- Baran, S. Zróżnicowanie warunków siedliskowych w Nadleśnictwie Wisła. Sylwan 1996, 7, 77–92. [Google Scholar]
- Durło, G. Wpływ obserwowanych i prognozowanych warunków klimatycznych na stabilność drzewostanów górskich w Beskidzie Śląskim; Wydawnictwo UR: Kraków, Poland, 2013. [Google Scholar]
- Kamykowska, M.; Kaszowski, L.; Krzemień, K. River channel mapping instruction. Key to the river bed description. Pr. Geogr. IGUJ 1991, 104, 9–25. [Google Scholar]
- Słowik-Opoka, E.; Wrońska-Wałach, D.; Michno, A. Analysis of sediment from steps in a small catchment in the Polish Carpathians in relation to the transition zone between the hillslope and fluvial system. Catena 2018, 165, 237–250. [Google Scholar] [CrossRef]
- Migoń, P. Geomorfologia; Wydawnictwo Naukowe PWN: Warszawa, Poland, 2013. [Google Scholar]
- Billi, P.; Paris, E. Bed sediment characterization in river engineering problems. In Erosion and Sediment Transport Monitoring Programmes in River Basins; Bogen, I., Walling, D.E., Day, T., Eds.; IAHS: Wallingford, UK, 1992; Volume 210, pp. 11–20. [Google Scholar]
- ISO/TS 17892-4:2009. Badania geotechniczne—Badania laboratoryjne gruntów: Oznaczanie składu granulometrycznego; PKN: Warszawa, Poland, 2009. [Google Scholar]
- ISO 13320:2019. Particle Size Analysis—Laser Diffraction Methods; ISO: Geneva, Switzerland, 2019; pp. 1–59. [Google Scholar]
- Chatanantavet, P.; Lajeunesse, E.; Parker, G.; Malverti, L.; Meunier, P. Physically based model of downstream fining in bedrock streams with lateral input. Water Res. Res. 2010, 46, W02518. [Google Scholar] [CrossRef]
- Malarz, R. The rate of gravel abrasion in the Carpathian rivers. Geogr. Časopis 2004, 56, 99–109. [Google Scholar]
- Zingg, T. Beitrag zur schotteranalyse. Schweiz. Miner. Petrogr. Mitt. 1935, 15, 39–140. [Google Scholar]
- Mycielska-Dowgiałło, E. Wybrane cechy teksturalne osadów i ich wartość interpretacyjna. In Badania osadów czwartorzędowych. Wybrane metody i interpretacja wyników; Mycielska-Dowgiałło, E., Rutkowski, J., Eds.; University of Warsaw: Warsaw, Poland, 1995; pp. 29–105. [Google Scholar]
- Folk, R.L.; Ward, W.C. Brazos River bar: A study in the significance of grain size parameters. J. Sediment. Pet. 1957, 27, 3–26. [Google Scholar] [CrossRef]
- Blott, S.J.; Pye, K. GRADISTAT: A grain size distribution and statistics package for the analysis of unconsolidated sediments. Earth Surf. Process. Landf. 2001, 26, 1237–1248. [Google Scholar] [CrossRef]
- Passega, R. Grain size representation by CM patterns as a geological tool. J. Sediment. Res. 1964, 34, 830–847. [Google Scholar] [CrossRef]
- STATISTICA; StatSoft Poland Ltd.: Kraków, Poland, 2020.
- Reimann, C.; Filzmoser, P. Normal and lognormal data distribution in geochemistry: Death of a myth. Consequences for the statistical treatment of geochemical an environmental data. Environ. Geol. 2000, 39, 1001–1014. [Google Scholar] [CrossRef]
- Gurnell, A.; Piegay, H.; Swanson, F.J.; Gregory, S.V. Large wood and fluvial processes. Freshw. Biol. 2002, 47, 601–619. [Google Scholar] [CrossRef]
- Wyżga, B.; Kaczka, R.J.; Zawiejska, J. Gruby rumosz drzewny w ciekach górskich formy występowania, warunki depozycji i znaczenie środowiskowe. Folia Geogr. Ser. Geogr. Phys. 2003, 33–34, 117–142. [Google Scholar]
- Keller, E.A.; Swanson, F.J. Effects of large organic material on channel form and fluvial processes. Earth Surf. Process. Landf. 1979, 4, 361–380. [Google Scholar] [CrossRef]
- Tiberi, V.; Di Agostino, V.; Troiani, F.; Nesci, O.; Savelli, D. Bedrock channel reaches morphology: Examples from the Northern Marche Region (Italy). Geophys. Res. Abstr. 2009, 11, EGU2009-A-3432. [Google Scholar]












© 2020 by the authors. Licensee MDPI, Basel, Switzerland. This article is an open access article distributed under the terms and conditions of the Creative Commons Attribution (CC BY) license (http://creativecommons.org/licenses/by/4.0/).
Share and Cite
Słowik-Opoka, E.; Michno, A.; Zhang, W. The Significance of Log and Boulder Steps for Diversification of Fluvial Sediments Characteristics in a Stream Channel in a Small Forest Catchment in the Polish Carpathians. Forests 2020, 11, 676. https://doi.org/10.3390/f11060676
Słowik-Opoka E, Michno A, Zhang W. The Significance of Log and Boulder Steps for Diversification of Fluvial Sediments Characteristics in a Stream Channel in a Small Forest Catchment in the Polish Carpathians. Forests. 2020; 11(6):676. https://doi.org/10.3390/f11060676
Chicago/Turabian StyleSłowik-Opoka, Ewa, Anna Michno, and Wenfang Zhang. 2020. "The Significance of Log and Boulder Steps for Diversification of Fluvial Sediments Characteristics in a Stream Channel in a Small Forest Catchment in the Polish Carpathians" Forests 11, no. 6: 676. https://doi.org/10.3390/f11060676
APA StyleSłowik-Opoka, E., Michno, A., & Zhang, W. (2020). The Significance of Log and Boulder Steps for Diversification of Fluvial Sediments Characteristics in a Stream Channel in a Small Forest Catchment in the Polish Carpathians. Forests, 11(6), 676. https://doi.org/10.3390/f11060676
