Larval Aggregation of Heortia vitessoides Moore (Lepidoptera: Crambidae) and Evidence of Horizontal Transfer of Avermectin
Abstract
:1. Introduction
2. Materials and Methods
2.1. Field Study
2.2. Laboratory Study
2.2.1. Insects
2.2.2. Experiment 1: Aggregation Tendency of H. vitessoides Larvae
2.2.3. Experiment 2: Effects of Aggregation on H. vitessoides Survivorship and Development
2.2.4. Experiment 3: Horizontal Transfer of Avermectin among H. vitessoides Larvae
2.3. Data Analysis
3. Results
3.1. Field Study
3.2. Laboratory Study
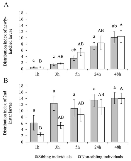
3.2.1. Experiment 1: Aggregation Tendency of H. vitessoides Larvae
3.2.2. Experiment 2: Effects of Aggregation on H. vitessoides Survivorship and Development
3.2.3. Experiment 3: Horizontal Transfer of Avermectin among H. vitessoides Larvae
4. Discussion
5. Conclusions
Supplementary Materials
Author Contributions
Funding
Acknowledgments
Conflicts of Interest
References
- Convention on International Trade in Endangered Species of Wild Fauna and Flora (CITES). 2010. Available online: http://www.cites.org/ (accessed on 26 February 2019).
- Blanchette, R.; Van Beek, H.H. Cultivated Agarwood. Patent No. 6,848,211 B2, 1 February 2005. [Google Scholar]
- Wei, J.H.; Zhang, Z.; Yang, Y.; Meng, H.; Feng, J.D.; Gan, B.C. Production of Agarwood in Aquilaria sinensis Trees via Transfusion Technique. CN101755629B, 2010. [Google Scholar]
- Chen, H.Q.; Yang, Y.; Xue, J.; Wei, J.H.; Zhang, Z.; Chen, H.J. Comparison of compositions and antimicrobial activities of essential oils from chemically stimulated agarwood, wild agarwood and healthy Aquilaria sinensis (Lour.) gilg trees. Molecules 2011, 16, 4884–4896. [Google Scholar] [CrossRef]
- Liu, Y.Y.; Chen, H.Q.; Yang, Y.; Zhang, Z.; Wei, J.H.; Meng, H.; Chen, W.P.; Feng, J.D.; Gan, B.C.; Chen, X.Y.; et al. Whole-tree agarwood-inducing technique: An efficient novel technique for producing high-quality agarwood in cultivated Aquilaria sinensis trees. Molecules 2013, 18, 3086–3106. [Google Scholar] [CrossRef] [PubMed]
- Mamat, M.F.; Yacob, M.R.; Fui, L.H.; Rdam, A. Costs and benefits analysis of Aquilaria species on plantation for agarwood production in Malaysia. Int. J. Bus. Soc. Sci. 2010, 1, 162–174. [Google Scholar]
- Turjaman, M.; Hidayat, A.; Santoso, E. Development of agarwood induction technology using endophytic fungi. In Agarwood; Springer: Singapore, 2016; pp. 57–71. [Google Scholar]
- Qiao, H.L.; Lu, P.F.; Chen, J.; Ma, W.S.; Qin, R.M.; Li, X.M. Antennal and behavioural responses of Heortia vitessoides females to host plant volatiles of Aquilaria sinensis. Entomol. Exp. Appl. 2012, 143, 269–279. [Google Scholar] [CrossRef]
- Qiao, H.; Lu, P.F.; Liu, S.; Xu, C.Q.; Guo, K.; Xu, R.; Chen, J. Volatiles from Aquilaria sinensis damaged by Heortia vitessoides larvae deter the conspecific gravid adults and attract its predator Cantheconidea concinna. Sci. Rep. 2018, 8, 15067. [Google Scholar] [CrossRef] [PubMed]
- Jin, X.F.; Ma, T.; Chang, M.S.; Wu, Y.J.; Liu, Z.T.; Sun, Z.H.; Shan, T.J.; Chen, X.Y.; Wen, X.J.; Wang, C. Aggregation and feeding preference of gregarious Heortia vitessoides (Lepidoptera: Crambidae) larvae to Aquilaria sinensis (Thymelaeaceae). J. Entomol. Sci. 2016, 51, 209–218. [Google Scholar] [CrossRef]
- Wen, Y.Z.; Jin, X.F.; Zhu, C.; Chen, X.; Ma, T.; Zhang, S.N.; Zhang, Y.; Zeng, S.C.; Chen, X.Y.; Sun, Z.H.; et al. Effect of substrate type and moisture on pupation and emergence of Heortia vitessoides (Lepidoptera: Crambidae): Choice and no-choice studies. J. Insect Behav. 2016, 29, 473–489. [Google Scholar] [CrossRef]
- Wen, Y.Z.; Qin, W.Q.; Chen, X.; Wen, X.J.; Ma, T.; Dong, X.; Lin, S.C.; Sun, Z.H.; Zeng, S.C.; Wang, C. Soil moisture effects on pupation behavior, physiology, and morphology of Heortia vitessoides (Lepidoptera: Crambidae). J. Entomol. Sci. 2017, 52, 229–238. [Google Scholar] [CrossRef]
- Cheng, J.; Chen, J.; Lin, T. De novo assembly and analysis of the Heortia vitessoides transcriptome via high-throughput Illumina sequencing. J. Asia-Pac. Entomol. 2017, 20, 1241–1248. [Google Scholar] [CrossRef]
- Cheng, J.; Wang, C.Y.; Lyu, Z.H.; Lin, T. Multiple Glutathione S-Transferase Genes in Heortia vitessoides (Lepidoptera: Crambidae): Identification and Expression Patterns. J. Insect Sci. 2018, 18, 23. [Google Scholar] [CrossRef] [PubMed]
- Cheng, J.; Wang, C.Y.; Lyu, Z.H.; Chen, J.X.; Tang, L.P.; Lin, T. Candidate olfactory genes identified in Heortia vitessoides (Lepidoptera: Crambidae) by antennal transcriptome analysis. Comp. Biochem. Phys. D 2019, 29, 117–130. [Google Scholar] [CrossRef] [PubMed]
- Chen, J.X.; Lyu, Z.H.; Wang, C.Y.; Cheng, J.; Lin, T. RNA interference of a trehalose-6-phosphate synthase gene reveals its roles in the biosynthesis of chitin and lipids in Heortia vitessoides (Lepidoptera: Crambidae). Insect Sci. 2018, 1–12. [Google Scholar] [CrossRef]
- Chen, Z.Y.; Wang, L.; Li, D.W.; Li, Y.Z.; Huang, X.R.; Qin, C.S. A screening experiment on insecticides against Heortia vitessoides Moore. Chin. For. Sci. Technol. 2012, 26, 117–119. [Google Scholar] [CrossRef]
- Rust, M.K.; Saran, R.K. Toxicity, repellency, and transfer of chlorfenapyr against western subterranean termites (Isoptera: Rhinotermitidae). J. Econ. Entomol. 2006, 99, 864–872. [Google Scholar] [CrossRef]
- Bhatta, D.; Henderson, G. Horizontal Transfer of Spinosad in Coptotermes formosanus (Isoptera: Rhinotermitidae). J. Econ. Entomol. 2016, 109, 1813–1818. [Google Scholar] [CrossRef]
- Soeprono, A.M.; Rust, M.K. Effect of horizontal transfer of barrier insecticides to control Argentine ants (Hymenoptera: Formicidae). J. Econ. Entomol. 2004, 97, 1675–1681. [Google Scholar] [CrossRef]
- Buczkowski, G. Trap-treat-release: Horizontal transfer of fipronil in field colonies of black carpenter ants, Camponotus pennsylvanicus. Pest Manag. Sci. 2019. [Google Scholar] [CrossRef]
- Akhtar, Y.; Isman, M.B. Horizontal transfer of diatomaceous earth and botanical insecticides in the common bed bug, Cimex lectularius L.; Hemiptera: Cimicidae. PLoS ONE 2013, 8, e75626. [Google Scholar] [CrossRef] [PubMed]
- Qiao, H.L.; Lu, P.F.; Chen, J.; Xu, C.Q.; Ma, W.S.; Qin, R.M.; Li, X.M.; Cheng, H.Z. Biological characteristics and occurrence patterns of Heortia vitessoides. Chin. J. Appl. Entomol. 2013, 50, 1244–1252. [Google Scholar] [CrossRef]
- Boulay, J.; Devigne, C.; Gosset, D.; Charabidze, D. Evidence of active aggregation behaviour in Lucilia sericata larvae and possible implication of a conspecific mark. Anim. Behav. 2013, 85, 1191–1197. [Google Scholar] [CrossRef]
- Ruxton, G.D.; Sherratt, T.N. Aggregation, defence and warning signals: The evolutionary relationship. Proc. R. Soc. B Biol. Sci. 2006, 273, 2417–2424. [Google Scholar] [CrossRef]
- Ottmann, D.; Grorud-Colvert, K.; Sard, N.M.; Huntington, B.E.; Banks, M.A.; Sponaugle, S. Long-term aggregation of larval fish siblings during dispersal along an open coast. Proc. Natl. Acad. Sci. USA 2016, 113, 14067–14072. [Google Scholar] [CrossRef] [PubMed]
- Raven, C.; Shine, R.; Greenlees, M.; Schaerf, T.M.; Ward, A.J. The role of biotic and abiotic cues in stimulating aggregation by larval cane toads (Rhinella marina). Ethology 2017, 123, 724–735. [Google Scholar] [CrossRef]
- Santana, A.F.; Rodrigues, D.; Zucoloto, F.S. Larval aggregation in a Neotropical butterfly: Risky behaviors, per capita risk, and larval responses in Ascia monusteorseis. Behav. Ecol. Sociobiol. 2017, 71, 174. [Google Scholar] [CrossRef]
- Fouche, Q.; Hedouin, V.; Charabidze, D. Communication in necrophagous Diptera larvae: Interspecific effect of cues left behind by maggots and implications in their aggregation. Sci. Rep. 2018, 8, 2844. [Google Scholar] [CrossRef]
- Morimoto, J.; Nguyen, B.; Tabrizi, S.T.; Ponton, F.; Taylor, P. Social and nutritional factors shape larval aggregation, foraging, and body mass in a polyphagous fly. Sci. Rep. 2018, 8, 14750. [Google Scholar] [CrossRef] [PubMed]
- Heard, S.B. Resource patch density and larval aggregation in mushroom-breeding flies. Oikos 1998, 81, 187–195. [Google Scholar] [CrossRef]
- Slone, D.H.; Gruner, S.V. Thermoregulation in larval aggregations of carrion-feeding blow flies (Diptera: Calliphoridae). J. Med. Entomol. 2007, 44, 516–523. [Google Scholar] [CrossRef] [PubMed]
- Mast, J.D.; De Moraes, C.M.; Alborn, H.T.; Lavis, L.D.; Stern, D.L. Evolved differences in larval social behavior mediated by novel pheromones. eLife 2014, 3, e04205. [Google Scholar] [CrossRef] [PubMed]
- Codella, S.G.; Raffa, K.F. Contributions of female oviposition patterns and larval behavior to group defense in conifer sawflies (Hymenoptera: Diprionidae). Oecologia 1995, 103, 24–33. [Google Scholar] [CrossRef] [PubMed]
- Carita, L.; Johanna, M.; Jussi, P.; Martti, V. Effects of group size and pine defence chemicals on Diprionid sawfly survival against ant predation. Oecologia 2006, 150, 519–526. [Google Scholar] [CrossRef]
- Fletcher, L.E. Vibrational signals in a gregarious sawfly larva (Perga affinis): Group coordination or competitive signaling? Behav. Ecol. Sociobiol. 2007, 61, 1809–1821. [Google Scholar] [CrossRef]
- Costa, J.T.; Louque, R.W. Group foraging and trail following behavior of the red-headed pine sawfly Neodiprion lecontei (Fitch) (Hymenoptera: Symphyta: Diprionidae). Ann. Entomol. Soc. Am. 2014, 94, 480–489. [Google Scholar] [CrossRef]
- Grégoire, J.C. Larval gregariousness in the Chrysomelidae. In Biology of Chrysomelidae; Jolivet, P., Petitpierre, E., Hsiao, T.H., Eds.; Springer: Dordrecht, The Netherlands, 1988; Volume 42, pp. 253–260. [Google Scholar]
- Storer, A.; Wainhouse, D.; Speight, M. The effect of larval aggregation behaviour on larval growth of the spruce bark beetle Dendroctonus micans. Ecol. Entomol. 1997, 22, 109–115. [Google Scholar] [CrossRef]
- Weed, A.S. Benefits of larval group feeding by Chrysolina aurichalcea asclepiadis on Vincetoxicum: Improved host location or feeding facilitation? Entomol. Exp. Appl. 2010, 137, 220–228. [Google Scholar] [CrossRef]
- Inouye, B.D.; Johnson, D.M. Larval aggregation affects feeding rate in Chlosyne poecile (Lepidoptera: Nymphalidae). Flarida Entomol. 2005, 88, 247–252. [Google Scholar] [CrossRef]
- Stamp, N.E. Egg deposition in butterflies: Why do some species cluster their eggs rather than deposit them singly? Am. Nat. 1980, 115, 367–380. [Google Scholar] [CrossRef]
- Nakasuji, F.; Yamanaka, H.; Kiritani, K. The disturbing effect of Micryphantid spiders on the larval aggregation of the tobacco cutworm, Spodoptera litura (Lepidoptera: Noctuidae). Kontyu 1973, 41, 220–227. [Google Scholar]
- Cornell, J.C.; Stamp, N.E.; Bowers, M.D. Developmental change in aggregation, defense and escape behavior of buckmoth caterpillars, Hemileuca lucina (Saturniidae). Behav. Ecol. Sociobiol. 1987, 20, 383–388. [Google Scholar] [CrossRef]
- Casey, T.M.; Joos, B.; Fitzgerald, T.D.; Yurlina, M.E.; Young, P.A. Synchronized group foraging, thermoregulation, and growth of eastern tent caterpillars in relation to microclimate. Physiol. Biochem. Zool. 1988, 61, 372–377. [Google Scholar] [CrossRef]
- Denno, R.; Benrey, B. Aggregation facilitates larval growth in the neotropical nymphalid butterfly Chlosyne janais. Ecol. Entomol. 1997, 22, 133–141. [Google Scholar] [CrossRef]
- Allen, P.E. Group size effects on survivorship and adult development in the gregarious larvae of Euselasia chrysippe (Lepidoptera, Riodinidae). Insect Soc. 2010, 57, 199–204. [Google Scholar] [CrossRef]
- Clark, B.R.; Faeth, S.H. The consequences of larval aggregation in the butterfly Chlosyne lacinia. Ecol. Entomol. 2003, 22, 408–415. [Google Scholar] [CrossRef]
- Klok, C.J.; Chown, S.L. Assessing the benefits of aggregation: Thermal biology and water relations of anomalous Emperor Moth caterpillars. Funct. Ecol. 2002, 13, 417–427. [Google Scholar] [CrossRef]
- Su, N.Y.; Tamashiro, M.; Yates, J.R.; Lai, P.Y.; Haverty, M.I. A dye, Sudan Red 7B, as a marking material for foraging studies with the Formosan subterranean termite. Sociobiology 1983, 8, 91–97. [Google Scholar] [CrossRef]
- Grace, J.K.; Abdallay, A. Evaluation of the dye marker Sudan Red 7 B with Reticulitermes flavipes (Isoptera: Rhinotermitidae). Sociobiology 1989, 15, 71–78. [Google Scholar]
- Huang, Q.Y.; Lei, C.L.; Xue, D. Field evaluation of a fipronil bait against subterranean termite Odontotermes formosanus (Isoptera: Termitidae). J. Econ. Entomol. 2006, 99, 455–461. [Google Scholar] [CrossRef]
- Song, D.; Hu, X.P. Effects of dose, donor-recipient interaction time and ratio on fipronil transmission among the Formosan subterranean termite nestmates (Isoptera: Rhinotermitidae). Sociobiology 2006, 48, 237–246. [Google Scholar] [CrossRef]
- Wang, C.; Henderson, G.; Chen, X.; Gautam, B.K. Horizontal transfer of fipronil is enhanced with increased group size in Coptotermes formosanus (Isoptera: Rhinotermitidae). J. Econ. Entomol. 2013, 106, 2630–2632. [Google Scholar] [CrossRef]







| Collection Date | Egg Clusters | Same-Instar Cohorts | Different-Instar Mixed Cohorts |
|---|---|---|---|
| 15 October 2018 | 1 | 26 | 38 |
| 29 October 2018 | 0 | 4 | 7 |
| 21 November 2018 | 2 | 0 | 0 |
| 24 November 2018 | 2 | 0 | 0 |
| 27 November 2018 | 42 | 7 | 0 |
| 3 December 2018 | 11 | 17 | 3 |
| Total | 58 | 54 | 48 |
| Cohort | Newly Hatched Larvae | First-Instar Larvae | Second-Instar Larvae | Third-Instar Larvae | Fourth-Instar Larvae | Fifth-Instar Larvae | Total |
|---|---|---|---|---|---|---|---|
| 1 | 411 | 276 | 687 | ||||
| 2 | 174 | 161 | 335 | ||||
| 3 | 68 | 216 | 284 | ||||
| 4 | 20 | 224 | 8 | 252 | |||
| 5 | 27 | 171 | 198 | ||||
| 6 | 59 | 82 | 141 | ||||
| 7 | 140 | 1 | 141 | ||||
| 8 | 72 | 58 | 130 | ||||
| 9 | 52 | 77 | 129 | ||||
| 10 | 2 | 118 | 120 | ||||
| 11 | 83 | 28 | 111 | ||||
| 12 | 68 | 1 | 69 | ||||
| 13 | 5 | 50 | 55 | ||||
| 14 | 5 | 31 | 12 | 48 | |||
| 15 | 47 | 1 | 48 | ||||
| 16 | 4 | 42 | 46 | ||||
| 17 | 4 | 39 | 1 | 44 | |||
| 18 | 6 | 19 | 13 | 38 | |||
| 19 | 1 | 23 | 5 | 29 | |||
| 20 | 8 | 7 | 14 | 29 | |||
| 21 | 6 | 21 | 27 | ||||
| 22 | 13 | 13 | 26 | ||||
| 23 | 2 | 23 | 25 | ||||
| 24 | 2 | 17 | 2 | 21 | |||
| 25 | 3 | 17 | 20 | ||||
| 26 | 2 | 5 | 10 | 2 | 19 | ||
| 27 | 1 | 15 | 3 | 19 | |||
| 28 | 13 | 6 | 19 | ||||
| 29 | 2 | 10 | 6 | 18 | |||
| 30 | 12 | 6 | 18 | ||||
| 31 | 2 | 6 | 7 | 1 | 16 | ||
| 32 | 2 | 6 | 7 | 1 | 16 | ||
| 33 | 6 | 8 | 1 | 15 | |||
| 34 | 6 | 8 | 1 | 15 | |||
| 35 | 8 | 6 | 14 | ||||
| 36 | 2 | 12 | 14 | ||||
| 37 | 10 | 3 | 13 | ||||
| 38 | 1 | 4 | 7 | 12 | |||
| 39 | 3 | 8 | 11 | ||||
| 40 | 8 | 3 | 11 | ||||
| 41 | 3 | 6 | 2 | 11 | |||
| 42 | 2 | 3 | 4 | 9 | |||
| 43 | 2 | 7 | 9 | ||||
| 44 | 3 | 6 | 9 | ||||
| 45 | 4 | 3 | 7 | ||||
| 46 | 1 | 5 | 6 | ||||
| 47 | 4 | 1 | 5 | ||||
| 48 | 2 | 1 | 3 |
| Day | Replication | |||||||
|---|---|---|---|---|---|---|---|---|
| 1 | 2 | 3 | 4 | 5 | 6 | 7 | 8 | |
| 2 | 19 I | 18 I | 18 I | 19 I | 16 I | 20 I | 20 I | 20 I |
| 4 | 19 II | 18 II | 15 II | 19 II | 4 I | 20 II | 20 II | 20 I |
| 6 | 18 II | 17 II | 14 II | 19 II | 3 II | 19 II | 18 II, 2 III | 20 II |
| 8 | 18 III | 17 III | 13 III | 18 III | 3 II | 18 III | 3 II, 17 III | 20 III |
| 10 | 18 IV | 6 IV, 10 III | 3 III, 10 IV | 17 IV | 3 III | 18 IV | 20 IV | 1 III, 19 IV |
| 12 | 18 IV | 16 IV | 3 III, 10 IV | 17 IV | 3 III | 18 IV | 20 IV | 20 IV |
| 14 | 18 IV | 16 IV | 2 III, 11 IV | 17 IV | 3 III | 18 V | 20 IV | 20 IV |
| 16 | 18 V | 16 V | 2 IV, 11 V | 17 V | 3 IV | 18 V | 19 V | 20 V |
| 18 | 18 V | 16 V | 13 V | 17 V | 3 V | 18 V | 19 V | 19 V |
| 20 | 3 V, 15 P | 16 V | 4 V, 9 P | 17 P | 3 V | 18 P | 4 V, 15 P | 5 V, 15 P |
| 22 | 3 V, 15 P | 16 V | 3 V, 10 P | 17 P | 3 V | 18 P | 4 V, 15 P | 5 V, 15 P |
| 24 | 18 P | 16 P | 3 V, 10 P | 17 P | 1 V, 1 P | 18 P | 19 P | 3 V, 17 P |
| 26 | 18 P | 16 P | 1 V, 11 P | 17 P | 1 V, 1 P | 18 P | 19 P | 1V, 19 P |
| 28 | 18 P | 16 P | 11 P | 17 P | 2 P | 18 P | 19 P | 19 P |
© 2019 by the authors. Licensee MDPI, Basel, Switzerland. This article is an open access article distributed under the terms and conditions of the Creative Commons Attribution (CC BY) license (http://creativecommons.org/licenses/by/4.0/).
Share and Cite
Liang, S.; Cai, J.; Chen, X.; Jin, Z.; Zhang, J.; Huang, Z.; Tang, L.; Sun, Z.; Wen, X.; Wang, C. Larval Aggregation of Heortia vitessoides Moore (Lepidoptera: Crambidae) and Evidence of Horizontal Transfer of Avermectin. Forests 2019, 10, 331. https://doi.org/10.3390/f10040331
Liang S, Cai J, Chen X, Jin Z, Zhang J, Huang Z, Tang L, Sun Z, Wen X, Wang C. Larval Aggregation of Heortia vitessoides Moore (Lepidoptera: Crambidae) and Evidence of Horizontal Transfer of Avermectin. Forests. 2019; 10(4):331. https://doi.org/10.3390/f10040331
Chicago/Turabian StyleLiang, Shiping, Jiacheng Cai, Xuan Chen, Zhengya Jin, Jinkun Zhang, Zhijia Huang, Liping Tang, Zhaohui Sun, Xiujun Wen, and Cai Wang. 2019. "Larval Aggregation of Heortia vitessoides Moore (Lepidoptera: Crambidae) and Evidence of Horizontal Transfer of Avermectin" Forests 10, no. 4: 331. https://doi.org/10.3390/f10040331
APA StyleLiang, S., Cai, J., Chen, X., Jin, Z., Zhang, J., Huang, Z., Tang, L., Sun, Z., Wen, X., & Wang, C. (2019). Larval Aggregation of Heortia vitessoides Moore (Lepidoptera: Crambidae) and Evidence of Horizontal Transfer of Avermectin. Forests, 10(4), 331. https://doi.org/10.3390/f10040331

