Insights into the BRT (Boosted Regression Trees) Method in the Study of the Climate-Growth Relationship of Masson Pine in Subtropical China
Abstract
1. Introduction
2. Materials and Methods
2.1. Geography and Climatology of the Study Areas
2.2. Tree-Ring Preparation and Measurement
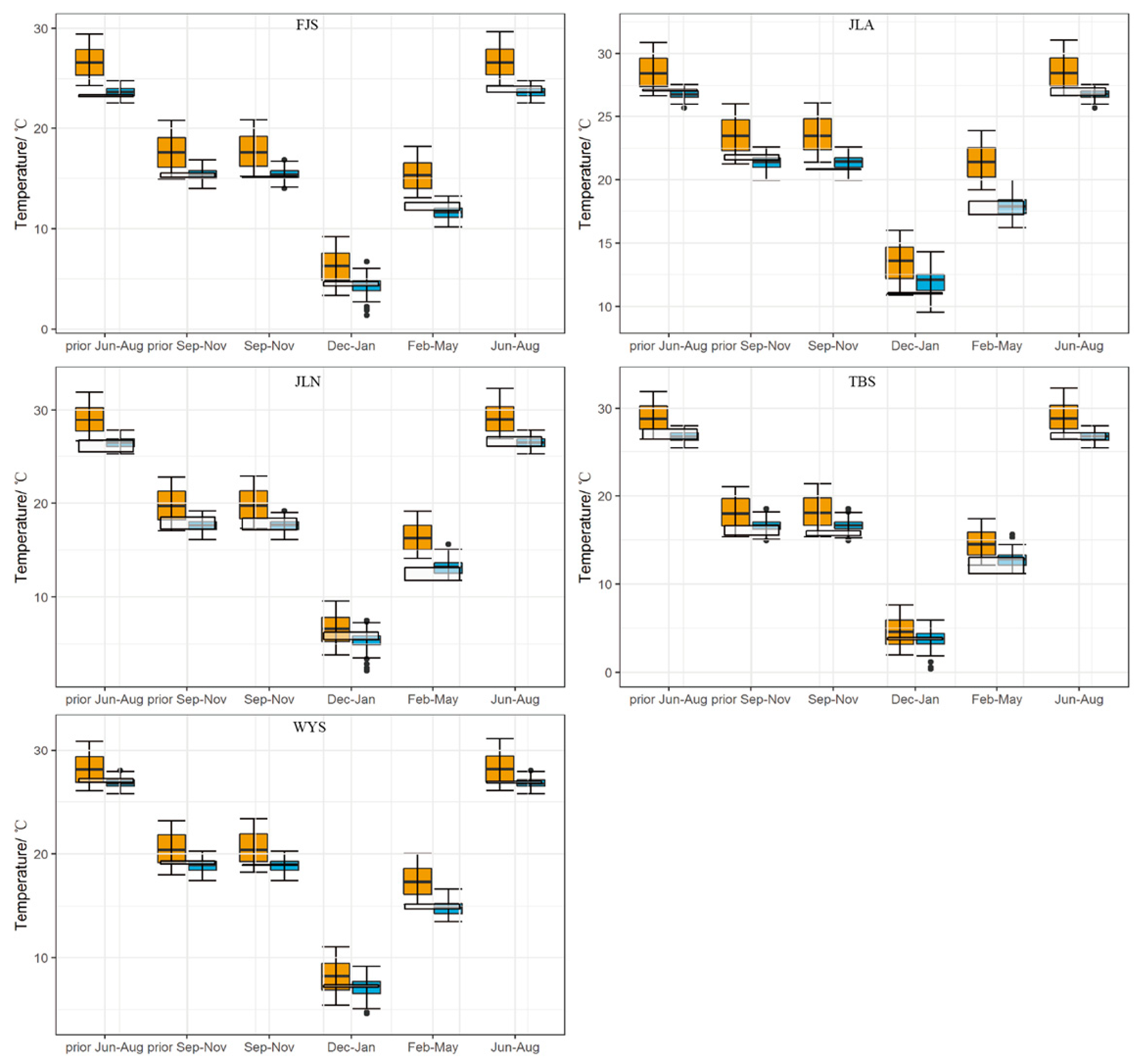
2.3. Climate Data
2.4. BRT Methods
3. Results
3.1. Tree Ring Chronology Statistics
3.2. Performance of the BRT Models
3.3. Relative Influence of Seasonal Climate Factors
3.4. Nonlinearity of the Data
3.5. Threshold of Climate-Growth in the Future
4. Discussion
4.1. BRT as a Potential Tool for Analysing Climate-Growth Relationships
4.2. Seasonal Features in Growth-Climate Relationships
4.3. Influence of Global Warming
5. Conclusions
Author Contributions
Funding
Acknowledgments
Conflicts of Interest
References
- Kuang, Y.W.; Sun, F.F.; Wen, D.Z.; Zhou, G.Y.; Zhao, P. Tree-ring growth patterns of Masson pine (Pinus massoniana L.) during the recent decades in the acidification Pearl River Delta of China. For. Ecol. Manag. 2008, 255, 3534–3540. [Google Scholar] [CrossRef]
- Sun, F.; Kuang, Y.; Wen, D.; Xu, Z.; Li, J.; Zuo, W.; Hou, E. Long-Term Tree Growth Rate, Water Use Efficiency, and Tree Ring Nitrogen Isotope Composition of Pinus massoniana L. in Response to Global Climate Change and Local Nitrogen Deposition in Southern China. J. Soils Sediments 2010, 10, 1453–1465. [Google Scholar] [CrossRef]
- Kuang, Y.; Zhou, G.; Wen, D.; Li, J.; Sun, F. Analysis of Polycyclic Aromatic Hydrocarbons in Tree-Rings of Masson Pine (Pinus massoniana L.) from Two Industrial Sites in the Pearl River Delta, South China. J. Environ. Monit. 2011, 13, 2630–2637. [Google Scholar] [CrossRef] [PubMed]
- Chen, F.; Yuan, Y.; Wei, W.; Yu, S.; Zhang, T. Reconstructed Temperature for Yong’an, Fujian, Southeast China: Linkages to the Pacific Ocean Climate Variability. Glob. Planet. Chang. 2012, 86–87, 11–19. [Google Scholar] [CrossRef]
- Duan, J.; Zhang, Q.-B.; Lv, L.; Zhang, C. Regional-Scale Winter-Spring Temperature Variability and Chilling Damage Dynamics over the Past Two Centuries in Southeastern China. Clim. Dyn. 2012, 39, 919–928. [Google Scholar] [CrossRef]
- Xia, P.; Yin, S.; Jiang, J. Pinus aiwanensis Tree-Ring Chronology and Its Response to Climate. Procedia Environ. Sci. 2012, 13, 307–315. [Google Scholar] [CrossRef]
- Zheng, Y.; Zhang, Y.; Shao, X.; Yin, Z.-Y.; Zhang, J. Temperature Variability Inferred from Tree-Ring Widths in the Dabie Mountains of Subtropical Central China. Trees 2012, 26, 1887–1894. [Google Scholar] [CrossRef]
- Chen, F.; Yuan, Y.; Yu, S.; Zhang, T. Influence of Climate Warming and Resin Collection on the Growth of Masson Pine (Pinus massoniana) in a Subtropical Forest, Southern China. Trees 2015, 29, 1423–1430. [Google Scholar] [CrossRef]
- Li, D.; Fang, K.; Li, Y.; Chen, D.; Liu, X.; Dong, Z.; Zhou, F.; Guo, G.; Shi, F.; Xu, C.; et al. Climate, Intrinsic Water-Use Efficiency and Tree Growth over the Past 150 Years in Humid Subtropical China. PLoS ONE 2017, 12, e0172045. [Google Scholar] [CrossRef] [PubMed]
- Liu, Y.; Ta, W.; Li, Q.; Song, H.; Sun, C.; Cai, Q.; Liu, H.; Wang, L.; Hu, S.; Sun, J.; et al. Tree-Ring Stable Carbon Isotope-Based April–June Relative Humidity Reconstruction since Ad 1648 in Mt. Tianmu, China. Clim. Dyn. 2018, 50, 1733–1745. [Google Scholar] [CrossRef]
- Zhao, Y.; Shi, J.; Shi, S.; Wang, B.; Yu, J. Summer Climate Implications of Tree-Ring Latewood Width: A Case Study of Tsuga longibracteata in South China. Asian Geogr. 2017, 34, 131–146. [Google Scholar] [CrossRef]
- Williams, R. The Effects of Resin Tapping on the Radial Growth of Masson Pine Trees in South China-A Case Study. Agric. Res. Technol. Open Access J. 2017, 8. [Google Scholar] [CrossRef]
- Zhao, Y.; Shi, J.; Shi, S.; Yu, J.; Lu, H. Tree-Ring Latewood Width Based July–August SPEI Reconstruction in South China since 1888 and Its Possible Connection with ENSO. J. Meteorol. Res. 2017, 31, 39–48. [Google Scholar] [CrossRef]
- Acevedo, W.; Fallah, B.; Reich, S.; Cubasch, U. Assimilation of Pseudo-Tree-Ring-Width Observations into an Atmospheric General Circulation Model. Clim. Past 2017, 13, 545–557. [Google Scholar] [CrossRef]
- Farjon, A. Pinus Massoniana. The IUCN Red List of Threatened Species 2013: E.T42379A2976356. Available online: https://doi.org/10.2305/IUCN.UK.2013-1.RLTS.T42379A2976356.en (accessed on 28 February 2019).
- Brienen, R.J.W.; Schöngart, J.; Zuidema, P.A. Tree Rings in the Tropics: Insights into the Ecology and Climate Sensitivity of Tropical Trees. In Tropical Tree Physiology; Goldstein, G., Santiago, L.S., Eds.; Springer International Publishing: Cham, Germany, 2016; Volume 6, pp. 439–461. [Google Scholar]
- Anhuf, D.; Schleser, G.H. Tree Ring Studies in the Tropics and Subtropics. Erdkunde 2017, 71, 1–4. [Google Scholar] [CrossRef]
- Xia, B.; Lan, T.; He, S. Nonelinear Response Function of Growth of Pinus massoniana to Climate. Chin. J. Acta Phytoecol. Sin. 1996, 20, 51–56. [Google Scholar]
- Lan, T.; Xia, B.; He, S. Tree ring Analysis on Relation of Pinus massoniana Growth to Climate Factors. Chin. J. Appl. Ecol. 1994, 5, 422–424. [Google Scholar]
- Jevšenak, J.; Levanič, T. Should Artificial Neural Networks Replace Linear Models in Tree Ring Based Climate Reconstructions? Dendrochronologia 2016, 40, 102–109. [Google Scholar] [CrossRef]
- Fritts, H.C. Tree Rings and Climate; Academic Press: London, UK; New York, NY, USA; San Francisco, CA, USA, 1976. [Google Scholar]
- Evans, M.N.; Reichert, B.K.; Kaplan, A.; Anchukaitis, K.J.; Vaganov, E.A.; Hughes, M.K.; Cane, M.A. A Forward Modeling Approach to Paleoclimatic Interpretation of Tree-Ring Data. J. Geophys. Res. 2006, 111. [Google Scholar] [CrossRef]
- Vaganov, E.A.; Hughes, M.K.; Šaškin, A.V. Growth Dynamics of Conifer Tree Rings: Images of Past and Future Environments; Springer: Berlin, Germany, 2006. [Google Scholar]
- Andreuhayles, L.; D’Arrigo, R.; Anchukaitis, K.J.; Beck, P.S.A.; Frank, D.; Goetz, S. Varying Boreal Forest Response to Arctic Environmental Change at the Firth River, Alaska. Environ. Res. Lett. 2011, 6, 045503. [Google Scholar] [CrossRef]
- Surface Temperature Reconstructions for the Last 2000 Years; National Research Council (U.S.), Ed.; National Academies Press: Washington, DC, USA, 2006. [Google Scholar]
- Ohse, B.; Jansen, F.; Wilmking, M. Do Limiting Factors at Alaskan Treelines Shift with Climatic Regimes? Environ. Res. Lett. 2012, 7, 015505. [Google Scholar] [CrossRef]
- Fritts, H.; Vaganov, E.; Sviderskaya, I.; Shashkion, A. Climatic Variation and Tree-Ring Structure in Conifers: Empirical and Mechanistic Models of Tree-Ring Width, Number of Cells, Cell Size, Cell-Wall Thickness and Wood Density. Clim. Res. 1991, 1, 97–116. [Google Scholar] [CrossRef]
- Graumlich, L.J.; Brubaker, L.B. Reconstruction of Annual Temperature (1590–1979) for Longmire, Washington, Derived from Tree Rings. Quat. Res. 1986, 25, 223–234. [Google Scholar] [CrossRef]
- Graumlich, L.J. Subalpine Tree Growth, Climate, and Increasing CO2: An Assessment of Recent Growth Trends. Ecology 1991, 72, 1–11. [Google Scholar] [CrossRef]
- Graumlich, L.J. A 1000-Year Record of Temperature and Precipitation in the Sierra Nevada. Quat. Res. 1993, 39, 249–255. [Google Scholar] [CrossRef]
- Ni, F. Analysis and Reconstruction of the Relationship between a Circulation Anomaly Feature and Tree Rings: Linear and Nonlinear Approaches. Master’s Thesis, University of Arizona, Tucson, AZ, USA, 2000. [Google Scholar]
- Breitenmoser, P.; Brönnimann, S.; Frank, D. Forward Modelling of Tree-Ring Width and Comparison with a Global Network of Tree-Ring Chronologies. Clim. Past 2014, 10, 437–449. [Google Scholar] [CrossRef]
- Tolwinski-Ward, S.E.; Evans, M.N.; Hughes, M.K.; Anchukaitis, K.J. An Efficient Forward Model of the Climate Controls on Interannual Variation in Tree-Ring Width. Clim. Dyn. 2011, 36, 2419–2439. [Google Scholar] [CrossRef]
- Speed, J.D.M.; Austrheim, G.; Hester, A.J.; Mysterud, A. Browsing Interacts with Climate to Determine Tree-Ring Increment: Browsing Interacts with Climate. Funct. Ecol. 2011, 25, 1018–1023. [Google Scholar] [CrossRef]
- Gou, X.; Zhou, F.; Zhang, Y.; Chen, Q.; Zhang, J. Forward Modeling Analysis of Regional Scale Tree-Ring Patterns around the Northeastern Tibetan Plateau, Northwest China. Biogeosci. Discuss. 2013, 10, 9969–9988. [Google Scholar] [CrossRef]
- Carrer, M.; Urbinati, C. Assessing Climate-Growth Relationships: A Comparative Study between Linear and Non-Linear Methods. Dendrochronologia 2001, 19, 57–65. [Google Scholar]
- Zhou, F. Research on Nonlinear Climate—Growth Patterns and Driving Mechanisms of Regional Long—Term Climatic Variabilitv in the Northeastern Tibetan Platea. Ph.D. Thesis, Lanzhou University, Lanzhou, China, 2013. [Google Scholar]
- Jevšenak, J.; Džeroski, S.; Levanič, T. Predicting the Vessel Lumen Area Tree-Ring Parameter of Quercus Robur with Linear and Nonlinear Machine Learning Algorithms. Geochronometria 2018, 45, 211–222. [Google Scholar] [CrossRef]
- Balybina, A.S. Reconstructing the Air Temperature from Dendrochronological Data from the Preolkhon Area Using the Neural Network Method. Geogr. Nat. Resour. 2010, 31, 30–33. [Google Scholar] [CrossRef]
- Zhang, Q.-B.; Hebda, R.J.; Zhang, Q.-J.; Alfaro, R.I. Modeling Tree-Ring Growth Responses to Climatic Variables Using Artificial Neural Networks. For. Sci. 2000, 46, 229–239. [Google Scholar] [CrossRef]
- Woodhouse, C.A. Artificial Neural Networks and Dendroclimatic Reconstructions: An Example from the Front Range, Colorado, USA. Holocene 1999, 9, 521–529. [Google Scholar] [CrossRef]
- Moffat, A.M.; Beckstein, C.; Churkina, G.; Mund, M.; Heimann, M. Characterization of Ecosystem Responses to Climatic Controls Using Artificial Neural Networks. Glob. Chang. Biol. 2010, 16, 2737–2749. [Google Scholar] [CrossRef]
- Fang, K.; Gou, X.; Chen, F.; Frank, D.; Liu, C.; Li, J.; Kazmer, M. Precipitation Variability during the Past 400 Years in the Xiaolong Mountain (Central China) Inferred from Tree Rings. Clim. Dyn. 2012, 39, 1697–1707. [Google Scholar] [CrossRef]
- Jevšenak, J.; Džeroski, S.; Zavadlav, S.; Levanič, T. A Machine Learning Approach to Analyzing the Relationship between Temperatures and Multi-Proxy Tree-Ring Records. Tree-Ring Res. 2018, 74, 210–224. [Google Scholar] [CrossRef]
- Jevšenak, J.; Levanič, T.; Džeroski, S. Comparison of an Optimal Regression Method for Climate Reconstruction with the Compare_methods () Function from the DendroTools R Package. Dendrochronologia 2018, 52, 96–104. [Google Scholar] [CrossRef]
- Sun, Y.; Bekker, M.F.; DeRose, R.J.; Kjelgren, R.; Wang, S.-Y.S. Statistical Treatment for the Wet Bias in Tree-Ring Chronologies: A Case Study from the Interior West, USA. Environ. Ecol. Stat. 2017, 24, 131–150. [Google Scholar] [CrossRef]
- D’Odorico, P.; Revelli, R.; Ridolfi, L. On the Use of Neural Networks for Dendroclimatic Reconstructions. Geophys. Res. Lett. 2000, 27, 791–794. [Google Scholar] [CrossRef]
- Guiot, J.; Keller, T.; Tessier, L. Relational Databases in Dendroclimatology and New Non-Linear Methods to Analyse the Tree Response to Climate and Pollution. In Tree Rings: From the Past to the Future (Proceedings of the International Workshop on Asian and Pacific Dendrochronology, Tsukuba city); Ohta, S., Fujii, T., Okada, N., Hughes, M.K., Eckstein, D., Eds.; Forestry and Forest Products Research Institute: Tsukuba, Japan, 1995. [Google Scholar]
- Keller, T.; Guiot, J.; Tessier, L. Climatic Effect of Atmospheric CO2 Doubling on Radial Tree Growth in South Eastern France. J. Biogeogr. 2003, 24, 857–864. [Google Scholar] [CrossRef]
- Ni, F.; Cavazos, T.; Hughes, M.K.; Comrie, A.C.; Funkhouser, G. Cool-Season Precipitation in the Southwestern USA SinceAD 1000: Comparison of Linear and Nonlinear Techniques for Reconstruction. Int. J. Climatol. 2002, 22, 1645–1662. [Google Scholar] [CrossRef]
- Fang, K.; Frank, D.; Zhao, Y.; Zhou, F.; Seppä, H. Moisture Stress of a Hydrological Year on Tree Growth in the Tibetan Plateau and Surroundings. Environ. Res. Lett. 2015, 10, 034010. [Google Scholar] [CrossRef]
- Kolman, E.; Margaliot, M. Knowledge Extraction from Neural Networks Using the All-Permutations Fuzzy Rule Base: The LED Display Recognition Problem. In Computational Intelligence and Bioinspired Systems; Cabestany, J., Prieto, A., Sandoval, F., Hutchison, D., Kanade, T., Kittler, J., Kleinberg, J.M., Mattern, F., Mitchell, J.C., Naor, M., et al., Eds.; Springer: Berlin/Heidelberg, Germany, 2005; Volume 3512, pp. 1222–1229. [Google Scholar]
- Suleiman, A.; Tight, M.R.; Quinn, A.D. Hybrid Neural Networks and Boosted Regression Tree Models for Predicting Roadside Particulate Matter. Environ. Model. Assess. 2016, 21, 731–750. [Google Scholar] [CrossRef]
- Nolan, B.T.; Fienen, M.N.; Lorenz, D.L. A Statistical Learning Framework for Groundwater Nitrate Models of the Central Valley, California, USA. J. Hydrol. 2015, 531, 902–911. [Google Scholar] [CrossRef]
- Friedman, J.H. Machine. Ann. Stat. 2001, 29, 1189–1232. [Google Scholar] [CrossRef]
- Lloyd, A.H.; Duffy, P.A.; Mann, D.H. Nonlinear Responses of White Spruce Growth to Climate Variability in Interior Alaska. Can. J. For. Res. 2013, 43, 331–343. [Google Scholar] [CrossRef]
- Walker, X.J.; Mack, M.C.; Johnstone, J.F. Predicting Ecosystem Resilience to Fire from Tree Ring Analysis in Black Spruce Forests. Ecosystems 2017, 20, 1137–1150. [Google Scholar] [CrossRef]
- Trouvé, R.; Bontemps, J.-D.; Collet, C.; Seynave, I.; Lebourgeois, F. Radial Growth Resilience of Sessile Oak after Drought Is Affected by Site Water Status, Stand Density, and Social Status. Trees 2017, 31, 517–529. [Google Scholar] [CrossRef]
- Trotter, R.T.; Cobb, N.S.; Whitham, T.G. Herbivory, Plant Resistance, and Climate in the Tree Ring Record: Interactions Distort Climatic Reconstructions. Proc. Natl. Acad. Sci. USA 2002, 99, 10197–10202. [Google Scholar] [CrossRef] [PubMed]
- Cook, E.R.; Kairiukstis, A.L. Methods of Dendrochronology: Applications in the Environmental Science; Cook, E., Kairiūkštis, L., Eds.; Kluwer Academic Publishers: Dordrecht, The Netherlands; International Institute for Applied Systems Analysis: Boston, MA, USA, 1990. [Google Scholar]
- Holmes, R.L. Computer-Assisted Quality Control in Tree-Ring Dating and Measurement. Tree-Ring Bull 1983, 43, 67–78. [Google Scholar]
- Grissino-Mayer, H.D.; Blount, H.C.; Miller, A. Tree-Ring Dating and the Ethnohistory of the Naval Stores Industry in Southern Georgia; Tree-Ring Research: Tucson, AZ, USA, 2012. [Google Scholar]
- Cook, E.R. A Time Series Analysis Approach to Tree Ring Standardization. Ph.D. Thesis, University of Arizona, Tucson, AZ, USA, 1985. [Google Scholar]
- Cook, E.R. The Smoothing Spline: A New Approach to Standardizing Forest Interior Tree-Ring Width Series for Dendroclimatic Studies. Tree-Ring Bull. 1981, 41, 45–53. [Google Scholar]
- Wigley, T.M.L.; Briffa, K.R.; Jones, P.D. On the Average Value of Correlated Time Series, with Applications in Dendroclimatology and Hydrometeorology. J. Clim. Appl. Meteorol. 1984, 23, 201–213. [Google Scholar] [CrossRef]
- Douglass, A. Climatic Cycles and Tree-Growth. A Study of the Annual Rings of Trees in Relation to Climate and Solar Activity AU-Antevs, Ernst. Geol. Fören. Stockh. Förh. 1921, 43, 431–436. [Google Scholar] [CrossRef]
- Bunn, A.G.; Jansma, E.; Korpela, M.; Westfall, R.D.; Baldwin, J. Using Simulations and Data to Evaluate Mean Sensitivity (ζ) as a Useful Statistic in Dendrochronology. Dendrochronologia 2013, 31, 250–254. [Google Scholar] [CrossRef]
- Briffa, K.; Jones, P. Basic Chronology Statistics and Assessment. In Methods of Dendrochronology: Applications in the Environmental Sciences; Kluwer Academic Publishers: Dordrecht, The Netherlands, 1990. [Google Scholar]
- Buras, A. A Comment on the Expressed Population Signal. Dendrochronologia 2017, 44, 130–132. [Google Scholar] [CrossRef]
- Schulman, E. Dendroclimatic Changes in Semiarid America; University of Arizona Press: Tucson, AZ, USA, 1956. [Google Scholar]
- Biondi, F.; Qeadan, F. Inequality in Paleorecords. Ecology 2008, 89, 1056–1067. [Google Scholar] [CrossRef] [PubMed]
- Bunn, A.G. A Dendrochronology Program Library in R (DplR). Dendrochronologia 2008, 26, 115–124. [Google Scholar] [CrossRef]
- Bunn, A.G. Statistical and Visual Crossdating in R Using the DplR Library. Dendrochronologia 2010, 28, 251–258. [Google Scholar] [CrossRef]
- R Core Team. R: A Language and Environment for Statistical Computing; R Foundation for Statistical Computing: Vienna, Austria, 2018. [Google Scholar]
- Harris, I.; Jones, P.D.; Osborn, T.J.; Lister, D.H. Updated High-Resolution Grids of Monthly Climatic Observations-the CRU TS3.10 Dataset: Updated High-Resolution Grids of Monthly Climatic Observations. Int. J. Climatol. 2014, 34, 623–642. [Google Scholar] [CrossRef]
- Elith, J.; Leathwick, J.R.; Hastie, T. A Working Guide to Boosted Regression Trees. J. Anim. Ecol. 2008, 77, 802–813. [Google Scholar] [CrossRef] [PubMed]
- Dedman, S.; Officer, R.; Clarke, M.; Reid, D.G.; Brophy, D. Gbm.Auto: A Software Tool to Simplify Spatial Modelling and Marine Protected Area Planning. PLoS ONE 2017, 12, e0188955. [Google Scholar] [CrossRef] [PubMed]
- Brandon, G.; Bradley, B.; Jay, C. Gbm: Generalized Boosted Regression Models. R Package Version 2006, 1, 55. [Google Scholar]
- Fox, J.; Weisberg, S.; Fox, J. An R Companion to Applied Regression, 2nd ed.; SAGE Publications: Thousand Oaks, CA, USA, 2011. [Google Scholar]
- Yue, H.; Fan, G.; Zhang, X.; Gao, D.; Bo, H. Vegetation Phenology Monitoring and Spatio-Temporal Dynamics in Zhejiang Province in Past 10 Years. Chin. Agric. Sci. Bull. 2012, 28, 117–124. [Google Scholar]
- Cai, Q.; Liu, Y. Two Centuries Temperature Variations over Subtropical Southeast China Inferred from Pinus taiwanensis Hayata Tree-Ring Width. Clim. Dyn. 2017, 48, 1813–1825. [Google Scholar] [CrossRef]
- Zhang, S.; Huang, J.-G.; Rossi, S.; Ma, Q.; Yu, B.; Zhai, L.; Luo, D.; Guo, X.; Fu, S.; Zhang, W. Intra-Annual Dynamics of Xylem Growth in Pinus massoniana Submitted to an Experimental Nitrogen Addition in Central China. Tree Physiol. 2017, 37, 1546–1553. [Google Scholar] [CrossRef] [PubMed]
- Speer, J.H. Fundamentals of Tree-Ring Research; University of Arizona Press: Tucson, AZ, USA, 2010. [Google Scholar]
- Kohavi, R. A Study of Cross-Validation and Bootstrap for Accuracy Estimation and Model Selection. In Proceedings of the 14th International Joint Conference on Artificial Intelligence-Volume 2, Montreal, QC, Canada, 20–25 August 1995; Morgan Kaufmann Publishers Inc.: San Francisco, CA, USA, 1995; pp. 1137–1143. [Google Scholar]
- Tang, J.; Liu, R.; Zhang, Y.-L.; Liu, M.-Z.; Hu, Y.-F.; Shao, M.-J.; Zhu, L.-J.; Xin, H.-W.; Feng, G.-W.; Shang, W.-J.; et al. Corrigendum: Application of Machine-Learning Models to Predict Tacrolimus Stable Dose in Renal Transplant Recipients. Sci. Rep. 2018, 8, 46936. [Google Scholar] [CrossRef] [PubMed]
- Yan, G.; Wen-Jie, D.; Fu-Min, R.; Zong-Ci, Z.; Jian-Bin, H. Surface Air Temperature Simulations over China with CMIP5 and CMIP3. Adv. Clim. Chang. Res. 2013, 4, 145–152. [Google Scholar] [CrossRef]
- Briffa, K.R.; Jones, P.D.; Schweingruber, F.H.; Shiyatov, S.G.; Cook, E.R. Unusual Twentieth-Century Summer Warmth in a 1000-Year Temperature Record from Siberia. Nature 1995, 376, 156–159. [Google Scholar] [CrossRef]
- Elith, J.; Graham, C.H.; Anderson, R.P.; Dudík, M.; Ferrier, S.; Guisan, A.; Hijmans, R.J.; Huettmann, F.; Leathwick, J.R.; Lehmann, A.; et al. Novel Methods Improve Prediction of Species’ Distributions from Occurrence Data. Ecography 2006, 29, 129–151. [Google Scholar] [CrossRef]
- Abeare, S. Comparisons of Boosted Regression Tree, GLM and GAM Performance in the Standardization of Yellowfin Tuna Catch-Rate Data from the Gulf of Mexico Longline Fishery. Ph.D. Thesis, University of Pretoria, Gauteng, South Africa, 2009. [Google Scholar]
- Naghibi, S.A.; Pourghasemi, H.R. A Comparative Assessment Between Three Machine Learning Models and Their Performance Comparison by Bivariate and Multivariate Statistical Methods in Groundwater Potential Mapping. Water Resour. Manag. 2015, 29, 5217–5236. [Google Scholar] [CrossRef]
- Cao, C.; Zhou, F.; Dong, Z.; Li, Y.; Zhang, Y.; Li, D. Study on Nonlinear Climate—Growth Patterns of Pinus taiwanens in Daiyun Mountain, Fujian Province. J. Subtrop. Resour. Environ. 2016, 11, 44–51. [Google Scholar]
- Duan, J.; Zhang, Q.; Lv, L.-X. Increased Variability in Cold-Season Temperature since the 1930s in Subtropical China. J. Clim. 2013, 26, 4749–4757. [Google Scholar] [CrossRef]
- Way, D.A.; Oren, R. Differential Responses to Changes in Growth Temperature between Trees from Different Functional Groups and Biomes: A Review and Synthesis of Data. Tree Physiol. 2010, 30, 669–688. [Google Scholar] [CrossRef] [PubMed]
- James, G.; Witten, D.; Hastie, T.; Tibshirani, R. An Introduction to Statistical Learning: With Applications in R; Springer Texts in Statistics; Springer: New York, NY, USA, 2013. [Google Scholar]
- Loehle, C. Height Growth Rate Tradeoffs Determine Northern and Southern Range Limits for Trees. J. Biogeogr. 1998, 25, 735–742. [Google Scholar] [CrossRef]
- Antonova, G.; Stasova, V. Effects of Environmental Factors on Wood Formation in Scots Pine Stems. Trees 1993, 7, 214–219. [Google Scholar] [CrossRef]
- Beedlow, P.A.; Lee, E.H.; Tingey, D.T.; Waschmann, R.S.; Burdick, C.A. The Importance of Seasonal Temperature and Moisture Patterns on Growth of Douglas-Fir in Western Oregon, USA. Agric. For. Meteorol. 2013, 169, 174–185. [Google Scholar] [CrossRef]
- Lei, J. Responses of Ring Width of Pinus Massoniana to the Climate Change at Different Elevations in Zigui County, Three-Gorge Reservoir Area. Sci. Silvae Sin. 2009, 45, 33–39. [Google Scholar] [CrossRef]
- Prislan, P.; Gričar, J.; de Luis, M.; Smith, K.T.; Čufar, K. Phenological Variation in Xylem and Phloem Formation in Fagus Sylvatica from Two Contrasting Sites. Agric. For. Meteorol. 2013, 180, 142–151. [Google Scholar] [CrossRef]
- Oladi, R.; Elzami, E.; Pourtahmasi, K.; Bräuning, A. Weather Factors Controlling Growth of Oriental Beech Are on the Turn over the Growing Season. Eur. J. For. Res. 2017, 136, 345–356. [Google Scholar] [CrossRef]
- Shi, J.; Li, J.; Zhang, D.D.; Zheng, J.; Shi, S.; Ge, Q.; Lee, H.F.; Zhao, Y.; Zhang, J.; Lu, H. Two Centuries of April-July Temperature Change in Southeastern China and Its Influence on Grain Productivity. Sci. Bull. 2017, 62, 40–45. [Google Scholar] [CrossRef]
- Zheng, Y.; Shao, X.; Lu, F.; Li, Y. February–May Temperature Reconstruction Based on Tree-Ring Widths of Abies Fargesii from the Shennongjia Area in Central China. Int. J. Biometeorol. 2016, 60, 1175–1181. [Google Scholar] [CrossRef] [PubMed]
- Luo, D.; Huang, J.-G.; Jiang, X.; Ma, Q.; Liang, H.; Guo, X.; Zhang, S. Effect of Climate and Competition on Radial Growth of Pinus massoniana and Schima superba in China’s Subtropical Monsoon Mixed Forest. Dendrochronologia 2017, 46, 24–34. [Google Scholar] [CrossRef]
- Li, Y.; Fang, K.; Cao, C.; Li, D.; Zhou, F.; Dong, Z.; Zhang, Y.; Gan, Z. A Tree-Ring Chronology Spanning 210 Years in the Coastal Area of Southeastern China, and Its Relationship with Climate Change. Clim. Res. 2016, 67, 209–220. [Google Scholar] [CrossRef]
- Liu, X.; Nie, Y.; Wen, F. Seasonal Dynamics of Stem Radial Increment of Pinus taiwanensis Hayata and Its Response to Environmental Factors in the Lushan Mountains, Southeastern China. Forests 2018, 9, 387. [Google Scholar] [CrossRef]
- Steppe, K.; De Pauw, D.J.W.; Lemeur, R.; Vanrolleghem, P.A. A Mathematical Model Linking Tree Sap Flow Dynamics to Daily Stem Diameter Fluctuations and Radial Stem Growth. Tree Physiol. 2006, 26, 257–273. [Google Scholar] [CrossRef] [PubMed]
- Weng, J.-H.; Lai, K.-M.; Liao, T.-S.; Hwang, M.-Y.; Chen, Y.-N. Relationships of Photosynthetic Capacity to PSII Efficiency and to Photochemical Reflectance Index of Pinus taiwanensis through Different Seasons at High and Low Elevations of Sub-Tropical Taiwan. Trees 2009, 23, 347–356. [Google Scholar] [CrossRef]










| Study Area | Sampling Site | Latitude (°N) | Longitude (°E) | Elevation (m a.s.l.) | Soils | Cores/Trees | Slopes (°) |
|---|---|---|---|---|---|---|---|
| FJS (W) | Tuanlong | 27.92 | 108.57 | 1120 | Yellow soil | 33/16 | 32 |
| Jinchang | 28.00 | 108.72 | 1053 | 21/10 | 38 | ||
| Zhaibao | 27.78 | 108.72 | 808 | 33/14 | 35 | ||
| JLA (S) | Jiantou | 24.63 | 114.60 | 446 | Oxisol | 34/23 | 22 |
| Banlingxia | 24.20 | 114.25 | 590 | 14/6 | 25 | ||
| Luxia | 23.90 | 114.33 | 419 | 20/8 | 21 | ||
| JLN (C) | Wulingyan | 29.12 | 115.28 | 1023 | Yellow soil | 32/15 | 29 |
| Wumeishan | 28.80 | 114.72 | 685 | 35/18 | 35 | ||
| TBS (N) | Tongbaishan | 32.4 | 113.27 | 509 | yellow brown soil | 46/21 | 20 |
| Jigongshan | 31.82 | 114.05 | 264 | 40/21 | 22 | ||
| WYS (E) | Dabugang | 27.17 | 117.35 | 475 | Latosol | 53/24 | 26 |
| Wuyishan | 27.77 | 118.02 | 276 | 40/20 | 28 | ||
| Xiaowuyi | 27.75 | 115.03 | 273 | 20/11 | 24 |
| FJS (W) | JLA (S) | JLN (C) | TBS (N) | WYS (E) | ||
|---|---|---|---|---|---|---|
| Mean width (mm) | 2.391 | 3.193 | 2.190 | 2.334 | 2.759 | |
| Series intercorrelation | 0.58 | 0.53 | 0.59 | 0.574 | 0.537 | |
| Mean Gini coefficient | 0.271 | 0.331 | 0.278 | 0.239 | 0.287 | |
| Mean sensitivity | 0.244 | 0.208 | 0.234 | 0.256 | 0.252 | |
| Standard deviation | 0.307 | 0.300 | 0.374 | 0.259 | 0.295 | |
| Signal–noise ratio | 19.45 | 13.49 | 19.05 | 31.81 | 14.78 | |
| Expressed population signal | 0.951 | 0.931 | 0.95 | 0.97 | 0.936 | |
| Explained variance in first eigenvector | 35.3 | 24 | 30.3 | 37.2 | 25.2 | |
| 1st order autocorrelation | Raw width | 0.587 | 0.59 | 0.689 | 0.595 | 0.537 |
| f = 0.5, nys = 30 | 0.332 | 0.306 | 0.316 | 0.188 | 0.219 | |
| Climate Variable | FJS | JLA | JLN | TBS | WYS |
|---|---|---|---|---|---|
| Prior June–August precipitation | 10.921 | 11.041 | 7.137 | 5.381 | 8.108 |
| Prior September–November precipitation | 4.688 | 7.607 | 10.479 | 4.470 | 16.034 |
| December–January precipitation | 6.295 | 5.720 | 6.685 | 1.493 | 7.577 |
| February–May precipitation | 7.775 | 2.958 | 8.976 | 3.393 | 8.842 |
| June–August precipitation | 6.313 | 3.643 | 7.845 | 7.418 | 2.994 |
| September–November precipitation | 4.713 | 13.950 | 9.777 | 25.311 | 5.056 |
| Prior June–August temperature | 9.278 | 6.228 | 7.386 | 25.629 | 8.171 |
| Prior September–November temperature | 15.057 | 6.400 | 7.736 | 1.713 | 11.972 |
| December–January temperature | 8.679 | 16.124 | 6.785 | 3.734 | 2.102 |
| February–May temperature | 11.883 | 2.663 | 10.423 | 10.336 | 4.973 |
| June–August temperature | 8.337 | 12.091 | 12.200 | 6.537 | 3.632 |
| September–November temperature | 6.061 | 11.574 | 4.571 | 4.585 | 20.539 |
© 2019 by the authors. Licensee MDPI, Basel, Switzerland. This article is an open access article distributed under the terms and conditions of the Creative Commons Attribution (CC BY) license (http://creativecommons.org/licenses/by/4.0/).
Share and Cite
Gu, H.; Wang, J.; Ma, L.; Shang, Z.; Zhang, Q. Insights into the BRT (Boosted Regression Trees) Method in the Study of the Climate-Growth Relationship of Masson Pine in Subtropical China. Forests 2019, 10, 228. https://doi.org/10.3390/f10030228
Gu H, Wang J, Ma L, Shang Z, Zhang Q. Insights into the BRT (Boosted Regression Trees) Method in the Study of the Climate-Growth Relationship of Masson Pine in Subtropical China. Forests. 2019; 10(3):228. https://doi.org/10.3390/f10030228
Chicago/Turabian StyleGu, Hongliang, Jian Wang, Lijuan Ma, Zhiyuan Shang, and Qipeng Zhang. 2019. "Insights into the BRT (Boosted Regression Trees) Method in the Study of the Climate-Growth Relationship of Masson Pine in Subtropical China" Forests 10, no. 3: 228. https://doi.org/10.3390/f10030228
APA StyleGu, H., Wang, J., Ma, L., Shang, Z., & Zhang, Q. (2019). Insights into the BRT (Boosted Regression Trees) Method in the Study of the Climate-Growth Relationship of Masson Pine in Subtropical China. Forests, 10(3), 228. https://doi.org/10.3390/f10030228
