Does Thinning Intensity Affect Wood Quality? An Analysis of Calabrian Pine in Southern Italy Using a Non-Destructive Acoustic Method
Abstract
1. Introduction
2. Materials and Methods
2.1. Study Area and Experimental Design
2.2. Field and Laboratory Activity
2.3. Statistical Analysis
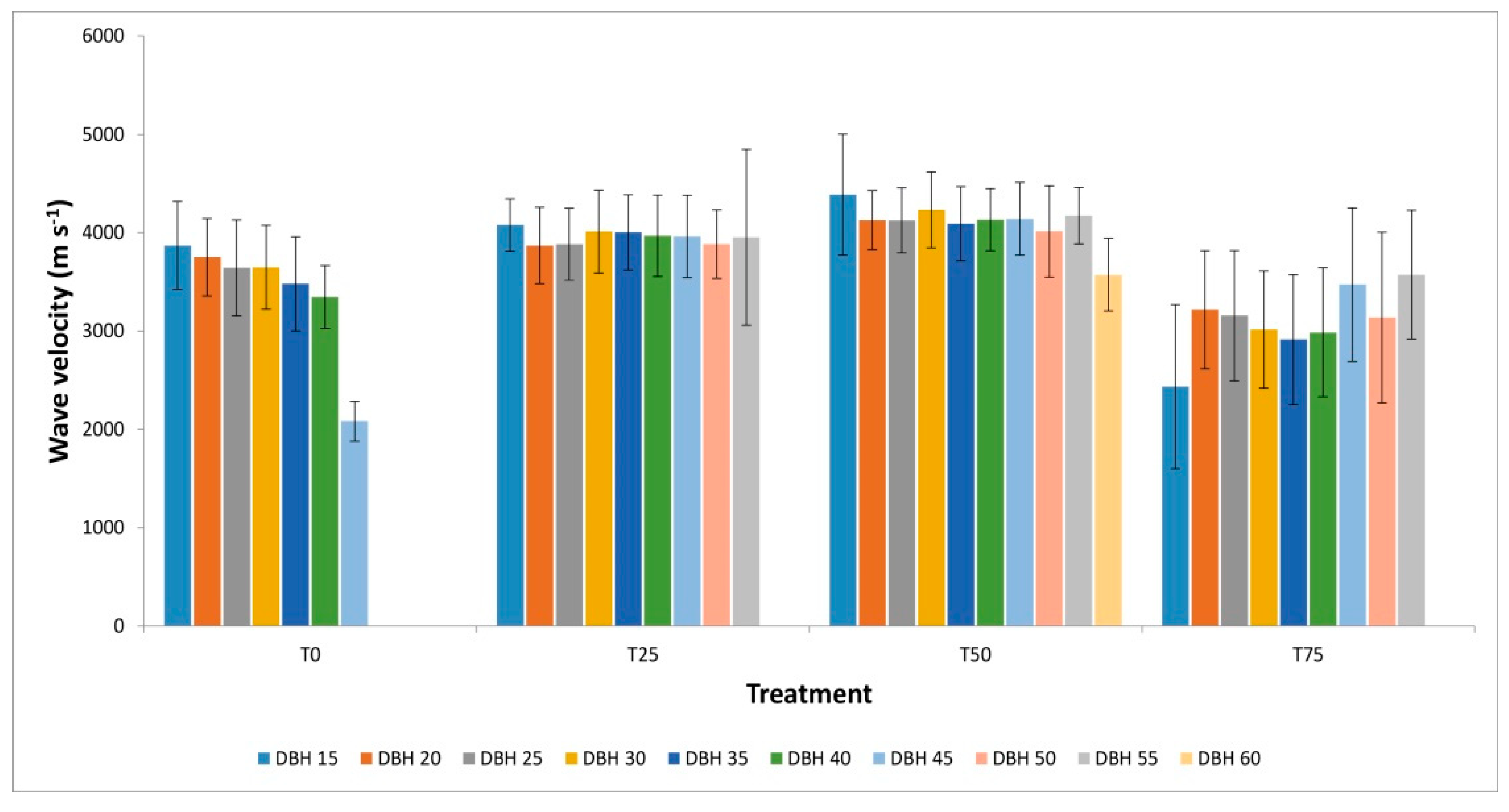
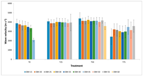
3. Results
4. Discussion
5. Conclusions
Author Contributions
Acknowledgments
Conflicts of Interest
References
- Ciancio, O.; Iovino, F.; Menguzzato, G.; Nicolaci, A.; Nocentini, S. Structure and growth of a small group selection forest of calabrian pine in Southern Italy: A hypothesis for continuous cover forestry based on traditional silviculture. For. Ecol. Manag. 2006, 224, 229–234. [Google Scholar] [CrossRef]
- Bonavita, S.; Vendramin, G.G.; Bernardini, V.; Avolio, S.; Regina, T.M.R. The first SSR-based assessment of genetic variation and structure among Pinus laricio Poiret populations within their native area. Plant Biosyst. 2015, 150, 1–20. [Google Scholar] [CrossRef]
- Nicolaci, A.; Travaglini, D.; Menguzzato, G.; Nocentini, S.; Veltri, A.; Iovino, F. Ecological and anthropogenic drivers of Calabrian pine (Pinus nigra J.F. Arn. ssp. Laricio (Poiret) Maire) distribution in the Sila mountain range. iForest 2014, 8, 497–508. [Google Scholar] [CrossRef]
- Cantiani, P.; Plutino, M.; Amorini, E. Effects of silvicultural treatment on the stability of black pine plantations. Ann. Silvic. Res. 2010, 36, 49–58. [Google Scholar]
- Duncker, P.S.; Barreiro, S.M.; Hengeveld, G.M.; Lind, T.; Mason, W.L.; Ambrozy, S.; Spiecker, H. Classification of forest management approaches: A new conceptual framework and its applicability to European forestry. Ecol. Soc. 2012, 17, 51. [Google Scholar] [CrossRef]
- Skov, K.R.; Kolb, T.E.; Wallin, K.F. Tree size and drought affect ponderosa pine physiological response to thinning and burning treatments. J. Forensic. Sci. 2004, 50, 81–91. [Google Scholar]
- Ostaff, D.P.; Piene, H.; Quiring, D.T.; Moreau, G.; Farrell, J.C.G.; Scarr, T. Influence of pre-commercial thinning on balsam fir defoliation by the balsam fir sawfly. For. Ecol. Manag. 2006, 223, 342–348. [Google Scholar] [CrossRef]
- Demers, C.; Andreu, M.; McGowan, B. Thinning Southern Pines—A Key to Greater Returns; Series of the School of Forest Resources and Conservation, SS FOR 24; Florida Cooperative Extension Service, Institute of Food and Agricultural Sciences, University of Florida: Tallahassee, FL, USA, 2013; 6p. [Google Scholar]
- Grant, C.D.; Norman, M.A.; Smith, M.A. Fire and silvicultural management of restored bauxite mines in Western Australia. Restor. Ecol. 2007, 15, 127–136. [Google Scholar] [CrossRef]
- Zeide, B. Optimal stand density: A solution. Can. J. For. Res. 2004, 34, 846–854. [Google Scholar] [CrossRef]
- Brissette, J.C.; Frank, R.M.; Stone, T.L.; Skratt, T.A. Precommercial thinning in a northern conifer stand: 18-year results. For. Chron. 1999, 75, 967–972. [Google Scholar] [CrossRef]
- Machado, J.S.; Louzada, J.L.; Santos, A.J.A.; Nunes, L.; Anjos, O.; Rodrigues, J.; Simoes, R.M.S.; Pereira, H. Variation of wood density and mechanical properties of blackwood (Acacia melanoxylon r. Br.). Mater. Des. 2014, 56, 975–980. [Google Scholar] [CrossRef]
- Jozsa, L.; Middleton, G. A Discussion of Wood Quality Attributes and Their Practical Implications; Special Publication No. SP-34; Forintek Canada Corp: Vancouver, BC, Canada, 1994. [Google Scholar]
- Briggs, D.G.; Smith, W.R. Effects of Silvicultural Pratices on Wood Properties of Conifers: A review. In Douglas-fir Stand Management for the Future; Oliver, C., Hanley, D., Johnson, J., Eds.; University of Washington Press: Seattle, WA, USA, 1986; pp. 108–116. [Google Scholar]
- Marziliano, P.A.; Menguzzato, G.; Scuderi, A.; Corona, P. Simplified methods to inventory the current annual increment of forest standing volume. iForest 2012, 5, 276–282. [Google Scholar] [CrossRef]
- Proto, A.R.; Macri, G.; Bernardini, V.; Russo, D.; Zimbalatti, G. Acoustic evaluation of wood quality with a non-destructive method in standing trees: A first survey in Italy. iForest 2017, 10, 700–706. [Google Scholar] [CrossRef]
- Sanesi, G.; Lafortezza, R.; Colangelo, G.; Marziliano, P.A.; Davies, C. Root system investigation in sclerophyllous vegetation: An overview. Ital. J. Agron. 2013, 8, 121–126. [Google Scholar] [CrossRef]
- Marziliano, P.A.; Lafortezza, R.; Medicamento, U.; Lorusso, L.; Giannico, V.; Colangelo, C.; Sanesi, G. Estimating belowground biomass and root/shoot ratio of Phillyrea latifolia L. in the Mediterranean forest landscapes. Ann. For. Sci. 2015, 72, 585–593. [Google Scholar] [CrossRef]
- Škorpik, P.; Konrad, H.; Geburek, T.; Schuh, M.; Vasold, D.; Eberhardt, M.; Schuler, S. Solid wood properties assessed by non-destructive measurements of standing European larch (Larix decidua Mill.): Environmental effects on variation within and among trees and forest stands. Forests 2018, 9, 276. [Google Scholar] [CrossRef]
- Carter, P.; Briggs, D.; Ross, R.J.; Wang, X. Acoustic Testing to Enhance Western Forest Values and Meet Customer Wood Quality Needs; Department of Agriculture Forest Service, US Department of Agriculture (USDA): Madison, WI, USA, 2005; pp. 121–129.
- Wang, X.; Ross, R.J.; Carter, P. Acoustic evaluation of wood quality in standing trees-Part I. Acoustic wave behavior. Wood Fiber Sci. 2007, 39, 28–38. [Google Scholar]
- Krajnc, L.; Farrelly, N.; Harte, A.M. The effect of thinning on mechanical properties of Douglas fir, Norway Spruce, and Sitka Spruce. Ann. For. Sci. 2019, 76, 3. [Google Scholar] [CrossRef]
- Guntekin, G.; Emiroglu, Z.G.; Yolmaz, T. Prediction of bending properties for Turkish red pine (Pinus brutia Ten.) Lumber using stress wave method. BioResources 2013, 8, 231–237. [Google Scholar] [CrossRef]
- Tsehaye, A.; Buchanan, A.H.; Walker, J.C.F. Sorting of logs using acoustics. Wood Sci. Technol. 2000, 34, 337–344. [Google Scholar] [CrossRef]
- Wang, X.; Ross, R.J. Nondestructive Evaluation for Sorting red maple logs. In Proceedings of the 28th Annual Hardwood Symposium, West Virgina Now—The Future for the Hardwood Industry? Davis, WV, USA, 11–13 May 2000; pp. 95–101. [Google Scholar]
- Wang, X.; Ross, R.J.; Green, D.W.; Brashaw, B.; Englund, K.; Wolcott, M. Stress wave sorting of red maple logs for structural quality. Wood Sci. Technol. 2004, 37, 531–537. [Google Scholar] [CrossRef]
- Mora, C.R.; Schimleck, L.R.; Isik, F.; Mahon, J.M.; Clark, A.; Daniels, R.F. Relationship between acoustic variables and different measures of stiffness in standing Pinus taeda trees. Can. J. For. Res. 2009, 39, 1421–1429. [Google Scholar] [CrossRef]
- Wessels, C.B.; Malan, F.S.; Rypstra, T. A review of measurement methods used on standing trees for the prediction of some mechanical properties of timber. Eur. J. For. Res. 2011, 130, 881–893. [Google Scholar]
- Tenorio, C.; Moya, R.; Muñoz, F. Comparative study on physical and mechanical properties of laminated veneer lumber and plywood panels made of wood from fast-growing Gmelina arborea trees. J. Wood Sci. 2011, 57, 134–139. [Google Scholar] [CrossRef]
- Brashaw, B.K.; Bucur, V.; Divos, F.; Goncalves, R.; Lu, J.X.; Meder, R.; Pellerin, R.F.; Potter, S.; Ross, R.J.; Wang, X.P.; et al. Non-destructive testing and evaluation of wood: A worldwide research update. For. Prod. J. 2009, 59, 7–14. [Google Scholar]
- Aratake, S.; Arima, T. Estimation of modulus of rupture (MOR) and modulus of elasticity (MOE) of lumber using higher natural frequency of log in pile of logs. II. Possibility of application for sugi square lumber with pith. Mokuzai Gakkaishi 1994, 40, 1003–1007. [Google Scholar]
- Ross, R.J.; McDonald, K.A.; Green, D.W.; Schad, K.C. Relationship between log and lumber modulus of elasticity. For. Prod. J. 1997, 47, 89–92. [Google Scholar]
- Wang, X. Advanced sorting technologies for optimal wood products and woody biomass utilization. In Proceedings of the International Conference on Biobase Material Science and Engineering, Changsha, China, 21–23 October 2012; pp. 175–179. [Google Scholar]
- Teder, M.; Pilt, K.; Miljan, M.; Lainurm, M.; Kruuda, R. Overview of some non-destructive methods for in-situ assessment of structural timber. In Proceedings of the 3rd International Conference Civil Engineering, Jelgava, Latvia, 12–13 May 2011. [Google Scholar]
- Legg, M.; Bradley, S. Measurement of stiffness of standing trees and felled logs using acoustics: A review. J. Acoust. Soc. Am. 2016, 139, 588–604. [Google Scholar] [CrossRef] [PubMed]
- Mochan, S.; Moore, J.; Conolly, T. Using Acoustics Tools in Forestry and the Wood Supply Chain; Forestry Commission Technical Note 18; Forestry Commission: Edinburgh, UK, 2009.
- Wang, X. Fundamentals of acoustic measurements on trees and logs and their implication to field application. In Proceedings of the 17th International Symposium on Non-Destructive Testing and Evaluation of Wood, Sopron, Hungary, 14–16 September 2011; pp. 25–33. [Google Scholar]
- Wang, X. Acoustic measurements on trees and logs: A review and analysis. Wood Sci. Technol. 2013, 47, 965–975. [Google Scholar] [CrossRef]
- Vanninen, P.; Ylitalo, H.; Sievanen, R.; Makela, A. Effect of age and site quality on the distribution of biomass in Scots pine (Pinus sylvestris L.). Trees 1996, 10, 231–238. [Google Scholar] [CrossRef]
- Vargashernandez, J.; Adams, W.T. Genetic relationships between wood density components and cambial growth rhythm in young coastal Douglas-fir. Can. J. For. Res. 1994, 24, 1871–1876. [Google Scholar] [CrossRef]
- Rozenberg, P.; Franc, A.; Bastien, C.; Cahalan, C. Improving models of wood density by including genetic effects: A case study in Douglas-fir. Ann. For. Sci. 2001, 58, 385–394. [Google Scholar] [CrossRef]
- Zobel, B.J.; van Buijtenen, J.P. Wood Variation: Its Causes and Control; Springer: Berlin, Germany, 1989. [Google Scholar]
- Todaro, L.; Macchioni, N. Wood properties of young Douglas-fir in Southern Italy: Results over a 12-year post-thinning period. Eur. J. For. Res. 2011, 130, 251–261. [Google Scholar] [CrossRef]
- Todaro, L.; Quartulli, S.; Robusto, A.; Moretti, N. Effects of different thinning regimes on stand stability and timber assortments in a Douglas-fir forest. Ital. For. Mont. 2002, 5, 451–466, (In Italian with English Summary). [Google Scholar]
- Schweingruber, H.S. Tree Rings: Basic and Applications of Dendrochronology; Kluwer: Dordrecht, The Netherland, 1998. [Google Scholar]
- Wang, S.Y.; Lin, C.J.; Chiu, C.M.; Chen, J.H.; Yang, T.H. Dynamic modulus of elasticity and bending properties of young Taiwania trees grown with different thinning and pruning treatments. J. Wood Sci. 2005, 51, 1–6. [Google Scholar] [CrossRef]
- Peltola, H.; Kilpeläinen, A.; Sauvala, K.; Räisänen, T.; Ikonen, V.P. Effects of early thinning regime and tree status on the radial growth and wood density of Scots pine. Silva Fenn. 2007, 41, 489–505. [Google Scholar] [CrossRef]
- Wang, X. Stress Wave-Based Non-Destructive Evaluation (NDE) Methods for Wood Quality of Standing Trees. Ph.D. Dissertation, Michigan Technological University, Houghton, MI, USA, 1999; p. 187. [Google Scholar]
- Cown, D.J. Comparison of the effects of two thinning regimeson some wood properties of radiata pine. NZ J. Forest Sci. 1974, 4, 540–551. [Google Scholar]
- Barbour, R.J.; Foyle, D.C.; Chauret, G.; Cook, J.A.; Karsh, M.B.; Ran, S. Breast height relative density and radial growth in matureJack pine (Pinus banksiana) for 38 years after thinning. Can. J. For. Res. 1994, 24, 2439–2447. [Google Scholar] [CrossRef]
- Wang, X.; Ross, R.J.; Mcclellan, M.; Barbour, R.J.; Erickson, J.R.; Forsman, J.W.; Mcginnis, G.D. Non-destructive evaluation of standing trees with stress wave method. Wood Fiber Sci. 2001, 33, 522–533. [Google Scholar]
- Pavari, A. Le classificazioni fitoclimatiche ed i caratteri della stazione [Phytoclimatic classifications and station characteristics]. Scritti di Ecologia Selvicoltura e Botanica Forestale 1959, 45–116. (In Italian) [Google Scholar]
- IUSS Working Group WRB. World Reference Base for Soil Resources; International Soil Classification System for Naming Soils and Creating Legends for Soil Maps. World Soil Resources Reports No. 106; FAO: Roma, Italy, 2014. [Google Scholar]
- Yang, H.; Yu, L.; Wang, L. Effect of moisture content on the ultrasonic acoustic properties of wood. J. For. Res. 2015, 26, 753–757. [Google Scholar] [CrossRef]
- Divos, F. Acoustic Tools for Seedling, Tree and Log Selection. In Proceedings of the Final Conference of COST Action E53 The Future of Quality Control for Wood and Wood Products, Edinburgh, UK, 4–7 May 2010; p. 5. [Google Scholar]
- Eckard, J.T.; Isik, F.; Bullock, B.; Li, B.; Gumpertz, M. Selection efficiency for solid wood traits in Pinus taeda using time-of-flight acoustic and micro-drill resistance methods. For. Sci. 2010, 56, 233–241. [Google Scholar]
- Lasserre, J.P.; Mason, E.G.; Watt, M.S. Assessing corewood acoustic velocity and modulus of elasticity with two impact based instruments in 11-year-old trees from a clonal-spacing experiment of Pinus radiata D.Don. For. Ecol. Manag. 2007, 239, 217–221. [Google Scholar] [CrossRef]
- Urhan, O.S.; Kolpak, S.E.; Jayawickrama, K.J.S.; Howe, G.T. Early genetic selection for wood stiffness in juvenile Douglas-fir and western hemlock. For. Ecol. Manag. 2014, 320, 104–117. [Google Scholar] [CrossRef]
- R Core Team. R: A Language and Environment for Statistical Computing; R Foundation for Statistical Computing: Vienna, Austria, 2016. [Google Scholar]
- Candel-Pérez, D.; Lo, Y.H.; Blanco, J.; Chiu, C.M.; Camarero, J.; González de Andrés, E.; Imbert, J.; Castillo, F. Drought-induced changes in wood density are not prevented by thinning in Scots pine stands. Forests 2018, 9, 4. [Google Scholar] [CrossRef]
- Mitchell, S.J. Stem growth responses in Douglas-fir and Sitka spruce following thinning, implications for assessing wind-firmness. For. Ecol. Manag. 2000, 135, 105–114. [Google Scholar] [CrossRef]
- Todaro, L. Influenza delle tecniche colturali sulle qualità del legno di alcune conifere con particolare riferimento alla Douglasia [Influence of silvicultural treatments on wood quality on Douglas-fir trees]. Monti e Boschi 2002, 3/4, 3844. (In Italian) [Google Scholar]
- Macdonald, H.; Hubert, J. A review of the effect of silviculture on timber quality of Sitka spruce. Forestry 2002, 2, 107–138. [Google Scholar] [CrossRef]
- Štefančík, I.; Vacek, Z.; Sharma, R.P.; Vacek, S.; Rösslová, M. Effect of thinning regimes on growth and development of crop trees in Fagus sylvatica stands of Central Europe over fifty years. Dendrobiology 2018, 79, 141–155. [Google Scholar]
- Ikeda, K.; Kino, N. Quality evaluation of standing trees by a stress-wave propagation method and its application I. Seasonal changes of moisture contents of sugi standing trees and evaluation with stress-wave propagation velocity. Mokuzai Gakkaishi 2000, 46, 181–188. [Google Scholar]
- Wang, X.; Ross, R.J.; Punches, J.; Barbour, R.J.; Forsman, J.W.; Erickson, J.R. Evaluation of small-diameter timber for valued-added manu-facturing—A stress wave approach. In Proceedings of the II International Precision Forestry Symposium; Institute of Forest Resources, University of Washington: Seattle, WA, USA, 2003; pp. 91–96. [Google Scholar]
- Briggs, D.G.; Thienel, G.; Turnblom, E.C.; Lowell, E.; Dykstra, D.; Ross, R.; Wang, X.; Carter, P. Influence of thinning on acoustic velocity of douglas-fir trees in western Washington and western Oregon. In Proceedings of the 15th International Symposium on Non-destructive Testing of Wood, Duluth, MN, USA, 10–12 September 2007; Forest Products Society: Madison, WI, USA, 2008; pp. 113–123. [Google Scholar]
- Zhang, S.Y. Effect of growth rate on wood specific gravity and selected mechanical properties in individual species from distinct wood categories. Wood Sci. Technol. 1995, 29, 451–465. [Google Scholar] [CrossRef]
- Chauhan, S.S.; Walker, J.C.F. Variations in acoustic velocity and density with age, and their interrelationships in radiata pine. For. Ecol. Manag. 2006, 229, 388–394. [Google Scholar] [CrossRef]
- Lasserre, J.P.; Mason, E.; Watt, M. The influence of initial stocking on corewood stiffness in a clonal experiment of 11 year-old Pinus radiata D. Don. N. Z. J. Forestry 2004, 49, 18–23. [Google Scholar]
- Clark, A.; Daniels, R.F. Modelling the effect of physiographic region on wood properties of planted loblolly pine in southeast United States. In Proceedings of the Connection between Forest Resources and Wood Quality: Modelling Approaches and Simulation Software, Fourth Workshop IUFRO Working Party S5.01-04, Harrison Hot Springs, BC, Canada, 8–15 September 2002; p. 663. [Google Scholar]
- Marziliano, P.A.; Coletta, V.; Menguzzato, G.; Nicolaci, A.; Pellicone, G.; Veltri, A. Effects of planting density on the distribution of biomass in a douglas-fir plantation in southern Italy. iForest 2015, 8, 368–376. [Google Scholar] [CrossRef]
- Coletta, V.; Menguzzato, G.; Pellicone, G.; Veltri, A.; Marziliano, P. Effect of thinning on above-ground biomass accumulation in a Douglas-fir plantation in southern Italy. J. For. Res. 2016, 27, 1313–1320. [Google Scholar] [CrossRef]
- Marziliano, P.A.; Menguzzato, G.; Scuderi, A.; Scalise, C.; Coletta, V. Biomass conversion and expansion factors in Douglas-fir stands of different planting density: Variation according to individual growth and prediction equations. For. Syst. 2017, 26, e003. [Google Scholar] [CrossRef]
- Nakamura, N. Measurement of the properties of standing trees with ultrasonics and mapping of the properties. Univ. For. Res. 1996, 96, 125–135. [Google Scholar]
- Sandoz, J.L. Non-destructive testing of wood. In Proceedings of the 10th International Symposium on NDT, Lausanne, Switzerland, 26–27 August 1996. [Google Scholar]
- Zhang, S.Y.; Chauret, G.; Ren, H.Q.; Desjardins, R. Impact of plantation black spruce initial spacing on lumber grade yield, bending properties and MSR yield. Wood Fiber Sci. 2002, 34, 460–475. [Google Scholar]
- Gorman, T.M.; Wagner, F.G.; Wu, S.Y. Assessment of intensive stress-wave scanning of Douglas-fir trees for predicting lumber modulus of elasticity. In Proceedings of the 13th International Symposium on Nondestructive Testing of Wood, Richmond, BC, Canada, 19–21 August 2002; pp. 143–148. [Google Scholar]
- Castera, P.; Faye, C.; El Ouadrani, A. Prevision of the bending strength of timber with a multivariate statistical approach. Ann. For. Sci. 1996, 53, 885–898. [Google Scholar] [CrossRef]
- Haartveit, E.Y.; Flate, P.O. Mechanical properties of Norway spruce lumber from monocultures and mixed stand-modelling bending stiffness and strength using stand and tree characteristics. In Proceedings of the Connection between Silviculture and Wood Quality: Modelling Approach and Simulation Software, IUFRO WP S5.01-04 Workshop, Harrison Hot Springs, BC, Canada, 8–15 September 2002; p. 2002. [Google Scholar]
- Lei, Y.C.; Zhang, S.Y.; Jiang, Z. Models for predicting lumber bending MOR and MOE based on tree and stand characteristics in black spruce. Wood Sci. Technol. 2005, 39, 37–47. [Google Scholar] [CrossRef]
- Burkhart, H.E. Development of empirical growth and yield models. In Proceedings of the Empirical and Process-Based Models for Forest Tree and Stand Growth Simulation, A Workshop/Ph.D. Course Jointly Organized by Technical University of Lisbon and IUFRO 4.01, Oeiras, Portugal, 21–27 September 1997; p. 10. [Google Scholar]






| Treatments | Parameters | Mean | SD | Skewness | Kurtosis | SWTsig |
|---|---|---|---|---|---|---|
| T0 | DBH (cm) | 24.9 | 6.07 | 0.228 | −0.408 | 0.106 |
| H (m) | 18.84 | 2.83 | 0.447 | 0.483 | 0.112 | |
| Stand density (N ha−1) | 1977 | 134 | 0.468 | −0.62 | 0.125 | |
| Basal area (m2 ha−1) | 95.9 | 7.16 | −0.873 | 0.024 | 0.095 | |
| T25 | DBH (cm) | 26.7 | 8.19 | 0.352 | 0.242 | 0.053 |
| H (m) | 20.03 | 2.76 | 0.298 | 0.237 | 0.131 | |
| Stand density (N ha−1) | 1548 | 77 | 0.045 | −0.938 | 0.096 | |
| Basal area (m2 ha−1) | 86.88 | 11 | 0.049 | −0.965 | 0.364 | |
| T50 | DBH (cm) | 26.4 | 8.73 | 0.646 | 1.001 | 0.064 |
| H (m) | 20.05 | 3.65 | −0.326 | 0.042 | 0.055 | |
| Stand density (N ha−1) | 939 | 49 | 0.676 | 1.055 | 0.118 | |
| Basal area (m2 ha−1) | 51.45 | 4.28 | −0.451 | −0.579 | 0.247 | |
| T75 | DBH (cm) | 32.5 | 9.96 | 0.444 | −0.46 | 0.217 |
| H (m) | 21.1 | 3.68 | −0.503 | 0.399 | 0.146 | |
| Stand density (N ha−1) | 514 | 29 | −0.281 | −0.684 | 0.214 | |
| Basal area (m2 ha−1) | 42.67 | 3.05 | 0.194 | −0.544 | 0.079 |
| Treatments | Tree Wood Density (kg/m3) | Stress Wave Time (μs) | Wave Velocity (m s−1) | MOEd (MPa) | ||||
|---|---|---|---|---|---|---|---|---|
| Mean | SD | Mean | SD | Mean | SD | Mean | SD | |
| T0 | 563 | 30.2 | 282.5 b | 48.0 | 3637.9 d | 465 | 7206.2 c | 1699.9 |
| T25 | 550 | 35.5 | 257.0 c | 27.0 | 3959.7 ab | 397 | 8487.5 b | 1695.4 |
| T50 | 538 | 28.2 | 245.2 cd | 22.0 | 4141.6 a | 371 | 9275.8 a | 1717.5 |
| T75 | 529 | 27.4 | 344.5 a | 90.8 | 3090.1 c | 681 | 5371.9 d | 2242.2 |
| Model | Coefficients | Standard Error of Coefficients | T | Significance |
|---|---|---|---|---|
| (Constant) | −11895.537 | 1349.925 | −8.782 | p < 0.0001 |
| 1/BA | 227408.509 | 44672.651 | 5.068 | p < 0.0001 |
| SD | 31.669 | 2.538 | 12.458 | p < 0.0001 |
| SD2 | −0.018 | 0.002 | −7.941 | p < 0.0001 |
| SD3 | 0.00000281 | 0.000 | 5.371 | p < 0.0001 |
© 2019 by the authors. Licensee MDPI, Basel, Switzerland. This article is an open access article distributed under the terms and conditions of the Creative Commons Attribution (CC BY) license (http://creativecommons.org/licenses/by/4.0/).
Share and Cite
Russo, D.; Marziliano, P.A.; Macri, G.; Proto, A.R.; Zimbalatti, G.; Lombardi, F. Does Thinning Intensity Affect Wood Quality? An Analysis of Calabrian Pine in Southern Italy Using a Non-Destructive Acoustic Method. Forests 2019, 10, 303. https://doi.org/10.3390/f10040303
Russo D, Marziliano PA, Macri G, Proto AR, Zimbalatti G, Lombardi F. Does Thinning Intensity Affect Wood Quality? An Analysis of Calabrian Pine in Southern Italy Using a Non-Destructive Acoustic Method. Forests. 2019; 10(4):303. https://doi.org/10.3390/f10040303
Chicago/Turabian StyleRusso, Diego, Pasquale A. Marziliano, Giorgio Macri, Andrea R. Proto, Giuseppe Zimbalatti, and Fabio Lombardi. 2019. "Does Thinning Intensity Affect Wood Quality? An Analysis of Calabrian Pine in Southern Italy Using a Non-Destructive Acoustic Method" Forests 10, no. 4: 303. https://doi.org/10.3390/f10040303
APA StyleRusso, D., Marziliano, P. A., Macri, G., Proto, A. R., Zimbalatti, G., & Lombardi, F. (2019). Does Thinning Intensity Affect Wood Quality? An Analysis of Calabrian Pine in Southern Italy Using a Non-Destructive Acoustic Method. Forests, 10(4), 303. https://doi.org/10.3390/f10040303

