Individual Plant Allometric Equations for Estimating Aboveground Biomass and Its Components for a Common Bamboo Species (Bambusa procera A. Chev. and A. Camus) in Tropical Forests
Abstract
1. Introduction
2. Materials and Methods
2.1. Study Sites
2.2. Bamboo Species
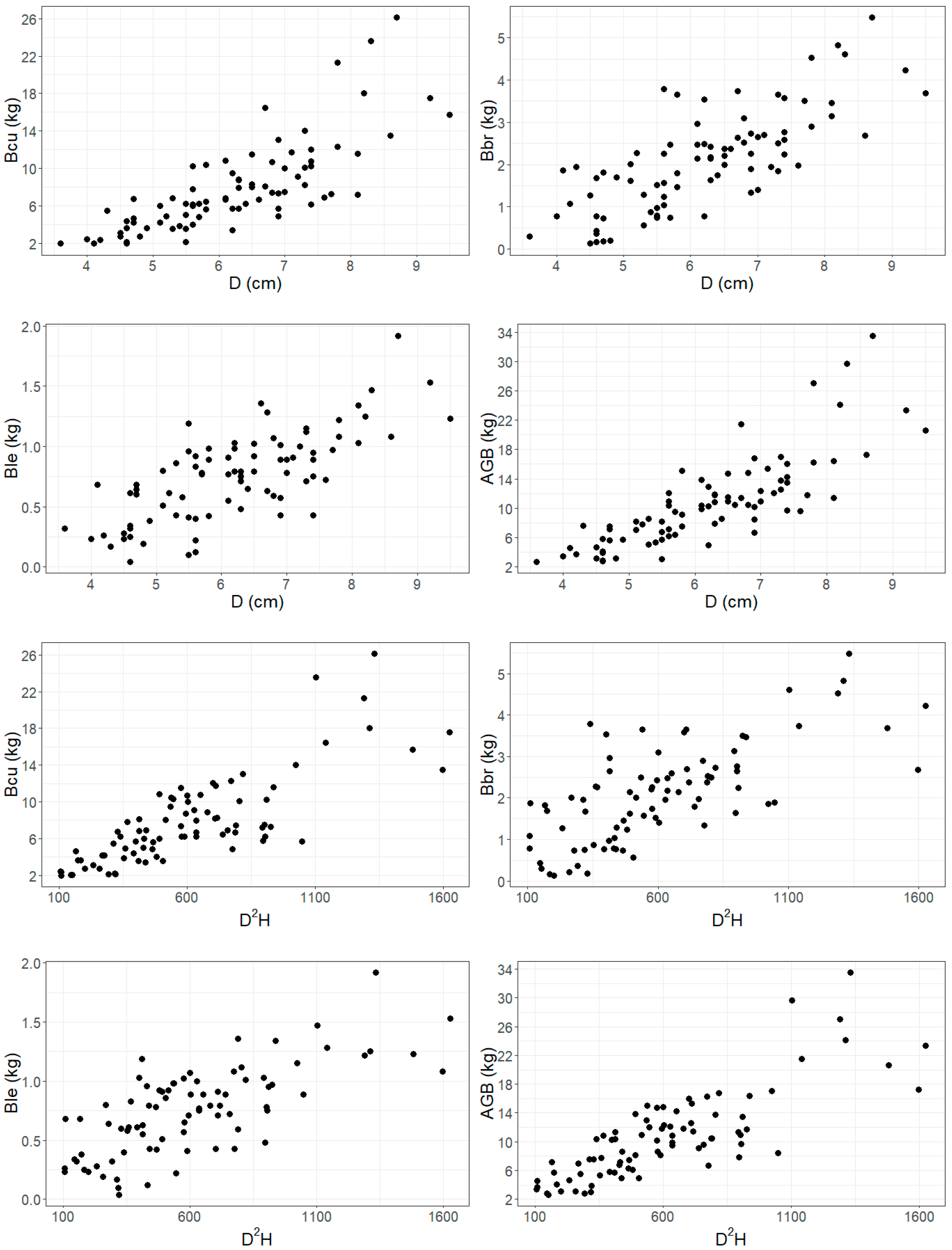
2.3. Sample Plot, Destructive Sample, and Measurement of Variables
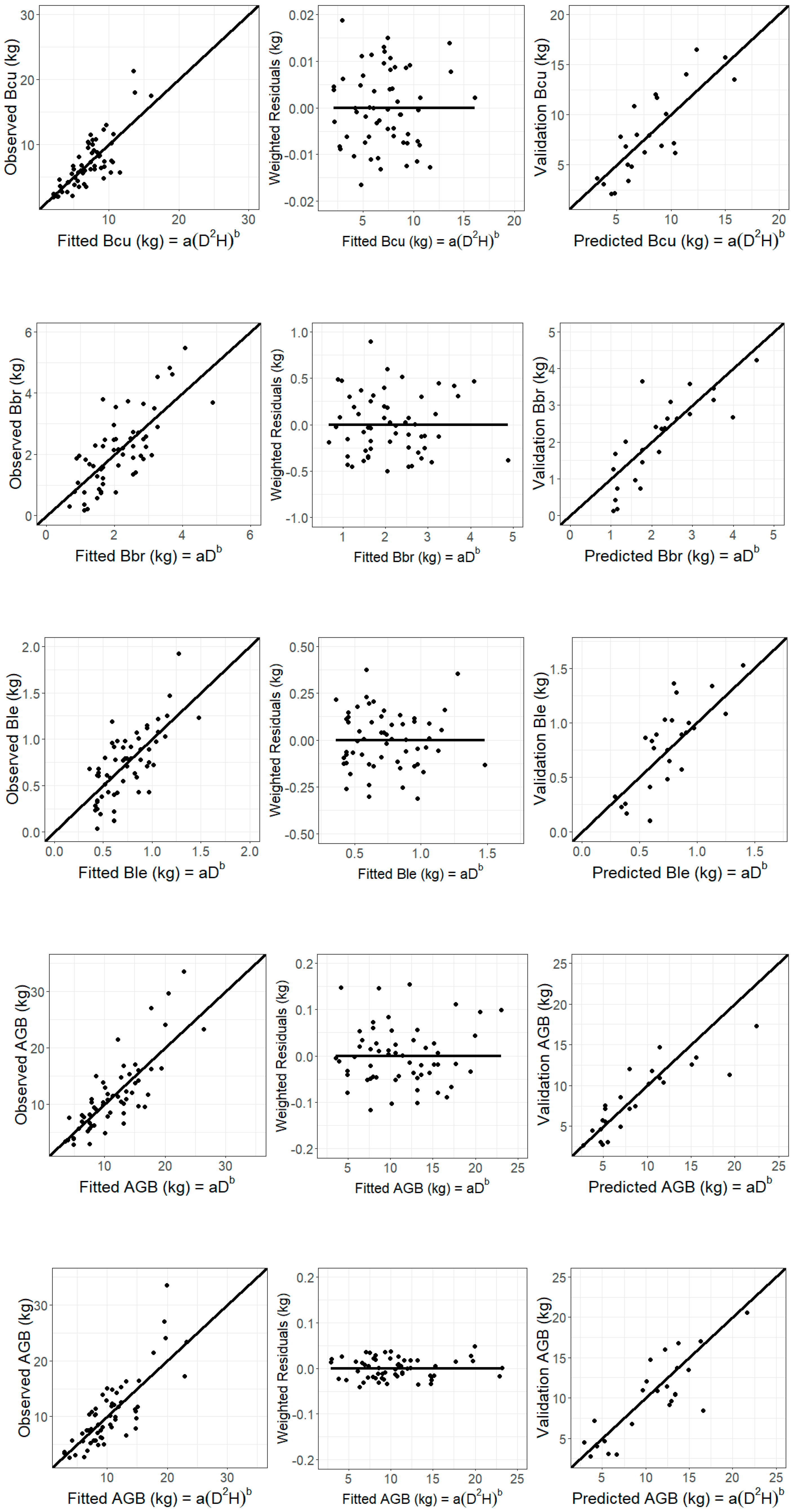
2.4. Methods to Fit and Validate the Bamboo Biomass Model Systems
- Develop and cross-validate to select independent models with appropriate predictors for each component and AGB, using weighted nonlinear model fit by maximum likelihood.
- Develop and cross-validate a system of component models and AGB fitted simultaneously, using weighted nonlinear SUR fit by generalized least squares; and compare with independent selected models and previously published bamboo biomass equations.
- Finally, obtain the parameters of all selected model systems by fitting models with the entire dataset.
2.4.1. Covariates and Model Form
2.4.2. Log-Transformation vs. Nonlinear Fit
2.4.3. Weighted Nonlinear Models Fit by Maximum Likelihood
2.4.4. Weighted Nonlinear Seemingly Unrelated Regression (SUR) Fit by Generalized Least Squares
2.4.5. Model Comparison, Selection, and Cross-Validation
3. Results
3.1. Components and AGB Models Fit Independently
3.2. Simultaneous Model System Fit by the SUR Method
3.3. Comparison with Previously Published Models
4. Discussion
4.1. Predictors for Bamboo AGB and its Components
4.2. Independent vs. Simultaneous Model Fit
4.3. Species-Specific vs. Genus-Specific Models
5. Conclusions
Author Contributions
Funding
Acknowledgments
Conflicts of Interest
References
- Ricardo, A.; Li, T.; Lora, G.; Andersen, L.E. A Measurement of the Carbon Sequestration Potential of Guadua angustifolia in the Carrasco National Park, Bolivia; Development Research Working Paper Series, No. 04/2013; Institute for Advanced Development Studies: La Paz, Bolivia, 2013; 17p. [Google Scholar]
- Sohel, M.S.I.; Alamgir, M.; Akhter, S.; Rahman, M. Carbon storage in a bamboo (Bambusa vulgaris) plantation in the degraded tropical forests: Implications for policy development. Land Use Policy 2015, 49, 142–151. [Google Scholar] [CrossRef]
- Tariyal, K. Bamboo as a successful carbon sequestration substrate in Uttarakhand: A brief analysis. Int. J. Curr. Adv. Res. 2016, 5, 736–738. [Google Scholar]
- Yuen, J.Q.; Fung, T.; Ziegler, A.D. Carbon stocks in bamboo ecosystem worldwide: Estimates and uncertainties. For. Ecol. Manag. 2017, 393, 113–138. [Google Scholar] [CrossRef]
- Yiping, L.; Yanxia, L.; Buckingham, K.; Henley, G.; Guomo, Z. Bamboo and Climate Change; Technical Report No. 32; The International Network for Bamboo and Rattan (INBAR): Beijing, China, 2010; 47p. [Google Scholar]
- Zhou, G.; Meng, C.; Jiang, P.; Xu, Q. Review of carbon fixation in bamboo forests in China. Bot. Rev. 2011, 77, 262–270. [Google Scholar] [CrossRef]
- Li, L.E.; Lin, Y.J.; Yen, T.M. Using allometric models to predict the aboveground biomass of thorny bamboo (Bambusa stenosstachya) and estimate its carbon storage. Taiwan J. Sci. 2016, 31, 31–47. [Google Scholar]
- Ho, P.H. An Illustrated Flora of Viet Nam; Publishing House “Tre”: Ho Chi Minh City, Vietnam, 2003; Volume III, 1020p. (In Vietnamese) [Google Scholar]
- Nghia, N.H. Bamboos of Vietnam; Agricultural Publishing House: Ha Noi, Vietnam, 2005. (In Vietnamese) [Google Scholar]
- Rao, A.N.; Rao, V.R. (Eds.) Bamboo—Conservation, Diversity, Ecogeography, Germplasm, Resource Utilization and Taxonomy. In Proceedings of the Training Course cum Workshop, Kunming and Xishuangbanna, China, 10–17 May 1998; IPGRI-APO: Serdang, Malaysia, 1999. ISBN 92-9043-414-7. [Google Scholar]
- VNForest. Viet Nam Forest Resources Downloading Data Tool. FORMIS II; version 1.0.4; Vietnam Administration of Forestry: Ha Noi, Vietnam, 2017.
- IPCC. Good Practice Guidance for Land Use, Land-Use Change and Forestry; IPCC National Greenhouse Gas Inventories Programme: Hayama, Japan, 2003; 590p. [Google Scholar]
- IPCC. Forest Land. Chapter 4, 2006 IPCC Guidelines for National Greenhouse Gas Inventories; Prepared by the National Greenhouse Gas Inventories Programme; Eggleston, H.S., Buendia, L., Miwa, K., Ngara, T., Tanabe, K., Eds.; IGES: Kanagawa, Japan, 2006; 83p. [Google Scholar]
- Brown, S. Estimating Biomass and Biomass Change of Tropical Forests: A Primer; FAO Forestry paper—134; FAO: Rome, Italy, 1997; ISBN 92-5-103955-0. Available online: http://www.fao.org/docrep/W4095E/w4095e00.htm#Contents (accessed on 1 September 2018).
- Chave, J.; Andalo, C.; Brown, S.; Cairns, M.A.; Chambers, J.Q.; Eamus, D.; Folster, H.; Fromard, F.; Higuchi, N.; Kira, T.; et al. Tree allometry and improved estimation of carbon stocks and balance in tropical forests. Oecologia 2005, 145, 87–99. [Google Scholar] [CrossRef]
- Basuki, T.M.; van Laake, P.E.; Skidmore, A.K.; Hussin, Y.A. Allometric equations for estimating the aboveground biomass in the tropical lowland Dipterocarp forests. For. Ecol. Manag. 2009, 257, 1684–1694. [Google Scholar] [CrossRef]
- Chave, J.; Mechain, M.R.; Burquez, A.; Chidumayo, E.; Colgan, M.S.; Delitti, W.B.C.; Duque, A.; Eid, T.; Fearnside, P.M.; Goodman, R.C.; et al. Improved allometric models to estimate the aboveground biomass of tropical trees. Glob. Chang. Biol. 2014, 20, 3177–3190. [Google Scholar] [CrossRef]
- Huy, B.; Kralicek, K.; Poudel, K.P.; Phương, V.T.; Khoa, P.V.; Hung, N.D.; Temesgen, H. Allometric Equations for Estimating Tree Aboveground Biomass in Evergreen Broadleaf Forests of Viet Nam. For. Ecol. Manag. 2016, 382, 193–205. [Google Scholar] [CrossRef]
- Huy, B.; Poudel, K.P.; Kralicek, K.; Hung, N.D.; Khoa, P.V.; Phương, V.T.; Temesgen, H. 2016b. Allometric Equations for Estimating Tree Aboveground Biomass in Tropical Dipterocarp Forests of Viet Nam. Forests 2016, 7, 180. [Google Scholar] [CrossRef]
- Huy, B.; Poudel, K.P.; Temesgen, H. Aboveground biomass equations for evergreen broadleaf forests in South Central Coastal ecoregion of Viet Nam: Selection of eco-regional or pantropical models. For. Ecol. Manag. 2016, 376, 276–283. [Google Scholar] [CrossRef]
- Huy, B.; Tinh, N.T.; Poudel, K.P.; Frank, B.M.; Temesgen, H. Taxon- specific modeling systems for improving reliability of tree aboveground biomass and its components estimates in tropical dry dipterocarp forests. For. Ecol. Manag. 2019, 437, 156–174. [Google Scholar] [CrossRef]
- Zhou, Y.; Kawahara, K.K.; Ito, H. Net production and carbon cycling in a bamboo Phyllostachys pubescens stand. Plant Ecol. 1997, 130, 41–52. [Google Scholar]
- Henry, M.; Bombelli, A.; Trotta, C.; Alessandrini, A.; Birigazzi, L.; Sola, G.; Vieilledent, G.; Santenoise, P.; Longuetaud, F.; Valentini, R.; et al. GlobAllomeTree: International platform for tree allometric equations to support volume, biomass and carbon assessment. Iforest Biogeosci. For. 2013, 6, 326–330. [Google Scholar] [CrossRef]
- Yen, T.M. Comparing aboveground structure and aboveground carbon storage of an age series of moso bamboo forests subjected to different management strategies. J. For. Res. 2015, 20, 1–8. [Google Scholar] [CrossRef]
- Zhuang, S.; Ji, H.; Zhang, H.; Sun, B. Carbon storage estimation of Moso bamboo (Phyllostachys pubescens) forest stands in Fujian, China. Trop. Ecol. 2015, 56, 383–391. [Google Scholar]
- Huy, B.; Sharma, B.D.; Quang, N.V. Participatory Carbon Monitoring: Manual for Local Staff; Netherlands Development Organization (SNV): Ho Chi Minh City, Vietnam, 2013; 50p. [Google Scholar]
- Kumar, B.M.; Rajesh, G.; Sudheesh, K.G. Aboveground biomass production and nutrient uptake of thorny bamboo (Bambusa bambos (L.) Voss) in the homegardens of Thrissur, Kerala. J. Trop. Agric. 2005, 43, 51–56. [Google Scholar]
- Melo, L.C.D.; Sanquetta, C.R.; Corte, A.P.D.; Mognon, F. Methodological alternatives in the estimate of biomass for young individuals of Bambusa spp. Biosci. J. Uberlândia 2015, 31, 791–800. [Google Scholar] [CrossRef]
- Qi, L.; Liu, X.; Jiang, Z.; Yue, X.; Li, Z.; Fu, J.; Liu, G.; Guo, B.; Shi, L. Combining diameter-dsitribution function with allometric equation in biomass estimates: A case study of Phyllostachys edulis forests in South Anhui, China. Agrofor.Syst. 2015. [Google Scholar] [CrossRef]
- Picard, N.; Rutishauser, E.; Ploton, P.; Ngomanda, A.; Henry, M. Should tree biomass allometry be restricted to power models? For. Ecol. Manag. 2015, 353, 156–163. [Google Scholar] [CrossRef]
- Xiao, X.; White, E.P.; Hooten, M.B.; Durham, S.L. On the use of log-transformation vs. nonlinear regression for analyzing biological power laws. Ecology 2011, 92, 1887–1894. [Google Scholar] [CrossRef] [PubMed]
- Furnival, G.M. An index for comparing equations used in constructing volume tables. For. Sci. 1961, 7, 337–341. [Google Scholar]
- Davidian, M.; Giltinan, D.M. Nonlinear Models for Repeated Measurement Data; Chapman and Hall/CRC: London, UK, 1995; 360p. [Google Scholar]
- Bates, D.M. lme4: Mixed-Effects Modeling with R; Springer: Berlin/Heidelberg, Germany, 2010; 131p. [Google Scholar]
- Pinheiro, J.; Bates, D.; Debroy, S.; Sarkar, D.; R Core Team. nlme: Linear and Nonlinear Mixed Effects Models, R package version 3.1-117; R Foundation for Statistical Computing: Vienna, Austria, 2018. [Google Scholar]
- R Core Team. R: A Language and Environment for Statistical Computing; R Foundation for Statistical Computing: Vienna, Austria, 2018. [Google Scholar]
- Sanquetta, C.R.; Behling, A.; Corte, A.P.D.; Netto, S.P.; Schikowski, A.B. Simultaneous estimation as alternative to independent modeling of tree biomass. Ann. For. Sci. 2015, 72, 1099–1112. [Google Scholar] [CrossRef]
- Poudel, K.P.; Temesgen, H. Methods for estimating aboveground biomass and its components for Douglas-fir and lodgepole pine trees. Can. J. For. Res. 2016, 46, 77–87. [Google Scholar] [CrossRef]
- Gonzalez-Benecke, C.A.; Zhao, D.; Samuelson, L.J.; Martin, T.A.; Leduc, D.J.; Jack, S.B. Local and General Aboveground Biomass Functiuons for Pinus palustrics Trees. Forests 2018, 9, 310. [Google Scholar] [CrossRef]
- Parresol, B.R. Additivity of nonlinear biomass equations. Can. J. For. Res. 2001, 31, 865–878. [Google Scholar] [CrossRef]
- Kralicek, K.; Huy, B.; Poudel, K.P.; Temesgen, H.; Salas, C. Simultaneous estimation of above- and below-ground biomass in tropical forests of Viet Nam. For. Ecol. Manag. 2017, 390, 147–156. [Google Scholar] [CrossRef]
- SAS Institute Inc. SAS/ETS® 13.2 User’s Guide. Chapter 19: The MODEL Procedure; SAS Institute Inc.: Cary, NC, USA, 2014; pp. 1067–1373. [Google Scholar]
- Temesgen, H.; Zhang, C.H.; Zhao, X.H. Modelling tree height-diameter relationships in multi-species and multi-layered forests: A large observational study from Northeast China. For. Ecol. Manag. 2014, 316, 78–89. [Google Scholar] [CrossRef]
- Akaike, H. Information theory as an extension of the maximum likelihood principle. In Second International Symposium on Information Theory; Petrov, B.N., Csaki, F.E., Eds.; Akademiai Kiado: Budapest, Hungary, 1973; pp. 267–281. [Google Scholar]
- Yen, T.M.; Ji, Y.J.; Lee, J.S. Estimating biomass production and carbon storage for a fast-growing makino bamboo (Phyllostachys makinoi) plant based on the diameter distribution model. For. Ecol. Manag. 2010, 260, 339–344. [Google Scholar] [CrossRef]
- Parresol, B.R. Assessing Tree and Stand Biomass: A Review with Examples and Critical Comparisons. For. Sci. 1999, 45, 573–593. [Google Scholar]
- Subedi, B.P.; Pandey, S.S.; Pandey, A.; Rana, E.B.; Bhattarai, S.; Banskota, T.R.; Charmakar, S.; Tamrakar, R. Forest Carbon Stock Measurement. Guidelines for Measuring Carbon Stocks in Community-Managed Forests; Asia Network for Sustainable Agriculture and Bioresources (ANSAB); International Center for Integrated Mountain Development (ICIMOD); Federation of Community Forest Users, Nepal (FECOFUN): Kathmandu, Nepal, 2010; 69p. [Google Scholar]
- Zhang, H.; Zhuang, S.; Sun, B.; Ji, H.; Li, C.; Zhou, S. Estimation of biomass and carbon storage of Moso bamboo (Phyllostachys pubescens Mazel ex Houz.) in Southern China using a diameter- age bivariate distribution model. For. Int. J. For. Res. 2014, 87, 674–682. [Google Scholar] [CrossRef]
- Kaushal, R.; Subbulakshmi, V.; Tomar, J.M.S.; Alam, N.M.; Jayaparkash, J.; Mehta, H.; Chaturvedi, O.P. Predictive models for biomass and carbon estimation in male bamboo (Dendrocalamus strictus L.) in Doon valley, India. Acta Ecol. Sin. 2016, 36, 469–476. [Google Scholar] [CrossRef]
- Dutca, I.; Mather, R.; Blujdea, V.N.B.; Ioraș, F.; Olari, M.; Abrudan, L.V. Site-effects on biomass allometric models for early growth plantations of Norway spruce (Picea abies (L.) Karst.). Biomass Bioenergy 2018, 116, 8–16. [Google Scholar] [CrossRef]
- Bland, J.M.; Altman, D.G. Measuring agreement in method comparison studies. Stat. Methods Med Res. 1999, 8, 135–160. [Google Scholar] [CrossRef] [PubMed]
- Sileshi, G.W. A critical review of forest biomass estimation models, common mistakes and corrective measures. For. Ecol. Manag. 2014, 329, 237–254. [Google Scholar] [CrossRef]







| Factor/Variable | Minimum | Average | Maximum | SD |
|---|---|---|---|---|
| Mean annual rainfall (mm) | 1800 | 2119 | 2300 | |
| Mean annual temperature (°C) | 22.3 | 22.6 | 23.0 | |
| Source: Hydrometeorology Center in the Central Highlands Viet Nam, 2017 | ||||
| Bedrock | Acid Magma, Basalt, Shale | |||
| Soil unit | Geri-Acric Ferralsols, Haplic Acrisols, Epileptic Acrisols, Endoleptic Acrisols | |||
| Source: The Map of Soil Units in Dak Lak and Dak Nong provinces, 2008 | ||||
| Altitude (m) | 575 | 700 | 898 | 91.1 |
| Soil layer depth (cm) | 30 | 60 | 100 | 29.4 |
| Slope (degree) | 3.0 | 20.5 | 48.0 | 11.7 |
| Bamboo culm density ha−1 | 4000 | 6965 | 13,500 | 2583 |
| Source: Sample plots | ||||
| D (cm) | 3.6 | 6.20 | 9.5 | 1.3 |
| H (m) | 6.1 | 14.52 | 25.4 | 4.0 |
| A (year) | 1 | 3 | 5 | 1.4 |
| Bcu (kg plant−1) | 1.97 | 7.83 | 26.13 | 4.85 |
| Bbr (kg plant−1) | 0.13 | 2.11 | 5.48 | 1.17 |
| Ble (kg plant−1) | 0.04 | 0.75 | 1.92 | 0.37 |
| AGB (kg plant−1) | 2.65 | 10.69 | 33.53 | 6.11 |
| Source: Destructively sampled trees | ||||
| Model Form | Weight Variable | AIC | Adj. R2 | Averaged Bias (%) | Averaged RMSE (kg) | Averaged MAPE (%) |
|---|---|---|---|---|---|---|
| For Bcu: | ||||||
| Bcu = a × Db | 1/Dδ | 275.4 | 0.606 | −11.4 | 3.0 | 29.7 |
| Bcu = a × Db × Hc | 1/Dδ | 275.6 | 0.634 | −10.1 | 2.9 | 29.8 |
| Bcu = a × (D2H)b | 1/(D2H)δ | 269.6 | 0.610 | −11.2 | 3.0 | 31.9 |
| For Bbr: | ||||||
| Bbr = a × Db | 1/Dδ | 142.9 | 0.548 | −44.3 | 0.8 | 66.2 |
| Bbr = a × Db × Hc | 1/Dδ | 143.4 | 0.533 | −44.1 | 0.8 | 66.2 |
| Bbr = a × (D2H)b | 1/(D2H)δ | 151.7 | 0.466 | −47.4 | 0.9 | 72.6 |
| For Ble: | ||||||
| Ble = a × Db | 1/Dδ | 11.2 | 0.512 | −34.6 | 0.3 | 55.8 |
| Ble = a × Db × Hc * | 1/Dδ | 11.4 | 0.521 | −35.5 | 0.3 | 57.0 |
| Ble = a × (D2H)b | 1/(D2H) δ | 13.5 | 0.487 | −35.7 | 0.3 | 56.9 |
| For AGB: | ||||||
| AGB = a × Db | 1/Dδ | 298.5 | 0.651 | −9.1 | 3.6 | 26.9 |
| AGB = a × Db × Hc * | 1/Dδ | 302.7 | 0.668 | −10.7 | 3.5 | 28.0 |
| AGB = a × (D2H)b | 1/(D2H)δ | 304.9 | 0.633 | −11.9 | 3.8 | 31.3 |
| Combination of Component Equation Systems | Weight Variable | Averaged Bias (%) | Averaged RMSE (kg) | Averaged MAPE (%) |
|---|---|---|---|---|
| Combination 1: | ||||
| Bcu = a1 × Db1 | 1/D | −10.7 | 3.3 | 32.2 |
| Bbr = a2 × Db2 | 1/D | −57.0 | 0.8 | 78.9 |
| Ble = a3 × Db3 | 1/D | −32.0 | 0.3 | 53.5 |
| AGB = Bcu + Bbr + Ble | 1/D | −10.7 | 3.9 | 29.3 |
| Combination 2: | ||||
| Bcu = a1 × (D2H)b1 | 1/D2H | −4.1 | 3.4 | 33.3 |
| Bbr = a2 × (D2H)b2 | 1/D2H | −63.5 | 1.0 | 87.5 |
| Ble = a3 × (D2H)b3 | 1/D2H | −42.7 | 0.3 | 63.5 |
| AGB = Bcu + Bbr + Ble | 1/D2H | −7.8 | 4.1 | 30.5 |
| Combination 3: | ||||
| Bcu = a1 × Db1 | 1/D | −16.5 | 3.4 | 35.1 |
| Bbr = a2 × (D2H)b2 | 1/D2H | −52.4 | 0.9 | 79.0 |
| Ble = a3 × Db3 | 1/D | 41.4 | 0.7 | 90.3 |
| AGB = Bcu + Bbr + Ble | 1/D2H | −9.2 | 3.9 | 28.4 |
| Combination 4: | ||||
| Bcu = a1 × Db1 | 1/D | −21.9 | 3.5 | 38.5 |
| Bbr = a2 × Db2 | 1/D | 15.2 | 1.5 | 86.4 |
| Ble = a3 × (D2H)b3 | 1/D2H | 29.5 | 0.5 | 75.6 |
| AGB = Bcu + Bbr + Ble | 1/D2H | −4.3 | 4.0 | 27.8 |
| Combination 5: | ||||
| Bcu = a1 × (D2H)b1 | 1/D2H | −1.0 | 3.3 | 30.2 |
| Bbr = a2 × Db2 | 1/D | −103.1 | 1.1 | 115.0 |
| Ble = a3 × Db3 | 1/D | 61.1 | 0.6 | 79.8 |
| AGB = Bcu + Bbr + Ble | 1/D2H | −4.2 | 3.9 | 27.8 |
| Combination 6: | ||||
| Bcu = a1 × (D2H)b1 | 1/D | −1.8 | 3.2 | 30.5 |
| Bbr = a2 × (D2H)b2 | 1/D2H | −44.7 | 0.9 | 74.1 |
| Ble = a3 × Db3 | 1/D2 | −28.9 | 0.3 | 50.8 |
| AGB = Bcu + Bbr + Ble | 1/D2 | −2.2 | 3.8 | 28.3 |
| Combination 7: | ||||
| Bcu = a1 × Db1 | 1/D | −10.5 | 3.2 | 31.6 |
| Bbr = a2 × (D2H)b2 | 1/D2H | −56.4 | 0.9 | 81.5 |
| Ble = a3 × (D2H)b3 | 1/D2H | 19.6 | 0.5 | 74.0 |
| AGB = Bcu + Bbr + Ble | 1/D2H | −6.4 | 3.8 | 27.1 |
| Combination 8: | ||||
| Bcu = a1 × (D2H)b1 | 1/D2H | −11.1 | 3.2 | 32.3 |
| Bbr = a2 × Db2 | 1/D | −55.7 | 0.9 | 76.8 |
| Ble = a3 × (D2H)b3 | 1/D2H | −31.7 | 0.3 | 52.5 |
| AGB = Bcu + Bbr + Ble | 1/D2H | −11.2 | 3.8 | 30.0 |
| Model Form | Weight Variable | Parameter | Estimate ± Approx. Std Error | Entire RMSE (kg) | Adj. R2 |
|---|---|---|---|---|---|
| Bcu = a1 × (D2H)b1 | 1/D | a1 b1 | 0.02269 ± 0.00746 0.90703 ± 0.04890 | 2.95 | 0.631 |
| Bbr = a2 × (D2H)b2 | 1/D2H | a2 b2 | 0.02015 ± 0.01010 0.72251 ± 0.07280 | 0.84 | 0.488 |
| Ble = a3 × Db3 | 1/D2 | a3 b3 | 0.03420 ± 0.01760 1.67330 ± 0.25700 | 0.25 | 0.535 |
| AGB = Bcu + Bbr + Ble = a1 × (D2H)b1 + a2 × (D2H)b2 + a3 × Db3 | 1/D2 | a1, b1, a2, b2, a3, b3 | idem | 3.62 | 0.649 |
| Model Form | Weight Variable | Parameter | Estimate ± Approx. Std Error | Entire RMSE (kg) | Adj. R2 |
|---|---|---|---|---|---|
| Bcu = a1 × Db1 | 1/D | a1 b1 | 0.098137 ± 0.00976 2.365691 ± 0.04930 | 2.96 | 0.627 |
| Bbr = a2 × Db2 | 1/D | a2 b2 | 0.052164 ± 0.01570 2.004830 ± 0.15030 | 0.77 | 0.567 |
| Ble = a3 × Db3 | 1/D | a3 b3 | 0.030439 ± 0.00948 1.741870 ± 0.15720 | 0.25 | 0.536 |
| AGB = Bcu + Bbr + Ble = a1 × Db1 + a2 × Db2 + a3 × Db3 | 1/D | a1, b1, a2, b2, a3, b3 | idem | 3.58 | 0.657 |
| Source | Genus/Species-Specific | Selected Model | Fit Index (FI) | Averaged Bias (%) | Averaged RMSE (kg) | Averaged MAPE (%) |
|---|---|---|---|---|---|---|
| This study, 2018, Viet Nam | Bambusa procera | AGB = Bcu + Bbr + Ble = 0.02269 × (D2H)0.90703 + 0.02015 × (D2H)0.72251 + 0.03420 × D1.67330 | 0.66 | −2.2 | 3.8 | 28.3 |
| Yuen et al., 2017 [4] in Thailand | Bambusa nutans | AGB = 0.269 × D2.107 | 0.48 | −17.4 | 3.7 | 31.4 |
| Li et al., 2016 [7] in Taiwan | Bambusa stenostachya | AGB = 0.0262 × (D2H) 0.9215 | 0.62 | 5.5 | 3.9 | 27.6 |
| Ricardo et al., 2013 [1] in Bolivia | Guadua angustifolia | AGB = 2.6685 × D0.9879 | −0.23 | −87.5 | 6.8 | 90.8 |
| Yen et al., 2010 [45] in Taiwan | Phyllostachys makinoi | AGB = 1.112 × D2.695 × H−1.175 | 0.04 | 19.2 | 6.1 | 39.4 |
© 2019 by the authors. Licensee MDPI, Basel, Switzerland. This article is an open access article distributed under the terms and conditions of the Creative Commons Attribution (CC BY) license (http://creativecommons.org/licenses/by/4.0/).
Share and Cite
Huy, B.; Thanh, G.T.; Poudel, K.P.; Temesgen, H. Individual Plant Allometric Equations for Estimating Aboveground Biomass and Its Components for a Common Bamboo Species (Bambusa procera A. Chev. and A. Camus) in Tropical Forests. Forests 2019, 10, 316. https://doi.org/10.3390/f10040316
Huy B, Thanh GT, Poudel KP, Temesgen H. Individual Plant Allometric Equations for Estimating Aboveground Biomass and Its Components for a Common Bamboo Species (Bambusa procera A. Chev. and A. Camus) in Tropical Forests. Forests. 2019; 10(4):316. https://doi.org/10.3390/f10040316
Chicago/Turabian StyleHuy, Bao, Giang Thi Thanh, Krishna P. Poudel, and Hailemariam Temesgen. 2019. "Individual Plant Allometric Equations for Estimating Aboveground Biomass and Its Components for a Common Bamboo Species (Bambusa procera A. Chev. and A. Camus) in Tropical Forests" Forests 10, no. 4: 316. https://doi.org/10.3390/f10040316
APA StyleHuy, B., Thanh, G. T., Poudel, K. P., & Temesgen, H. (2019). Individual Plant Allometric Equations for Estimating Aboveground Biomass and Its Components for a Common Bamboo Species (Bambusa procera A. Chev. and A. Camus) in Tropical Forests. Forests, 10(4), 316. https://doi.org/10.3390/f10040316

