Effect of Detritus Manipulation on Different Organic Matter Decompositions in Temperate Deciduous Forest Soils
Abstract
1. Introduction
2. Materials and Methods
2.1. Placing Litter Bags in the Soil
2.2. Laboratory Methods
2.3. Statistical Analyzes
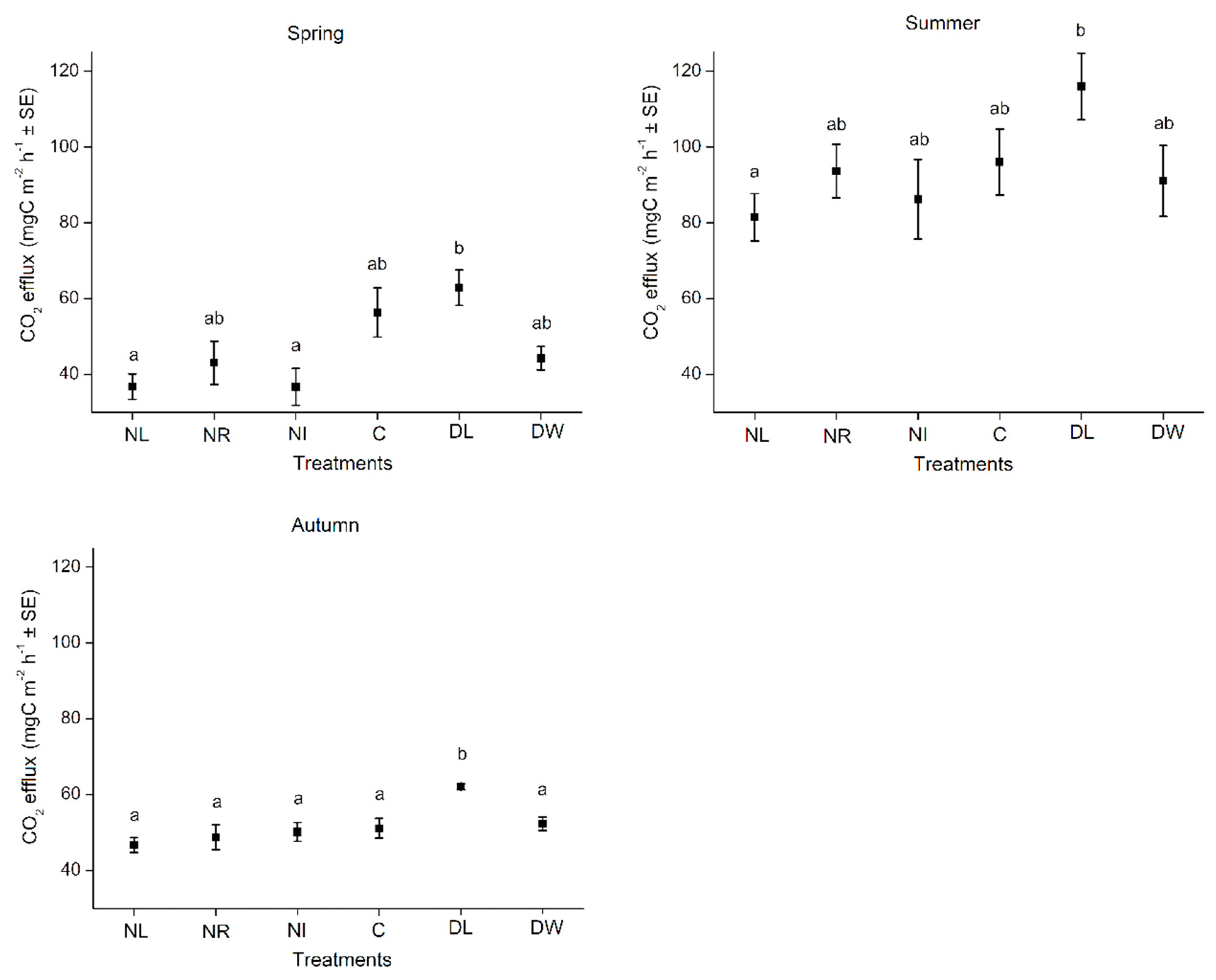
3. Results
4. Discussion
5. Conclusions
Author Contributions
Funding
Acknowledgments
Conflicts of Interest
References
- Kocsis, T.; Wass-Matics, H.; Kotroczó Zs Biró, B. Psycrophilic and mesophilic soil microbial counts affected by biochar. In A Hulladékgazdálkodás Legújabb Fejlesztési Lehetőségei; Futó, Z., Ed.; SZIE Gazdasági, Agrár- és Egészségtudományi Kar: Szarvas, Hungary, 2015. (In Hungarian) [Google Scholar]
 - Dudás, A.; Szalai, Z.M.; Vidéki, E.; Wass-Matics, H.; Kocsis, T.; Végvári Gy Kotroczó Zs Biró, B. Sporeforming bacillus bioeffectors for healthier fruit quality of tomato in pots and field. Appl. Ecol. Environ. Res. 2017, 15, 1399–1418. [Google Scholar] [CrossRef]
 - Jakab, A. The ammonium lactate soluble potassium and phosphorus content of the soils of north-east Hungary region: A quantifying study. DRC Sustain. Future 2020, 1, 7–13. [Google Scholar] [CrossRef]
 - He, Y.; Chen, C.; Xu, Z.; Williams, D.; Xu, J. Assessing management impacts on soil organic matter quality in subtropical Australian forests using physical and chemical fractionation as well as 13C NMR spectroscopy. Soil. Biol. Biochem. 2009, 41, 640–650. [Google Scholar] [CrossRef]
 - Juhos, K.; Szabó, S.; Ladanyi, M. Influence of soil properties on crop yield: A multivariate statistical approach. Int. Agrophysics 2015, 29, 433–440. [Google Scholar] [CrossRef]
 - Kotroczó, Z.; Fekete, I.; Tóth, J.A.; Tóthmérész, B.; Balázsy, S. Effect of leaf- and root-litter manipulation for carbon-dioxide efflux in forest soil. Cereal Res. Commun. 2008, 36, 663–666. [Google Scholar]
 - Tóth, J.A.; Krakomperger, Z.; Kotroczó, Z.; Koncz, G.; Veres, Z.; Papp, M. The effect of climate change on litter production and soil dynamic processes of Síkfőkút forest. Talajvédelem 2008, 543–554. (In Hungarian) [Google Scholar]
 - Kátai, J.; Zsuposné-Oláh, Á.; Sándor, Z.; Tállai, M. Comparison of soil parameters of the carbon and nitrogen cycles in a long-term fertilization experiment. Agrokémia És Talajt 2014, 63, 129–138. [Google Scholar] [CrossRef]
 - Sándor, Z.; Tállai, M.; Kincses, I.; László, Z.; Kátai, J.; Vágó, I. Effect of various soil cultivation methods on some microbial soil proper-ties. DRC Sustain. Future 2020, 1, 14–20. [Google Scholar]
 - Barr, A.G.; Griffis, T.J.; Black, T.A.; Lee, X.; Staebler, R.M.; Fuentes, J.D.; Morgenstern, K. Comparing the carbon budgets of boreal and temperate deciduous forest stands. Can. J. For. Res. 2002, 32, 813–822. [Google Scholar] [CrossRef]
 - Führer, E.; Mátyás, C. Carbon sequestration potential of Hungarian forest, affected by climate change processes. Magy. Tudomány 2005, 7, 837. (In Hungarian) [Google Scholar]
 - Wardle, D.A.; Bardgett, R.D.; Klironomos, J.N.; Setälä, H.; Van der Putten, W.H.; Wall, D.H. Ecological linkages between aboveground and belowground biota. Science 2004, 304, 1629–1633. [Google Scholar] [CrossRef] [PubMed]
 - Houghton, R.A. Balancing the global carbon budget. Annu. Rev. Earth Planet. Sci. 2007, 35, 313–347. [Google Scholar] [CrossRef]
 - Lal, R. Soil carbon sequestration impacts on global climate change and food security. Science 2004, 304, 1623–1627. [Google Scholar] [CrossRef] [PubMed]
 - Olson, J.S. Energy storage and the balance of producers and decomposers in ecological systems. Ecology 1963, 44, 322–331. [Google Scholar] [CrossRef]
 - Aerts, R. The freezer defrosting: Global warming and litter decomposition rates in cold biomes. J. Ecol. 2006, 94, 713–724. [Google Scholar] [CrossRef]
 - Berg, B.; McClaugherty, C. Plant Litter: Decomposition, Humus Formation, Carbon Sequestration; Springer Science & Business Media: Berlin/Heidelberg, Germany, 2008. [Google Scholar]
 - Couteaux, M.M.; Bottner, P.; Berg, B. Litter decomposition, climate and liter quality. Trends Ecol. Evol. 1995, 10, 63–66. [Google Scholar] [CrossRef]
 - Heim, A.; Frey, B. Early stage litter dcomposition rates for Swiss forests. Biogeochemistry 2004, 70, 299–313. [Google Scholar] [CrossRef]
 - Rieder, Á.; Madarász, B.; Szabó, J.A.; Zacháry, D.; Vancsik, A.; Ringer, M.; Szalai, Z.; Jakab, G. Soil organic matter alteration velocity due to land-use change: A case study under conservation agriculture. Sustainability 2018, 10, 943. [Google Scholar] [CrossRef]
 - Zacháry, D.; Filep, T.; Jakab, G.; Varga, G.; Ringer, M.; Szalai, Z. Kinetic parameters of soil organic matter decomposition in soils under forest in Hungary. Geoderma Reg. 2018, 14, e00187. [Google Scholar] [CrossRef]
 - Gavazov, K.S. Dynamics of alpine plant litter decomposition in a changing climate. Plant. Soil 2010, 337, 19–32. [Google Scholar] [CrossRef]
 - Parton, W.; Silver, W.L.; Burke, I.C.; Grassens, L.; Harmon, M.E.; Currie, W.S.; Fasth, B. Global-scale similarities in nitrogen release patterns during long-term decomposition. Science 2007, 315, 361–364. [Google Scholar] [CrossRef] [PubMed]
 - Wall, D.H.; Bradford, M.A.; St John, M.G.; Trofymow, J.A.; Behan-Pelletier, V.; Bignell, D.E.; Dangerfield, J.M.; Parton, W.J.; Rusek, J.; Voigt, W.; et al. Global decomposition experiment shows soil animal impacts on decomposition are climate-dependent. Glob. Chang. Biol. 2008, 14, 2661–2677. [Google Scholar] [CrossRef]
 - Djukic, I.; Zehetner, F.; Watzinger, A.; Horacek, M.; Gerzabek, M.H. In situ carbon turnover dynamics and the role of soil microorganisms therein: A climate warming study in an Alpine ecosystem. FEMS Microbiol. Ecol. 2012, 83, 112–124. [Google Scholar] [CrossRef] [PubMed]
 - Djukic, I.; Kepfer-Rojas, S.; Kappel Schmidt, I.; Steenberg, L.K.; Beier, C.; Berg, B.; Verheyend, K.; Seres, A.; Hornung, E.; Fekete, I.; et al. Early stage litter decomposition across biomes. Sci. Total Environ. 2018, 628–629, 1369–1394. [Google Scholar] [CrossRef] [PubMed]
 - Veres, Z.; Kotroczó, Z.; Fekete, I.; Tóth, J.A.; Lajtha, K.; Townsend, K.; Tóthmérész, B. Soil extracellular enzyme activities are sensitive indicators of detrital inputs and carbon availability. Appl. Soil Ecol. 2015, 92, 18–23. [Google Scholar] [CrossRef]
 - Emmett, B.A.; Beier, C.; Estiarte, M.; Tietema, A.; Kristensen, H.L.; Williams, D.; Sowerby, A. The response of soil processes to climate change: Results from manipulation studies of shrublands across an environmental gradient. Ecosystems 2004, 7, 625–637. [Google Scholar] [CrossRef]
 - Johansson, M.B.; Berg, B.; Meentemeyer, V. Litter mass-loss rates in late stages of decomposition in a climatic transect of pine forests. Long-term decomposition in a scots pine forest. Can. J. Bot. 1995, 73, 1509–1521. [Google Scholar] [CrossRef]
 - Trofymow, J.A.; CIDET Working Group. The Canadian Intersite Decomposition Experiment (CIDET): Project and Site Establishment Report; Pacific Forestry Centre: Victoria, BC, Canada, 1998; Volume 378. [Google Scholar]
 - Nadelhoffer, K.J. The DIRT experiment: Litter and root influences on forest soil organic matter stocks and function. Chapter 15; In Synthesis Volume of the Harvard Forest LTER Program; Foster, D., Aber, J., Eds.; Oxford University Press: Oxford, UK, 2004. [Google Scholar]
 - Lajtha, K.; Bowden, R.D.; Crow, S.; Fekete, I.; Kotroczó, Z.; Plante, A.; Simpson, M.; Nadelhoffer, K. The detrital input and removal treatment (DIRT) network. Ref. Modul. Earth Syst. Environ. Sci. 2017, 1, 1–6. [Google Scholar]
 - Lajtha, K.; Richard, D.B.; Crow, S.; Fekete, I.; Kotroczó, Z.; Plante, A.; Simpson, M.J.; Nadelhoffer, K. The detrital input and removal treatment (DIRT) network: Insights into soil carbon stabilization. Sci. Total Environ. 2018, 640–641, 1112–1120. [Google Scholar] [CrossRef]
 - Kotroczó, Z.; Krakomperger, Z.; Koncz, G.; Papp, M.; Bowden, R.D.; Tóth, J.A. Long term changes in the compositionand structure of an oak forest at Síkfőkút, North Hungary. Természetvédelmi Közlemények 2007, 13, 93–100. (In Hngarian) [Google Scholar]
 - Misik, T.; Kotroczó, Z.; Kárász, I.; Tóthmérész, B. Long-term oak seedling dynamics and regeneration ability in a deciduous forest in Hungary. Balt. For. 2017, 23, 595–602. [Google Scholar]
 - IUSS Working Group WRB. World reference base for soil resources 2014, update 2015 international soil classification system for naming soils and creating legends for soil maps. World Soil Resour. Rep. 2015, 106, 192. [Google Scholar]
 - Fekete, I.; Varga, C.; Kotroczó, Z.; Krakomperger, Z.; Tóth, J.A. The effect of temperature and moisture on enzyme activity in Síkfőkút Site. Cereal Res. Commun. 2007, 35, 381–385. [Google Scholar] [CrossRef]
 - Gosz, J.R.; Likens, G.E.; Bormann, F.H. Nutrient release from decomposing leaf and branch litter in the Hubbard Brook Forest, New Hampshire. Ecol. Monogr. 1973, 43, 173–191. [Google Scholar] [CrossRef]
 - Fekete, I.; Varga, C.; Halász, J.; Krakomperger, Z.; Krausz, E. Study of litter decomposition intensity in litter manipulative trials in Síkfőkút cambisols. Cereal Res. Commun. 2008, 36, 1779–1782. [Google Scholar]
 - Kotroczó, Z.; Fekete, I. Changes in soil biological activity due to litter manipulation experiments. In Ünnepi kötet—Kárász Imre Professzor 70 Születésnapja Tiszteletére. Eger; Földes-Leskó, G., Misik, T., Eds.; Eszterházy Károly University: Eger, Hungary, 2019; pp. 46–51. ISBN 978-615-5297-86-1. (In Hungarian) [Google Scholar]
 - Tyurin, I.V.; Kononova, M.M. Results of soil organic matter tests (Materialü po izucseniju organyicseszkogo vescsesztva pocsv). Himizacija Szoc. Zemlegyelija 1934, 4, 6–8. [Google Scholar]
 - Hargitai, L. Determination and characterization of soil organic matter. In Methodology for Soil and Agrochemical Testing 2; Buzás, I., Ed.; Mezőgazdasági Kiadó: Budapest, Hungary, 1988; pp. 158–163. [Google Scholar]
 - Raich, J.W.; Bowden, R.D.; Steudler, P.A. Comparison of two static chamber techniques for determining carbon dioxide efflux from forest soils. Soil Sci. Soc. Am. J. 1990, 54, 1754–1757. [Google Scholar] [CrossRef]
 - Kotroczó, Z.; Koncz, G.; Halász, J.; Fekete, I.; Krakomperger, Z.; Dobró-Tóth, M.; Balázsy, S.; Tóth, J.A. Litter decomposition intensity and soil organic matter accumulation in Síkfőkút DIRT site. Acta Microbiologica et Immunologica Hungarica 2009, 56, 53–54. [Google Scholar]
 - Kaufmann, J.; Schering, A.G. Analysis of variance ANOVA. Wiley Stats. Ref. Stat. Ref. Online 2014. [Google Scholar] [CrossRef]
 - Fekete, I.; Varga, C.; Kotroczó, Z.; Tóth, J.A.; Várbiró, G. The relation between various detritus inputs and soil enzyme activities in a Central European deciduous forest. Geoderma 2011, 167–168, 15–21. [Google Scholar] [CrossRef]
 - Fekete, I.; Kotroczó, Z.; Varga, C.; Veres, Z.; Tóth, J.A. The effects of detritus inputs on soil organic matter content and carbon-dioxide emission in a Central European deciduous forest. Acta Silv. Et Lignaria Hung. 2011, 7, 87–96. [Google Scholar]
 - Fekete, I.; Varga, C.; Biró, B.; Tóth, J.A.; Várbíró, G.; Lajtha, K.; Szabó, G.; Kotroczó, Z. The effects of litter production and litter depth on soil microclimate in a central european deciduous forest. Plant Soil 2016, 398, 291–300. [Google Scholar] [CrossRef]
 - Béni, Á.; Soki, E.; Lajtha, K.; Fekete, I. An optimized HPLC method for soil fungal biomass determination and its application to a detritus manipulation study. J. Microbiol. Methods 2014, 103, 124–130. [Google Scholar] [CrossRef] [PubMed]
 - Sayer, E.J. Using experimental manipulation to assess the roles of leaf itter in the functioning of forest ecosystems. Biol. Rev. 2006, 81, 1–31. [Google Scholar] [CrossRef]
 - Sulzman, E.W.; Brant, J.B.; Bowden, R.D.; Lajtha, K. Contribution of aboveground litter, belowground litter, and rhizosphere respiration to total soil CO2 efflux in an old growth coniferous forest. Biogeochemistry 2005, 73, 231–256. [Google Scholar] [CrossRef]
 - Fekete, I.; Kotroczó, Z.; Varga, C.; Nagy, P.T.; Várbíró, G.; Bowden, R.D.; Tóth, J.A.; Lajtha, K. Alterations in forest detritus inputs influence soil carbon concentration and soil respiration in a Central-European deciduous forest. Soil Biol. Biochem. 2014, 74, 106–114. [Google Scholar] [CrossRef]
 - Beni, Á.; Lajtha, K.; Kozma, J.; Fekete, I. Application of a Stir Bar Sorptive Extraction sample preparation method with HPLC for soil fungal biomass determination in soils from a detrital manipulation study. J. Microbiol. Methods 2017, 136, 1–5. [Google Scholar] [CrossRef]
 - Gu, L.; Post, W.M.; King, A.W. Fast labile carbon turnover obscures sensitivity of heterotrophic respiration from soil to temperature: A model analysis. Glob. Biogeochem. Cycles 2004, 18, 1–18. [Google Scholar] [CrossRef]
 - Zou, X.M.; Ruan, H.H.; Fu, Y.; Yang, X.D.; Sha, L.Q. Estimating soil labile organic carbon and potential turnover rates using a sequential fumigation–incubation procedure. Soil Biol. Biochem. 2005, 37, 1923–1928. [Google Scholar] [CrossRef]
 - Crow, S.E.; Lajtha, K. Nitrogen addition as a result of long-term root removal affects soil organic matter dynamics. AGU Fall Meet. Abstr. 2004, 47, B13B-0221. [Google Scholar]
 - Crow, S.E.; Lajtha, K.; Bowden, R.D.; Yano, Y.; Brant, J.B.; Caldwell, B.A.; Sulzman, E.W. Increased coniferous needle inputs accelerate decomposition of soil carbon in an old-growth forest. For. Ecol. Manag. 2009, 258, 2224–2232. [Google Scholar] [CrossRef]
 - Kotroczó, Z.; Juhos, K.; Biró, B.; Kocsis, T.; Pabar, S.A.; Fekete, I. Results of an international tea litter decomposition experiment at different litter treatments of soils in a deciduous forest. Talajvédelem 2020, 117–132. (In Hungarian) [Google Scholar]
 








| Treatments | Description | 
|---|---|
| Double Litter (DL) | Aboveground leaf inputs are doubled by adding leaf litter removed from NL plots. | 
| Double Wood (DW) | Aboveground wood debris inputs are doubled by adding wood to each plot. Annual wood litter amount was measured by boxes placed at the site, and its double amount was applied in the case of every DW plots. | 
| Control (C) | Normal litter inputs: Average litter amounts were typical to the given forest site. | 
| No Litter (NL) | Aboveground inputs are excluded from plots. Leaf litter was totally removed by a rake. This process was replayed continuously during the year. | 
| No Roots (NR) | The plots were trenched around 40 cm wide and 100 cm deep. The soil dug out was placed outside the plot. Root-proof Delta MS 500 PE foil, which was 0.6 mm thick and 1 m wide and of high density, was put in the trenches. Then, the trenches were filled with soil. So as to eliminate root production, plants were cleared (bushes had been cut out at the establishment). | 
| No Inputs (NI) | Aboveground inputs are excluded from plots; the belowground inputs are provided as in NR plots. This treatment is the combination of NR+NL plots. | 
| Treatments | 2004 Spring | 2010 Summer | 2011 Summer | 2012 Summer | 2016 Summer | |||||
|---|---|---|---|---|---|---|---|---|---|---|
| Soil Moisture (%) | SE | Soil Moisture (%) | SE | Soil Moisture (%) | SE | Soil Moisture (%) | SE | Soil Moisture (%) | SE | |
| DL | 23.13 | ±1.73 | 29.55 | ±1.60 | 19.91 | ±3.09 | 15.52 | ±3.11 | 28.53 | ±2.21 | 
| DW | 21.31 | ±1.16 | 27.18 | ±2.27 | 15.27 | ±1.74 | 14.07 | ±2.65 | 27.91 | ±3.28 | 
| C | 23.13 | ±0.69 | 27.59 | ±1.53 | 16.68 | ±2.69 | 12.40 | ±2.72 | 27.91 | ±1.15 | 
| NL | 21.74 | ±0.60 | 24.18 | ±1.01 | 13.92 | ±2.49 | 9.52 | ±2.65 | 23.68 | ±1.07 | 
| NR | 25.30 | v0.53 | 26.97 | ±0.60 | 17.67 | ±3.23 | 12.04 | ±3.19 | 25.43 | ±0.82 | 
| NI | 24.15 | ±0.62 | 25.78 | ±0.90 | 14.15 | ±3.37 | 9.65 | ±3.18 | 24.72 | ±0.99 | 
| Treatments | C-Content (mg g−1) | |
|---|---|---|
| ESHa | ESFa | |
| NL | 19.30 | 9.21 | 
| NR | 22.20 | 10.70 | 
| NI | 21.50 | 9.47 | 
| C | 31.23 | 15.96 | 
| DL | 34.30 | 17.32 | 
| DW | 30.30 | 11.73 | 
© 2020 by the authors. Licensee MDPI, Basel, Switzerland. This article is an open access article distributed under the terms and conditions of the Creative Commons Attribution (CC BY) license (http://creativecommons.org/licenses/by/4.0/).
Share and Cite
Kotroczó, Z.; Juhos, K.; Biró, B.; Kocsis, T.; Pabar, S.A.; Varga, C.; Fekete, I. Effect of Detritus Manipulation on Different Organic Matter Decompositions in Temperate Deciduous Forest Soils. Forests 2020, 11, 675. https://doi.org/10.3390/f11060675
Kotroczó Z, Juhos K, Biró B, Kocsis T, Pabar SA, Varga C, Fekete I. Effect of Detritus Manipulation on Different Organic Matter Decompositions in Temperate Deciduous Forest Soils. Forests. 2020; 11(6):675. https://doi.org/10.3390/f11060675
Chicago/Turabian StyleKotroczó, Zsolt, Katalin Juhos, Borbála Biró, Tamás Kocsis, Sándor Attila Pabar, Csaba Varga, and István Fekete. 2020. "Effect of Detritus Manipulation on Different Organic Matter Decompositions in Temperate Deciduous Forest Soils" Forests 11, no. 6: 675. https://doi.org/10.3390/f11060675
APA StyleKotroczó, Z., Juhos, K., Biró, B., Kocsis, T., Pabar, S. A., Varga, C., & Fekete, I. (2020). Effect of Detritus Manipulation on Different Organic Matter Decompositions in Temperate Deciduous Forest Soils. Forests, 11(6), 675. https://doi.org/10.3390/f11060675
        
