Policies Drive Sub-National Forest Transitions in Vietnam
Abstract
1. Introduction
2. Conceptual Framework
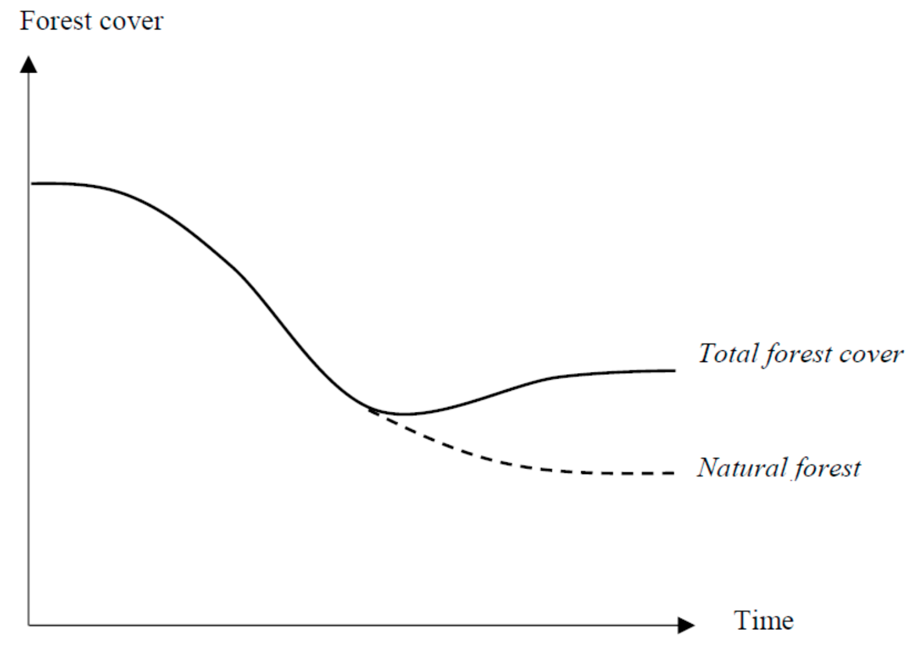
2.1. Forest Transition and Its Drivers
2.2. The Appropriate Scale for FT Analysis
2.3. The Role of Policies
2.3.1. Structural Changes
2.3.2. General Policies
2.3.3. Sector-Specific Policies
3. Study Context and Data
3.1. The National Introduction of Market-Liberal Reforms
3.2. Study Areas
3.2.1. Lam Dong Province
3.2.2. Bac Kan Province
3.3. Data Sources
4. Results and Discussion
4.1. Forest Cover Trends
4.2. Structural Changes
4.3. General Policies
4.4. Sector-Specific Policies
5. Synthesis and Conclusions
Author Contributions
Funding
Acknowledgments
Conflicts of Interest
Appendix A
| Theme | Lam Dong | Bac Kan |
|---|---|---|
| Forest developments | Data: www.kiemlam.org.vn Studies: De Koninck [44]; Meyfroidt and Lambin [15], Meyfroidt, Vu [43] | Data: www.kiemlam.org.vn Studies: Castella and Verburg [96]; Nikolic, Schultze-Kraft [97] |
| Tenure and land use planning | Studies: McElwee [85]; SNV [83]; Salemink [98] | Studies: Castella and Dang [58]; Tachibana, Nguyen [41]; Castella, Boissau [81]; |
| Agriculture and forest policies | Studies: Déry [68]; D’haeze, Deckers [49]; Agergaard, Fold [75]; SNV [83]; Tran [93]; Hoang, Pham [99]; Tan [77]; [100]; McElwee [85]; Enright [101]; Ogonowski and Enright [94]; Meyfroidt, Vu [43]; Vu Tien Dien and Grais [82]; DARD [86]; Tinh, Tuan [102]; Trædal, Vedeld [84]; Trædal and Vedeld [69] | Studies: Pandey and van Minh (1998); Minot and Goletti [46]; Tachibana, Nguyen [41]; Zingerli, Castella [92]; Sadoulet, Castella [64]; Fatoux, Castella [62]; Castella, Boissau [103]; Bernard, Minang [104]; DARD [91] |
| General development | Data: GSO (Living Standard Study) [70]; PCI [74] Studies: Salemink [98] | Data: GSO (Living Standard Study) [70]; PCI [74] Studies: Castella, Manh [80]; Castella, Dang [105]; Castella, Tronche [106] |
References
- Mather, A.S. Global Forest Resources; Belhaven Press: London, UK, 1990; p. 341. [Google Scholar]
- Meyfroidt, P.; Lambin, E.F. The causes of the reforestation in Vietnam. Land Use Policy 2008, 25, 182–197. [Google Scholar] [CrossRef]
- Holland, T.; McNally, R. REDD Working Papers: REDD and Sustainable Development—Perspective from Vietnam; IIED: London, UK, 2010. [Google Scholar]
- Rudel, T.K.; Coomes, O.T.; Moran, E.F.; Achard, F.; Angelsen, A.; Xu, J.; Lambin, E.F. Forest transitions: Towards a global understanding of land use change. Glob. Environ. Chang. 2005, 15, 23–31. [Google Scholar] [CrossRef]
- Bray, D.B.; Klepeis, P. Deforestation, forest transitions, and institutions for sustainability in southeastern Mexico, 1900–2000. Environ. Hist. 2005, 11, 195–223. [Google Scholar] [CrossRef]
- Angelsen, A.; Rudel, T.K. Designing and implementing effective REDD + policies: A forest transition approach. Rev. Environ. Econ. Policy 2013, 7, 91–113. [Google Scholar] [CrossRef]
- Rudel, T.K.; Bates, D.; Machinguiashi, R. A tropical forest transition? Agricultural change, out-migration, and secondary forests in the Ecuadorian Amazon. Ann. Assoc. Am. Geogr. 2002, 92, 87–102. [Google Scholar] [CrossRef]
- Rudel, T.K. Is there a forest transition? Deforestation, reforestation, and development. Rural. Sociol. 1998, 63, 533–552. [Google Scholar] [CrossRef]
- Southworth, J.; Nagendra, H.; Cassidy, L. Forest transition pathways in Asia—Studies from Nepal, India, Thailand, and Cambodia. J. Land Use Sci. 2012, 7, 51–65. [Google Scholar] [CrossRef]
- Hecht, S. The new rurality: Globalization, peasants and the paradoxes of landscapes. Land Use Policy 2010, 27, 161–169. [Google Scholar] [CrossRef]
- De Jong, W. Forest rehabilitation and its implication for forest transition theory. Biotropica 2010, 42, 3–9. [Google Scholar] [CrossRef]
- Angelsen, A. Forest Cover Change in Space and Time: Combining the von Thüunen and Forest Transition Theories; Policy Research working paper 4117; World Bank: Washington, DC, USA, 2007; p. 42. [Google Scholar]
- Satake, A.; Rudel, T.K. Modeling the forest transition: Forest scarcity and ecosystem service hypotheses. Ecol. Appl. 2007, 17, 2024–2036. [Google Scholar] [CrossRef]
- Meyfroidt, P.; Rudel, T.K.; Lambin, E.F. Forest transitions, trade, and the global displacement of land use. Proc. Natl. Acad. Sci. USA 2010, 107, 20917–20922. [Google Scholar] [CrossRef] [PubMed]
- Meyfroidt, P.; Lambin, E.F. Forest transition in Vietnam and displacement of deforestation abroad. Proc. Natl. Acad. Sci. USA 2009, 106, 16139–16144. [Google Scholar] [CrossRef] [PubMed]
- Perz, S.G.; Walker, R.T. Household life cycles and secondary forest cover among small farm colonists in the Amazon. World Dev. 2002, 30, 1009–1027. [Google Scholar] [CrossRef]
- VanWey, L.K.; D’Antona, Á.O.; Brondizio, E.S. Household demographic change and land use/land cover change in the Brazilian Amazon. Popul. Environ. 2007, 28, 163–185. [Google Scholar] [CrossRef]
- Sloan, S. Reforestation amidst deforestation: Simultaneity and succession. Glob. Environ. Chang. 2008, 18, 425–441. [Google Scholar] [CrossRef]
- Aguilar-Støen, M.; Angelsen, A.; Moe, S.R. Back to the forest: Exploring forest transitions in Candelaria Loxicha, Mexico. Lat. Am. Res. Rev. 2011, 46, 194–216. [Google Scholar] [CrossRef]
- Mather, A.S. Recent Asian forest transitions in relation to forest transition theory. Int. For. Rev. 2007, 9, 491–502. [Google Scholar] [CrossRef]
- Angelsen, A. Moving Ahead with REDD: Issues, Options, and Implications; CIFOR: Bogor, Indonesia, 2008; p. 156. [Google Scholar]
- Meridian Institute. Modalities for REDD+ Reference Levels: Technical and Procedural Issues; Prepared for the government of Norway; Meridian Institute: Washington, DC, USA, 2011. [Google Scholar]
- Angelsen, A.; Kaimowitz, D. Agricultural Technologies and Tropical Deforestation; CABI Publishing in Association with CIFOR: Oxon, UK, 2001. [Google Scholar]
- Müller, D. Land use change in the Central Highlands of Vietnam: A spatial econometric model combining satellite imagery and village survey data; Institute of Rural Development, Georg-August-University of Göttingen: Göttingen, Germany, 2003. [Google Scholar]
- Rudel, T.K.; DeFries, R.; Asner, G.P.; Laurance, W.F. Changing drivers of deforestation and new opportunities for conservation. Conserv. Biol. 2009, 23, 1396–1405. [Google Scholar] [CrossRef]
- Fontes, F.; Palmer, C. “Land Sparing” in a von Thünen Framework: Theory and Evidence from Brazil. Land Econ. 2018, 94, 556–576. [Google Scholar] [CrossRef]
- Börner, J.; West, T.A.P.; Blackman, A.; Miteva, D.A.; Sims, K.R.E.; Wunder, S. National and subnational forest conservation policies: What works, what doesn’t. In Transforming REDD+: Lessons and New Directions; Angelsen, A., Ed.; CIFOR: Bogor, Indonesia, 2018; pp. 69–80. [Google Scholar]
- Angelsen, A.; Kaimowitz, D. Rethinking the causes of deforestation: Lessons from economic models. World Bank Res. Obs. 1999, 14, 73–98. [Google Scholar] [CrossRef]
- Geist, H.J.; Lambin, E.F. Proximate causes and underlying driving forces of tropical deforestation. BioScience 2002, 52, 143–150. [Google Scholar] [CrossRef]
- Busch, J.; Ferretti-Gallon, K. What drives deforestation and what stops it? A meta-analysis. Rev. Environ. Econ. Policy 2017, 11, 3–23. [Google Scholar] [CrossRef]
- Colfer, C.J.P.; Dahal, G.R.; Capistrano, D. Lessons from Forest Decentralization: Money, Justice and the Quest for Good Governance in Asia-Pacific; Earthscan: London, UK, 2008. [Google Scholar]
- Larson, A.M.; Ribot, J.C. Lessons from Forestry Decentralization. In Realizing REDD+: National Strategy and Policy Options; Angelsen, A., Ed.; CIFOR: Bogor, Indonesia, 2009. [Google Scholar]
- Wright, G.D.; Andersson, K.P.; Gibson, C.C.; Evans, T.P. Decentralization can help reduce deforestation when user groups engage with local government. Proc. Natl. Acad. Sci. USA 2016, 113, 14958–14963. [Google Scholar] [CrossRef]
- Alston, L.J.; Libecap, G.D.; Mueller, B. Land reform policies, the sources of violent conflict, and implications for deforestation in the Brazilian Amazon. J. Environ. Econ. Manag. 2000, 39, 162–188. [Google Scholar] [CrossRef]
- Rudel, T. Can a reduced emissions agricultural policy (REAP) help make REDD work? In Realizing REDD: National Strategy and Policy Options; Angelsen, A., Ed.; CIFOR: Bogor, Indonesia, 2009. [Google Scholar]
- Spracklen, B.D.; Kalamandeen, M.; Galbraith, D.; Gloor, E.; Spracklen, D.V. A global analysis of deforestation in moist tropical forest protected areas. PLoS ONE 2015, 10, e0143886. [Google Scholar] [CrossRef] [PubMed]
- Joppa, L.; Pfaff, A. Reassessing the forest impacts of protection. Ann. N. Y. Acad. Sci. 2010, 1185, 135–149. [Google Scholar] [CrossRef] [PubMed]
- Wunder, S. Revisiting the concept of payments for environmental services. Ecol. Econ. 2015, 117, 234–243. [Google Scholar] [CrossRef]
- Tacconi, L. Redefining payments for environmental services. Ecol. Econ. 2012, 73, 29–36. [Google Scholar] [CrossRef]
- Alix-Garcia, J.; Sims, K.R.E.; Yañez-Pagans, P. Only one tree from each seed? Environmental effectiveness and poverty alleviation in mexico’s payments for ecosystem services program. Am. Econ. J. Econ. Policy 2015, 7, 1–40. [Google Scholar] [CrossRef]
- Tachibana, T.; Nguyen, T.M.; Otsuka, K. Agricultural intensification versus extensification: A case study of deforestation in the northern-hill region of Vietnam. J. Environ. Econ. Manag. 2001, 41, 44–69. [Google Scholar] [CrossRef]
- Kerkvliet, B.J.T. The Power of Everyday Politics; Cornell University Press: Ithaca, NY, USA, 2005; p. 305. [Google Scholar]
- Meyfroidt, P.; Vu, T.P.; Hoang, V.A. Trajectories of deforestation, coffee expansion and displacement of shifting cultivation in the Central Highlands of Vietnam. Glob. Environ. Chang. 2013, 23, 1187–1198. [Google Scholar] [CrossRef]
- De Koninck, R. Deforestation in Vietnam; International Development Research Centre (IDRC): Ottawa, ON, Canada, 1999. [Google Scholar]
- McElwee, P. Forests are Gold. Trees, People, and Environmental Rule in Vietnam; University of Washington Press: Seattle, WA, USA; London, UK, 2016; p. 283. [Google Scholar]
- Minot, N.; Goletti, F. Rice Market Liberalization and Poverty in Vietnam; International Food Policy Research Institute: Washington, DC, USA, 2000. [Google Scholar]
- Ut, T.T.; Kajisa, K. The impact of green revolution on rice production in Vietnam. Dev. Econ. 2006, 44, 167–189. [Google Scholar] [CrossRef]
- FAO. FAOSTAT, Crops; FAO: Rome, Italy, 2020. [Google Scholar]
- D’Haeze, D.; Deckers, J.; Raes, D.; Phong, T.; Loi, H. Environmental and socio-economic impacts of institutional reforms on the agricultural sector of Vietnam: Land suitability assessment for Robusta coffee in the Dak Gan region. Agric. Ecosyst. Environ. 2005, 105, 59–76. [Google Scholar] [CrossRef]
- Nhan, D.T. Orientations of Vietnam coffee industry. In Proceedings of the International Coffee Conference, London, UK, 17–19 May 2001. [Google Scholar]
- Long, V.; Vu, T.P. Report on Review of Forestry Policies in Vietnam; Research Centre for Forest Ecology and Environment: Hanoi, Vietnam, 2011. [Google Scholar]
- SRV. Vietnam Forestry Development Strategy 2006–2020; Socialist Republic of Vietnam: Hanoi, Vietnam, 2007; p. 53. [Google Scholar]
- Do, Q.T.; Iyer, L. Land rights and economic development: Evidence from Vietnam. In Policy Research Working Paper; World Bank: Washington, DC, USA, 2003. [Google Scholar]
- Bayrak, M.M.; Tu, T.N.; Burgers, P. Restructuring space in the name of development: The sociocultural impact of the Forest Land Allocation Program on the indigenous Co Tu people in Central Vietnam. J. Politi. Ecol. 2013, 20, 37–52. [Google Scholar] [CrossRef][Green Version]
- UN-REDD. UN-REDD Vietnam Phase II Programme: Operationalising REDD+ in Vietnam; UN-REDD Programme: Hanoi, Vietnam, 2012. [Google Scholar]
- SRV. Circular No. 34/2009/TT-BNNPTNT of June 10, 2009, On Criteria for Forest Identification and Classification; Minsitry of Agriculture and Rural Development (MARD): Hanoi, Vietnam, 2009; p. 6.
- Sowerwine, J.C. Territorialisation and the politics of highland landscapes in Vietnam: Negotiating property relations in policy, meaning and practice. Conserv. Soc. 2004, 2, 97–136. [Google Scholar]
- Castella, J.C.; Dang, D.Q. Doi Moi in the Mountains: Land Use Changes and Farmers’ Livelihood Strategies in Bac Kan Province, Vietnam; The Agricultural Publishing House: Hanoi, Vietnam, 2002. [Google Scholar]
- Clement, F.; Amezaga, J.M. Afforestation and forestry land allocation in northern Vietnam: Analysing the gap between policy intentions and outcomes. Land Use Policy 2009, 26, 458–470. [Google Scholar] [CrossRef]
- Trædal, L.T.; Vedeld, P. Cultivating forests: The role of forest land in household livelihood adaptive strategies in the Bac Kan Province of northern Vietnam. Land Use Policy 2018, 73, 249–258. [Google Scholar] [CrossRef]
- Do, T.H. Who is Planting or Removing Trees? ICRAF: Hanoi, Vietnam, 2014. [Google Scholar]
- Fatoux, C. From Rice Cultivator to Agroforester Within A Decade: The Impact of Doi Moi On Agricultural Diversification in a Mountainous Commune of Cho Moi District, Bac Kan Province, Vietnam. In Doi Moi in the Mountains: Land Use Changes and Farmers’ Livelihood Strategies in Bac Kan Province, Vietnam; The Agricultural Publishing House: Hanoi, Vietnam, 2002. [Google Scholar]
- Nguyen, N.L. National reforestation, regional deforestation? Cross-boarder timber trade and forest transition in Vietnam. In School of Economics and Business; Norwegian University of Life Sciences: Ås, Norway, 2013. [Google Scholar]
- Sadoulet, D. A short history of land use changes and farming system differentiation in Xuat Hoa Commune, Bac Kan Province, Vietnam. In Doi Moi in the Mountains: Land Use Changes and Farmers’ Livelihood Strategies in Bac Kan Province, Vietnam; Castella, J.C., Dang, D.Q., Eds.; The Agricultural Publishing House: Hanoi, Vietnam, 2002. [Google Scholar]
- Van Khuc, Q.; Tran, B.Q.; Meyfroidt, P.; Paschke, M.W. Drivers of deforestation and forest degradation in Vietnam: An exploratory analysis at the national level. For. Policy Econ. 2018, 90, 128–141. [Google Scholar] [CrossRef]
- FIPI (Forest Inventory and Planning Institute). 2013. Available online: www.kemintran.vn (accessed on 19 January 2015).
- Achard, F.; Beuchle, R.; Mayaux, P.; Stibig, H.J.; Bodart, C.; Brink, A.; Carboni, S.; Desclée, B.; Donnay, F.; Eva, H.D.; et al. Determination of tropical deforestation rates and related carbon losses from 1990 to 2010. Glob. Chang. Biol. 2014, 20, 2540–2554. [Google Scholar] [CrossRef]
- Déry, S. Agricultural colonisation in Lam Dong Province, Vietnam. Asia Pac. Viewp. 2000, 41, 35–49. [Google Scholar] [CrossRef]
- Trædal, L.T.; Vedeld, P.O. Livelihoods and land uses in environmental policy approaches: The case of PES and REDD+ in the Lam Dong Province of Vietnam. Forests 2017, 8, 39. [Google Scholar] [CrossRef]
- GSO. National Living Standard Survey; General Statistics Office: Hanoi, Vietnam, 2012.
- GSO. National Living Standard Survey; General Statistics Office of Vietnam: Hanoi, Vietnam, 2006.
- Hoang, M.H.; Do, T.H.; Pham, M.T.; Van Noordwijk, M.; Minang, P.A. Benefit distribution across scales to reduce emissions from deforestation and forest degradation (REDD+) in Vietnam. Land Use Policy 2013, 31, 48–60. [Google Scholar] [CrossRef]
- GSO. Statistical Data; General Statistics Office of Vietnam: Hanoi, Vietnam, 2016.
- PCI. Ranking-Chart PCI 2014. 2014. Available online: http://eng.pcivietnam.org/bang-xep-hang?f2=0&index=0&year=2014 (accessed on 8 September 2016).
- Agergaard, J.; Fold, N.; Gough, K.V. Global-local interactions: Socioeconomic and spatial dynamics in Vietnam’s coffee frontier. Geogr. J. 2009, 175, 133–145. [Google Scholar] [CrossRef]
- Ha, D.T.; Shively, G.E. Coffee boom, coffee bust and smallholder response in Vietnam’s central highlands. Rev. Dev. Econ. 2008, 12, 312–326. [Google Scholar] [CrossRef]
- Tan, N.Q. Environmental services in Vietnam: An analysis of the pilot project in Lam Dong Province. In Forest Conservation Project; Occasional Paper; Scheyvens, H., Ed.; IGES: Kanagawa, Japan, 2011. [Google Scholar]
- World Bank. Vietnam: Aligning Public Spending with Strategic Priorities in the Forestry Sector; The World Bank Rural Development, Natural Resources and Environment Department East Asia and Pacific Region: Washington, DC, USA, 2009. [Google Scholar]
- Alther, C. Impact of accessibility on the range of livelihood options available to farm households in mountainous areas of northern Vietnam. In Doi Moi in the Mountains. Land Use Changes and Farmers’ Livelihood Strategies in Bac Kan Province, Vietnam; Castella, J.C., Dang, D.Q., Eds.; The Agricultural Publishing House: Hanoi, Vietnam, 2002. [Google Scholar]
- Castella, J.C.; Manh, P.H.; Kam, S.P.; Villano, L.; Tronche, N.R. Analysis of village accessibility and its impact on land use dynamics in a mountainous province of northern Vietnam. Appl. Geogr. 2005, 25, 308–326. [Google Scholar] [CrossRef]
- Castella, J.C.; Boissau, S.; Thanh, N.H.; Novosad, P. Impact of forestland allocation on land use in a mountainous province of Vietnam. Land Use Policy 2006, 23, 147–160. [Google Scholar] [CrossRef]
- Dien, V.T.; Bay, P.N.; Stephen, P.; Chau, T.V.; Grais, A.; Petrova, S. Land Use, Forest Cover Change and Historical GHG Emission, From 1990 to 2010, Lam Dong Province, Vietnam; USAID: Hanoi, Vietnam, 2013. [Google Scholar]
- SNV. Cat Tien—How forbidden is the “Forbidden Forest”? SNV: Hanoi, Vietnam, 2010. [Google Scholar]
- Trædal, L.T.; Vedeld, P.O.; Petursson, J.G. Analyzing the transformations of forest PES in Vietnam: Implications for REDD+. For. Policy Econ. 2016, 62, 109–117. [Google Scholar] [CrossRef]
- McElwee, P. Payments for environmental services as neoliberal market-based forest conservation in Vietnam: Panacea or problem? Geoforum 2012, 43, 412–426. [Google Scholar] [CrossRef]
- DARD. Action Plan On “Reduction of Greenhouse Gas Emissions Through Efforts to Reduce Deforestation and Forest Degradation, Sustainable Management of Forest Resources, and Conservation and Enhancement of Forest Carbon Stocks” in Lam Dong Province, Period 2014–2020; Lam Dong People Committee: Dalat, Vietnam, 2014.
- Castella, J.C.; Erout, A. Montane paddy rice: The cornerstone of agricultural production systems in Bac Kan Province, Vietnam. In Doi Moi in the Mountains: Land Use Changes and Farmers’ Livelihood Strategies in Bac Kan Province, Vietnam; Castella, J.C., Dang, D.Q., Eds.; The Agricultural Publishing House: Hanoi, Vietnam, 2002; pp. 175–196. [Google Scholar]
- Pandey, S.; Van Minh, D. A socio-economic analysis of rice production systems in the uplands of northern Vietnam. Agric. Ecosyst. Environ. 1998, 70, 249–258. [Google Scholar] [CrossRef]
- Sikor, T. Financing Household Tree Plantations in Vietnam: Current Programmes and Future Options; Center for International Forestry Research (CIFOR): Bogor, Indonesia, 2011. [Google Scholar]
- Lang, C. The Pulp Invasion: The International Pulp and Paper Industry in the Mekong Region; World Rainforest Movement: Montevideo, Uruguay, 2002. [Google Scholar]
- DARD. REDD+ Provincial Action Plan: Reduction of Emissions From Deforestation, Degradation, Sustainable Management of Forests, Conservation and Enhancement of Forest Carbon Stocks in Bac Kan Province, in the Period Of 2016–2020; Dickson, B., Ed.; Department of Agriculture and Rural Development: Bac Kan, Vietnam, 2016.
- Zingerli, C. Contesting policies: Rural development versus biodiversity conservation in the Ba Be National Park area, Vietnam. In Doi Moi in the Mountains: Land Use Changes and Farmers’ Livelihood Strategies in Bac Kan Province Vietnam; Castella, J.C., Dang, D.Q., Eds.; The Agricultural Publishing House: Hanoi, Vietnam, 2002. [Google Scholar]
- Tran, K.T. Socio-Economic Survey for Assessing the VN Government Policy on Payment for Environmental Services for Lam Dong Province; Asia Regional Biodiversity Conservation Program: Ho Chi Minh City, Vietnam, 2010. [Google Scholar]
- Ogonowski, M.; Enright, A. Cost Implications for Pro-Poor REDD+ in Lam Dong Province, Vietnam: Opportunity Costs and Benefit Distribution Systems; IIED: London, UK, 2013. [Google Scholar]
- McElwee, P. Reforesting “bare hills” in Vietnam: Social and environmental consequences of the 5 million hectare reforestation program. Ambio 2009, 38, 325–333. [Google Scholar] [CrossRef]
- Castella, J.C.; Verburg, P.H. Combination of process-oriented and pattern-oriented models of land-use change in a mountain area of Vietnam. Ecol. Model. 2007, 202, 410–420. [Google Scholar] [CrossRef]
- Nikolic, N.; Schultze-Kraft, R.; Nikolić, M.; Böcker, R.; Holz, I. Land degradation on barren hills: A case study in northeast Vietnam. Environ. Manag. 2008, 42, 19–36. [Google Scholar] [CrossRef] [PubMed]
- Salemink, O. The Ethnography of Vietnam’s Central Highlanders: A Historical Contextualization 1850–1990; Routledge Curzon: London, UK, 2003; p. 383. [Google Scholar]
- Hoang, H.C. Participatory Rural Appraisal for the Project for Strengthening Community-Based Management Capacity of Bidoup-Nui Ba National Park; Department of Social Forestry and Agroforestry, Nong Lam University of Ho Chi Minh City: Ho Chi Minh City, Vietnam, 2011. [Google Scholar]
- To, P.X.; Dressler, W.H.; Mahanty, S.; Pham, T.T.; Zingerli, C. The prospects for payment for ecosystem services (PES) in Vietnam: A look at three payment schemes. Hum. Ecol. 2012, 40, 237–249. [Google Scholar] [CrossRef] [PubMed]
- Enright, A. The Lam Dong REDD+ Pilot Area, Vietnam: A Socioeconomic Baseline Survey; IIED: London, UK, 2012. [Google Scholar]
- Tinh, B.D.; Tuan, T.H.; Tran, P. Evaluation of the impact of pilot payments for forest environmental services (PFES) in Lam Dong Province, Vietnam. In Climate Risks, Regional Integration, and Sustainability in the Mekong Region; Lebel, L., Ed.; Sumernet, Stockholm Environment Institute, Strategic Information and Research Development Centre: Petaling Jaya, Malaysia, 2014; pp. 270–284. [Google Scholar]
- Castella, J.C.; Boissau, S.; Trung, T.N.; Quang, D.D. Agrarian transition and lowland–upland interactions in mountain areas in northern Vietnam: Application of a multi-agent simulation model. Agric. Syst. 2005, 86, 312–332. [Google Scholar] [CrossRef]
- Bernard, F. Towards a Landscape Approach for Reducing Emissions: Substantive Report of Reducing Emissions from All Land Uses (REALU) Project; World Agroforestry Centre–ICRAF: Nairobi, Kenya, 2013. [Google Scholar]
- Castella, J.C. Scaling up local diagnostic studies to understand development issues in a heterogenous mountain environment: An introduction to the SAM Program. In Doi Moi in the Mountains: Land Use Changes and Farmers’ Livelihood Strategies in Bac Kan Province, Vietnam; Castella, J.C., Dang, D.Q., Eds.; The Agricultural Publishing House: Hanoi, Vietnam, 2002. [Google Scholar]
- Castella, J.C.; Tronche, N.R.; Vu, N. Landscape changes in Cho Don District during the doi moi era (1990–2000) and their implications for sustainable natural resource management in Viet Nam’s mountainous provinces. In Doi Moi in the Mountains: Land Use Changes and Farmers’ Livelihood Strategies in Bac Kan Province, Vietnam; Castella, J.C., Quang, D.D., Eds.; The Agricultural Publishing House: Hanoi, Vietnam, 2002. [Google Scholar]




| Frontier Areas (Lam Dong) | Forest-Agriculture Mosaics (Bac Kan) |
|---|---|
| Land scarcity | Forest scarcity |
| High economic returns on land (agric. land rent) | Environmental services scarcity |
| Environmental services scarcity | Economic development |
| Population growth | Diminishing agric. rents |
| Market integration | Urbanization |
| Province (Total Land Area, ha) | Forest Cover (ha) | Annual Change | ||
|---|---|---|---|---|
| 1999 | 2011 | ha | pct. | |
| Lam Dong (978,300) | ||||
| Total Forest | 618,537 | 598,192 | −1695 | −0.28 |
| -Natural Forest | 591,210 | 532,399 | −4901 | −0.87 |
| -Plantations | 27,327 | 65,794 | 3205 | 7.60 |
| Bac Kan (486,000) | ||||
| Total Forest | 235,247 | 296,947 | 5141 | 1.96 |
| -Natural Forest | 224,114 | 226,736 | 219 | 0.10 |
| -Plantations | 11,133 | 70,211 | 4923 | 16.59 |
| Lam Dong (Frontier) | Bac Kan (Mosaic) | |||
|---|---|---|---|---|
| 1999 | 2012 | 1999 | 2012 | |
| Population (‘000) | 1005 | 1232 | 276 | 303 |
| Population density (per km2) | 102.9 | 126.1 | 56.8 | 62.4 |
| Monthly per capita real income (USD) | 17.5 | 79.8 | 7.9 | 49.2 |
| Lam Dong (Frontier) | Bac Kan (Mosaic) | ||
|---|---|---|---|
| Structural changes and post-doi moi policies | Population growth | Land scarcity (−) Forest scarcity (more illegal activities) (?) | Land scarcity (−) Forest scarcity (+) |
| Commodity market | Coffee price increase. Higher agric. rent | Development of a pulp and paper industry. Forest scarcity (more forest plantations) (+) | |
| Urbanization | Limited effect (0) | Limited effect (0) | |
| General policies | Market liberalization (late 1980s) | New Economic Zone. Perennial crops for global market. Higher agric. rent (−) | Still subsistence oriented (paddy) (0) |
| Land tenure reforms (1991/1993) | Devolution of agric. land rights/illegal expansion into forest land (−) | Individualization of land rights (both agric and forest) higher agric. rent (−) but also incentives for tree planting (+) | |
| Migration policies (1975-) | Extensive in-migration causing land scarcity (−) | Limited (0) | |
| Agricultural policies | Government support to perennial crop production (mid 80s). Higher agric. rents (−) | Intensification (2–3 crops per year) (mid 80s). Reduced agric. rent on marginal lands (+) | |
| Sector- specific policies | Regulation of activities | Ban on logging: Reduced state-led logging, but more illegal activities (?) | Ban on shifting agriculture: Assumed positive, but continued illegal logging (?) |
| Tree plantations (1993/97) | Limited/limiting negative trend of forest loss (+) | Tree planting (+) | |
| Protected areas | Establishment of national parks (2004/2005) (risk of leakage) (?0) | Establishment of national parks (2011). Indirect effects due to terrain (risk of leakage) (?0) | |
| PES (2005) | Intensified patrolling/control assumed positive. Opportunity costs outperform PES payments (+?) | Limited (not fully implemented) (0) | |
© 2020 by the authors. Licensee MDPI, Basel, Switzerland. This article is an open access article distributed under the terms and conditions of the Creative Commons Attribution (CC BY) license (http://creativecommons.org/licenses/by/4.0/).
Share and Cite
Trædal, L.T.; Angelsen, A. Policies Drive Sub-National Forest Transitions in Vietnam. Forests 2020, 11, 1038. https://doi.org/10.3390/f11101038
Trædal LT, Angelsen A. Policies Drive Sub-National Forest Transitions in Vietnam. Forests. 2020; 11(10):1038. https://doi.org/10.3390/f11101038
Chicago/Turabian StyleTrædal, Leif Tore, and Arild Angelsen. 2020. "Policies Drive Sub-National Forest Transitions in Vietnam" Forests 11, no. 10: 1038. https://doi.org/10.3390/f11101038
APA StyleTrædal, L. T., & Angelsen, A. (2020). Policies Drive Sub-National Forest Transitions in Vietnam. Forests, 11(10), 1038. https://doi.org/10.3390/f11101038

