Canopy Opening and Site Preparation Effects on Conifer and Understory Establishment and Growth after an Uneven-Aged Free Selection Regeneration Harvest in the Northern Rocky Mountains, USA
Abstract
1. Introduction
2. Materials and Methods
2.1. Study Area
2.2. Experimental Design
2.3. Data Collection
Forest Floor, Trees, and Understory Vegetation
2.4. Statistical Analysis
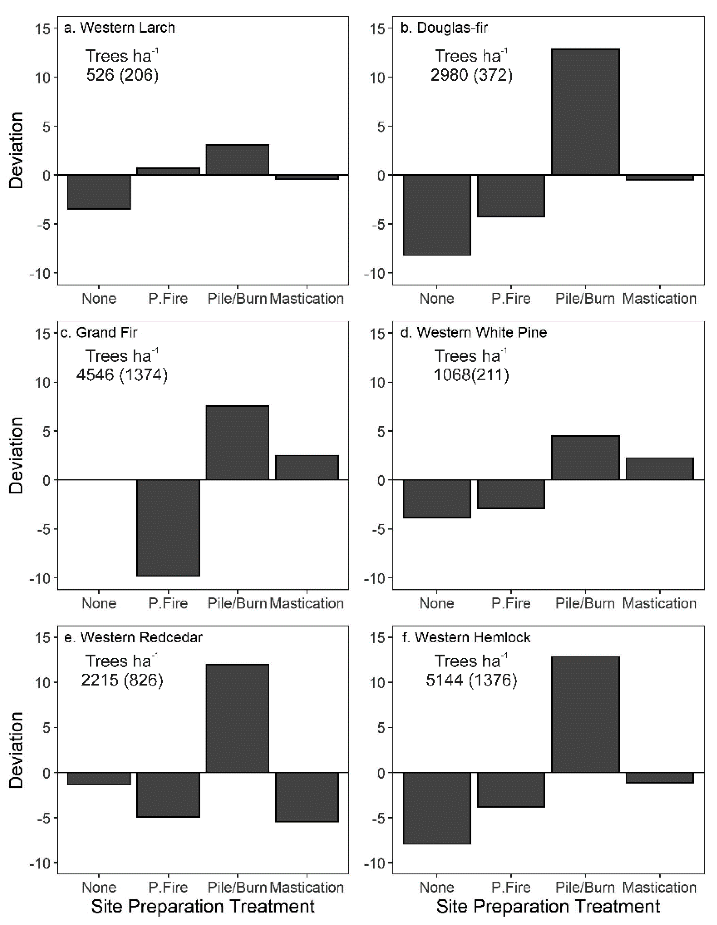
3. Results
4. Discussion
4.1. Site Preparation and Regeneration
4.2. Regeneration and Growth
4.3. Vegetation Diversity
4.4. Limitations and Future Research
5. Conclusions
Author Contributions
Funding
Acknowledgments
Conflicts of Interest
Appendix A
Implementing Free Selection Concepts
- (1)
- What is the management objective? We implemented the study on an Experimental Forest, thus the objectives were to create a diversity of forest conditions to enhance current and future research opportunities, to create a diversity of surface and crown fuels to alter fire behavior and effects, and to develop, implement, and evaluate an alternative silvicultural system designed to introduce diversity in forest composition and structure.
- (2)
- What is the theme or broad management goals? Goals included producing snags over time, increasing vegetation diversity thus diversifying wildlife habitat, favoring the abundance of disease-resistant species while still maintaining many tree species for adaption opportunities.
- (3)
- What are the desired future conditions? Using a range of canopy opening sizes and soil disturbances, we wanted to develop a landscape mosaic of different compositions and structures. Tree composition, depending on the growing space, would vary from sites containing fast growing western larch, western white pine, and ponderosa pine, and in moderate growing environments, western white pine, grand fir, and Douglas-fir. In addition, across the range of moderate growing conditions, we recognized that there would be environments that would favor western redcedar and western hemlock. Forest structures would range from shrub to stem initiation to stem exclusion. There would be continuous recruitment of snags over the entire landscape, ranging anywhere from 2 to 5 snags per hectare resulting from a diversity of disturbances (drought, insects, disease, wind, and snow).
| Unit Number | Regeneration Treatment | Replicate | Canopy Opening Target (%) | Site Preparation |
|---|---|---|---|---|
| Block 1 | ||||
| 17_1 | 16 m strip | 1 | 55 | Pile and burn |
| 17_2 | 16 m strip | 2 | 55 | Pile and burn |
| 16c1 | 16 m strip | 3 | 55 | Pile and burn |
| 18 | 31 m strip | 1 | 70 | Prescribed fire |
| 10 | 31 m strip | 2 | 70 | Mastication |
| 14 | 31 m strip | 3 | 70 | Mastication |
| 20 | 47 m strip | 1 | 85 | Pile and burn |
| 12 | 47 m strip | 2 | 85 | Mastication |
| 21 | 47 m strip | 3 | 85 | Pile and burn |
| 19 | 62 m strip | 1 | 100 | Prescribed fire |
| 11a | 62 m strip | 2 | 100 | Prescribed fire |
| 13 | 62 m strip | 3 | 100 | Pile and burn |
| 8_1 | 0.4 ha circle | 1 | 92 | Mastication |
| 8_2 | 0.4 ha circle | 2 | 92 | Mastication |
| 8_3 | 0.4 ha circle | 3 | 92 | Mastication |
| 23 | <0.2 ha gap | 1 | 25-40 | Mastication |
| 15 | <0.2 ha gap | 2 | 25-40 | Mastication |
| 9a | <0.2 ha gap | 3 | 25-40 | Mastication |
| 9b | <0.2 ha gap | 4 | 25-40 | Prescribed fire |
| 9c | <0.2 ha gap | 5 | 25-40 | Mastication |
| 22 | <0.2 ha gap | 6 | 25-30 | Pile and burn |
| Block 2 | ||||
| 16a | 16 m strip | 1 | 55 | Mastication |
| 16b | 16 m strip | 2 | 55 | No treatment |
| 16c | 16 m strip | 3 | 55 | Pile and burn |
| 5_1 | 31 m strip | 1 | 70 | Prescribed fire |
| 7a | 31 m strip | 2 | 70 | Mastication |
| 7b1 | 31 m strip | 3 | 70 | Mastication |
| 7b2 | 47 m strip | 1 | 85 | Pile and burn |
| 6_1 | 47 m strip | 2 | 85 | Prescribed fire |
| 6_2 | 47 m strip | 3 | 85 | Prescribed fire |
| 5_2 | 62 m strip | 1 | 100 | Mastication |
| 4b | 62 m strip | 2 | 100 | Mastication |
| 7c | 62 m strip | 3 | 100 | Prescribed fire |
| 4a | 0.4 ha circle | 1 | 92 | Mastication |
| 8_4 | 0.4 ha circle | 2 | 92 | Mastication |
| 8_5 | 0.4 ha circle | 3 | 92 | Mastication |
| 1 | <0.2 ha gap | 1 | 25–40 | Pile and burn |
| 2a | <0.2 ha gap | 2 | 25–40 | No treatment |
| 2b | <0.2 ha gap | 3 | 25–40 | No treatment |
| 3 | <0.2 ha gap | 4 | 25–40 | Prescribed fire |

References
- Churchill, D.J.; Larson, A.J.; Dahlgreen, M.C.; Franklin, J.F.; Hessburg, P.F.; Lutz, J.A. Restoring forest resilience from reference spatial patterns to silvicultural prescriptions and monitoring. For. Ecol. Manag. 2013, 291, 442–457. [Google Scholar] [CrossRef]
- Covington, W.W.; Moore, M.M. Southwestern ponderosa forest structure: Changes since Euro-American settlement. J. For. 1994, 92, 39–47. [Google Scholar]
- Churchill, D.J.; Carnwath, G.C.; Larson, A.J.; Jeronimo, S.A. Historical Forest Structure, Composition, and Spatial Pattern in Dry Conifer Forests of the Western Blue Mountains, Oregon; General Technical Report PNW-GTR-956; U.S. Department of Agriculture, Forest Service, Pacific Northwest Research Station: Portland, OR, USA, 2017; 93p.
- O’Hara, K. Multiaged Silviculture: Managing for Complex Forest Stand Structures; Oxford University Press: Oxford, UK, 2014; p. 232. [Google Scholar]
- Nyland, R.D.; Kenefic, L.S.; Bohn, K.K.; Stout, S.L. Silviculture: Concepts and Applications; Waveland Press: Long Grove, IL, USA, 2016; p. 680. [Google Scholar]
- Graham, R.T.; Jain, T.B. Application of free selection in mixed forests of the inland Northwest United States. For. Ecol. Manag. 2005, 209, 131–145. [Google Scholar] [CrossRef]
- Spomer, G.G. The concepts of “interaction” and “operational environment” in environmental analyses. Ecology 1973, 54, 200–204. [Google Scholar] [CrossRef]
- Jain, T.B.; Graham, R.T.; Morgan, P. Western white pine development in relation to biophysical characteristics across different spatial scales in the Coeur d’Alene River basin in northern Idaho, U.S.A. Can. J. For. Res. 2002, 32, 1109–1125. [Google Scholar] [CrossRef]
- Jain, T.B.; Graham, R.T.; Morgan, P. Western white pine growth relative to forest Openings. Can. J. For. Res. 2004, 34, 2187–2198. [Google Scholar] [CrossRef]
- Jain, T.B.; Graham, R.T.; Sandquist, J.; Butler, M.; Brockus, K.; Frigard, D.; Cobb, D.; Sup-Han, H.; Halbrook, J.; Denner, R.; et al. Restoration of northern Rocky Mountain moist forests: Integrating fuel treatments from the site to the landscape. Integrated Restoration of Forested Ecosystems to Achieve Multiresource Benefits. In Proceedings of the 2007 National Silviculture Workshop, Ketchikan, AK, USA, 7–10 May 2007; Deal, R.L., Ed.; General Technical Report PNW-GTR-733. U.S. Department of Agriculture, Forest Service, Pacific Northwest Research Station: Portland, OR, USA, 2008; pp. 57–73. [Google Scholar]
- Jain, T.; Sikkink, P.; Keefe, R.; Byrne, J. To Masticate or Not: Useful Tips for Treating Forest, Woodland, and Shrubland Vegetation, General Technical Report RMRS-GTR-381; U.S. Department of Agriculture, Forest Service, Rocky Mountain Research Station: Fort Collins, CO, USA, 2018; p. 55.
- Haig, I.T.; Davis, K.P.; Weidman, R.H. Natural Regeneration in the Western White Pine Type; Technical Bulletin No. 767; U.S. Department of Agriculture: Washington, DC, USA, 1941; p. 99.
- SAS Institute, Inc. SAS 9.4 Software; SAS Institute, Inc.: Cary, NC, USA, 2014. [Google Scholar]
- R Core Team. R: A Language and Environment for Statistical Computing; R Foundation for Statistical Computing: Vienna, Austria, 2020; Available online: https://www.R-project.org/ (accessed on 22 April 2020).
- Schmidt, W.C.; Shearer, R.C. Larix occidentalis Nutt., (Western Larch). In Silvics of North America, Volume 1. Conifers, Agriculture Handbook 654; Burns, R.M., Honkala, B.H., Eds.; U.S. Department of Agriculture, Forest Service: Washington, DC, USA, 1990; pp. 160–172. [Google Scholar]
- Packee, E.C. Tsuga heterophylla (Raf.) Sarg., (Western Hemlock). In Silvics of North America, Volume 1. Conifers, Agriculture Handbook 654; Burns, R.M., Honkala, B.H., Eds.; U.S. Department of Agriculture, Forest Service: Washington, DC, USA, 1990; pp. 613–622. [Google Scholar]
- Graham, R.T. Pinus monticola Dougl.ex D.Don (Western White Pine). In Silvics of North America, Volume 1. Conifers, Agriculture Handbook 654; Burns, R.M., Honkala, B.H., Eds.; U.S. Department of Agriculture, Forest Service: Washington, DC, USA, 1990; pp. 385–394. [Google Scholar]
- Crane, M.F. Pteridium Aquilinum. In Fire Effects Information System (FEIS). Available online: https://www.fs.fed.us/database/feis//plants/fern/pteaqu/all.html (accessed on 9 April 2020).
- Kern, C.C.; Burton, J.I.; Raymond, P.; D’Amato, A.W.; Keeton, W.S.; Royo, A.A.; Walters, M.B.; Webster, C.R.; Willis, J.L. Challenges facing gap-based silviculture and possible solutions for mesic northern forests in North America. Forestry 2017, 90, 4–17. [Google Scholar] [CrossRef]
- Muscolo, A.; Settineri, G.; Bagnato, S.; Mercurio, R.; Sidari, M. Use of canopy gap openings to restore coniferous stands in Mediterranean environment. iForest 2017, 10, 322–327. [Google Scholar] [CrossRef]
- Raymond, P.; Bedard, S. The irregular shelterwood system as an alternative to clearcutting to achieve compositional and structural objectives in temperate mixed wood stands. For. Ecol. Manag. 2017, 398, 91–100. [Google Scholar] [CrossRef]
- Moran, E.; Lauder, J.; Musser, C.; Stathos, A.; Shu, M. The genetics of drought tolerance in conifers. New Phytol. 2017, 216, 1034–1048. [Google Scholar] [CrossRef] [PubMed]
- Restaino, C.M.; Peterson, D.L.; Littel, J. Douglas fir growth decreases with drought. PNAS 2016, 113, 9557–9562. [Google Scholar] [CrossRef] [PubMed]
- Jain, T.B.; Graham, R.T. Chapter 23: Restoring dry and moist forests of the Inland Northwestern United States. In Restoration of Boreal and Temperate Forests; Stanturf, J.A., Madsen, P., Eds.; CRC Press: Boca Raton, FL, USA, 2005; pp. 467–493. [Google Scholar]
- McGaughey, R.J. Visualizing forest stand dynamics using the stand visualization system. In Proceedings of the 1997 ACSM/ASPRS Annual Convention and Exposition, Washington, DC, USA, 7–10 April 1997; pp. 48–57. [Google Scholar]






| Canopy Opening Class (%) | No Site Preparation | Prescribed Fire | Pile and Burn | Mastication | Total |
|---|---|---|---|---|---|
| <25 | 0 | 0 | 2 | 3 | 5 |
| 25–45 | 1 | 1 | 2 | 2 | 6 |
| 45–55 | 3 | 0 | 1 | 7 | 11 |
| 55–92 | 5 | 8 | 13 | 5 | 31 |
| >92 | 0 | 5 | 2 | 5 | 12 |
| Total | 9 | 14 | 20 | 22 | 65 |
| Canopy Opening (%) | Plots (N) | Live Basal Area (m2 ha−1) | Dead Basal Area (m2 ha−1) | QMD (cm) | |||||||||
|---|---|---|---|---|---|---|---|---|---|---|---|---|---|
| Min | Max | Mean | Std Dev | Min | Max | Mean | Std Dev | Min | Max | Mean | Std Dev | ||
| <25 | 5 | 20.1 | 47.7 | 35.6 | 11.8 | 0.0 | 23.1 | 7.1 | 9.5 | 31.9 | 55.4 | 40.3 | 9.1 |
| 25–45 | 6 | 3.1 | 44.5 | 25.9 | 13.6 | 0.0 | 13.1 | 2.3 | 5.3 | 17.9 | 44.6 | 35.0 | 9.4 |
| 45.1–55 | 11 | 12.6 | 45.0 | 22.3 | 9.3 | 0.0 | 12.3 | 3.5 | 4.5 | 21.2 | 46.7 | 37.0 | 8.0 |
| 55.1–92 | 31 | 0.0 | 24.4 | 10.3 | 6.2 | 0.0 | 13.6 | 2.1 | 3.9 | 0.0 | 74.7 | 37.1 | 18.4 |
| >92 | 12 | 0.0 | 7.7 | 2.9 | 2.7 | 0.0 | 14.2 | 1.8 | 4.2 | 0.0 | 63.0 | 29.1 | 24.1 |
| Fixed Effects | N | Small Tree Cover (%) | Shrub Cover (%) | Forb Cover (%) | Fern Cover (%) | Grass Cover (%) |
|---|---|---|---|---|---|---|
| Site preparation | ||||||
| p-value | p = 0.0019 | p = 0.0066 | p = 0.2042 | p = 0.1721 | p = 0.3093 | |
| None | 9 | 26 (5) ab | 21 (11) ab | 26 (9) a | 1 (1) a | 4 (2) a |
| Prescribed fire | 14 | 19 (4) b | 31 (7) ab | 14 (5) a | 18 (6) a | 15 (6) a |
| Pile & burn | 20 | 50 (5) a | 17 (2) b | 24 (5) a | 5 (1) a | 12 (3) a |
| Mastication | 21 | 32 (6) ab | 28 (5) a | 13 (2) a | 7 (4) a | 9 (2) a |
| Canopy opening | ||||||
| p-value | p = 0.2315 | p = 0.0027 | p = 0.1164 | p = 0.0191 | p = 0.1164 | |
| <25% | 5 | 26 (12) a | 10 (0) ab | 10 (0) b | 0 (0) b | 2 (2) a |
| 25–45% | 5 | 21 (8) a | 15 (5) ab | 10 (0) ab | 14 (9) ab | 10 (0) a |
| 45.1–55% | 11 | 30 (8) a | 14 (2) b | 19 (6) b | 1 (1) b | 5 (2) a |
| 55.1–92% | 31 | 40 (4) a | 27 (4) a | 23 (4) ab | 6 (6) ab | 11 (2) a |
| >92% | 12 | 29 (6) a | 35 (7) a | 14 (4) a | 21 (8) a | 17 (6) a |
© 2020 by the authors. Licensee MDPI, Basel, Switzerland. This article is an open access article distributed under the terms and conditions of the Creative Commons Attribution (CC BY) license (http://creativecommons.org/licenses/by/4.0/).
Share and Cite
Jain, T.B.; Graham, R.T.; Byrne, J.C.; Bright, B.C. Canopy Opening and Site Preparation Effects on Conifer and Understory Establishment and Growth after an Uneven-Aged Free Selection Regeneration Harvest in the Northern Rocky Mountains, USA. Forests 2020, 11, 622. https://doi.org/10.3390/f11060622
Jain TB, Graham RT, Byrne JC, Bright BC. Canopy Opening and Site Preparation Effects on Conifer and Understory Establishment and Growth after an Uneven-Aged Free Selection Regeneration Harvest in the Northern Rocky Mountains, USA. Forests. 2020; 11(6):622. https://doi.org/10.3390/f11060622
Chicago/Turabian StyleJain, Theresa B., Russell T. Graham, John C. Byrne, and Benjamin C. Bright. 2020. "Canopy Opening and Site Preparation Effects on Conifer and Understory Establishment and Growth after an Uneven-Aged Free Selection Regeneration Harvest in the Northern Rocky Mountains, USA" Forests 11, no. 6: 622. https://doi.org/10.3390/f11060622
APA StyleJain, T. B., Graham, R. T., Byrne, J. C., & Bright, B. C. (2020). Canopy Opening and Site Preparation Effects on Conifer and Understory Establishment and Growth after an Uneven-Aged Free Selection Regeneration Harvest in the Northern Rocky Mountains, USA. Forests, 11(6), 622. https://doi.org/10.3390/f11060622

