Importance of the Local Environment on Nutrient Cycling and Litter Decomposition in a Tall Eucalypt Forest
Abstract
1. Introduction
- Field measurements on the standing pattern (size structure, density, and species composition) of mature trees, used as a proxy for productivity;
- Sampling and analysis of the soil-nutrient composition in the local environment (i.e., across field sites) and assessment of its relationship to site biomass; and
- Evaluation of the association between forest-litter quality (different species mixes) and quantity, and the rate of decomposition, as a measure of turnover.
2. Materials and Methods
2.1. Study Site
2.2. Site Selection and Survey Technique
2.3. Soil Sampling and Processing
2.4. Assessing Field Nutrient Availability
2.5. Determining Nitrogen Mineralisation Rate
2.6. Statistical Methods
2.7. Laboratory Litter Experiment
3. Results
3.1. Relationship between Size of Trees and Total Basal Area across All 24 Plots
3.2. Local Soil Nutrient Availability
3.3. Local C and N Dynamics
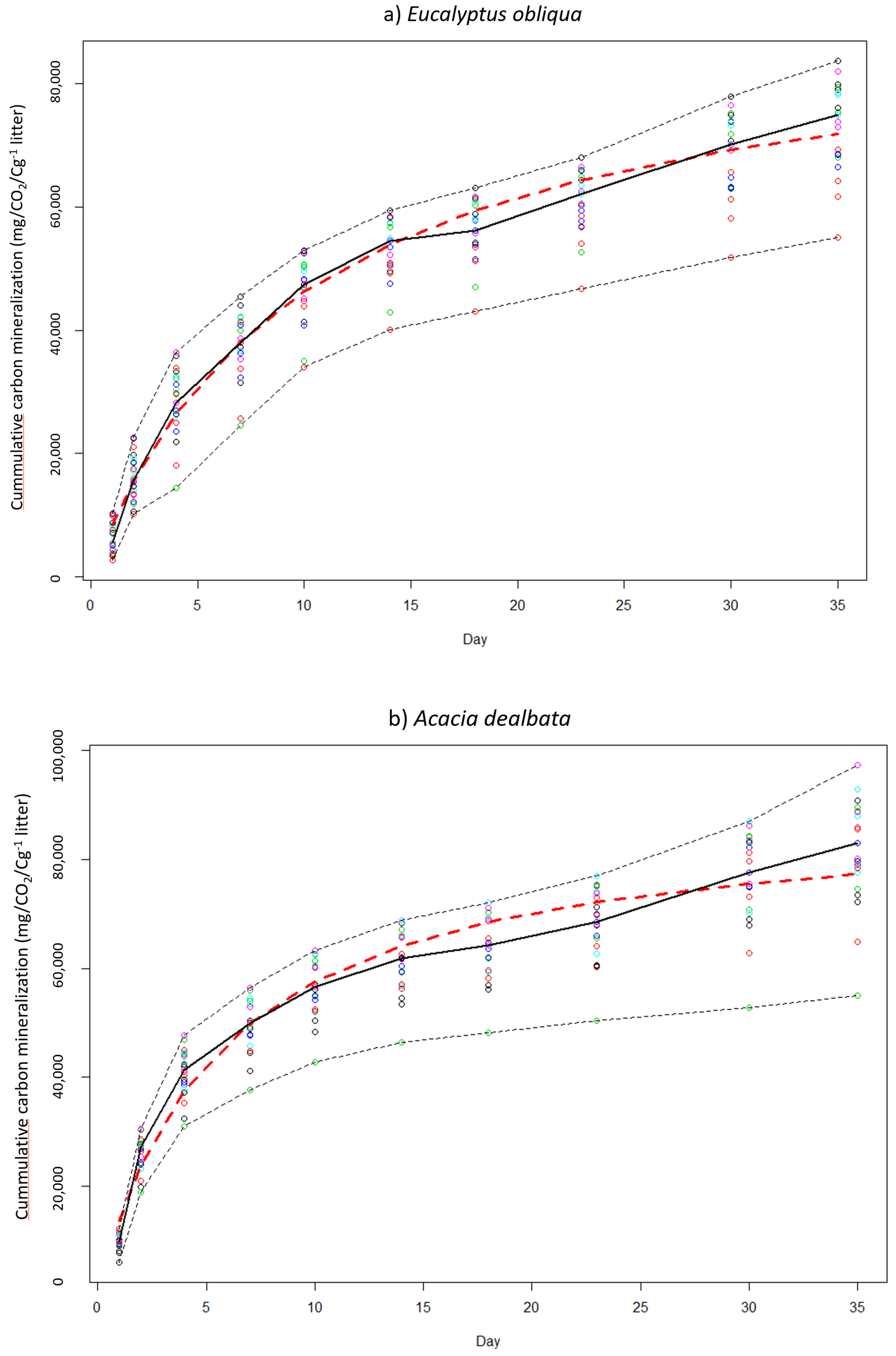
3.4. Relationship between Litter Quality, Quantity, and Litter Decomposition
4. Discussion
5. Conclusions
Supplementary Materials
Author Contributions
Funding
Conflicts of Interest
References
- Becker, K.; Wulfmeyer, V.; Berger, T.; Gebel, J.; Münch, W. Carbon farming in hot, dry coastal areas: An option for climate change mitigation. Earth Syst. Dyn. 2013, 4, 237–251. [Google Scholar] [CrossRef]
- Law, B.E.; Hudiburg, T.W.; Berner, L.T.; Kent, J.J.; Buotte, P.C.; Harmon, M.E. Land use strategies to mitigate climate change in carbon dense temperate forests. Proc. Natl. Acad. Sci. USA 2018, 115, 3663–3668. [Google Scholar] [CrossRef] [PubMed]
- Johnson, K.H.; Vogt, K.A.; Clark, H.J.; Schmitz, O.J.; Vogt, D.J. Biodiversity and the productivity and stability of ecosystems. Trends Ecol. Evol. 1996, 11, 372–377. [Google Scholar] [CrossRef]
- Wright, I.J.; Westoby, M. Differences in seedling growth behaviour among species: Trait correlations across species, and trait shifts along nutrient compared to rainfall gradients. J. Ecol. 1999, 87, 85–97. [Google Scholar] [CrossRef]
- Stirling, G.; Wilsey, B. Empirical relationships between species richness, evenness, and proportional diversity. Am. Nat. 2001, 158, 286–299. [Google Scholar] [CrossRef] [PubMed]
- Krebs, C.J. Ecology, 5th ed.; Benjamin Cummings: Boston, MA, USA, 2001. [Google Scholar]
- Vitousek, P.M.; Howarth, R.W. Nitrogen limitation on land and in the sea: How can it occur? Biogeochemistry 1991, 13, 87–115. [Google Scholar] [CrossRef]
- Wardle, D.A.; Bardgett, R.D.; Klironomos, J.N.; Setälä, H.; Van Der Putten, W.H.; Wall, D.H. Ecological linkages between aboveground and belowground biota. Science 2004, 304, 1629–1633. [Google Scholar] [CrossRef]
- Forrester, D.I.; Bauhus, J. A Review of Processes Behind Diversity—productivity relationships in forests. Curr. For. Rep. 2016, 2, 45–61. [Google Scholar] [CrossRef]
- Harrison, K.A.; Bol, R.; Bardgett, R.D. Preferences for different nitrogen forms by coexisting plant species and soil microbes. Ecology 2007, 88, 989–999. [Google Scholar] [CrossRef]
- Parton, W.; Silver, W.L.; Burke, I.C.; Grassens, L.; Harmon, M.E.; Currie, W.S.; King, J.Y.; Adair, E.C.; Brandt, L.A.; Hart, S.C. Global-scale similarities in nitrogen release patterns during long-term decomposition. Science 2007, 315, 361–364. [Google Scholar] [CrossRef]
- Sharma, J.; Sharma, Y. Nutrient cycling in forest ecosystems—A review. Agric. Rev. 2004, 25, 157–172. [Google Scholar]
- Rennenberg, H.; Dannenmann, M.; Gessler, A.; Kreuzwieser, J.; Simon, J.; Papen, H. Nitrogen balance in forest soils: Nutritional limitation of plants under climate change stresses. Plant Biol. 2009, 11, 4–23. [Google Scholar] [CrossRef]
- Reich, P.B.; Grigal, D.F.; Aber, J.D.; Gower, S.T. Nitrogen mineralization and productivity in 50 hardwood and conifer stands on diverse soils. Ecology 1997, 78, 335–347. [Google Scholar] [CrossRef]
- McGuire, A.D.; Melillo, J.M.; Joyce, L.; Kicklighter, D.W.; Grace, A.; Moore, B., III; Vorosmarty, C.J. Interactions between carbon and nitrogen dynamics in estimating net primary productivity for potential vegetation in North America. Glob. Biogeochem. Cycles 1992, 6, 101–124. [Google Scholar] [CrossRef]
- Conn, C.; Dighton, J. Litter quality influences on decomposition, ectomycorrhizal community structure and mycorrhizal root surface acid phosphatase activity. Soil Biol. Biochem. 2000, 32, 489–496. [Google Scholar] [CrossRef]
- King, R.F.; Dromph, K.M.; Bardgett, R.D. Changes in species evenness of litter have no effect on decomposition processes. Soil Biol. Biochem. 2002, 34, 1959–1963. [Google Scholar] [CrossRef]
- Chapman, S.K.; Newman, G.S. Biodiversity at the plant–soil interface: Microbial abundance and community structure respond to litter mixing. Oecologia 2010, 162, 763–769. [Google Scholar] [CrossRef] [PubMed]
- Forrester, D.I.; Bauhus, J.; Cowie, A.L. Nutrient cycling in a mixed-species plantation of Eucalyptus globulus and Acacia mearnsii. Can. J. For. Res. 2005, 35, 2942–2950. [Google Scholar] [CrossRef]
- Parrotta, J.A. Productivity, nutrient cycling, and succession in single-and mixed-species plantations of Casuarina equisetifolia, Eucalyptus robusta, and Leucaena leucocephala in Puerto Rico. For. Ecol. Manag. 1999, 124, 45–77. [Google Scholar] [CrossRef]
- Attiwill, P.M.; Leeper, G.W. Forest Soils and Nutrient Cycles; Melbourne University Press: Carlton, VIC, Australia, 1987. [Google Scholar]
- Adams, M.; Attiwill, P. Nutrient cycling and nitrogen mineralization in eucalypt forests of south-eastern Australia. Plant Soil 1986, 92, 341–362. [Google Scholar] [CrossRef]
- Forrester, D.I.; Bauhus, J.; Cowie, A.L.; Vanclay, J.K. Mixed-species plantations of Eucalyptus with nitrogen-fixing trees: A review. For. Ecol. Manag. 2006, 233, 211–230. [Google Scholar] [CrossRef]
- Isbell, R. The Australian Soil Classification; CSIRO Publishing: Collingwood, Australia, 2016. [Google Scholar]
- Warren, R.J.; Giladi, I.; Bradford, M.A. Competition as a mechanism structuring mutualisms. J. Ecol. 2014, 102, 486–495. [Google Scholar] [CrossRef]
- Mitchell, K. Quantitative analysis by the point-centered quarter method. arXiv, 2010; arXiv:1010.3303. [Google Scholar]
- Jimenez, R.R.; Ladha, J.K. Automated elemental analysis: A rapid and reliable but expensive measurement of total carbon and nitrogen in plant and soil samples. Commun. Soil Sci. Plant Anal. 1993, 24, 1897–1924. [Google Scholar] [CrossRef]
- Mendham, D.S.; Smethurst, P.J.; Holz, G.K.; Menary, R.C.; Grove, T.S.; Weston, C.; Baker, T. Soil analyses as indicators of phosphorus response in young eucalypt plantations. Soil Sci. Soc. Am. J. 2002, 66, 959–968. [Google Scholar] [CrossRef]
- Osanai, Y.; Bougoure, D.S.; Hayden, H.L.; Hovenden, M.J. Co-occurring grass species differ in their associated microbial community composition in a temperate native grassland. Plant Soil 2013, 368, 419–431. [Google Scholar] [CrossRef]
- Barton, K.; Barton, M.K. Mu-MIn: Multi-model inference. R Package Version 1.43.6. 2019. Available online: https://cran.r-project.org/web/packages/MuMIn/MuMIn.pdf (accessed on 18 January 2019).
- Anderson, D.R. Model Based Inference in the Life Sciences: A Primer on Evidence; Springer Science & Business Media: New York, NY, USA, 2007. [Google Scholar]
- Burnham, K.P.; Anderson, D.R. Model Selection and Multimodel Inference: A Practical Information—Theoretic Approach; Springer Science & Business Media: New York, NY, USA, 2003. [Google Scholar]
- Pendall, E.; Osanai, Y.U.I.; Williams, A.L.; Hovenden, M.J. Soil carbon storage under simulated climate change is mediated by plant functional type. Glob. Chang. Biol. 2011, 17, 505–514. [Google Scholar] [CrossRef]
- Osanai, Y.; Flittner, A.; Janes, J.K.; Theobald, P.; Pendall, E.; Newton, P.C.; Hovenden, M.J. Decomposition and nitrogen transformation rates in a temperate grassland vary among co-occurring plant species. Plant Soil 2012, 350, 365–378. [Google Scholar] [CrossRef]
- Dijkstra, F.A.; Hobbie, S.E.; Reich, P.B. Soil processes affected by sixteen grassland species grown under different environmental conditions. Soil Sci. Soc. Am. J. 2006, 70, 770–777. [Google Scholar] [CrossRef]
- Freschet, G.T.; Cornwell, W.K.; Wardle, D.A.; Elumeeva, T.G.; Liu, W.; Jackson, B.G.; Onipchenko, V.G.; Soudzilovskaia, N.A.; Tao, J.; Cornelissen, J.H. Linking litter decomposition of above-and below-ground organs to plant–soil feedbacks worldwide. J. Ecol. 2013, 101, 943–952. [Google Scholar] [CrossRef]
- García-Palacios, P.; Maestre, F.T.; Kattge, J.; Wall, D.H. Climate and litter quality differently modulate the effects of soil fauna on litter decomposition across biomes. Ecol. Lett. 2013, 16, 1045–1053. [Google Scholar] [CrossRef] [PubMed]
- Makkonen, M.; Berg, M.P.; Handa, I.T.; Hättenschwiler, S.; Van Ruijven, J.; Van Bodegom, P.M.; Aerts, R. Highly consistent effects of plant litter identity and functional traits on decomposition across a latitudinal gradient. Ecol. Lett. 2012, 15, 1033–1041. [Google Scholar] [CrossRef] [PubMed]
- Hobbie, S.E. Effects of plant species on nutrient cycling. Trends Ecol. Evol. 1992, 7, 336–339. [Google Scholar] [CrossRef]
- Wardle, D.; Bonner, K.; Nicholson, K. Biodiversity and plant litter: Experimental evidence which does not support the view that enhanced species richness improves ecosystem function. Oikos 1997, 79, 247–258. [Google Scholar] [CrossRef]
- Jiang, L.; Wan, S.; Li, L. Species diversity and productivity: Why do results of diversity-manipulation experiments differ from natural patterns? J. Ecol. 2009, 97, 603–608. [Google Scholar] [CrossRef]
- Hyvönen, R.; Ågren, G.I.; Linder, S.; Persson, T.; Cotrufo, M.F.; Ekblad, A.; Freeman, M.; Grelle, A.; Janssens, I.A.; Jarvis, P.G.; et al. The likely impact of elevated [CO2], nitrogen deposition, increased temperature and management on carbon sequestration in temperate and boreal forest ecosystems: A literature review. New Phytol. 2007, 173, 463–480. [Google Scholar] [CrossRef] [PubMed]
- Nordin, A.; Näsholm, T.; Ericson, L. Effects of simulated N deposition on understorey vegetation of a boreal coniferous forest. Funct. Ecol. 1998, 12, 691–699. [Google Scholar] [CrossRef]
- Matson, P.; Lohse, K.A.; Hall, S.J. The globalization of nitrogen deposition: Consequences for terrestrial ecosystems. Ambio 2002, 31, 113–119. [Google Scholar] [CrossRef] [PubMed]
- Wedin, D.A.; Tilman, D. Species effects on nitrogen cycling: A test with perennial grasses. Oecologia 1990, 84, 433–441. [Google Scholar] [CrossRef] [PubMed]
- Temperton, V.M.; Mwangi, P.N.; Scherer-Lorenzen, M.; Schmid, B.; Buchmann, N. Positive interactions between nitrogen-fixing legumes and four different neighbouring species in a biodiversity experiment. Oecologia 2007, 151, 190–205. [Google Scholar] [CrossRef] [PubMed]
- Koch, A.J.; Driscoll, D.A.; Kirkpatrick, J. Estimating the accuracy of tree ageing methods in mature Eucalyptus obliqua forest, Tasmania. Aust. For. 2008, 71, 147–159. [Google Scholar] [CrossRef]
- Bouillet, J.-P.; Laclau, J.-P.; Gonçalves, J.L.d.M.; Voigtlaender, M.; Gava, J.L.; Leite, F.P.; Hakamada, R.; Mareschal, L.; Mabiala, A.; Tardy, F.; et al. Eucalyptus and Acacia tree growth over entire rotation in single- and mixed-species plantations across five sites in Brazil and Congo. For. Ecol. Manag. 2013, 301, 89–101. [Google Scholar] [CrossRef]
- Epron, D.; Nouvellon, Y.; Mareschal, L.; Moreira, R.M.e.; Koutika, L.-S.; Geneste, B.; Delgado-Rojas, J.S.; Laclau, J.-P.; Sola, G.; Gonçalves, J.L.d.M.; et al. Partitioning of net primary production in Eucalyptus and Acacia stands and in mixed-species plantations: Two case-studies in contrasting tropical environments. For. Ecol. Manag. 2013, 301, 102–111. [Google Scholar] [CrossRef]
- Ryan, M.; Binkley, D.; Fownes, J.H. Age-related decline in forest productivity: Pattern and process. In Advances in Ecological Research; Elsevier: Amsterdam, The Netherlands, 1997; Volume 27, pp. 213–262. [Google Scholar]
- Aerts, R.; Honnay, O. Forest restoration, biodiversity and ecosystem functioning. BMC Ecol. 2011, 11, 29. [Google Scholar] [CrossRef] [PubMed]
- Villela, D.M.; Nascimento, M.T.; De Aragao, L.E.O.; Da Gama, D.M. Effect of selective logging on forest structure and nutrient cycling in a seasonally dry Brazilian Atlantic forest. J. Biogeogr. 2006, 33, 506–516. [Google Scholar] [CrossRef]
- Tilman, D.; Reich, P.; Knops, J.; Wedin, D.; Mielke, T.; Lehman, C. Diversity and productivity in a long-term grassland experiment. Science 2001, 294, 843–845. [Google Scholar] [CrossRef]
- Cardinale, B.J.; Wright, J.P.; Cadotte, M.W.; Carroll, I.T.; Hector, A.; Srivastava, D.S.; Loreau, M.; Weis, J.J. Impacts of plant diversity on biomass production increase through time because of species complementarity. Proc. Natl. Acad. Sci. USA 2007, 104, 18123–18128. [Google Scholar] [CrossRef]
- Lowman, M.D. Litterfall and leaf decay in three Australian rainforest formations. J. Ecol. 1988, 76, 451–465. [Google Scholar] [CrossRef]
- Clark, D.A.; Brown, S.; Kicklighter, D.W.; Chambers, J.Q.; Thomlinson, J.R.; Ni, J.; Holland, E.A. Net primary production in tropical forests: An evaluation and synthesis of existing field data. Ecol. Appl. 2001, 11, 371–384. [Google Scholar] [CrossRef]
- Bini, D.; Dos Santos, C.A.; Bouillet, J.-P.; De Morais Goncalves, J.L.; Cardoso, E.J.B.N. Eucalyptus grandis and Acacia mangium in monoculture and intercropped plantations: Evolution of soil and litter microbial and chemical attributes during early stages of plant development. Appl. Soil Ecol. 2013, 63, 57–66. [Google Scholar] [CrossRef]
- Forrester, D.; Pares, A.; O’hara, C.; Khanna, P.; Bauhus, J. Soil organic carbon is increased in mixed-species plantations of Eucalyptus and nitrogen-fixing Acacia. Ecosystems 2013, 16, 123–132. [Google Scholar] [CrossRef]







| Evenness | E. obliqua | A. dealbata | B. salicina |
|---|---|---|---|
| 0 | 100% | 0% | 0% |
| 0% | 100% | 0% | |
| 0% | 0% | 100% | |
| 0.2 | 95% | 2.5% | 2.5% |
| 2.5% | 95% | 2.5% | |
| 2.5% | 2.5% | 95% | |
| 0.4 | 88% | 6% | 6% |
| 6% | 88% | 6% | |
| 6% | 6% | 88% | |
| 0.6 | 79% | 10.5% | 10.5% |
| 10.5% | 79% | 10.5% | |
| 10.5% | 10.5% | 79% | |
| 0.8 | 65% | 17.5% | 17.5% |
| 17.5% | 65% | 17.5% | |
| 17.5% | 17.5% | 65% | |
| 0.9 | 55% | 22.5% | 22.5% |
| 22.5% | 55% | 22.5% | |
| 22.5% | 22.5% | 55% | |
| 1 | 33.3% | 33.3% | 33.3% |
| 33.3% | 33.3% | 33.3% | |
| 33.3% | 33.3% | 33.3% |
| Model (Median) | Intercept (α) | 95% CI | Slope (β) | 95% CI | Sigma | R2% |
|---|---|---|---|---|---|---|
| Initial | 2838 | 1818–3859 | 177 | 155–199 | 2829 | 81.8 |
| Resampled | 2877 | 290–5509 | 169 | 36–267 | 2192 | 81.7 |
| Model (Median) | Asymptote (α) | 95% CI | Half Saturation Point (β) | 95% CI | Sigma | R2 (%) |
|---|---|---|---|---|---|---|
| Eucalyptus obliqua | ||||||
| Initial | 92,189 | 84,612–101,407 | 9.9 | 7.8–12.7 | 2210 | 93.3 |
| Resampled | 90,526 | 72,756–116,217 | 9.8 | 5.7–18.0 | 8355 | 93.7 |
| Acacia dealbata | ||||||
| Initial | 89,561 | 81,141–100,055 | 5.6 | 3.9–8.0 | 3769 | 90.9 |
| Resampled | 89,563 | 74,410–105,699 | 5.7 | 3.5–9.1 | 6729 | 92.8 |
| Bedfordia sp. | ||||||
| Initial | 92,476 | 76,899–117,482 | 10.1 | 5.8–18.0 | 4637 | 89.1 |
| Resampled | 84,947 | 67,487–113,376 | 7.9 | 4.4–7.9 | 8859 | 90.2 |
© 2019 by the authors. Licensee MDPI, Basel, Switzerland. This article is an open access article distributed under the terms and conditions of the Creative Commons Attribution (CC BY) license (http://creativecommons.org/licenses/by/4.0/).
Share and Cite
Buettel, J.C.; Ringwaldt, E.M.; Hovenden, M.J.; Brook, B.W. Importance of the Local Environment on Nutrient Cycling and Litter Decomposition in a Tall Eucalypt Forest. Forests 2019, 10, 340. https://doi.org/10.3390/f10040340
Buettel JC, Ringwaldt EM, Hovenden MJ, Brook BW. Importance of the Local Environment on Nutrient Cycling and Litter Decomposition in a Tall Eucalypt Forest. Forests. 2019; 10(4):340. https://doi.org/10.3390/f10040340
Chicago/Turabian StyleBuettel, Jessie C., Elise M. Ringwaldt, Mark J. Hovenden, and Barry W. Brook. 2019. "Importance of the Local Environment on Nutrient Cycling and Litter Decomposition in a Tall Eucalypt Forest" Forests 10, no. 4: 340. https://doi.org/10.3390/f10040340
APA StyleBuettel, J. C., Ringwaldt, E. M., Hovenden, M. J., & Brook, B. W. (2019). Importance of the Local Environment on Nutrient Cycling and Litter Decomposition in a Tall Eucalypt Forest. Forests, 10(4), 340. https://doi.org/10.3390/f10040340

