Abstract
The greenhouse gases sequestrated by ecosystems are of great relevance to global carbon cycle and climate regulation. However, it is time-consuming and laborious to conduct sampling analysis, and it is also difficult to analyze the variation of potential sequestration of various ecosystems for greenhouse gases in China. This study used six 5-year periods of land use data for China between 1990 and 2015 to analyze the changes of three natural ecosystems (forest, grassland, and wetland). Correspondingly, the potential sequestration of the three ecosystems for three major greenhouse gases (carbon dioxide CO2, methane, and nitrous oxide) during the 25 years were simulated through a greenhouse gas value (GHGV) model. The GHGV model was found to be a reliable alternative to calculating the carbon sequestration of natural ecosystems in China. The total greenhouse gas sequestration of China’s natural ecosystems remained at around 267 Pg CO2-equivalent; however, the greenhouse gas sequestration had decreased by 3.3 Pg CO2-equivalent between 1990 and 2015. Comparison of the simulation results of the GHGV model based on the localized parameters and the model default parameters revealed that the simulated potential sequestration of the greenhouse gases for forest and wetland ecosystems (but not the grassland ecosystem) were smaller when run with localized parameters than the model default parameters. Moreover, the carbon sequestration of natural ecosystems was greater than the amount of anthropogenic carbon emissions, but the potential sequestration of natural ecosystems for greenhouse gas has become increasingly limited. Our study reveals the model can act as an important supplement for assessing the potential sequestration of the greenhouse gases for ecosystems at a regional scale.
1. Introduction
Ecosystems can absorb carbon dioxide (CO2) through photosynthesis. Carbon sequestration refers to the amount of major greenhouse gases carried or encapsulated in ecosystems in various forms [1]. The greenhouse gases sequestered by terrestrial ecosystems directly affects the concentration of greenhouse gases in the atmosphere and is one of the core concerns of biogeochemical cycling and climate change research.
Terrestrial ecosystems are important sources or sinks of greenhouse gases, and the changes of terrestrial ecosystems have important implications for greenhouse gas uptake or emissions [2,3]. Of the global terrestrial ecosystem carbon, 46% is stored in forests and 23% is stored in tropical and temperate grasslands. The remainder is stored in cultivated land, wetlands, tundra, alpine meadows, and semi-deserts [4]. Changes in ecosystem type, such as deforestation, grassland desertification, reclamation of wetlands, and returning farmland to forests and grasslands will cause corresponding changes in vegetation biomass [5]. As a result, soil organic matter decomposition and soil nitrogen cycling rates change, which in turn leads to an increase or decrease in the atmospheric concentration of CO2, methane (CH4), and nitrous oxide (N2O) [6,7,8,9,10,11]. In particular, CH4 and N2O are two major greenhouse gases [12]. In order to evaluate the warming effect of these two greenhouse gases, the intergovernmental panel on climate change (IPCC) used a concept of global warming potential (GWP). According to the IPCC’s fourth assessment report, the GWPs of CH4 and N2O are 25 times and 298 times of CO2, respectively [13].
Estimating carbon sequestration of terrestrial ecosystems is not a new research topic, but accurate estimation of carbon stocks on a large scale still faces challenges [14]. Yu et al. (2010) used carbon flux and sample data to study China’s carbon storage [15]. Tang et al. (2018) integrated more than 140,000 samples to study carbon storage of various terrestrial ecosystems in China [16]. In recent years, other major greenhouse gases carried by ecosystems, such as CH4 and N2O, have also attracted increasing amounts of attention [12]. However, the estimated differences in China’s carbon storage were also varied considerably among different studies. For example, carbon storage by vegetation ranges from 6.1 to 76.2 Pg among different studies, whereas the carbon storage of soil ranges from 43.6 to 185.7 Pg [17], implying that there remain many problems in accurately measuring the carbon storage of ecosystems.
As for CH4 and N2O, estimating their storage capacity in various ecosystems still faces several difficulties in data and methods [18,19]. Many studies have quantified the amount of greenhouse gases by analyzing the organic matter carried by ecosystems [20] or by the flux of greenhouse gases [21,22] or combining both methods. However, it is difficult to fully quantify the total amount of major greenhouse gases carried by ecosystems [23].
Anderson et al. (2011) constructed the greenhouse gas value of ecosystems (GHGV) model to refine the biomass of each part of vegetation and estimated the amount of greenhouse gases released to the atmosphere by removing ecosystems completely [24]. The GHGV model makes it possible to quantify the potential sequestration of greenhouse gases within different ecosystems, and the model has been used to conduct simulation studies at the regional or global scale [23,25].
Forest, grassland, and wetlands account for more than 60% of the total terrestrial area of China and their potential for sequestrating greenhouse gases is significant. This study aimed to introduce the use of the GHGV model to assess the potential sequestration of three major greenhouse gases (CO2, CH4, and N2O) by these three natural ecosystems. This study can provide further support for study of the climate regulation effects of natural ecosystems.
2. Materials and Methods
2.1. Ecosystem Type Data
The ecosystem type data used in this study were based on land use data and vegetation type maps. The land use data came from the resource and environmental science data center of the Chinese academy of sciences (http://www.resdc.cn/) with a spatial resolution of 1 km. There are six periods of data from 1990 to 2015, each with a time interval of 5 years [26]. This study also used China’s vegetation type map to convert the land use type to the United States geological survey (USGS) ecosystem type (Figure 1). We analyzed three natural terrestrial ecosystems in China: forest, grassland, and wetland ecosystems. Among these, forest ecosystems were divided into evergreen coniferous forest, deciduous broad-leaved forest, evergreen broad-leaved forest, mixed forest, and shrubbery. Grassland ecosystems were further divided into grassland and desert grassland according to the vegetation type map. In total, this study identified eight natural ecosystem types.
Figure 1.
Distribution patterns of forest, grassland, and wetland ecosystems in China (2015). Northeast China (NEC) Inner Mongolia (IM), Northwest China (NWC), Qinghai-Tibet (TP), Central China (CC), East China (EC), and South China (SC).
In order to better reflect the changing characteristics of the three ecosystems in different regions according to the Chinese eco-geographic map [27], China was divided into seven eco-geographic regions for this analysis: northeast region (NEC) Inner Mongolia (IM), northwest (NWC), Qinghai–Tibet region (TP), central China (CC), east China (EC), and south China (SC) (Figure 1).
2.2. Greenhouse Gas Value Model
This study quantified the potential sequestration for greenhouse gases by calculating the amount of greenhouse gases sequestrated by China’s major ecosystems [23]. The GHGV model quantifies the continuous exchange of greenhouse gases that occurs between the ecosystem and the atmosphere on a long-temporal scale after the vegetation in an area is completely removed [24].
The GHGV model is suitable for CO2, CH4, and N2O. To fully express the oxidation of various biomasses in the ecosystem and the global warming potential of greenhouse gases, the simulation time (tA) was set to 100 years. From the perspective of simulation time, GHGV corresponds to a potential sequestration, and it can be expressed as:
where represents the increase in radiative forcing caused by greenhouse gas emissions from a specific ecological type at tA during the δE period, and is the radiative forcing value caused by the CO2 pulse.
where ax is the radiance of each greenhouse gas x, and is calculated by the following formula:
where (kmol × ha−1 year−1) is the amount of transport of greenhouse gas x from the ecosystem to the atmosphere; A is the molar value of the atmosphere; and is the greenhouse gas present in the atmosphere at , which can be calculated based on the attenuation of one pulse of greenhouse gas x.
where Sx is the potential release of greenhouse gas after clearing the organic matter from the land, including oxidative combustion and decomposition of organic matter; Fx is the annual greenhouse gas flux of the ecosystem.
The greenhouse gas released in which organic matter is decomposed and burned is expressed as:
where (Mg dry matter ha−1) is the organic biomass of the ecotype p-zone, and are the proportions of the oxidative combustion and decomposition of organic matter, and (kmol x Mg−1 dry matter) represent the release ratio of the greenhouse gas x produced by the oxidative combustion and decomposition of organic matter, is usually expressed as an exponential decay function, which is the annual decomposition rate of organic matter (0 < < 1).
2.3. Localized Parameters of the Greenhouse Gas Value Model in China
Localized parameters are important for the GHGV model. China’s north–south span and east–west span are very large. The natural geographical environment of China shows a clear vertical zonal difference. We searched international journals on the large-scale ecosystems of China and extracted the results for localized GHGV model parameters; however, we found that many study results for GHGV model parameters were different and incomplete. To facilitate the unification of parameters based on the meta-analysis results of a large number of studies, the model default parameters were finally selected for these ecosystems combined with the subdivided types of ecosystems, including biomass density, surface biomass density, underground root biomass density, litter/leaf organic matter density, soil organic matter density, and annual CO2 flux (Table 1).
Table 1.
Localized parameters of greenhouse gas value (GHGV) model with natural ecosystems in China.
3. Results
3.1. Spatial and Temporal Changes of Three Natural Ecosystems in China
The distribution of each ecosystem remained basically stable during the study period, although there were some changes to their areas. The forest ecosystem was mainly distributed in EC, northern NEC, and SC, accounting for nearly 24.0% of China’s total land area. The grassland ecosystem was mainly distributed in IM, TP, and NWC, accounting for nearly 38.0% of China’s total land area. The wetland ecosystem was mainly concentrated in TP and accounted for less than 2.0% of China’s total land area (Figure 1).
The temporal dynamics of each ecosystem are shown in Figure 2. Grids with warm background colors indicate that the area of the corresponding ecosystem increased in the corresponding time period, and the cool background colors indicate that the area of the corresponding ecosystem decreases. From 1990 to 2015, the area of forest ecosystem decreased substantially, with a reduction of 14,800 km2. Of the forest ecosystem types, only shrubbery increased slightly (0.78%). The broad-leaved forest, coniferous forest, and mixed forest all showed a downward trend. The area of broad-leaved forest decreased by 4.2%. The area with the largest reduction was grassland ecosystem, and the total area of both grassland and desert grassland had decreased from 3.72 million km2 in 1990 to 3.65 million km2 in 2015. The wetland area decreased from 144,100 km2 in 1990 to 134,500 km2 in 2015. The area of forest ecosystem reached its highest level in 1995 and then declined. It remained stable after 2000. The area of grassland ecosystems was highest in 1990, and it continued to decline after 2000. The area of wetland ecosystem fluctuated from 1990 to 2015, but there was a clear declining trend (Figure 2).
Figure 2.
The area changes of the main natural ecosystems in China from 1990 to 2015. Grids with warm background color (e.g., red) indicate that the area of the corresponding ecosystem increases and the cool background color (e.g., blue) indicate that the area of the corresponding ecosystem decreases. The abbreviations in (a–g) are the Northeast China (NEC), Inner Mongolia (IM), Northwest China (NWC), Qinghai-Tibet (TP), Central China (CC), East China (EC), and South China (SC), respectively. The unit of area is 103 km2.
3.2. Potential Sequestration of Natural Ecosystems in China
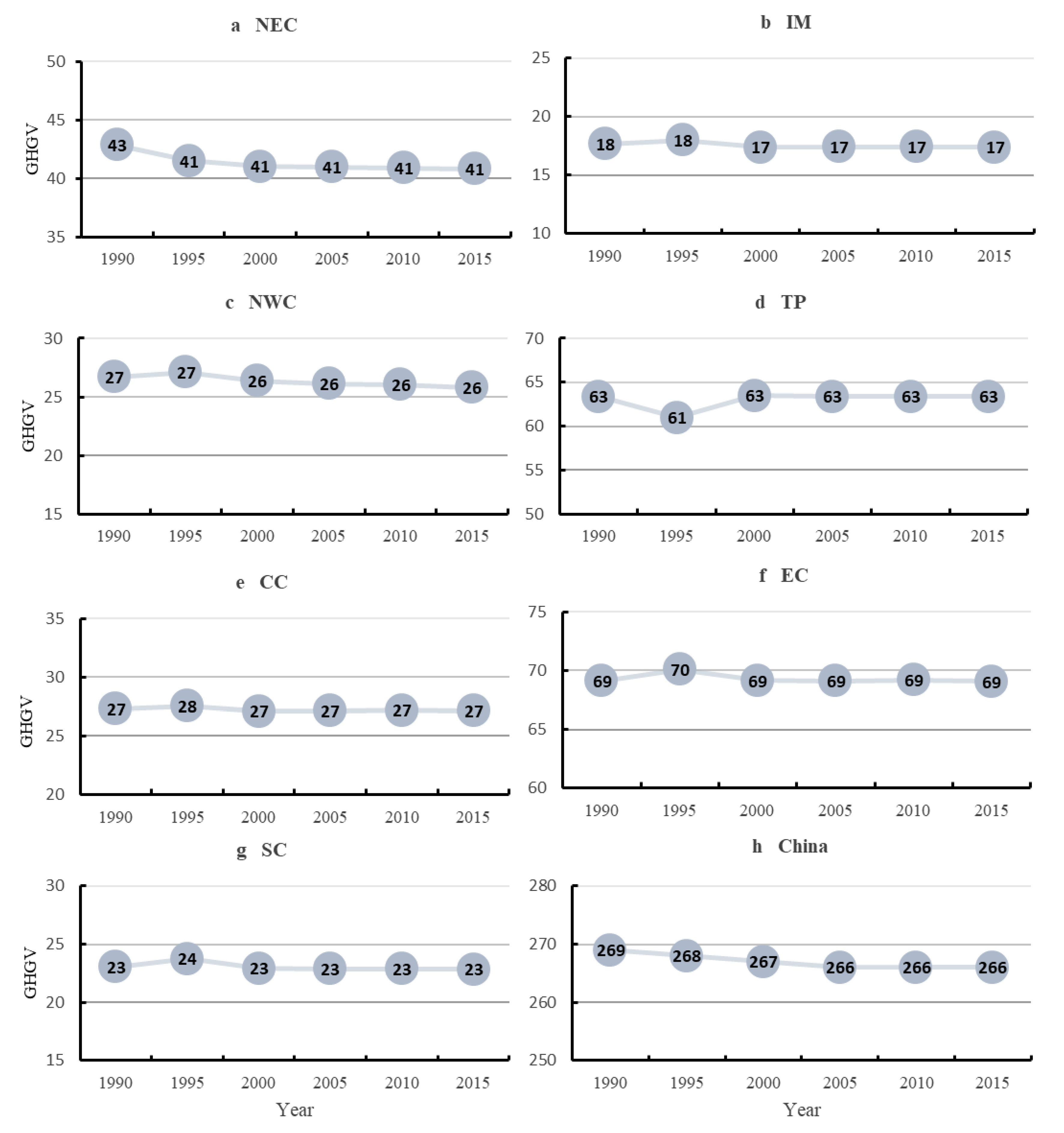
The total GHGV of China’s natural ecosystems remained around 267.0 Pg CO2-equivalent during the study period (Figure 3). From 1990 to 2015, the GHGV reduced by 3.30 Pg CO2-equivalent, indicating that the potential sequestration of greenhouse gases in China’s three natural ecosystems weakened during the study period. The region with the largest GHGV was EC and its average annual GHGV was close to 70 Pg CO2-equivalent. This was followed by TP, with a corresponding GHGV of more than 60 Pg CO2-equivalent. The GHGV for NEC was more than 40 Pg CO2-equivalent, but the GHGV declined by 4.4% from 1990 to 2015, and NWC declined by 2.9%. The GHGV in CC and SC remained between 20 and 30 Pg CO2-equivalent, and their GHGV showed a decline percentage of 0.7% and 0.9%, respectively. The lowest GHGV was about 17 Pg CO2-equivalent and found in IM, representing a decrease by 1.5%.
Figure 3.
Temporal changes of total GHGV in various regions in China from 1990 to 2015. The abbreviations in (a–g) are the Northeast China (NEC), Inner Mongolia (IM), Northwest China (NWC), Qinghai-Tibet (TP), Central China (CC), East China (EC), and South China (SC), respectively. The unit of GHGV is Pg CO2-equivalent.
From the perspective of various ecosystems, GHGV fluctuated substantially before 2000. Most of the ecosystems declined slightly in area after 2000; however, the fluctuations were moderated and remained stable (Figure 4). The GHGV of the forest ecosystem accounted for 60.3% of the total GHGV of all the three natural ecosystems. The share was 37.4% grassland ecosystems and 2.3% for wetland ecosystems.
Figure 4.
Temporal changes of GHGV for eight major natural ecosystems in China from 1990 to 2015. The abbreviations in (a–h) are Shrubbery, Mixed forest, Deciduous broad-leaved forest, Evergreen broad-leaved forest, Evergreen coniferous forest, Grassland, Desert grassland, and Wetland, respectively. The unit of GHGV is Pg CO2-equivalent.
In terms of the absolute amount of GHGV change, the GHGV of grassland and desert grassland decreased by 1.13 and 0.79 Pg CO2-equivalent mostly from 1990 to 2015. The GHGV of shrubbery increased slightly by 0.11 Pg CO2-equivalent. The remaining ecosystems also showed varying degrees of decline. In terms of gradient, wetland and deciduous broad-leaved forest showed the fastest decline in GHGV, which decreased by 6.72% and 4.20%, respectively, followed by that of desert grassland and grassland. Overall, forest, grassland, and wetland all showed a downward trend, indicating that the impact of ecosystem type conversion on potential sequestration of greenhouse gases was not optimistic.
3.3. Comparison of Results between Localized Parameters and Model Default Parameters
The GHGV model has its own parameters for various ecosystems, which can be used to simulate GHGV on a large scale. In order to obtain the potential greenhouse gas sequestration data for natural ecosystems, this study also used the model default parameters to simulate the GHGV and compared these with the results of similar ecosystems in China (Figure 5). The forest ecosystem had the greatest level of greenhouse gas sequestration. Comparison of deciduous broad-leaved forest, evergreen broad-leaved forest and mixed forest with the global temperate forest ecosystem revealed that three broad-leaved forests in China had similar GHGV values and change trends. The GHGV of forest ecosystems in China increased rapidly in the first 10 years, whereas the annual change of GHGV of the three ecosystems (deciduous broad-leaved forests, evergreen broad-leaved forests, and mixed forests) in the last 50 years increased by less than 1.5 Mg CO2 ha−1. Comparison of the GHGV of coniferous forests showed that the GHGV of China’s evergreen coniferous forests was similar to that of global coniferous forests. The GHGV of China’s shrubbery ecosystem was smaller than that of global shrubbery ecosystems both in initial values and growth magnitude. The GHGV of China’s wetland ecosystems and the global wetland ecosystems showed a downward trend in the first 40 years, and then the GHGV started to increase again. The GHGV of China’s grasslands and desert grasslands increased faster than that of global grasslands in the first 10 years and their GHGV were higher than the GHGV of global grasslands. Overall, there were many differences between the simulation results with localized parameters and the simulation results with the model default parameters for similar ecosystem types. Although the basic time trends were similar, the GHGV magnitude and the rate of GHGV change in different periods were different.
Figure 5.
Comparison of GHGV dynamics among China’s ecosystems (GHGV with localized parameters, _Ch) and similar ecosystems (GHGV with model default parameters, _Gl). The unit of GHGV is Pg CO2-equivalent ha−1.
The comparison results show that the model default parameters were not completely suitable for regional application in China. Additionally, the result with model default parameters is also an important reference for China’s GHGV. Figure 6 shows a comparison of the GHGV with localized parameters (_Ch) and the GHGV with model default parameters (_Gl). The GHGV results showed that the global results far exceeded the results for China. The multi-year average GHGV under the model default parameters reached 336 Pg CO2-equivalent. From the perspective of different ecosystems, the difference in GHGV was greatest between forest ecosystems. The GHGV with the model default parameters was 120.3 Pg CO2-equivalent higher than the GHGV with localized parameters. The multi-year average GHGV of grassland ecosystem was 107.4 Pg CO2-equivalent, and the simulation value with model default parameters was 80.5 Pg CO2-equivalent. There was little difference in the GHGV of other wetland ecosystem (wetland_Gl), and the GHGV with the model default parameters was 0.39 Pg CO2-equivalent, slightly higher than that for China.
Figure 6.
Comparison the GHGV results of the three natural ecosystems ((a) Forest, (b) Grassland, (c) Wetland)) and the sum of the three ecosystems ((d) China) in China with the two sets of model parameters (localized parameters and default parameters). The unit of GHGV is Pg CO2-equivalent.
4. Discussions
The simulation results with localization parameters and the model default parameters were quite different. Comparison of the differences between the two sets of parameters in this study (Figure 7) revealed the following main reasons. The first is the difference of ecosystem types. This study extended the three ecosystem types in the initial model to eight types. Second, in order to unify the scale, the corresponding localization parameters were also selected from national-scale studies (Table 1). Third, this study only localized several parameters related to the carbon cycle because of limited available data. Various ecosystems have their unique and complex diversity, studies on carbon cycle at large scale were limited by current data and technology, such as the limited number of stations for carbon flux observation or sample data [17,39,40]. Therefore, most studies have been focused on a regional scale or simply on specific vegetation or soil type [28,37,41]. Moreover, even for the national-scale studies, there are several differences in the ecosystem types provided by the literature [17,39,40]. The final localization parameters used in this study can be improved as the number of precise studies increases at the national scale in China. In addition, there are also many other reasons for the differences and area changes of each ecosystem in each region; the interference of human activities often had a very important impact on ecosystems [42,43]. The three natural ecosystems in China all face high pressure of cultivated land reclamation and the expansion of construction land [44].
Figure 7.
Comparison of the two sets of simulation parameters (localization parameters and model default parameters) for the three main ecosystem types, which were divided into eight ecosystems (their suffix is _Ch) based on the localization parameters and six similar ecosystems (their suffix is _Gl) based on the default parameters in China. (a) Surface biomass density (Mg ha−1) of two sets of simulation parameters; (b) Underground root biomass density (Mg ha−1) of two sets of simulation parameters; (c) Litter/leaf organic matter density (Mg ha−1) of two sets of simulation parameters; (d) Soil organic matter density (Mg ha−1) of two sets of simulation parameters; (e) CO2 flux (kmol ha−1 year−1) of two sets of simulation parameters.
From the perspective of model evaluation, the output of this study only indicates the potential sequestration under the centennial scale calculation, and it is difficult to directly correspond this with the existing study results. Here, to compare the simulation results with the findings of others, the GHGV was converted to the amount of carbon by molecular weight and unit (Table 2). Based on this study, in other ecosystems (except wetland ecosystem), CO2 accounts for a very large proportion of the other two types of greenhouse gases (CH4 and N2O), and the wetland has a limited impact on the total because of its small area. Each ecosystem in China has differences in area and carbon storage among various studies [45]. From a national total carbon storage perspective, the carbon storage (72.8 Pg C in 605 km2) simulated by localization parameters in this study was similar to the latest reported values (68.9 Pg C in 579 km2) of Tang et al. (2018) [16]; however, the carbon storage (98.4 Pg C in 605 km2) simulated by the model default parameters in this study was bigger than the results (90.0 Pg C in 662 km2) of Yu et al. (2010) [15]. Furthermore, the simulation results of this study showed that the fluctuation of fixed greenhouse gas potential of China’s forests was very small at 10-year intervals and for different forest types. However, Fang, Piao et al. (2001, 2009) concluded that the carbon sinks of China’s forests increased during this period [46,47]. Ouyang et al. (2016) also concluded that the carbon sequestration decreased in some regions in China during this 10-year period [48]. The possible reasons for this difference are not only related to the study data and the definition of forest, but also because GHGV is long-term potential simulation, which corresponds only to a steady state, and the simulated value is not sensitive to annual changes. Therefore, this study shows that the model can act as a supplement to an actual measurement or inventory study, but the simulation result cannot fully replace the analysis of actual observations. However, it should also be noted that the results of simulation studies are feasible on a large scale, and they can be compared among different regions all over the world.
Table 2.
Comparison of carbon storage results of this study with previous studies.
In addition, the results of this study indicate that, regardless of the cumulative effect of fossil fuel burning and industrial greenhouse gas emissions, the amount of greenhouse gases sequestered by China’s three main natural ecosystems in 1990 was 112 times that of fossil fuel burning and industrial greenhouse gas emissions (3.4 Pg C) [49]. By 2015, the amount of annual greenhouse gas storage was 24 times the greenhouse gas emissions by fossil fuel burning and industry [49]. This shows that the carbon storage of the natural ecosystems in China has always exceeded the amount of anthropogenic carbon emissions, and the large volume of carbon storage also suggests that the potential of carbon storage of China’s ecosystems should not be underestimated [4]; however, this advantage is decreasing. At the same time, this also shows that in the current economic development, the effect of simply regulating the greenhouse gas storage by terrestrial ecosystems and ignoring industrial emission reduction will be limited and unsustainable. In other words, the potential sequestration natural ecosystem is increasingly limited compared with the increase of anthropogenic greenhouse gas emissions.
5. Conclusions
This study used the GHGV model to simulate the potential sequestration of three major greenhouse gases (CO2, CH4, and N2O) in China’s forest, grassland, and wetland ecosystems. The results showed that the area of China’s three major ecosystems has slightly decreased between 1990 and 2015. The amount of greenhouse gases sequestrated in China’s three natural ecosystems remained between 266 and 269 Pg CO2-equivalent during the study period. This study also revealed the significant advantages of China’s ecosystems carbon stocks relative to anthropogenic carbon emissions; however, this advantage is rapidly reducing in magnitude. This reminds us that reducing anthropogenic carbon emissions is crucial in reducing atmospheric greenhouse gas concentrations.
The results of this simulation study can act to support study results obtained from sampling observations. However, there are various complex types of ecosystems in China and human disturbances are strong. The differences within the same ecosystem type are also considerable. Future research should integrate a multi-scale inventory data, field monitoring, remote sensing, and model simulation to finely assess the potential greenhouse gas sequestration of terrestrial ecosystems in China based on a more detailed grid unit under a unified framework.
Author Contributions
Conceptualization, M.L. and Y.C.; methodology, M.L., Y.C., and N.L.; software, M.L., X.L., and Y.R.; formal analysis, Y.C., M.L., Y.F., N.L., and X.T.; writing-original draft preparation, Y.C. and M.L.; writing-review and editing, Y.C.; supervision, Y.C.; funding acquisition, Y.C. All authors have read and agreed to the published version of the manuscript.
Funding
This research was funded by Natural Science Foundation of China, grant number 41671425 and 41401504.
Acknowledgments
The authors acknowledge the Resource and Environmental Science Data Center of the Chinese Academy of Sciences (http://www.resdc.cn/) for providing land use data.
Conflicts of Interest
The authors declare no conflict of interest. The funders had no role in the design of the study; in the collection, analyses, or interpretation of data; in the writing of the manuscript, or in the decision to publish the results.
References
- Schulze, E.D.; Luyssaert, S.; Ciais, P.; Freibauer, A.; Janssens, I.A.; Soussana, J.F.; Smith, P.; Grace, J.; Levin, I.; Thiruchittampalam, B.; et al. Importance of methane and nitrous oxide for Europe‘s terrestrial greenhouse-gas balance. Nat. Geosci. 2009, 4, 1685–1690. [Google Scholar] [CrossRef]
- Dijkstra, F.A.; Prior, S.A.; Runion, G.B.; Torbert, H.A.; Tian, H.; Lu, C.; Venterea, R.T. Effects of elevated carbon dioxide and increased temperature on methane and nitrous oxide fluxes: Evidence from field experiments. Front. Ecol. Environ. 2012, 10, 520–527. [Google Scholar] [CrossRef]
- Fang, J.; Zhu, J.; Yue, C.; Wang, S.; Zheng, T. Carbon Emissions from China and the World—Some Views on Relationships between Carbon Emissions and Socio-Economic Development; Science Press: Beijing, China, 2018. [Google Scholar]
- Qin, D. Facts, impact, adaptation and mitigation strategy of climate change. Bull. Natl. Nat. Sci. Found. China 2003, 17, 1–3. [Google Scholar]
- Cui, Y.; Meadows, M.E.; Li, N.; Fu, Y.; Zhao, G.; Dong, J. Land cover change intensifies actual and potential radiative forcing through CO2 in South and Southeast Asia from 1992 to 2015. Int. J. Environ. Res. Public Health 2019, 16, 2460. [Google Scholar] [CrossRef] [PubMed]
- Feldman, D.R.; Collins, W.D.; Gero, P.J.; Torn, M.S.; Mlawer, E.J.; Shippert, T.R. Observational determination of surface radiative forcing by CO2 from 2000 to 2010. Nature 2015, 519, 339. [Google Scholar] [CrossRef] [PubMed]
- Devaraju, N.; Bala, G.; Nemani, R. Modelling the influence of land-use changes on biophysical and biochemical interactions at regional and global scales. Plant Cell Environ. 2015, 38, 1931–1946. [Google Scholar] [CrossRef] [PubMed]
- Xia, H.; Qin, Y.; Feng, G.; Meng, Q.; Cui, Y.; Song, H.; Ouyang, Y.; Liu, G. Forest phenology dynamics to climate change and topography in a geographic and climate transition zone: The Qinling Mountains in central China. Forests 2019, 10, 1007. [Google Scholar] [CrossRef]
- Elrod, M.J. Greenhouse warming potentials from the infrared spectroscopy of atmospheric gases. J. Chem. Educ. 1999, 76, 1702–1705. [Google Scholar] [CrossRef]
- Shine, K.P.; Fuglestvedt, J.S.; Hailemariam, K.; Stuber, N. Alternatives to the global warming potential for comparing climate impacts of emissions of greenhouse gases. Clim. Chang. 2005, 68, 281–302. [Google Scholar] [CrossRef]
- Bai, Y.; Deng, X.; Jiang, S.; Zhao, Z.; Miao, Y. Relationship between climate change and low-carbon agricultural production: A case study in Hebei Province, China. Ecol. Indic. 2019, 105, 438–447. [Google Scholar] [CrossRef]
- Tian, H.; Lu, C.; Chen, G.; Tao, B.; Pan, S.; Del Grosso, S.J.; Xu, X.; Bruhwiler, L.; Wofsy, S.C.; Kort, E.A.; et al. Contemporary and projected biogenic fluxes of methane and nitrous oxide in North American terrestrial ecosystems. Front. Ecol. Environ. 2012, 10, 528–536. [Google Scholar] [CrossRef]
- Solomon, S. IPCC (2007): Climate change the physical science basis. In Proceedings of the AGU Fall Meeting Abstracts, San Francisco, CA, USA, 10–14 December 2007; Volume 9, p. 1. [Google Scholar]
- Bradshaw, C.J.; Warkentin, I.G. Global estimates of boreal forest carbon stocks and flux. Glob. Planet. Chang. 2015, 128, 24–30. [Google Scholar] [CrossRef]
- Yu, G.; Li, X.; Wang, Q.; Li, S. Carbon storage and its spatial pattern of terrestrial ecosystem in China. J. Resour. Ecol. 2010, 1, 97–109. [Google Scholar]
- Tang, X.; Zhao, X.; Bai, Y.; Tang, Z.; Wang, W.; Zhao, Y.; Wan, H.; Xie, Z.; Shi, X.; Wu, B. Carbon pools in China‘s terrestrial ecosystems: New estimates based on an intensive field survey. Proc. Natl. Acad. Sci. 2018, 115, 4021–4026. [Google Scholar] [CrossRef] [PubMed]
- Ni, J. Carbon storage in Chinese terrestrial ecosystems: Approaching a more accurate estimate. Clim. Chang. 2013, 119, 905–917. [Google Scholar] [CrossRef]
- Christiansen, J.R.; Gundersen, P. Stand age and tree species affect N2O and CH4 exchange from afforested soils. Biogeosciences 2011, 8, 2535–2546. [Google Scholar] [CrossRef]
- Kirschbaum, M.U.; Saggar, S.; Tate, K.R.; Thakur, K.P.; Giltrap, D.L. Quantifying the climate-change consequences of shifting land use between forest and agriculture. Sci. Total Environ. 2013, 465, 314. [Google Scholar] [CrossRef] [PubMed]
- Miles, L.; Kapos, V. Reducing greenhouse gas emissions from deforestation and forest degradation: Global land-use implications. Science 2008, 320, 1454–1455. [Google Scholar] [CrossRef]
- Lal, R. Soil carbon sequestration to mitigate climate change. Geoderma 2014, 123, 1–22. [Google Scholar] [CrossRef]
- Eggleston, S.; Buendia, L.; Miwa, K. IPCC Guidelines for National Greenhouse Gas Inventories; Institute for Global Environmental Strategies: Kanagawa, Japan, 2006. [Google Scholar]
- Bayer, A.D.; Pugh, T.A.; Krause, A.; Arneth, A. Historical and future quantification of terrestrial carbon sequestration from a Greenhouse-Gas-Value perspective. Glob. Environ. Chang. 2015, 32, 153–164. [Google Scholar] [CrossRef]
- Anderson-Teixeira, K.J.; DeLucia, E. The greenhouse gas value of ecosystems. Glob. Chang. Biol. 2011, 17, 425–438. [Google Scholar] [CrossRef]
- Anderson-Teixeira, K.J.; Snyder, P.K.; Twine, T.E.; Cuadra, S.V.; Costa, M.H.; DeLucia, E.H. Climate-regulation services of natural and agricultural ecoregions of the Americas. Nat. Clim. Chang. 2012, 2, 177. [Google Scholar] [CrossRef]
- Liu, J.; Kuang, W.; Zhang, Z.; Xu, X.; Qin, Y.; Ning, J.; Zhou, W.; Zhang, S.; Li, R.; Yan, C.; et al. Spatiotemporal characteristics, patterns, and causes of land-use changes in China since the late 1980s. J. Geogr. Sci. 2014, 24, 195–210. [Google Scholar] [CrossRef]
- Zheng, D.; Li, B. Chinese Eco-Geographic Map; Beijing Commercial Press: Beijing, China, 2005. [Google Scholar]
- Zhou, Y.; Yu, Z.; Zhao, S. Carbon storage and budget of major Chinese forest types. Acta Phytoecol. Sin. 2000, 24, 518–522. [Google Scholar]
- Huang, M.; Ji, J.; Cao, M.; Li, K. Modeling study of vegetation shoot and root biomass in China. Acta Ecol. Sin. 2006, 26, 4156–4163. [Google Scholar]
- Li, K.; Wang, S.; Cao, M. Carbon storage of Chinese vegetation and soil. Sci. Sin. (Terrae) 2003, 33, 72–80. [Google Scholar]
- Wang, S.; Zhou, C. Estimating soil carbon reservior of terrestrial ecosystem in China. Geogr. Res. 1999, 18, 349–356. [Google Scholar]
- Fang, J.; Guo, Z.; Piao, S.; Chen, A. Estimation of carbon sinks of terrestrial vegetation in China from 1981 to 2000. Sci. Sin. (Terrae) 2007, 37, 804–812. [Google Scholar]
- Zhong, H.; Fan, J.; Yu, G.; Han, B.; Hu, Z.; Yue, Y.; Liang, B. Progress of carbon cycle research in grassland ecosystem. Acta Agrestia Sin. 2005, 13, 67–73. [Google Scholar]
- Fan, J.; Zhong, H.; Liang, B.; Shi, P.; Yu, G. Carbon stock in grassland ecosystem and its affecting factors. Chin. J. Grassl. 2003, 25, 52–59. [Google Scholar]
- Fang, J.; Liu, G.; Xu, S. China‘s terrestrial ecosystem carbon pool. In Research on Hot Issues in Modern Ecology; Science and technology of China Press: Beijing, China, 1996; pp. 251–276. [Google Scholar]
- Zhao, C.; Liu, G.; Yang, K.; Nie, H.; Peng, M.; Li, K.; Liu, F.; Li, Y. Estimation of soil carbon storage and its change since 1986 in Zhalong wetland and its surrounding areas, Heilongjiang Province. Earth Sci. Front. 2011, 18, 27–33. [Google Scholar]
- Zheng, Y.; Niu, Z.; Gong, P.; Dai, Y.; Shangguan, W. Preliminary estimation of the organic carbon pool in China‘s wetlands. Chin. Sci. Bull. 2013, 58, 662–670. [Google Scholar] [CrossRef]
- Van Der Laan-Luijkx, I.T.; Van Der Velde, I.R.; Van Der Veen, E.; Tsuruta, A.; Stanislawska, K.; Babenhauserheide, A.; Zhang, H.; Liu, Y.; He, W.; Chen, H.; et al. The carbontracker data assimilation shell(CTDAS) v1.0: Implementation and global carbon balance 2001–2015. Geosci. Model Dev. 2017, 10, 2785–2800. [Google Scholar] [CrossRef]
- Lai, L.; Huang, X.; Yang, H.; Chuai, X.; Zhang, M.; Zhong, T.; Chen, Z.; Chen, Y.; Wang, X.; Thompson, J.R. Carbon emissions from land-use change and management in China between 1990 and 2010. Sci. Adv. 2016, 2, e1601063. [Google Scholar] [CrossRef]
- Li, K.; Wang, S.; Cao, M. Vegetation and soil carbon storage in China. Sci. China Ser. D Earth Sci. 2004, 47, 49–57. [Google Scholar] [CrossRef]
- Wu, H.; Guo, Z.; Peng, C. Distribution and storage of soil organic carbon in China. Glob. Biogeochem. Cycles 2003, 17. [Google Scholar] [CrossRef]
- Lin, D.; Xia, J.; Wan, S. Climate warming and biomass accumulation of terrestrial plants: A meta-analysis. New Phytol. 2010, 188, 187–198. [Google Scholar] [CrossRef]
- Song, B.; Niu, S.; Wang, S. Precipitation regulates plant gas exchange and its long-term response to climate change in a temperate grassland. J. Plant Ecol. 2016, 9, 531–541. [Google Scholar] [CrossRef]
- Cui, Y.; Liu, J.; Xu, X.; Dong, J.; LI, N.; Fu, Y.; Lu, S.; Xia, H.; Si, B.; Xiao, X. Accelerating cities in an unsustainable landscape: Urban expansion and cropland occupation in China, 1990–2030. Sustainability 2019, 11, 2283. [Google Scholar] [CrossRef]
- Lu, J.; Feng, Z.; Zhu, Y. Estimation of forest biomass and carbon storage in China based on forest resources inventory data. Forests 2019, 10, 650. [Google Scholar] [CrossRef]
- Fang, J.; Chen, A.; Peng, C.; Zhao, S.; Ci, L. Changes in forest biomass carbon storage in China between 1949 and 1998. Science 2001, 292, 2320–2322. [Google Scholar] [CrossRef] [PubMed]
- Piao, S.; Fang, J.; Ciais, P.; Peylin, P.; Huang, Y.; Sitch, S.; Wang, T. The carbon balance of terrestrial ecosystems in China. Nature 2009, 458, 1009. [Google Scholar] [CrossRef] [PubMed]
- Ouyang, Z.; Zheng, H.; Xiao, Y.; Polasky, S.; Liu, J.; Xu, W.; Wang, Q.; Zhang, L.; Xiao, Y.; Rao, E.; et al. Improvements in ecosystem services from investments in natural capital. Science (New York, N.Y.) 2016, 352, 1455–1459. [Google Scholar] [CrossRef] [PubMed]
- CAIT Climate Data Explorer. Country Greenhouse Gas Emissions; World Resources Institute: Washington, DC, USA, 2017. [Google Scholar]
© 2020 by the authors. Licensee MDPI, Basel, Switzerland. This article is an open access article distributed under the terms and conditions of the Creative Commons Attribution (CC BY) license (http://creativecommons.org/licenses/by/4.0/).






