Temperature Reduction in Urban Surface Materials through Tree Shading Depends on Surface Type Not Tree Species
Abstract
1. Introduction
2. Materials and Methods
2.1. Study Area
2.2. Tree Morphological Measurements
2.3. Surface and Globe Temperature Measurements
2.4. Data Analysis
3. Results
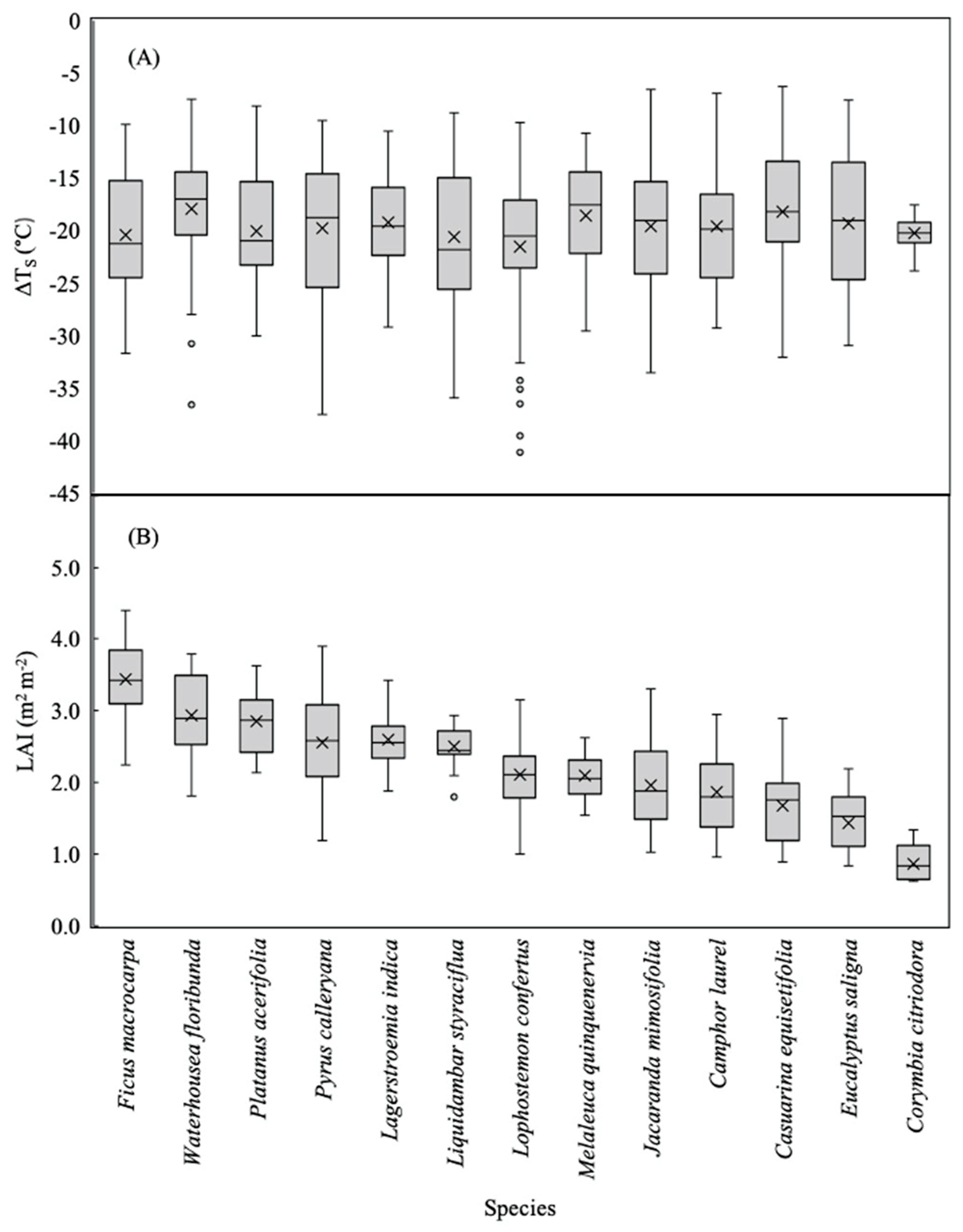
3.1. Relationships of Physical Traits
3.2. Influence of Urban Trees on Different Types of Temperature
4. Discussion
4.1. Influence of Urban Trees on Surface and Globe Temperature
4.2. Effect of Surface Types on Surface and Globe Temperature
4.3. Limitations of the Study
5. Conclusions
Supplementary Materials
Author Contributions
Funding
Acknowledgments
Conflicts of Interest
References
- Parsaee, M.; Joybari, M.; Mirzaei, P.; Haghighat, F. Urban heat Island, urban climate maps and urban development policies and action plans. Environ. Technol. Innov. 2019, 14, 100341. [Google Scholar] [CrossRef]
- Iping, A.; Kidston-Lattari, J.; Simpson-Young, A.; Duncan, E.; McManus, P. (Re) Presenting urban heat Islands in Australian cities: A study of media reporting and implications for urban heat and climate change debates. Urban Clim. 2019, 27, 420–429. [Google Scholar] [CrossRef]
- Gartland, L. Heat Islands: Understanding and Mitigating Heat in Urban Areas; Earthscan: London, UK, 2008; ISBN 978-184-407-250-7. [Google Scholar]
- Hopkins, G.; Goodwin, C. Living Architecture: Green Roofs and Walls; CSIRO Pub.: Collingwood, Australia, 2011; ISBN 978-064-309-663-9. [Google Scholar]
- Salamanca, F.; Georgescu, M.; Mahalov, A.; Moustaoui, M.; Wang, M. Anthropogenic heating of the urban environment due to air conditioning. J. Geophys. Res. Atmos. 2014, 119, 5949–5965. [Google Scholar] [CrossRef]
- Priyadarsini, R. Urban heat Island and its impact on building energy consumption. Adv. Build. Energy Res. 2009, 3, 261–270. [Google Scholar] [CrossRef]
- Yang, F.; Lau, S.; Qian, F. Thermal comfort effects of urban design strategies in high-rise urban environments in a sub-tropical climate. Archit. Sci. Rev. 2011, 54, 285–304. [Google Scholar] [CrossRef]
- Zhao, Q.; Wentz, E.; Murray, A. Tree shade coverage optimization in an urban residential environment. Build. Environ. 2017, 115, 269–280. [Google Scholar] [CrossRef]
- Akbari, H.; Kurn, D.M.; Bretz, S.E.; Hanford, J.W. Peak power and cooling energy savings of shade trees. Energy Build. 1997, 25, 139–148. [Google Scholar] [CrossRef]
- Wang, Z.; Zhao, X.; Yang, J.; Song, J. Cooling and energy saving potentials of shade trees and urban lawns in a desert city. Appl. Energy 2016, 161, 437–444. [Google Scholar] [CrossRef]
- Nowak, D.; Appleton, N.; Ellis, A.; Greenfield, E. Residential building energy conservation and avoided power plant emissions by urban and community trees in the United States. Urban For. Urban Green. 2017, 21, 158–165. [Google Scholar] [CrossRef]
- Wang, X.; Yao, J.; Yu, S.; Miao, C.; Chen, W.; He, X. Street trees in a chinese forest city: Structure, benefits and costs. Sustainability 2018, 10, 674. [Google Scholar] [CrossRef]
- Staats, H.; Swain, R. Cars, trees, and house prices: Evaluation of the residential environment as a function of numbers of cars and trees in the street. Urban For. Urban Green. 2020, 47, 126554. [Google Scholar] [CrossRef]
- Zhang, Y.; Dong, R. Impacts of street-visible greenery on housing prices: Evidence from a hedonic price model and a massive street view image dataset in Beijing. Isprs Int. J. Geo-Inf. 2018, 7, 104. [Google Scholar] [CrossRef]
- Matzarakis, A.; Rutz, F.; Mayer, H. Modelling radiation fluxes in simple and complex environments—Application of the rayman model. Int. J. Biometeorol. 2006, 51, 323–334. [Google Scholar] [CrossRef] [PubMed]
- Astell-Burt, T.; Feng, X. Urban green space, tree canopy and prevention of cardiometabolic diseases: A multilevel longitudinal study of 46 786 Australians. Int. J. Epidemiol. 2020, 49, 926–933. [Google Scholar] [CrossRef] [PubMed]
- Jennings, V.; Gragg, R.; Brown, C.; Hartel, D.; Kuehler, E.; Sinykin, A.; Johnson, E.; Kondo, M. Structural characteristics of tree cover and the association with cardiovascular and respiratory health in tampa, FL. J. Urban Health 2019, 96, 669–681. [Google Scholar] [CrossRef]
- Fahmy, M.; Sharples, S.; Yahiya, M. LAI based trees selection for mid latitude urban developments: A microclimatic study in Cairo, Egypt. Build. Environ. 2010, 45, 345–357. [Google Scholar] [CrossRef]
- Lin, B.-S.; Lin, Y.-J. Cooling effect of shade trees with different characteristics in a subtropical urban park. HortScience 2010, 45, 83–86. [Google Scholar] [CrossRef]
- Sanusi, R.; Johnstone, D.; May, P.; Livesley, S.J. Microclimate benefits that different street tree species provide to sidewalk pedestrians relate to differences in plant area index. Landsc. Urban Plan. 2017, 157, 502–511. [Google Scholar] [CrossRef]
- Armson, D.; Stringer, P.; Ennos, A. The effect of tree shade and grass on surface and globe temperatures in an urban area. Urban For. Urban Green. 2012, 11, 245–255. [Google Scholar] [CrossRef]
- Feyisa, G.L.; Dons, K.; Meilby, H. Efficiency of parks in mitigating urban heat island effect: An example from Addis Ababa. Landsc. Urban Plan. 2014, 123, 87–95. [Google Scholar] [CrossRef]
- Tan, Z.; Lau, K.K.-L.; Ng, E. Urban tree design approaches for mitigating daytime urban heat island effects in a high-density urban environment. Energy Build. 2016, 114, 265–274. [Google Scholar] [CrossRef]
- Yusof, N.S.; Hussain, N.H.M.; Rusli, N. Analysing street heritage trees surface temperature for UHI mitigation using remote sensing and GIS application. Malays. J. Sustain. Environ. 2019, 6, 77. [Google Scholar] [CrossRef][Green Version]
- Yuan, F.; Bauer, M.E. Comparison of impervious surface area and normalized difference vegetation index as indicators of surface urban heat island effects in landsat imagery. Remote Sens. Environ. 2007, 106, 375–386. [Google Scholar] [CrossRef]
- Barbierato, E.; Bernetti, I.; Capecchi, I.; Saragosa, C. Quantifying the impact of trees on land surface temperature: A downscaling algorithm at city-scale. Eur. J. Remote Sens. 2019, 52, 74–83. [Google Scholar] [CrossRef]
- Trlica, A.; Hutyra, L.; Schaaf, C.; Erb, A.; Wang, J. Albedo, land cover, and daytime surface temperature variation across an urbanized landscape. Earth’s Future 2017, 5, 1084–1101. [Google Scholar] [CrossRef]
- Santamouris, M.; Ding, L.; Fiorito, F.; Oldfield, P.; Osmond, P.; Prasad, D.; Synnefa, A. Passive and active cooling for the built environment-analysis and assessment of the cooling potential and mitigation technologies using performance data from 220 large scale projects. Sol. Energy 2017, 154, 14–33. [Google Scholar] [CrossRef]
- Zhou, D.; Zhao, S.; Liu, S.; Zhang, L.; Zhu, C. Surface urban heat island in China’s 32 major cities: Spatial patterns and drivers. Remote Sens. Environ. 2014, 152, 51–61. [Google Scholar] [CrossRef]
- Climate Statistics for Australian Locations. Available online: http://www.bom.gov.au/climate/averages/tables/cw_066062.shtml (accessed on 19 June 2020).
- Bureau of Meteorology. Greater Sydney in May 2020: Above Average Rainfall and Cooler Days. Available online: http://www.bom.gov.au/climate/current/month/nsw/sydney.shtml (accessed on 3 February 2020).
- Sidiqui, P.; Huete, A.; Devadas, R. Spatio-temporal mapping and monitoring of urban heat Island patterns over Sydney, Australia using MODIS and Landsat-8. In Proceedings of the 4th International Workshop on Earth Observation and Remote Sensing Applications, Guangzhou, China, 4–6 July 2016. [Google Scholar]
- Amati, M.; Boruff, B.; Caccetta, P.; Devereux, D.; Kaspar, J.; Phelan, K.; Saunders, A. Where should All the Trees Go? Investigating the Impact of Tree Canopy Cover on Socio-Economic Status and Wellbeing in LGA’s; Horticulture Innovation Australia: Sydney, Australia, 2017. [Google Scholar]
- Greater Sydney Commission. The Pulse of Greater Sydney; Greater Sydney Commission: Parramatta, Australia, 2019. [Google Scholar]
- The Urban Developer. How Western Sydney has Transformed over the Last Decade. Available online: https://theurbandeveloper.com/articles/how-western-sydney-has-transformed-over-the-last-decade (accessed on 10 February 2020).
- Regional Population Growth, Australia, 2018–2019. Available online: https://www.abs.gov.au/AUSSTATS/abs@.nsf/mf/3218.0 (accessed on 9 April 2020).
- Pfautsch, S.; Peri, P.; Macfarlane, C.; van Ogtrop, F.; Adams, M. Relating water use to morphology and environment of Nothofagus from the world’s most southern forests. Trees 2013, 28, 125–136. [Google Scholar] [CrossRef]
- Fang, M.; Yue, G.; Yu, Q. The study on an application of otsu method in canny operator. In Proceedings of the International Symposium on Information Processing, Huangshan, China, 21–23 August 2009; pp. 109–112. [Google Scholar]
- da Silva, T.; Santos, G.; Duarte, A.; Turco, S.; Cruz Neto, J.; Jardim, A.; dos Santos, T. Black globe temperature from meteorological data and a bioclimatic analysis of the brazilian northeast for saanen goats. J. Therm. Biol. 2019, 85, 102408. [Google Scholar] [CrossRef] [PubMed]
- Hardin, P.; Jensen, R. The effect of urban leaf area on summertime urban surface kinetic temperatures: A terre haute case study. Urban For. Urban Green. 2007, 6, 63–72. [Google Scholar] [CrossRef]
- Xiao, X.; Dong, L.; Yan, H.; Yang, N.; Xiong, Y. The influence of the spatial characteristics of urban green space on the urban heat Island effect in Suzhou industrial park. Sustain. Cities Soc. 2018, 40, 428–439. [Google Scholar] [CrossRef]
- Napoli, M.; Massetti, L.; Brandani, G.; Petralli, M.; Orlandini, S. Modeling tree shade effect on urban ground surface temperature. J. Environ. Qual. 2016, 45, 146–156. [Google Scholar] [CrossRef]
- Gillner, S.; Vogt, J.; Tharang, A.; Dettmann, S.; Roloff, A. Role of street trees in mitigating effects of heat and drought at highly sealed urban sites. Landsc. Urban Plan. 2015, 143, 33–42. [Google Scholar] [CrossRef]
- Gómez-Muñoz, V.; Porta-Gándara, M.; Fernández, J. Effect of tree shades in urban planning in hot-arid climatic regions. Landsc. Urban Plan. 2010, 94, 149–157. [Google Scholar] [CrossRef]
- Coakley, J. Reflectance and albedo, surface. Encycl. Atmos. Sci. 2003, 1914–1923. [Google Scholar] [CrossRef]
- Akbari, H. Cooling our Communities: A Guidebook on Tree Planting and Light-Colored Surfacing; U.S. Environmental Protection Agency, Office of Policy Analysis, Climate Change Division: Washington, DC, USA, 1992. [Google Scholar]
- Zeman, F. Metropolitan Sustainability; Woodhead Pub.: Sawston, Cambridge, UK, 2012; p. 112. [Google Scholar]
- Tripathi, R.; Katiyar, T. Effect of mulches on the thermal regime of soil. Soil Tillage Res. 1984, 4, 381–390. [Google Scholar] [CrossRef]
- Gascoin, S.; Ducharne, A.; Ribstein, P.; Perroy, E.; Wagnon, P. Sensitivity of bare soil albedo to surface soil moisture on the moraine of the zongo glacier (Bolivia). Geophys. Res. Lett. 2009, 36. [Google Scholar] [CrossRef]
- Hulley, M. The urban heat Island effect: Causes and potential solutions. Metrop. Sustain. 2012, 79–98. [Google Scholar] [CrossRef]
- Panagakis, P. Black-globe temperature effect on short-term heat stress of dairy ewes housed under hot weather conditions. Small Rumin. Res. 2011, 100, 96–99. [Google Scholar] [CrossRef]
- Downs, N.; Baldwin, L.; Parisi, A.; Butler, H.; Vanos, J.; Beckman, M.; Harrison, S. Comparing the annualised dynamic shade characteristics of twenty-one tree canopies across twenty-six municipalities in a high ambient uv climate, queensland-Australia. Appl. Geogr. 2019, 108, 74–82. [Google Scholar] [CrossRef]
- Downs, N.; Butler, H.; Baldwin, L.; Parisi, A.; Amar, A.; Vanos, J.; Harrison, S. A site-specific standard for comparing dynamic solar ultraviolet protection characteristics of established tree canopies. MethodsX 2019, 6, 1683–1693. [Google Scholar] [CrossRef] [PubMed]
- Rahman, M.; Armson, D.; Ennos, A. A comparison of the growth and cooling effectiveness of five commonly planted urban tree species. Urban Ecosyst. 2014, 18, 371–389. [Google Scholar] [CrossRef]





| Species | n | Mean DBH ± SD (m) | Min /Max DBH (m) | Mean Tree Height ± SD (m) | Min/Max Tree Height (m) | Mean AC ± SD (m2) | Mean LAI ± SD (m2 m−2) |
|---|---|---|---|---|---|---|---|
| Camphor laurel | 48 | 0.72 ± 0.20 | 0.48/1.31 | 13.3 ± 2.7 | 9.8/22.3 | 74.5 ± 26.3 | 1.9 ± 0.5 |
| Casuarina equisetifolia | 58 | 0.45 ± 0.24 | 0.06/1.12 | 14.0 ± 5.9 | 3.8/22.8 | 59.1 ± 39.6 | 1.7 ± 0.5 |
| Corymbia citriodora | 15 | 0.31 ± 0.20 | 0.09/0.70 | 11.0 ± 4.4 | 5.7/21.0 | 24.2 ± 10.3 | 0.9 ± 0.2 |
| Eucalyptus saligna | 19 | 0.64 ± 0.22 | 0.38/1.30 | 26.3 ± 4.3 | 17.8/35.3 | 92.3 ± 46.9 | 1.4 ± 0.3 |
| Ficus macrocarpa | 48 | 0.26 ± 0.17 | 0.06/0.93 | 9.3 ± 4.4 | 4.1/21.0 | 29.6 ± 22.6 | 3.4 ± 0.5 |
| Jacaranda mimosifolia | 40 | 0.51 ± 0.26 | 0.09/0.96 | 13.5 ± 4.5 | 5.6/22.74 | 99.5 ± 85.5 | 2.0 ± 0.6 |
| Lagerstroemia | 55 | 0.12 ± 0.05 | 0.03/0.25 | 8.2 ± 2.8 | 3.9/13.5 | 12.9 ± 8.6 | 2.6 ± 0.4 |
| Liquidambar styraciflua | 13 | 0.59 ± 0.30 | 0.10/1.12 | 16.8 ± 5.7 | 5.6/27.9 | 95.5 ± 74.4 | 2.5 ± 0.3 |
| Lophostemon confertus | 49 | 0.35 ± 0.33 | 0.04/1.26 | 12.5 ± 6.9 | 4.6/28.0 | 36.1 ± 43.4 | 2.1 ± 0.4 |
| Melaleuca quinquenervia | 19 | 0.84 ± 0.33 | 0.34/1.60 | 17.1 ± 2.5 | 13.8/24.0 | 55.1 ± 23.4 | 2.1 ± 0.3 |
| Platanus acerifolia | 17 | 0.52 ± 0.26 | 0.08/0.97 | 16.8 ± 5.1 | 4.3/24.8 | 96.5 ± 44.5 | 2.8 ± 0.4 |
| Pyrus calleryana | 46 | 0.19 ± 0.13 | 0.04/0.68 | 8.0 ± 2.2 | 4.5/13.3 | 17.8 ± 18.4 | 2.6 ± 0.8 |
| Waterhousea floribunda | 44 | 0.13 ± 0.07 | 0.04/0.29 | 7.3 ± 1.8 | 4.0/12.2 | 9.4 ± 6.8 | 2.9 ± 0.5 |
| Surface Types | Mean TSS ± SD (°C) | Min /Max TSS (°C) | Mean TSL ± SD (°C) | Min/Max TSL (°C) | Mean ΔTS ± SD (°C) | Min/Max ΔTS (°C) |
|---|---|---|---|---|---|---|
| Bare soil | 33.0 ± 2.9 | 27.5/40.4 | 55.2 ± 5.9 | 44.8/69.9 | −22.1 ± 5.5 | −9.9/−34.3 |
| Grass | 31.0 ± 2.7 | 22.5/40.2 | 49.4 ± 5.1 | 30.1/64.0 | −18.5 ± 4.8 | −6.3/−30.9 |
| Bark mulch | 33.4 ± 3.1 | 27.6/42.5 | 58.2 ± 8.1 | 42.8/76.9 | −24.8 ± 7.1 | −8.2/−41.1 |
| Pavers | 33.1 ± 4.8 | 20.4/54.7 | 50.1 ± 5.6 | 33.6/60.5 | −17.5 ± 6.0 | −7.0/−32.0 |
| Bitumen | 33.5 ± 4.2 | 25.9/44.9 | 54.5 ± 6.2 | 40.7/69.6 | −20.9 ± 5.8 | −8.6/−35.9 |
| Pavers | Grass | Bitumen | Bark Mulch | Bare Soil | |
|---|---|---|---|---|---|
| (a) Surface temperature differential (ΔTS) | |||||
| Pavers | 0.5917 | 0.2432 | <0.0001 | <0.0001 | |
| Grass | 0.5917 | <0.0001 | <0.0001 | 0.0187 | |
| Bitumen | 0.2432 | <0.0001 | <0.0001 | 0.8692 | |
| Bark mulch | <0.0001 | <0.0001 | <0.0001 | <0.0001 | |
| Bare soil | <0.0001 | 0.0187 | 0.8692 | <0.0001 | |
| (b) Black globe temperature differential (ΔTG) | |||||
| Pavers | <0.0001 | <0.0001 | 0.0096 | <0.0001 | |
| Grass | <0.0001 | <0.0001 | <0.0001 | <0.0001 | |
| Bitumen | <0.0001 | <0.0001 | <0.0001 | 0.0166 | |
| Bark mulch | 0.0096 | <0.0001 | <0.0001 | <0.0001 | |
| Bare soil | <0.0001 | <0.0001 | 0.0166 | <0.0001 | |
| Surface Types | Mean GTS ± SD (°C) | Min /Max GTS (°C) | Mean GTSL ± SD (°C) | Min/Max GTSL (°C) | Mean ΔTG ± SD (°C) | Min/Max ΔTG (°C) |
|---|---|---|---|---|---|---|
| Bare soil | 34.4 ± 2.2 | 26.3/41.5 | 41.5 ± 2.2 | 33.4/48.6 | −7.2 ± 0.1 | −7.3/−7.0 |
| Grass | 33.3 ± 3.2 | 25.3/43.1 | 36.5 ± 3.2 | 28.4/46.3 | −3.2 ± 0.1 | −3.4/−3.0 |
| Bark mulch | 37.9 ± 2.8 | 32.2/43.0 | 48.8 ± 2.8 | 39.3/58.3 | −10.9 ± 0.3 | −10.3/−11.5 |
| Pavers | 36.1 ± 2.4 | 29.6/39.6 | 40.4 ± 2.4 | 33.8/43.9 | −4.3 ± 0.1 | −4.3/−4.3 |
| Bitumen | 36.9 ± 2.2 | 33.4/44.5 | 46.1 ± 2.2 | 38.1/54.1 | −9.5 ± 0.2 | −10.5/−8.5 |
Publisher’s Note: MDPI stays neutral with regard to jurisdictional claims in published maps and institutional affiliations. |
© 2020 by the authors. Licensee MDPI, Basel, Switzerland. This article is an open access article distributed under the terms and conditions of the Creative Commons Attribution (CC BY) license (http://creativecommons.org/licenses/by/4.0/).
Share and Cite
T.U.N., K.; M.G., T.; S., P. Temperature Reduction in Urban Surface Materials through Tree Shading Depends on Surface Type Not Tree Species. Forests 2020, 11, 1141. https://doi.org/10.3390/f11111141
T.U.N. K, M.G. T, S. P. Temperature Reduction in Urban Surface Materials through Tree Shading Depends on Surface Type Not Tree Species. Forests. 2020; 11(11):1141. https://doi.org/10.3390/f11111141
Chicago/Turabian StyleT.U.N., Kaluarachichi, Tjoelker M.G., and Pfautsch S. 2020. "Temperature Reduction in Urban Surface Materials through Tree Shading Depends on Surface Type Not Tree Species" Forests 11, no. 11: 1141. https://doi.org/10.3390/f11111141
APA StyleT.U.N., K., M.G., T., & S., P. (2020). Temperature Reduction in Urban Surface Materials through Tree Shading Depends on Surface Type Not Tree Species. Forests, 11(11), 1141. https://doi.org/10.3390/f11111141

