Abstract
Bioenergy crops are considered as potential biomass feedstocks to support the bioenergy industry in the southern US. Even though there are suitable areas to grow bioenergy crops, commercial scale production of bioenergy crops has not been established to meet the increasing energy demand. Establishing bioenergy crops in the region requires landowners’ participation and it is crucial to understand whether they intend to promote bioenergy crop production. This study evaluated landowners’ perception of bioenergy and their willingness to supply lands for bioenergy crops in northern Kentucky. A questionnaire survey of randomly selected landowners was administered in four selected counties. Results indicated that landowners’ land use decisions for bioenergy crop production were based on their current land management practices, socio-economic and environmental factors. Overall, there was a low willingness of landowners to participate in bioenergy crop production. Those who were interested indicated that a higher biomass price would be required to promote bioenergy crops on their land. This information could be useful to plan for policies that provide economic incentives to landowners for large-scale production of bioenergy crops in the study area and beyond. Further, results showed how landowners’ opinion on bioenergy affected their preferences for land use decisions. Younger landowners with positive attitude towards bioenergy were more willing to promote bioenergy crops. This information could be useful to develop outreach programs for landowners to encourage them to promote bioenergy crops in the study area.
1. Introduction
There is a substantial demand for bioenergy in the United States (US) for its potential to displace fossil fuels, enhance energy security, promote environmental benefits, and provide opportunities for economic development. Bioenergy has been promoted by federal policies, including the most recent Energy Independence and Security Act (EISA) of 2007 that set a mandatory Renewable Fuel Standard (RFS) requiring energy producers to use at least 36 billion gallons of biofuels in 2022 [1]. Similarly, the Food Conservation and Energy Act of 2008 (the 2008 Farm Bill) has provided various provisions and incentives to promote biomass and bioenergy. The Bioenergy Crop Assistance Program (BCAP) established under the 2008 Farm Bill and reauthorized in the 2014 Farm Bill and the 2018 Farm bill provides financial assistance to farmers to establish, cultivate, and harvest biomass to energy generation [2]. Recently, policies have promoted improvements in crop productivity as well as farmland, forest, and land management to support the bioenergy industry. As a result, establishing bioenergy crops has been identified as a significant source of bioenergy with the potential to supply adequate feedstock to sustain the bioenergy industry [3].
Interest in bioenergy has increased in the southern US as well, mainly because of a warm and wet climate that is conducive to highly productive bioenergy crops [4]. However, establishing bioenergy crops in this region will require participation from private landowners as they own most of the land [5]. It is crucial, therefore, to estimate the availability of biomass feedstocks from private land by understanding to what extent and under which conditions landowners intend to harvest bioenergy feedstocks from their property. Even though bioenergy crops can potentially provide a sustainable feedstock to support the bioenergy industry, commercial scale production of bioenergy crops (especially short rotation woody crops) has not been established yet [6]. Further complicating the issue, introducing bioenergy crops to conventional farming practices will require major changes in land use and management practices, and it is currently restricted by several factors such as uncertain economic returns for landowners, inadequate knowledge/awareness about bioenergy and their willingness to promote bioenergy crops, and low-cost fossil fuels such as natural gas and coal [5,7,8]. Finally, insufficient economic and policy incentives along with uncertainty in the biomass market, make bioenergy crops less attractive to landowners. Since there is not a well-defined market for biomass, determining landowner willingness to produce bioenergy crops is a challenge.
Basic decision-making models suggest that landowners make land use decisions in relation to available human, natural, and capital resources, potential opportunities against constraints, and careful examination of uncertainty and risk [9]. Several studies have been conducted in the past to understand factors that affect landowners’ decisions for adopting a bioenergy crop production system. Caldas et al. [9] assessed farmers’ willingness to produce biomass feedstocks from crop residues, dedicated annual crops, and perennial crops for three regions in Kansas. Their study found that farmers’ lack of familiarity with producing bioenergy crops and their perception play a key role in their willingness to plant bioenergy crops. Leitch et al. [5] studied private landowners’ intent to supply forest biomass for energy in Kentucky based on the theory of planned behavior. Their study highlighted that respondent attitudes, perceived subjective norms, and perceived control are significantly related to their intent to harvest woody biomass for bioenergy production. In another study in the southeastern US, farmers were asked to indicate their willingness to plant switchgrass [10]. The results showed that many nonfinancial factors such as perceived environmental benefits, reduced crop inputs, contribution to national energy security, and diversification of farm incomes significantly increase landowner willingness to produce energy crops.
The aforementioned studies mainly focused on how landowner knowledge and attitudes toward bioenergy influence their willingness to promote bioenergy production overall. There is limited research on potential biomass crop production focusing specifically on marginal lands—lands with poor quality soil and lower productivity, including grasslands, shrubland, fallow cropland, and hay/pasture. Marginal lands are attractive options for growing energy crops because they do not compete with food production or promote forest conversion and are less likely to intervene with existing management practices. Further, growing energy crops on marginal lands can provide positive ecological benefits such as improved soil and water quality, carbon sequestration, and biodiversity. Finally, previous research also suggests that bioenergy crops grown on marginal lands require less fertilizer and are more flood and drought tolerant than conventional crops [11,12]. Recently, there has been a focus on suitability analyses of marginal lands for bioenergy crop production [6,13], but only a very few have assessed social availability of such lands for a sustainable future of bioenergy cropping systems [14,15]. Even though a substantial amount of marginal lands may be suitable for growing energy crops, it is important to understand if landowners are willing to change their land-use behavior to make those lands available for bioenergy crop production.
This study aimed at (a) identifying landowners’ perception of bioenergy, (b) assessing how their perception translates into their willingness to utilize marginal lands for bioenergy crop production, and (c) estimating acreage of lands available to supply biomass feedstock at different market conditions in northern Kentucky. In addition, we also attempted to identify key drivers and challenges to landowners with respect to their participation in the bioenergy crop production process. We collected information on landowners existing land management practices, knowledge and understanding of bioenergy crops, key price variables (biomass prices and rental rates), landowner perceptions of bioenergy, and key socio-demographic information (such as age, sex, education, income) to examine if and under what conditions landowners would make their land available for growing bioenergy crops. The study may contribute to the existing literature in several ways. First and foremost, it is one of the first studies to investigate the social availability of marginal lands for bioenergy production. Second, even though the study is limited to northern Kentucky, landowner intent to harvest energy crops or rent their land for bioenergy crop production in this region may also apply to private landowners in similar geographic locations where bioenergy crop production has been recommended. The results of this study should be useful for policy makers trying to promote effective biomass supply chain strategies and future renewable energy production.
This paper is organized into different sections. Section 1 provides a general background and impetus of this study with clearly defined objectives. Section 2 explains materials and methods applied in the study. Results are shown in Section 3. Discussion based on the findings of the study is presented in Section 4. Section 5 explains some of the limitations of the study. Lastly, Section 6 is devoted to concluding remarks and direction for future research.
2. Materials and Methods
2.1. Methodological Approach
Since there is no existing market for biomass, landowner decisions cannot be observed directly. However, it is possible to estimate landowners’ preferences for different bioenergy crops based on contingent valuation method (CVM). CVM is a survey-based stated preference technique that is often used to estimate willingness to pay for environmental goods and services for which a market does not exist. Contingent valuation surveys (see Supplement Materials) can also be used to estimate willingness to accept payments to supply goods and services that are not currently sold in the market [16].
In a contingent valuation survey, all attributes of the environmental resource are first described and then survey respondents are asked whether they would pay (or accept) a specific amount to access (or provide) the resource. In general, CVM generates a scenario like that encountered in typical market transactions [17]. Respondents are given a hypothetical price (payment) for a resource and they decide to accept the price (payment) or not. Generally, they are not required to suggest a specific price—that they are willing to accept if they deny the offer [17]. If the attributes of environmental resources are described precisely, CVM techniques can provide valuable information about the demand and supply of non-marketed resources. CVM is flexible and is based on the respondents’ expressed thoughts and conditions and it can evaluate the degree of consensus for willingness to pay for environmental goods [18]. In addition, CVM is a relatively simple method when compared to other methods such as the choice experiment. CVM evaluates respondents’ overall willingness to pay/accept value with individual preference for the environmental good, whereas choice experiment evaluates the values for many attributes that make up the environmental good [19]. In other words, respondents view the evaluated good as a whole in CVM and as separable individual attributes in the choice experiment [20].
Surveys have long been a useful tool to gather information about people’s attitudes and opinions regarding certain phenomena [21,22]. For this study, we used a contingent valuation survey to assess landowners’ willingness to accept a payment for biomass production. Specifically, we assessed their willingness to accept a direct payment for producing bioenergy crops on their land, as well as their willingness to accept a payment for renting their land to someone for bioenergy crop production. The main reason for assessing the rental payment option was that many rural landowners might not be currently engaged in farming activities and they may not have the capabilities and interest in growing energy crops on their land. In addition, a rental payment is an easy, certain, and secure income source for the landowner. The survey also collected data on landowners’ perceptions of bioenergy.
2.2. Study Area and Data Collection
The study focused on four counties (Trimble, Gallatin, Carroll, and Boone) in northern Kentucky. This area is unique for its geographical location bordering northern and southern regions of the US. It is also representative of the Ohio River basin. There is a diverse land use with small, privately-owned, parcels of land. Further, there are three coal plants within the four-county area that provide opportunities to co-fire biomass with coal for energy generation without the need of significant capital investment for establishing new bioenergy facilities (Figure 1).
Figure 1.
Four-county study area with different land cover types.
As addressed previously this study examined only marginal lands. However, identifying the subset of landowners who have marginal lands and obtaining their information is challenging. Many previous studies focused on all or most existing forests or croplands, making identifying respondents relatively easier by using existing publicly available information such as county tax records or landowner association membership lists [23,24]. To overcome this difficulty, we used listGIANT, a private company based in the US, to identify landowners who have at least 10 acres of marginal land. Previous studies have also proposed 10 acres as a minimum viable area for bioenergy production due to production logistics such as storage, transportation etc. [25]. listGIANT defined 10 acres of marginal lands by aggregated land use identified as fallow cropland, shrubland, grassland, hay/pasture, and barren land. Other researchers have used listGIANT in similar studies [26,27]. Based on available tax records and other information, listGIANT provided information on 1544 landowners who satisfy the requirement for the survey within our study area. Of the 1544 landowners, 522 had valid email addresses.
Prior to contacting respondents, we conducted a pilot study with local landowners in collaboration with the University of Tennessee Extension to check the effectiveness of the question wording, the flow of questions, and survey length. Based on the input from the pilot survey, minor changes were made to the survey to improve clarity. After finalizing the questionnaire, surveys were sent to 1544 landowners, 522 via email and the rest through traditional mail.
The survey was administered between August 2017 and December 2017. Three mailings were sent: (1) a first questionnaire mailing accompanied by a cover letter explaining the purpose of the survey and a business reply envelop, (2) a reminder/thank you post-card was sent one week after the first questionnaire mailing to express appreciation for responding as well as a request that if not completed, to do so, and (3) a final questionnaire mailing along with an updated cover letter and a business reply envelope after four weeks to non-respondents from the first round.
2.3. Survey Design
The survey had several sections. Before asking questions in each section, a brief overview and introduction of the section was provided. The first section queried respondents on their current land management practices. In the second section, a series of questions asked landowners about their knowledge and understanding of bioenergy crops. In the following section, the contingent valuation part of the survey, we assessed landowners’ willingness to grow bioenergy crops on their land and their willingness to rent their land to others for bioenergy crop production. This section also asked landowners about their opinions and attitudes towards bioenergy. Finally, the last section of the questionnaire asked general socio-demographic questions such as age, income, and education.
The questions for the contingent valuation section were separated into two sub-sections. The first sub-section assessed landowners’ willingness to supply biomass from their land by growing short rotation woody bioenergy crops such as sweetgum (Liquidambar styraciflua L.), sycamore (Platanus occidentalis L.), and cottonwood (Populus deltoides W. Bartram ex Marshall). Since landowners with marginal lands may have limited information on specific bioenergy crops, survey respondents were provided a hypothetical scenario for a bioenergy crop with attributes similar to the three bioenergy crops. Information about this hypothetical scenario included detailed descriptions of production costs, potential yield, fertilization and irrigation requirements, and soil erosion potential, to help the survey respondent make an informed decision. Respondents were then asked if they would be willing to grow that crop on their marginal land. If they indicated yes, they were asked how much of their existing marginal land were they willing to grow this crop and at what price would they be willing to sell its biomass.
As mentioned earlier, rural landowners might not be currently engaged in farming activities and therefore, they may not have the capabilities and interest in growing energy crops on their land. However, they might be willing to accept a rental payment for their land as a secured income source without actually engaging in any of the costs or risks associated with bioenergy crop production. Therefore, in the second sub-section, landowners were queried about their willingness to rent their land for biomass production. Detailed information about renting their land was provided to help them make an informed decision. They were then asked if they were willing to rent their land for bioenergy production. If they responded yes, they were asked how much of their existing marginal land they were willing to rent and at what rate. Finally, landowners were also asked about concerns they may have about renting their land for bioenergy production.
Once the questionnaire was developed, it was important to evaluate its validity and internal consistency. A questionnaire is valid if it measures what is intended/desired to be measured [28]. In other words, validity explains whether results obtained from the questionnaire survey would agree with the real world. On the other hand, internal consistency measures how different items within the questionnaire measure the same characteristics [28]. To evaluate validity, we used known-group validity, a form of construct validity to test differences between two groups with expected differences [29]. Group differences were determined using a chi-squared test similar to the approach used by Rodrigues et al. [30]. Previous studies have shown that younger landowners are relatively more willing to promote bioenergy crops [27,31]. Thus, our pre-specified hypothesis to determine known group validity was that younger landowners (<65 years) were more willing to promote bioenergy crop production. For internal consistency, we used Cronbach’s alpha, a commonly used measure of reliability [32]. For example, our questionnaire evaluated landowners’ perception on bioenergy using 14 statements. We examined whether those statements measured the same characteristics i.e., perception.
2.4. Boosted Regression Tree Analysis
Landowner willingness to supply bioenergy was modeled as a two-step decision process. The first decision was whether they would be willing to grow bioenergy crops on their marginal land (or rent out their land to grow bioenergy crops) and if yes, the second decision was how much of their land they would be willing to put into bioenergy production (or how much to rent out for production). Boosted regression tree (BRT) analysis was used to model the two decisions separately.
Boosted regression trees (BRT) incorporate techniques from both statistics and machine learning [33]. It uses two algorithms: decision tree algorithms (classification and regression trees) and boosting methods for combining several simple models. Decision trees are non-parametric supervised learning methods aimed at creating a model that predicts the value of a target variable based on the values of several input variables [34]. In classification trees, the target variable is categorical, and the tree is used to identify the “class” within which the target variable would likely fall (e.g., Yes/No, 0/1 etc.). In regression trees, the target variable is continuous, and the tree is used to predict its value [35]. The boosting method is used to increase model accuracy based on the idea that final predictions are made by combining predictions from several individual models. In other words, boosting is a sequential method where one model is fitted after the other with the later model trying to reduce residuals weighted by the previous model’s error [36]. This technique optimizes predictive performance to provide better predictions than traditional regression methods that give one single best model [33]. In addition, BRT identifies relevant variables and interactions without the need to explicitly specify them. Further, since boosting uses trees as a base learner, it is a better fit for this study which has ordered variables [37]. BRT deals well with ordinal data (e.g., Likert scale values to understand what factors were more important in landowners’ decision to promote bioenergy crops and their opinion about bioenergy crops), while such variables are often difficult to deal with in regular parametric regression. Lastly, this study has many predictor variables with relatively few observations, thus regular regression methods are more difficult to use.
For the first decision, two BRT models were developed to analyze whether landowners were willing to participate in bioenergy crop production. The first model (BRTM 1) analyzed whether landowners would participate by growing bioenergy crops on their land. The second model (BRTM2) analyzed whether landowners would be willing to rent out their lands to others. For the second decision, two additional models were developed to analyze the amount of land that landowners were willing to commit to bioenergy crop production. BRTM3 was used to estimate the number of acres landowners were willing to commit to growing and producing bioenergy crops themselves and BRTM4 was used to estimate the number of acres they were willing to rent out to others. Since some landowners did not specify how much they were willing to commit for bioenergy production, though they were willing to enter into the biomass production system, some of the observations were omitted. Thus, only observations with potential acreage commitment greater than zero were used.
The dependent variable for the first decision indicated whether a landowner was willing to grow or rent out their land. If they were, the variable was set to 1, if not 0. The dependent variable in the second part was a continuous variable equal to the number of acres that the landowner was willing to grow or rent out.
The explanatory variables for the models included current land management practices, knowledge and understanding of bioenergy crops, perceptions of bioenergy, and various demographic metrics. In addition, concerns about renting out land for bioenergy production were included.
All the models were fitted using the software R Project for Statistical Computing with the gbm boosting package version developed by Ridgeway [38]. Since there was not a large amount of data, the cross-validation (CV) method was used for model development and identification of optimal settings for the models. CV tests the performance of the model using a subset of data, while using all the data at some point for fitting the model [33]. For fitting the gbm model, we used a 5-fold cross validation method where the gbm fitted five gbm models to compute cross validation error and provide an optimal number of trees. The optimal number of trees was then used to fit a final gbm model using all the data.
3. Results
Of the 522 email requests, only 17 people responded (3.25% response rate); and of the 1022 mailed surveys, 148 were returned (14.48%), 18 were returned as undeliverable. We assumed that no significant variation was present in either of the two modes of survey administrations [39,40,41], implying the absence of bias across responses. Thus, we combined the responses for data analysis. After eliminating incomplete surveys and those where the respondents did not meet the criteria for participation or were simply not interested, 103 observations were used for data analysis. It is important to highlight that the response rate for this study was lower than expected, which is usually 20–30% for landowners’ survey [42,43]. However, similar response rates have been reported in some other studies [44,45]. A lower response rate can affect the reliability and validity of the survey findings. However, results from the known-group validity and Cronbach alpha tests showed that our questionnaire was valid and reliable. Chi-squared test was performed to examine the relation between landowners’ age and their willingness to participate in bioenergy crop production. The relation between these variables was statistically significant at p < 0.05. Thus, there were differences among landowners’ bioenergy production decisions based on their age. Younger landowners were more willing to promote bioenergy crop production. Similarly, when we examined landowners’ perception on bioenergy using 14 statements, we got an alpha = 0.84 that suggests the items within the questionnaire had internal consistency. As the background information of the entire landowner population of the four counties is not available from any source, we could not draw a definite conclusion on the representativeness of the sample in this study with respect to that population. On the other hand, the socioeconomic characteristics of our sample is quite similar to those of a sample from a landowners’ survey that was conducted in the entire state of Kentucky that studied landowners’ intent to supply woody feedstock for bioenergy production [5]. For example, both our sample and those in Leitch et al.’s study showed a higher proportion of landowners at least 65 years age and a high percentage with at least a bachelor’s degree as well. Thus, it is an indication that the characteristics of our sample is relatively typical of the landowners in the four-county study area, in particular, and in the State on Kentucky, in general. Further, it is important to highlight that some of the survey questions related to current land management practices and bioenergy production systems might not have addressed the complexities of landownership and management operations to convert existing land use to bioenergy crop production, which could have affected the survey response rate. To overcome the issue of low response rates which may weaken the findings, we used boosted regression tree (BRT) in this study [33]. In BRT, we split the data into training and test datasets, fit the model to the training dataset, make predictions based on it, and evaluate the predictions on the test dataset. To avoid overfitting of the model, we used cross-validation approach that splits the data into various subsets of training and test data [37]. The model is then repetitively trained and validated on these different subsets. Therefore, the survey responses and our interpretation provide valuable insights on the potential of bioenergy crop production in the study area.
3.1. Descriptive Statistics
A majority of respondents (79.01%) were male with an average age of 68 years. Most had a median annual income between $60,000 to $89,000. Approximately, 75.30% had at least some college education. Out of all respondents, 43.37% indicated they were retired.
Respondents on average owned 82.74 acres of marginal land, with the majority of the land in one county. Only 11% landowners were currently renting their land, with an average rental rate of $40.83 acre−1. Only 7% indicated that they were currently growing commercial crops. The majority of marginal lands in the study area was currently used for hay or pasture (59.10 acres on average). However, a substantial number of landowners indicated other land cover types such as woody and agricultural crops, lake, residential area, yard were present.
Concerning existing knowledge, 65.43% indicated they had heard about bioenergy, 50% indicated they had knowledge of crops for energy production, and about the same proportion of landowners (47.56%) indicated that they were aware that bioenergy crops can be grown on marginal lands. Even though about 23.75% landowners indicated that they were familiar with existing technologies relevant to growing bioenergy crops, only 4.93% of them indicated that they were currently growing them.
With regards to willingness to grow bioenergy crops, 45.23% were willing to produce and harvest bioenergy crops on their property if markets existed for biomass. These landowners were willing to devote an average of 25.49 acres of land to bioenergy crops. Landowners indicated that a steady biomass market and low investment costs were the most important factors for their decision to produce and harvest bioenergy crops (Table 1).
Table 1.
Survey results on factors influencing landowners’ decision to produce and harvest bioenergy crops (in %).
On the other hand, lack of interest in bioenergy, time, and lack of knowledge of how to effectively harvest bioenergy crops were the major reasons expressed by landowners for their reluctance to produce and harvest them (53.08%) (Table 2).
Table 2.
Survey results on factors influencing landowners’ decision to not produce and harvest bioenergy crops (in %).
For landowners who were willing to produce and harvest biomass, we asked them to indicate what price they were willing to accept and the number of acres of land they were willing to commit. Figure 2 shows the percentage of landowners willing to accept five different prices and their average acreage commitment. For a biomass price of $40 ton−1, 28.57% indicated that they were willing to produce and the average amount of land available at this price was 19.71 acres. When the price was $60 ton−1, 80.64% were willing to produce/harvest and the average land available increased to 27.84 acres.
Figure 2.
Percentage of landowners willing to produce biomass at different biomass prices and their acreage commitment.
Regarding landowners’ willingness to rent, only 28.21% were willing to rent (71.79% preferred not to rent). Landowners indicated that the possible need for insurance, length of contract, and legal cost of contracting were major impediments to renting (Table 3).
Table 3.
Survey results on landowners’ concerns for renting out their land for bioenergy crop production (in %).
Of the respondents who indicated no interest in renting, 91% said they would never rent their land for bioenergy production regardless of the rental rate. These respondents indicated that privacy, old age, and self-control were the major factors for their decision.
Landowners who were willing to rent their land for bioenergy production were asked to indicate the rental rate they were willing to accept. Figure 3 shows the percentage of landowners willing to rent and the acres they were willing to commit under four different rental rates. None of the respondents indicated that $25 acre−1 was an acceptable rental rate. However, when the rental rate increased to $100 acre−1, 95.23% indicated they were willing to rent an average of 62.22 acres.
Figure 3.
Percentage of landowners willing to rent their land and their acres commitment.
With regard to landowners’ opinions on bioenergy (Table 4), about 55% agreed that using domestic energy sources such as wood will reduce dependence on foreign energy sources. Similarly, more than 50% agreed that producing bioenergy crops can provide economic opportunities and improve the rural economy. Even though they expressed a concern that bioenergy markets are not sufficiently developed, they said that the government should not be involved in bioenergy development.
Table 4.
Survey results on landowners’ opinions on bioenergy (in %).
3.2. Influence of Measured Variables on Landowners’ Willingness to Participate in Bioenergy Crop Production
3.2.1. Optimal Settings
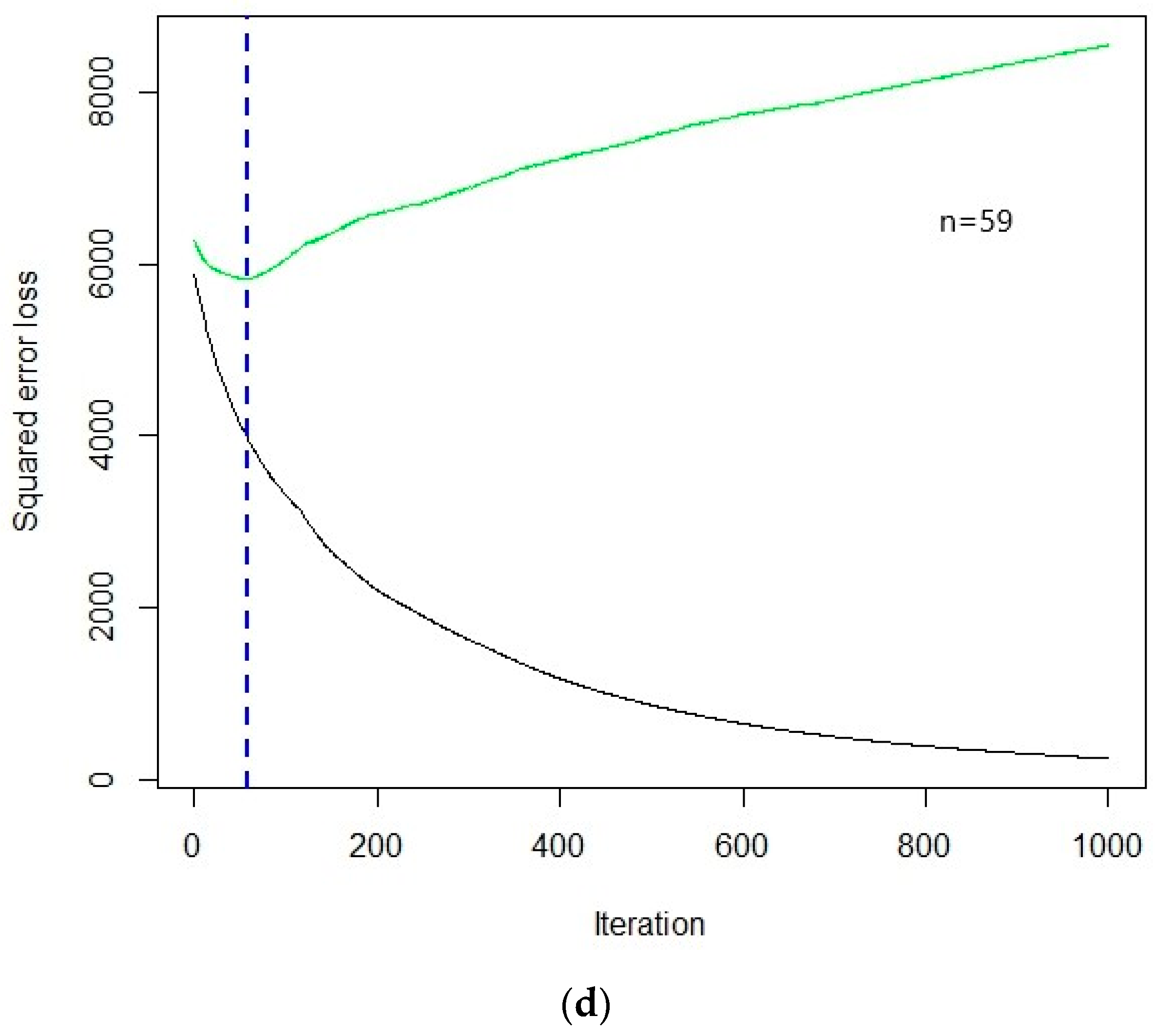
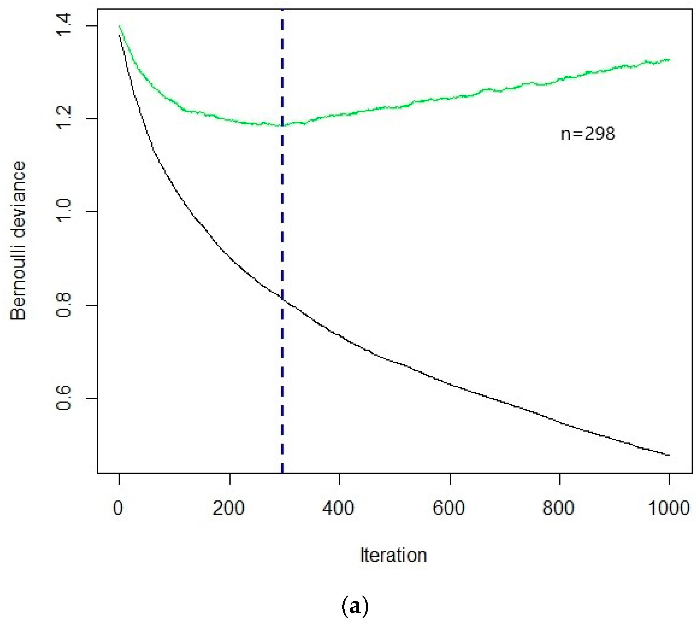
Using the cross-validation method optimal settings were generated for all the decision models. The optimal number of trees for the four decision models are shown in Figure 4.


Figure 4.
Example of a cross-validation model fitting with initial number of trees = 1000, interaction depth = 5, shrinkage = 0.01, and bag fraction = 0.5 for willingness to produce (a), willingness to rent (b), acreage commitment to produce (c), and acreage commitment to rent (d). (Number of trees: It represents the total number of trees to fit the model. This number is equivalent to the total number of iterations and the basic functions in the additive expansion. Overfitting can be a challenge if this number is too big. Interaction depth: It provides maximum depth of variable interactions. Shrinkage factor: It is a small positive number that controls the rate at which boosting learns. Default value is 0.01. A very small shrinkage factor always results better predictive performance of a model. However, smaller values would require many iterations. Bag fraction: It is the fraction of the training dataset that is randomly selected to propose the next tree in the expansion. Bag fraction introduces randomness into the model fit).
3.2.2. Willingness to Participate in Bioenergy Crop Production
Results of the boosted regression models (BRTM1 and BRTM2) are presented in Table 5 and Table 6. Landowner age had the highest influence on both land use decisions. Younger landowners were more willing to participate in bioenergy crop production. In addition, landowners’ positive perceptions about the idea of creating energy from trees on their property had a positive influence on their decision to promote bioenergy crop production. Further, the amount of existing land acreage also had a substantial influence on landowner willingness to rent their land: the more land they had, the less willing they were to rent their land for bioenergy production. Additionally, results showed that landowners’ concern of having other people on their land had some influence on their willingness to rent out their land.
Table 5.
Variables and their relative influence on landowners’ willingness to produce/harvest.
Table 6.
Variables and their relative influence on landowners’ willingness to rent.
Partial dependence plots of the most influential variable are presented in Figure 5. These plots show the effect of a variable on the response after accounting for the average effects of all other variables in the model. In both the willingness models, landowners’ production/renting decisions changed with their age, with distinct observation after age 60 when an increasing age showed low willingness to produce/rent.
Figure 5.
Partial dependence plots for the most influential variable for the two models; willingness to produce (a) and willingness to rent (b).
Similarly, landowners’ renting decisions changed with the acres of lands they possessed with distinct observation before 100 acres of lands (Figure 6). Landowners with small landholdings (smaller than 100 acres) were more willing to rent when compared to landowners who had large acres of existing land ownership.
Figure 6.
Partial dependence plot for acres variable for the willingness to rent model.
In addition to the effect of a single variable on the response, the partial dependence plots show important interactions between variables. For both the willingness to produce/harvest and willingness to rent models, three of the six most important pairwise interactions included the most influential predictors, age, and a positive perception about the idea of creating energy from trees (Figure 7 and Figure 8). Allowing interactions reinforced the effect that younger landowners (landowners in general) with large acres of land ownership and who had a positive perception about generating bioenergy and an understanding that establishing bioenergy crops can improve wildlife habitat were more willing to participate in bioenergy crop production. In the willingness to rent model, younger landowners who had small acres of existing land ownership showed interest in renting out their lands and those landowners were positive about creating energy from trees and were not concerned about having other people in their land.
Figure 7.
Interactions of the variables for the willingness to produce/harvest mode. (OPPositiv: Landowners’ positive opinion on the idea of creating energy from trees growing in their property. OPHabitat: Landowners’ opinion that bioenergy crops can provide more habitat).
Figure 8.
Interaction of variables for the willingness to rent model.
3.2.3. Acreage Commitment
Results of the boosted regression models developed to analyze landowner acreage commitment for producing/harvesting bioenergy crops (BRTM3) and renting their lands (BRTM4) are presented in Table 7 and Table 8. Results from both models show that total acres of current land ownership had the biggest influence on the amount of land landowners were willing to commit for bioenergy production. Age was also influential in landowner rental decisions. Many variables were omitted from the acreage commitment models because they had no detectable influence on the response variable.
Table 7.
Variables and their relative influence on landowners’ acreage commitment to produce.
Table 8.
Variables and their relative influence on landowners’ acreage commitment to rent.
Partial dependence plots for the acreage commitment models show size of land ownership (total acres) as the most influential variable (Figure 9). Even though landowners’ current land ownership increase, their acreage commitment is not relatively higher. In general, landowners are willing to commit less land for bioenergy production. Again, in addition to the effect of a single variable on the response, the partial dependence plots show important interactions between the variables. For both acreage commitment models, the variable acres and age were prominently visible in the pairwise interactions reinforcing the acreage decisions that landowners specially, younger landowners are willing to commit smaller amount of lands where as older landowners are more willing to commit large acres of lands to bioenergy production (Figure 10 and Figure 11).
Figure 9.
Partial dependence plots for acres variable for the two models; acres to produce (a) and acres to rent (b).
Figure 10.
Interaction of variables for acres commitment model to produce.
Figure 11.
Interaction of variables for acres commitment model to rent.
4. Discussion
4.1. Overall Willingness
Survey responses aimed at understanding landowner willingness to promote bioenergy crop production in a four-county study area in northern Kentucky revealed a low willingness of landowners to participate in bioenergy production systems. The results from this study prompt several observations. First, rural landowners who were willing to produce/harvest bioenergy crops indicated that a high biomass price was required to prompt them to produce bioenergy crops on their land which aligns with the economic theory of supply [46]. At a typical biomass price ($40 ton−1), the proportion of landowners’ willing to produce bioenergy crops fell substantially relative to higher prices. Landowners need economic motives to promote bioenergy crops mainly because of the difficulty in establishing a sustainable flow of biomass feedstock in an uncertain biomass market. In addition, a huge capital investment is required to grow bioenergy crops and biomass must compete with traditional fossil fuels and first-generation biofuels (from sugarcane, corn, etc.) to cover uncertainties. Similar results were obtained for landowners’ willingness to rent, a high rental rate was required to prompt them to rent their lands for bioenergy crop production. Many landowners were simply not interested in renting their land regardless of the price offered. Thus, money was not the driving factor for these landowners. Age had negative influence on landowners’ willingness to promote bioenergy crops. Since bioenergy crops may be new to landowners, older farmers may not have time or they may be less interested to learn about the potential benefits of bioenergy crops to convert their conventional farming practices to bioenergy crop production [46]. Loss of privacy, loss of self-control, and potential disturbance from producing and harvesting energy crops were major factors in their decisions. Similarly, size of ownership had negative influence on landowners’ commitment decision, which is consistent with the results obtained by Munn et al. [47] that studied landowner willingness for diverting their land to growing crops for energy enterprises. In addition, previous studies have shown that non-market objectives such as wildlife habitat, aesthetics, and recreation could impact landowners’ decision to never rent their land [24,48,49]. Further, Kentucky is well known for horses. Thirteen counties in northern Kentucky (including the four counties considered in this study) make up the Bluegrass region that has pasture lands favorable horse farming [50]. The equine industry has an important contribution for the culture and economic structure of the state. The direct economic benefits from the industry and other benefits such as recreational, environmental, and aesthetic have thrived the industry since time immemorial. In this context, landowners with existing horse farms (which could be a potential site for growing bioenergy crops) may not be interested in converting their land to bioenergy crop production. Therefore, the overall availability of rural land for energy crops is likely lower than anticipated, even at relatively high biomass prices or rental rates. This could possibly make the feedstock supply scarce in the long run. Overall, results support findings from other studies that show reluctance of landowners’ to promoting bioenergy crops [45,49]. On the other hand, it differs from other studies because it specifically focused on marginal lands and the social availability of such lands for bioenergy crop production.
Recent studies on bioenergy production suggest the use of marginal lands for promoting bioenergy crop production. To explore this issue, the focus of this study was restricted to marginal lands as well. Since landowners who own marginal lands also own farmland, their willingness to participate in bioenergy crop production could have been different if they were asked to indicate their preference for different land use types. A recent study by Skevas et al. [51] indicated that when landowners were asked to indicate what land they would be willing to rent for bioenergy crops, they were willing to provide more cropland than marginal land for bioenergy production. Thus, it is possible that the potential of marginal lands is less than what has been projected. Since landowners are reluctant to promote bioenergy crops on marginal lands, larger areas of marginal land may be needed to supply bioenergy feedstocks. Marginal lands are usually much smaller and spatially dispersed than traditional farmlands and forestlands (which are clustered) and supplying biomass feedstocks from these spatially dispersed/fragmented areas would likely trigger higher costs of bioenergy production, especially the transportation costs to processing facilities. In addition to increasing transportation costs, longer hauls of transporting feedstocks may trigger more greenhouse gas (GHG) emissions.
This study also focused on woody crops as potential bioenergy crops in the study area. Previous studies have included other bioenergy feedstock sources such as perennial grasses to understand people’s willingness to promote bioenergy production [9,10,51,52]. The main advantages of perennial grasses are that they re-grow every year and do not need to be replanted annually. They also require fewer fertilizer and water inputs. In addition, they require lower production and management costs, thus, they could be attractive options for landowners to promote bioenergy crop production.
4.2. Methods Discussion
An advantage of boosted regression tree (BRT) is that it combines the strength of regression trees and boosting methods to improve the predictive performance of a regression procedure. BRT boosts the predictive performance by fitting a series of models and then combine them into an ensemble to achieve better performance [53]. BRT is flexible, it can handle several types of predictor variables, fit to non-linear relationships, and identify and handle interactions automatically. In our analysis, we had little control compared to a traditionally approach where we would be required to know and specifically indicate where interactions should be sorted for. All the variables had a chance to predict the outcome and there was no need of data transformation or elimination of any outliers [33].
Boosted regression tree (BRT) builds an ensemble of trees and it is difficult to interpret when compared to individual decision trees. However, this often does not matter where improving the predictive accuracy is the most important goal [33]. Another drawback of this method is that the output of the model does not generate confidence intervals or p-values to indicate relative significance of model coefficients as compared to traditional regression analysis [33]. This makes interpretation of results and understanding of the model even more challenging [54]. Partial dependence plots can be one way to visualize the level of dependence [54], and we were able to generate two-way interactions for important variables in our study.
5. Limitations
While this study contributes to a greater understanding of landowners’ intent to enter into the bioenergy production system, there are a few limitations that should be noted. First, this study only focused on a four-county study area and surveyed only landowners with at least 10 acres of marginal rate. The response rate for the survey was relatively low. The study area could have been extended to include other adjacent counties in northern Kentucky, but due to budget and time constraints, this was not possible. Second, only existing marginal lands were considered as potential sites for growing energy crops. As discussed previously, this might have had an impact on landowners’ intent and commitment. It may be useful for future studies to focus on different land use types and/or include perennial grasses. Additionally, this study might have missed to address some land management factors (existing land characteristics, complexities of land ownership, details of bioenergy cropping system requirement, etc.) that could be important for landowners’ decisions for bioenergy production. Despite these limitations, the findings provide a breadth of contextual information and an understanding of variability of perspectives that can be used as a precursor for future studies.
6. Conclusions
In conclusion, this study provides several insights into landowners’ perceptions of bioenergy and their willingness to enter into the bioenergy crop production system. Overall, the results show that landowners are relatively more willing to grow bioenergy crops on their land than to rent their land to others for the same purpose. However, landowners are concerned about the uncertainty of the biomass market and the investment costs incurred in the production process. This information could be helpful to plan for policies including market protocols and incentive mechanisms, and for technological investments that would be effective for landowners to encourage bioenergy crop production. In addition, results show that younger landowners, those with positive attitude towards bioenergy production, and those with large acres of land are more willing to establish bioenergy crop production. With this information, outreach programs focused on enhancing landowner awareness about the beneficial economic and environmental impacts could help promote their participation in bioenergy production in the long run.
Supplementary Materials
The following are available online at https://www.mdpi.com/1999-4907/11/10/1052/s1, A questionnaire survey.
Author Contributions
Conceptualization, S.N., L.T.T. and D.G.H.; methodology, S.N., L.T.T. and D.G.H.; software, S.N.; validation, S.N. and D.G.H.; formal analysis, S.N.; investigation, S.N.; resources, S.N. and L.T.T; data curation, S.N.; writing—original draft preparation, S.N.; writing—review and editing, S.N., L.T.T. and D.G.H.; visualization, S.N.; supervision, L.T.T. and D.G.H.; project administration, S.N.; funding acquisition, S.N. and L.T.T. All authors have read and agreed to the published version of the manuscript.
Funding
This work was supported by the McCroskey Memorial Fund and Chancellor’s Top-Off Fellowship at the University of Tennessee.
Conflicts of Interest
The authors declare no conflict of interest.
References
- Environmental Protection Agency (EPA). Program Overview for Renewable Fuel Standard Program. 2007. Available online: https://www.epa.gov/renewable-fuel-standard-program/program-overview-renewable-fuel-standard-program (accessed on 6 January 2018).
- Congress Research Service (CRS). The Farm Bill Energy Title: An Overview and Funding History. 2020. Available online: https://crsreports.congress.gov/product/pdf/R/R45943 (accessed on 18 September 2020).
- Staudhammer, C.; Hermansen-Baez, L.A.; Carter, D.; Macie, E.A. Wood to Energy: Using Southern Interface Fuels for Bioenergy; Gen. Tech. Rep. SRS-132; Department of Agriculture Forest Service, Southern Research Station: Asheville, NC, USA, 2011.
- Brosius, J.P.; Schelhas, J.; Hitchner, S. Social acceptability of bioenergy in the US South. In Proceedings of the Joint Annual Meeting of the Association for the Advancement of Industrial Crops and the USDA National Institute of Food and Agriculture, Washington, DC, USA, 12–16 October 2013; Janick, J., Whipkey, A., Cruz, V.M., Eds.; US Forest Services, Southern Research Station: Asheville, NC, USA, 2013; pp. 353–366. [Google Scholar]
- Leitch, Z.J.; Lhotka, J.M.; Stainback, G.A.; Stringer, J.W. Private landowner intent to supply woody feedstock for bioenergy production. Biomass Bioenergy 2013, 56, 127–136. [Google Scholar] [CrossRef]
- Nepal, S.; Contreras, M.A.; Stainback, G.A.; Lhotka, J.M. Quantifying the effects of biomass market conditions and policy incentives on economically feasible site to establish dedicated energy crops. Forests 2015, 6, 4168–4190. [Google Scholar] [CrossRef]
- Jessup, R.W. Development and status of dedicated energy crops in the United States. Vitro Cell Dev. Biol.-Plant 2009, 45, 282–290. [Google Scholar] [CrossRef]
- Tyndall, J.C.; Shulte, L.A.; Hall, R.B. Expanding the US cornbelt biomass portfolio: Forester perceptions of the potential for woody biomass. Small Scale For. 2011, 10, 287–303. [Google Scholar] [CrossRef]
- Caldas, M.M.; Bergtold, J.S.; Peterson, J.M.; Graves, R.W.; Earnhart, D.; Gong, S.; Lauer, B.; Brown, J.C. Factors affecting farmers’ willingness to grow alternative biofuel feedstocks across Kansas. Biomass Bioenergy 2014, 66, 223–231. [Google Scholar] [CrossRef]
- Qualls, D.J.; Jensen, K.L.; Clark, C.D.; English, B.C.; Larson, J.A.; Yen, S.T. Analysis of factors affecting willingness to produce switchgrass in the southeastern United States. Biomass Bioenergy 2012, 39, 159–167. [Google Scholar] [CrossRef]
- Blanco-Canqui, H. Growing dedicated energy crops on marginal lands and ecosystem services. Soil Sci. Soc. Am. J. 2016, 80, 845–858. [Google Scholar] [CrossRef]
- McLaughlin, S.B.; Walsh, M.E. Evaluating environmental consequences of producing herbaceous crops for bioenergy. Biomass Bioenergy 1998, 14, 317–324. [Google Scholar] [CrossRef]
- Nepal, S.; Contreras, M.A.; Lhotka, J.M.; Stainback, G.A. A spatially explicit model to identify suitable sites to establish dedicated energy crops. Biomass Bioenergy 2014, 71, 245–255. [Google Scholar] [CrossRef]
- Von Cossel, M.; Wagner, M.; Lask, J.; Magenau, E.; Bauerle, A.; Von Cossel, V.; Warrach-Sagi, K.; Elbersen, B.; Staritsky, I.; Van Eupen, M.; et al. Prospects of Bioenergy Cropping Systems for A More Social-Ecologically Sound Bioeconomy. Agronomy 2019, 9, 605. [Google Scholar] [CrossRef]
- Von Cossel, M.; Winkler, B.; Mangold, A.; Lask, J.; Wagner, M.; Lewandowski, I.; Elbersen, B.; van Eupen, M.; Mantel, S.; Kiesel, A. Bridging the Gap between Biofuels and Biodiversity through Monetizing Environmental Services of Miscanthus Cultivation. Earth’s Future 2020, in press. Available online: https://agupubs.onlinelibrary.wiley.com/doi/10.1029/2020EF001478 (accessed on 19 September 2020). [CrossRef]
- Swinton, S.M.; Lupi, F.; Robertson, G.P.; Hamilton, S.K. Ecosystem services and agriculture: Cultivating agricultural ecosystems for diverse benefits. Ecol. Econ. 2007, 64, 245–252. [Google Scholar] [CrossRef]
- Cameron, T.A.; James, M.D. Estimating willingness to pay from survey data: An alternative pre-test-market evaluation procedure. J. Mark. Res. 1987, 24, 389–395. [Google Scholar] [CrossRef]
- Montis, A.D.; Zoppi, C. Contingent valuation of renewable energy innovations: Vegetal biomass in Italy. Int. J. Environ. Technol. Manag. 2009, 11, 218–233. [Google Scholar] [CrossRef]
- Hanley, N.; Czajkowski, M. The Role of Stated Preference Valuation Methods in Understanding Choices and Informing Policy. Rev. Environ. Econ. Policy 2019, 13, 248–266. [Google Scholar] [CrossRef]
- Vega, D.C.; Alpízar, F. Choice experiments in environmental impact assessment: The case of the Toro 3 hydroelectric project and the Recreo Verde tourist center in Costa Rica. Impact Assess. Proj. Apprais. 2011, 29, 252–262. [Google Scholar]
- McLafferty, S. Conducting questionnaire surveys. In Key Methods in Geography; Clifford, N., Valentine, G., Eds.; Sage: London, UK, 2003; pp. 87–100. [Google Scholar]
- Parfitt, J. Questionnaire design and sampling. In Methods in Human Geography: A Guide for Students Doing a Research Project; Flowerdew, R., Martin, D., Eds.; Harlow: London, UK, 2005; pp. 78–106. [Google Scholar]
- Saulnier, W.J.; Bolding, M.C.; Berrett, S.M.; Prisley, S.P. Characteristics of Virginia’s private forest landowners and their attitudes toward harvesting. For. Prod. J. 2017, 67, 69–80. [Google Scholar] [CrossRef]
- Shivan, G.C.; Mehmood, S.R. Determinants of nonindustrial private forest landowner willingness to accept price offers for woody biomass. For. Policy Econ. 2012, 25, 47–55. [Google Scholar]
- Hayden, N. Landowner willingness to supply marginal land for bioenergy production in Michigan. In Proceedings of the AAEA & CAES Joint Annual Meeting, Washington, DC, USA, 3–7 August 2013. [Google Scholar]
- Khanal, P.N.; Grebner, D.L. Factors Affecting Nonindustrial Private Forest Landowners’ Willingness to Defer Final Harvest for Forest Carbon Sequestration in the Southern US. Proceedings of the Inaugural Symposium of the International Society of Forest Economics, St. Louis, MO, USA, 16–18 March 2014; Lantianinen, S., Aguilar, F.X., Eds.; Department of Forestry, The School of Natural Resources, University of Missouri: Columbia, MO, USA, 2015; pp. 68–74. [Google Scholar]
- Adjoyi, G.; Ellene, K. Landowners’ willingness to supply woody biomass for biofuel in west Alabama. Prof. Agric. Work. J. 2017, 5, 14–27. [Google Scholar]
- Deniz, M.S.; Alsaffar, A.A. Assessing the validity and reliability of a questionnaire on dietary fibre-related knowledge in a Turkish student population. J. Health Popul. Nutr. 2013, 31, 497–503. [Google Scholar] [CrossRef][Green Version]
- Davidson, M. Known-Groups Validity. In Encyclopedia of Quality of Life and Well-Being Research; Michalos, A.C., Ed.; Springer: Dordrecht, The Netherlands, 2014. [Google Scholar]
- Rodrigues, I.B.; Adachi, J.D.; Beattie, K.A.; Lau, A.; MacDermid, J.C. Determining known-group validity and test-retest reliability in the PEQ (personalized exercise questionnaire). BMC Musculoskelet. Disord. 2019, 20, 373. [Google Scholar] [CrossRef] [PubMed]
- Gedikoglu, H. Socio-economic factors and adoption of energy crops. Int. J. Food Agric. 2015, 3, 1–17. [Google Scholar]
- Tavakol, M.; Dennick, R. Making sense of Cronbach’s alpha. Int. J. Med. Educ. 2011, 2, 53–55. [Google Scholar] [CrossRef] [PubMed]
- Elith, J.; Leathwick, J.R.; Hastie, T. A working guide to boosted regression. J. Anim. Ecol. 2008, 77, 802–813. [Google Scholar] [CrossRef] [PubMed]
- Geurts, P.; Irrthum, A.; Wehenkel, L. Supervised learning with decision tree-based methods in computational and systems biology. Mol. Biosyst. 2009, 5, 1593–1605. [Google Scholar] [CrossRef]
- Pour, A.T.; Moridpour, S.; Tay, R.; Rajabifard, A. Modelling pedestrian crash severity at mid-blocks. Transp. A Transp. Sci. 2016, 13, 273–297. [Google Scholar]
- Kanamori, T. A new sequential algorithm for regression problems using mixture distribution. In Artificial Neural Networks-ICANN 2002; Dorronsoro, R.J., Ed.; Springer: Berlin/Heidelberg, Germany, 2002; Volume 2415, pp. 535–540. [Google Scholar]
- Schonlau, M. Boosted regression (boosting): An introductory tutorial and a Stata plugin. Stata J. 2005, 5, 330–354. [Google Scholar] [CrossRef]
- Ridgeway, G. The Gbm Package. Available online: http://ftp.auckland.ac.nz/software/CRAN/doc/packages/gbm.pdf (accessed on 6 December 2017).
- McCabe, S.E.; Couper, M.P.; Cranford, J.A.; Boyd, C.J. Comparison of web and mail surveys for studying secondary consequences associated with substance use: Evidence for minimal mode effects. Addict. Behav. 2006, 31, 162–168. [Google Scholar] [CrossRef]
- Yetter, G.; Capaccioli, K. Differences in responses to web and paper surveys among school professionals. Behav. Res. Methods 2010, 42, 266–272. [Google Scholar] [CrossRef]
- Gigliotti, L.M. Comparison of an internet versus mail survey: A case study. Human Dimens. Wildl. 2011, 16, 55–62. [Google Scholar] [CrossRef]
- Joshi, O.; Grebner, D.L.; Hussain, A.; Grado, S.C. Landowner knowledge and willingness to supply woody biomass for wood-based bioenergy: Sample selection approach. J. For. Econ. 2013, 19, 97–109. [Google Scholar] [CrossRef]
- Hiesl, P. A survey of forestry extension clientele in South Carolina, USA. Small Scale For. 2018, 17, 309–321. [Google Scholar] [CrossRef]
- Thompson, D.W.; Hansen, E.N. Factors affecting the attitudes of nonindustrial private forest landowners regarding carbon sequestration and trading. J. For. 2012, 110, 129–137. [Google Scholar] [CrossRef]
- Gowam, C.H.; Kar, S.P.; Townsend, P.A. Landowners’ perceptions of and interest in bioenergy crops: Exploring challenge and opportunities for growing poplar for bioenergy. Biomass Bioenergy 2018, 110, 57–62. [Google Scholar] [CrossRef]
- Jiang, W.; Zipp, K.Y.; Jacobson, M. Economic assessment of landowners’ willingness to supply marginal lands in the northeastern of the United States. Biomass Bioenergy 2018, 113, 22–30. [Google Scholar] [CrossRef]
- Munn, I.A.; Hussain, A.; Grebner, D.L.; Grado, S.C.; Measells, M.K. Mississippi private landowner willingness for diverting land to growing short rotation woody crops for bioenergy enterprises. For. Sci. 2019, 64, 471–479. [Google Scholar] [CrossRef]
- Barham, B.L.; Mooney, D.F.; Swinton, S.M. Inconvenient truths about landowner (un)willingness to grow dedicated bioenergy crops. Choices 2016, 31, 1–8. [Google Scholar]
- Swinton, S.M.; Tanner, S.; Barham, B.L.; Mooney, D.F.; Skevas, T. How willing are landowners to supply land for bioenergy crops in the Northern Great Lakes Region? Glob. Chang. Biol. Bioenergy 2017, 9, 414–428. [Google Scholar] [CrossRef]
- Stephanie, W. The Value of Kentucky’s Equine Industry to Kentucky State Residents: A Contingent Valuation Study. Master’s Thesis, University of Kentucky, Lexington, KY, USA, 2016. [Google Scholar]
- Skevas, T.; Hayden, N.J.; Swinton, S.M.; Lupi, F. Landowner willingness to supply marginal land for bioenergy production. Land Use Policy 2016, 50, 507–517. [Google Scholar] [CrossRef]
- Timmons, D. Using former farmland for biomass crops: Massachusetts landowner motivations and willingness to plant. Agric. Resour. Econ. Rev. 2014, 43, 3. [Google Scholar] [CrossRef]
- Shin, Y. Application of boosting regression trees to preliminary cost estimation in building construction projects. Comput. Intell. Neurosci. 2015. [Google Scholar] [CrossRef] [PubMed]
- Lampa, E.; Lind, L.; Lind, P.M.; Bornefalk-Hermansson, A. The identification of complex interactions in epidemiology and toxicology: A simulation study of boosted regression trees. Environ. Health 2014, 13, 57. [Google Scholar] [CrossRef] [PubMed]
© 2020 by the authors. Licensee MDPI, Basel, Switzerland. This article is an open access article distributed under the terms and conditions of the Creative Commons Attribution (CC BY) license (http://creativecommons.org/licenses/by/4.0/).