Effects of Mechanical Site Preparation on Microsite Availability and Growth of Planted Black Spruce in Canadian Paludified Forests
Abstract
1. Introduction
2. Materials and Methods
2.1. Study Site and Experimental Design
2.2. Data Collection
2.3. Data Analysis
3. Results
3.1. Availability of Microsites
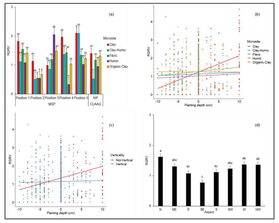
3.2. Seedling Growth
3.3. Path Analysis and Correlations among Variables Influencing Growth
3.4. Post-Planting Ericaceae Cover
4. Discussion
4.1. Availability of Microsites
4.2. Seedling Growth
4.3. Relationships among the Variables That Influence Seedling Growth
4.4. Abundance of Ericaceae
5. Conclusions and Implications for Forest Management
Supplementary Materials
Author Contributions
Funding
Acknowledgments
Conflicts of Interest
References
- Rossi, S.; Cairo, E.; Krause, C.; Deslauriers, A. Growth and basic wood properties of black spruce along an alti-latitudinal gradient in Quebec, Canada. Ann. For. Sci. 2015, 72, 77–87. [Google Scholar] [CrossRef]
- Kurz, W.A.; Shaw, C.H.; Boisvenue, C.; Stinson, G.; Metsaranta, J.; Leckie, D.; Dyk, A.; Smyth, C.; Neilson, E.T. Carbon in Canada’s boreal forest—A synthesis. Environ. Rev. 2013, 21, 260–292. [Google Scholar] [CrossRef]
- Munson, A.D.; Timmer, V.R. Site-specific growth and nutrition of planted Piceamariana in the Ontario Clay Belt.: I. Early performance. Can. J. For. Res. 1989, 19, 162–170. [Google Scholar] [CrossRef]
- Harper, K.; Boudreault, C.; DeGrandpré, L.; Drapeau, P.; Gauthier, S.; Bergeron, Y. Structure, composition, and diversity of old-growth black spruce boreal forest of the Clay Belt region in Quebec and Ontario. Environ. Rev. 2003, 11, S79–S98. [Google Scholar] [CrossRef]
- Siren, G. The development of Spruce forest on raw humus sites in northern Finland and its ecology. Acta For. Fenn. 1955, 62, 1–408. [Google Scholar] [CrossRef]
- Canadian Agricultural Services Coordinating Committee; Soil Classification Working Group; National Research Council Canada; Agriculture and Agri-Food Canada; Research Branch. The Canadian System of Soil Classification; NRC Research Press: Ottawa, ON, Canada, 1998; ISBN 978-0-660-17404-4.
- Henneb, M.; Valeria, O.; Fenton, N.J.; Thiffault, N.; Bergeron, Y. Mechanical site preparation: Key to microsite creation success on Clay Belt paludified sites. For. Chron. 2015, 91, 187–196. [Google Scholar] [CrossRef]
- Fenton, N.; Lecomte, N.; Légaré, S.; Bergeron, Y. Paludification in black spruce (Picea mariana) forests of eastern Canada: Potential factors and management implications. For. Ecol. Manag. 2005, 213, 151–159. [Google Scholar] [CrossRef]
- Lavoie, M.; Paré, D.; Fenton, N.; Groot, A.; Taylor, K. Paludification and management of forested peatlands in Canada: A literature review. Environ. Rev. 2005, 13, 21–50. [Google Scholar] [CrossRef]
- Jutras, S.; Bégin, J.; Plamondon, A.P.; Hökkä, H. Draining an unproductive black spruce peatland stand: 18-year post-treatment tree growth and stand productivity estimation. For. Chron. 2007, 83, 723–732. [Google Scholar] [CrossRef]
- Bergeron, Y.; Drapeau, P.; Gauthier, S.; Lecomte, N. Using knowledge of natural disturbances to support sustainable forest management in the northern Clay Belt. For. Chron. 2007, 83, 326–337. [Google Scholar] [CrossRef]
- Salemaa, M.; Derome, J.; Nöjd, P. Response of boreal forest vegetation to the fertility status of the organic layer along a climatic gradient. Boreal Environ. Res. 2008, 13, 48–66. [Google Scholar]
- Gower, S.T.; McMurtrie, R.E.; Murty, D. Aboveground net primary production decline with stand age: Potential causes. Trends Ecol. Evol. 1996, 11, 378–382. [Google Scholar] [CrossRef]
- Prescott, C.E.; Maynard, D.G.; Laiho, R. Humus in northern forests: Friend or foe? For. Ecol. Manag. 2000, 133, 23–36. [Google Scholar] [CrossRef]
- Simard, M.; Lecomte, N.; Bergeron, Y.; Bernier, P.Y.; Paré, D. Forest Productivity Decline Caused by Successional Paludification of Boreal Soils. Ecol. Appl. 2007, 17, 1619–1637. [Google Scholar] [CrossRef] [PubMed]
- Prévost, M. Effets du scarifiage sur les propriétés du sol et l’ensemencement naturel dans une pessière noire à mousses de la forêt boréale québécoise. Can. J. For. Res. 1996, 26, 72–86. [Google Scholar] [CrossRef]
- Prévost, M.; Dumais, D. Croissance et statut nutritif de marcottes, de semis naturels et de plants d’épinette noire à la suite du scarifiage: Résultats de 10 ans. Can. J. For. Res. 2003, 33, 2097–2107. [Google Scholar] [CrossRef]
- Thiffault, N.; Titus, B.D.; Munson, A.D. Black spruce seedlings in a Kalmia–Vaccinium association: Microsite manipulation to explore interactions in the field. Can. J. For. Res. 2004, 34, 1657–1668. [Google Scholar] [CrossRef]
- Thiffault, N.; Picher, G.; Auger, I. Initial distance to Kalmia angustifolia as a predictor of planted conifer growth. New For. 2012, 43, 849–868. [Google Scholar] [CrossRef]
- Thiffault, N.; Fenton, N.J.; Munson, A.D.; Hébert, F.; Fournier, R.A.; Valeria, O.; Bradley, R.L.; Bergeron, Y.; Grondin, P.; Paré, D.; et al. Managing Understory Vegetation for Maintaining Productivity in Black Spruce Forests: A Synthesis within a Multi-Scale Research Model. Forests 2013, 4, 613–631. [Google Scholar] [CrossRef]
- Thiffault, N.; Titus, B.D.; Munson, A.D. Silvicultural options to promote seedling establishment on Kalmia–Vaccinium-dominated sites. Scand. J. For. Res. 2005, 20, 110–121. [Google Scholar] [CrossRef]
- Mallik, A.U. Ecology of a forest weed of Newfoundland: Vegetative regeneration strategy of Kalmia angustifolia. Can. J. Bot. 1993, 71, 161–166. [Google Scholar] [CrossRef]
- Hébert, F.; Thiffault, N. The Biology of Canadian Weeds. 146. Rhododendron groenlandicum (Oeder) Kron and Judd. Can. J. Plant Sci. 2011, 91, 725–738. [Google Scholar] [CrossRef]
- Lafleur, B.; Paré, D.; Fenton, N.J.; Bergeron, Y. Growth and nutrition of black spruce seedlings in response to disruption of Pleurozium and Sphagnum moss carpets in boreal forested peatlands. Plant Soil 2011, 345, 141–153. [Google Scholar] [CrossRef]
- Sutton, R.F. Mounding site preparation: A review of European and North American experience. New For. 1993, 7, 151–192. [Google Scholar] [CrossRef]
- Sutherland, B.; Foreman, F.F. Black spruce and vegetation response to chemical and mechanical site preparation on a boreal mixedwood site. Can. J. For. Res. 2000, 30, 1561–1570. [Google Scholar] [CrossRef]
- Smith, C.K.; Coyea, M.R.; Munson, A.D. Soil Carbon, Nitrogen, and Phosphorus Stocks and Dynamics under Disturbed Black Spruce Forests. Ecol. Appl. 2000, 10, 775–788. [Google Scholar] [CrossRef]
- Yamasaki, S.H.; Fyles, J.W.; Titus, B.D. Interactions among Kalmia angustifolia, soil characteristics, and the growth and nutrition of black spruce seedlings in two boreal Newfoundland plantations of contrasting fertility. Can. J. For. Res. 2002, 32, 2215–2224. [Google Scholar] [CrossRef]
- Mallik, A.U. Conifer Regeneration Problems in Boreal and Temperate Forests with Ericaceous Understory: Role of Disturbance, Seedbed Limitation, and Keytsone Species Change. Crit. Rev. Plant Sci. 2003, 22, 341–366. [Google Scholar] [CrossRef]
- Bradley, R.L.; Titus, B.D.; Fyles, J.W. Nitrogen acquisition and competitive ability of Kalmia angustifolia L., paper birch (Betula papyrifera Marsh.) and black spruce (Picea mariana (Mill.) B.S.P.) seedlings grown on different humus forms. Plant Soil 1997, 195, 209–220. [Google Scholar] [CrossRef]
- Saucier, J.P.; Robitaille, A.; Grondin, P. Cadre bioclimatique du Québec. In Manuel de Foresterie; Multimondes: Montréal, QC, Canada, 2009; pp. 186–205. [Google Scholar]
- Veillette, J.J. Evolution and paleohydrology of glacial Lakes Barlow and Ojibway. Quat. Sci. Rev. 1994, 13, 945–971. [Google Scholar] [CrossRef]
- Environment and Climate Change Canada. Canadian Climate Normals. Available online: http://climate.weather.gc.ca/climate_normals/index_e.html (accessed on 25 March 2018).
- Laamrani, A.; Valeria, O.; Cheng, L.Z.; Bergeron, Y.; Camerlynck, C. The use of ground penetrating radar for remote sensing the organic layer—Mineral soil interface in paludified boreal forests. Can. J. Remote Sens. 2013, 39, 74–88. [Google Scholar] [CrossRef]
- Laamrani, A.; Valeria, O.; Fenton, N.; Bergeron, Y. Landscape-Scale Influence of Topography on Organic Layer Accumulation in Paludified Boreal Forests. For. Sci. 2014, 60, 579–590. [Google Scholar] [CrossRef]
- Groot, A.; Lussier, J.-M.; Mitchell, A.K.; MacIsaac, D.A. A silvicultural systems perspective on changing Canadian forestry practices. For. Chron. 2005, 81, 50–55. [Google Scholar] [CrossRef]
- ESRI. ArcGIS Desktop: Release 10.4; Environmental Systems Research Institute: Redlands, CA, USA, 2015. [Google Scholar]
- Stanek, W.; Silc, T. Comparisons of Four Methods for Determination of Degree of Peat Humification (decomposition) with Emphasis on the Von Post Method. Can. J. Soil Sci. 1977, 57, 109–117. [Google Scholar] [CrossRef]
- MFFP (Ministère des Forêts, de la Faune et des Parcs). Qualité des Plantations—Guide de L’évaluateur; Gouvernement du Québec, Direction de L’aménagement et de L’environnement Forestiers: Quebec City, QC, Canada, 2016; 35p. Available online: https://mffp.gouv.qc.ca/publications/forets/connaissances/guide-evaluateur-qualite-plantations.pdf (accessed on 1 June 2018).
- R Core Team. R: A Language and Environment for Statistical Computing; R Fondation for Statistical Computing: Vienna, Austria, 2018. [Google Scholar]
- Johnson, K.D.; Scatena, F.N.; Johnson, A.H.; Pan, Y. Controls on soil organic matter content within a northern hardwood forest. Geoderma 2009, 148, 346–356. [Google Scholar] [CrossRef]
- Häring, T.; Dietz, E.; Osenstetter, S.; Koschitzki, T.; Schröder, B. Spatial disaggregation of complex soil map units: A decision-tree based approach in Bavarian forest soils. Geoderma 2012, 185–186, 37–47. [Google Scholar] [CrossRef]
- De’ath, G.; Fabricius, K.E. Classification and Regression Trees: A Powerful yet Simple Technique for Ecological Data Analysis. Ecology 2000, 81, 3178–3192. [Google Scholar] [CrossRef]
- Avery, T.E.; Burkhart, H.E. Forest Measurements, 5th ed.; Waveland Press Inc.: Long Grove, IL, USA, 2015; ISBN 978-1-4786-2974-0. [Google Scholar]
- Margolis, H.A.; Brand, D.G. An ecophysiological basis for understanding plantation establishment. Can. J. For. Res. 1990, 20, 375–390. [Google Scholar] [CrossRef]
- Mansuy, N.; Valeria, O.; Laamrani, A.; Fenton, N.; Guindon, L.; Bergeron, Y.; Beaudoin, A.; Légaré, S. Digital mapping of paludification in soils under black spruce forests of eastern Canada. Geoderma Reg. 2018, 15, e00194. [Google Scholar] [CrossRef]
- Rosseel, Y. lavaan: An R Package for Structural Equation Modeling. J. Stat. Softw. 2012, 48, 1–36. [Google Scholar] [CrossRef]
- Kögel-Knabner, I.; Guggenberger, G.; Kleber, M.; Kandeler, E.; Kalbitz, K.; Scheu, S.; Eusterhues, K.; Leinweber, P. Organo-mineral associations in temperate soils: Integrating biology, mineralogy, and organic matter chemistry. J. Plant Nutr. Soil Sci. 2008, 171, 61–82. [Google Scholar] [CrossRef]
- Prévost, M. Effets du scarifiage sur les propriétés du sol, la croissance des semis et la compétition: Revue des connaissances actuelles et perspectives de recherches au Québec. Ann. Sci. For. 1992, 49, 277–296. [Google Scholar] [CrossRef]
- Örlander, G.; Gemmel, P.; Hunt, J. Site Preparation: A Swedish Overview; FRDA: Victoria, BC, Canada, 1990; Volume 61. [Google Scholar]
- Cole, E.C.; Newton, M.; Youngblood, A. Regenerating white spruce, paper birch, and willow in south-central Alaska. Can. J. For. Res. 1999, 29, 993–1001. [Google Scholar] [CrossRef]
- Löf, M.; Dey, D.C.; Navarro, R.M.; Jacobs, D.F. Mechanical site preparation for forest restoration. New For. 2012, 43, 825–848. [Google Scholar] [CrossRef]
- Harvey, B.; Brais, S. Effects of mechanized careful logging on natural regeneration and vegetation competition in the southeastern Canadian boreal forest. Can. J. For. Res. 2002, 32, 653–666. [Google Scholar] [CrossRef]
- Wershaw, R. Model for Humus in Soils and Sediments. Environ. Sci. Technol. 1993, 27, 814–816. [Google Scholar] [CrossRef]
- Binkley, D.; Fisher, R. Ecology and Management of Forest Soils; John Wiley & Sons: New York, NY, USA, 2012; ISBN 978-1-118-42232-8. [Google Scholar]
- Lecomte, N.; Simard, M.; Bergeron, Y. Effects of fire severity and initial tree composition on stand structural development in the coniferous boreal forest of northwestern Québec, Canada. Écoscience 2006, 13, 152–163. [Google Scholar] [CrossRef]
- Lecomte, N.; Bergeron, Y. Successional pathways on different surficial deposits in the coniferous boreal forest of the Quebec Clay Belt. Can. J. For. Res. 2005, 35, 1984–1995. [Google Scholar] [CrossRef]
- Lafleur, B.; Paré, D.; Fenton, N.J.; Bergeron, Y. Do harvest methods and soil type impact the regeneration and growth of black spruce stands in northwestern Quebec? Can. J. For. Res. 2010, 40, 1843–1851. [Google Scholar] [CrossRef]
- Von der Gönna, M.A. Fundamentals of Mechanical Site Preparation; British Columbia Ministry of Forests: Victoria, BC, Canada, 1992.
- Sutinen, R.; Pänttäjä, M.; Teirilä, A.; Sutinen, M.-L. Effect of mechanical site preparation on soil quality in former Norway spruce sites. Geoderma 2006, 136, 411–422. [Google Scholar] [CrossRef]
- Närhi, P.; Gustavsson, N.; Sutinen, M.-L.; Mikkola, K.; Sutinen, R. Long-term effect of site preparation on soil quality in Tuntsa, Finnish Lapland. Geoderma 2013, 192, 1–6. [Google Scholar] [CrossRef]
- Bruand, A.; Tessier, D. Water retention properties of the clay in soils developed on clayey sediments: Significance of parent material and soil history. Eur. J. Soil Sci. 2000, 51, 679–688. [Google Scholar] [CrossRef]
- Boivin, P.; Garnier, P.; Tessier, D. Relationship between Clay Content, Clay Type, and Shrinkage Properties of Soil Samples. Soil Sci. Soc. Am. J. 2004, 68, 1145–1153. [Google Scholar] [CrossRef]
- Bergsten, U.; Goulet, F.; Lundmark, T.; Löfvenius, M.O. Frost heaving in a boreal soil in relation to soil scarification and snow cover. Can. J. For. Res. 2001, 31, 1084–1092. [Google Scholar] [CrossRef]
- de Chantal, M.; Leinonen, K.; Ilvesniemi, H.; Westman, C.J. Combined effects of site preparation, soil properties, and sowing date on the establishment of Pinus sylvestris and Picea abies from seeds. Can. J. For. Res. 2003, 33, 931–945. [Google Scholar] [CrossRef]
- Lavoie, M.; Paré, D.; Bergeron, Y. Relationships between microsite type and the growth and nutrition of young black spruce on post-disturbed lowland black spruce sites in eastern Canada. Can. J. For. Res. 2007, 37, 62–73. [Google Scholar] [CrossRef]
- DesRochers, A.; Gagnon, R. Erratum: Is ring count at ground level a good estimation of black spruce age? Can. J. For. Res. 1997, 27, 1703. [Google Scholar] [CrossRef]
- Krause, C.; Morin, H. Adventive-root development in mature black spruce and balsam fir in the boreal forests of Quebec, Canada. Can. J. For. Res. 2005, 35, 2642–2654. [Google Scholar] [CrossRef]
- LeBarron, R.K. Adjustment of Black Spruce Root Systems to Increasing Depth of Peat. Ecology 1945, 26, 309–311. [Google Scholar] [CrossRef]
- Pernot, C.; Thiffault, N.; DesRochers, A. Influence of Root System Characteristics on Black Spruce Seedling Responses to Limiting Conditions. Plants 2019, 8, 70. [Google Scholar] [CrossRef]
- Laamrani, A.; Valeria, O.; Fenton, N.; Bergeron, Y.; Cheng, L.Z. The role of mineral soil topography on the spatial distribution of organic layer thickness in a paludified boreal landscape. Geoderma 2014, 221–222, 70–81. [Google Scholar] [CrossRef]
- McCune, B. Improved estimates of incident radiation and heat load using non- parametric regression against topographic variables. J. Veg. Sci. 2007, 18, 751–754. [Google Scholar] [CrossRef]
- Økland, T. Vegetation-Environment Relationships of Boreal Spruce Forests in Ten Monitoring Reference Areas in Norway; Botanical Garden and Museum, University of Oslo: Oslo, Norway, 1996; Volume 22, pp. 1–349. [Google Scholar]
- Nguyen-Xuan, T.; Bergeron, Y.; Simard, D.; Fyles, J.W.; Paré, D. The importance of forest floor disturbance in the early regeneration patterns of the boreal forest of western and central Quebec: A wildfire versus logging comparison. Can. J. For. Res. 2000, 30, 1353–1364. [Google Scholar] [CrossRef]
- Thiffault, N.; Grondin, P.; Noël, J.; Poirier, V. Ecological gradients driving the distribution of four Ericaceae in boreal Quebec, Canada. Ecol. Evol. 2015, 5, 1837–1853. [Google Scholar] [CrossRef] [PubMed]







| Selected Variables and Variables Interactions | Df | Sum Sq | Mean Sq | F-Value | p-Value (>F) |
|---|---|---|---|---|---|
| Treatment | 2 | 4.7219 | 2.3610 | 4.5835 | 0.013 |
| Planting position | 4 | 4.9752 | 1.2438 | 2.4147 | 0.048 |
| Aspect | 6 | 6.7586 | 1.1264 | 2.1868 | 0.043 |
| Microsite type × Planting position | 16 | 15.3619 | 0.9601 | 1.8640 | 0.021 |
| Microsite type × Planting depth | 4 | 5.0100 | 1.2525 | 2.4316 | 0.047 |
| OLT reduction × OLT post-CLAAG | 1 | 3.6261 | 3.6261 | 7.0397 | 0.008 |
| Planting depth × Seedling verticality | 1 | 2.1480 | 2.1480 | 4.1701 | 0.042 |
| Treatment × OLT post-CLAAG × OLT reduction | 4 | 15.4200 | 3.8550 | 7.4840 | <0.001 |
© 2019 by the authors. Licensee MDPI, Basel, Switzerland. This article is an open access article distributed under the terms and conditions of the Creative Commons Attribution (CC BY) license (http://creativecommons.org/licenses/by/4.0/).
Share and Cite
Henneb, M.; Valeria, O.; Thiffault, N.; Fenton, N.J.; Bergeron, Y. Effects of Mechanical Site Preparation on Microsite Availability and Growth of Planted Black Spruce in Canadian Paludified Forests. Forests 2019, 10, 670. https://doi.org/10.3390/f10080670
Henneb M, Valeria O, Thiffault N, Fenton NJ, Bergeron Y. Effects of Mechanical Site Preparation on Microsite Availability and Growth of Planted Black Spruce in Canadian Paludified Forests. Forests. 2019; 10(8):670. https://doi.org/10.3390/f10080670
Chicago/Turabian StyleHenneb, Mohammed, Osvaldo Valeria, Nelson Thiffault, Nicole J. Fenton, and Yves Bergeron. 2019. "Effects of Mechanical Site Preparation on Microsite Availability and Growth of Planted Black Spruce in Canadian Paludified Forests" Forests 10, no. 8: 670. https://doi.org/10.3390/f10080670
APA StyleHenneb, M., Valeria, O., Thiffault, N., Fenton, N. J., & Bergeron, Y. (2019). Effects of Mechanical Site Preparation on Microsite Availability and Growth of Planted Black Spruce in Canadian Paludified Forests. Forests, 10(8), 670. https://doi.org/10.3390/f10080670

