Abstract
Stabilizing the local elemental stoichiometry is an important step toward restoring species diversity in a damaged ecosystem, especially those affected by wildfire. Stability of nitrogen (N) utilization is mainly affected by wildfire through restoration, which is one of the most important parts of stoichiometric utilization. However, the mechanisms underlying the relationship between N utilization stability and species diversity are not well understood in burned areas. We investigated variation in species diversity and in the stability of leaf N utilization of locally dominant tree species in a series of burned areas during early community restoration following wildfires of different intensities. This study shows that low fire intensity led to an increase in the soil N concentration, and significantly affected the utilization of leaf N. With higher fire intensity, the leaf N concentration first decreased, and then increased as fire intensity increased. The dominant trees showed more stable N utilization at a medium intensity, compared with other intensities, but the stability of N utilization was overall higher for the dominant species than for the regenerating pioneer species. We also concluded that other soil nutrients altered the stability of plant N utilization, which we found was closely related to species diversity during restoration. The Shannon index and N utilization stability in burned areas were most significantly correlated. The N utilization stability regulation between soil total nitrogen (STN) and leaf total nitrogen (LTN) (HSTN-LTN) of Betula platyphylla Suk (BPS) correlated significantly and positively with the increase of the Shannon index (H), but the HSMN-LTN of the dominant species correlated significantly and negatively with H.
1. Introduction
Wildfire is the primary cause of disturbance in boreal forest ecosystems, and also leads to forest ecosystem succession [,]. Soil nutrients and community composition, in particular, are strongly affected by wildfire. As a result, wildfire alters both nutrient utilization strategies of plants and nutrient cycling []. These physical and chemical changes in the soil can vary depending on differences in the intensity and frequency of wildfires, and can in turn affect the process of forest community succession []. It is generally believed that changes in soil nitrogen (N) concentration are related to fire intensity, and that soil N dynamics are affected by forest wildfires through volatilization, ash deposition, plant absorption, and changes in soil microbial carbon substrates and soil organic matter [,]. Wildfires return immobilized N, which increases the amount of N available to plants [,]. Community composition changes also directly affect the spatial distribution of soil N availability and long-term N storage in burned ecosystems [], so it is an important factor in determining the feasibility of ecological processes such as vegetation restoration []. To unravel the mechanisms of ecosystem resilience in response to wildfire disturbance, we need to better understand the response of soil N to wildfire [].
When plants are disturbed by external factors, their method of maintaining a steady-state of the nutrients and other chemicals can reflect their strategy for adapting nutrient utilization to fit their environments []. Stability of stoichiometric utilization is an ability helps plants maintain an internal elemental composition, despite variation in the elemental composition of its environment or diet []. The N utilization stability of plants is a very important index for nutrient cycling [,]. The stabilizing mechanism of N utilization is similar to N homeostasis, in the discussion of the Mechanism of nutrients utilization. The theory of N homeostasis may be relatively weaker on nutrient flow study, which is more to reflect the impact of environmental nutrients on plants, but the stability of N utilization better reflects the plant’s dynamic response by showing adapted plant nutrient use [,]. More quantitative assessments of N utilization are necessary at the community level, especially those involving changes in the composition of vascular plants [,]. In community succession, species with a strong ability to adapt often dominate, and their presence also correlates well with measures of ecosystem productivity and stability []. For example, increases in N concentration can further improve the productivity of a forest by promoting the efficiency of N absorption [,]. However, when excessive N is absorbed by plants, it can change the carbon distribution pattern, inhibit photosynthetic rates and weaken the ecological function of plants [,]. Therefore, after a wildfire, the N released into the environment is well-positioned to alter nutrient cycling and the stability of N utilization.
Some regenerating tree species always depend on wildfires, which also affects the succession of forest communities []. Distinct from the dominant tree species in the unburned area, regenerating tree species have been shown to have a competitive advantage for nutrient utilization during the post-fire succession stage [,]. There is evidence that fast-growing coniferous species have higher nutrient uptake than slow-growing coniferous species and that coniferous and broadleaved species differ in their absorption and processing of N [,]. Thus, violent fluctuation of nutrients affects the utilization strategies of plants, as well as species diversity, during forest community restoration [,]. Species diversity and ecosystem stability regulate each other in a feedback loop []. After wildfire disturbances in particular, forest community structure changes and biodiversity declines [], which weakens the function and stability of the burned ecosystem. Most importantly, although wildfires are a serious threat to biodiversity and ecosystem stability [,], they are also essential to maintaining the ecological processes in a forest community []. Despite this knowledge, few studies have investigated the N utilization stability in relation to species diversity [], especially in disturbed ecosystems, and it remains an important issue.
In this study, we compared the stability of plant N utilization with the stability of species diversity in naturally burned areas under different fire intensities. We hypothesize that: (1) soil N and soil microbial N will increase in the early stage of restoration, and they further affect the leaf N concentration of the dominating species. (2) The recovery of the plant leaf N utilization stability will vary due to different fire intensities. (3) The relationship between N utilization stability and species diversity affected by wildfire.
2. Materials and Methods
2.1. Site Description
This research was conducted in the Xilinji Forestry Bureau (52°55′26″ N, 122°30′02″ E), located in the town of Mohe in the Great Xing’an Mountains of northeastern China. The main landform in the region is the low mountain mausoleum. The total area of forest farm is 18,367 m2. Xilinji Forestry Bureau has a climate ranging from a continental monsoon climate in the cold temperate zone to terrestrial monsoon affected by the Siberian cold air mass. Annual average precipitation and temperature are 500 mm and 4.7 °C respectively. The climate is characterized by a long and severe winter, which lasts up to nine months (mean temperature <10 °C, short summer (mean temperature >22 °C). Dominant tree species include Larix gmelinii (Ruprecht) Kuzen, Pinus sylvestris var. mongolica, Picea koraiensis, Betula platyphylla, Populus davidiana, and Populus suaveolens. Understory vegetation is dominated by shrubs, including Ledum palustre, Vaccinium vitis-idaea, Rhododendron dauricum, Vaccinium uliginosum, and Eriophorum angustifolium []. Soils in this region are classified as brown coniferous forest soil [].
The decomposition rate of combustible matter under the forest is relatively slow, and the load of combustible matter in forest land is relatively large, so wildfires tend to occur every year. The Great Xing’an ecosystem is primarily affected by natural and human-caused fire disturbances. These fire regimes are characterized by frequent surface fires mixed with infrequent stand-replacing crown fires []. This investigation found many previously burned sites in the forest area; where scientists went on to perform the post-fire experiments.
2.2. Field Sampling
The chosen study sites covered 185 ha and was burned from June to September 2009. Fire intensity refers to either the proportion of organic material consumed, or the vegetation mortality directly induced by the fire []. We estimated fire intensity based on the difference normalized burn ratio (dNBR) [] of before and after Landsat images, and obtained the tree mortality, black height and percentage of surface fires [] from the local forestry department. We then classified fire intensity into four levels; unburned, low, medium and heavy intensity. For more details, see Table 1. We selected burned areas that were adjacent to comparable, adjacent unburned areas.

Table 1.
Descriptions of the study site fire intensity and dominant tree species with abbreviations (Ab.).
At the end of July 2017, we established 12 plots (20 × 20 m), with nine plots located in the burned sites of three different fire intensities, and the other three plots in the adjacent unburned sites. Each plot selected had a slope of <5° and was north-facing. The elevations of the plots ranged from 570~580 m. To avoid spatial autocorrelation and edge effects, all plots were located at least 200 metres apart and 100 metres away from roads. We sampled each tree in the selected quadrats to obtain basic plot information and calculate the species diversity, Shannon index, (H). In each plot, we collected leaf samples from three species: Larix gmelinii (Rupr.) Kuzeneva (a dominant tree species), Betula platyphylla Suk. (a secondary pioneer tree species) and Ledum palustre L. (a dominant pioneer shrub species). Betula platyphylla Suk. and Ledum palustre L. are species that first appeared post-fire and represent the progression of community succession. Ledum palustre L. was a dominant species, having an advantage in the unburned area and able to survive in the burned area. We sampled 20 leaves without pests and diseases from each individual using high branch shears. We selected fully expanded leaves located in the middle to outer layers of the crown. (We collected 10–15 leaves from plant.) The leaves were stored in self-sealed bags in an incubator until we were able to dry them for 24 h at 80 °C to preserve them.
At each plot, we cleared aboveground plant material, live roots and ash from the surface and then collected three soil cores from each of five points in the quadrat (four vertices and the center) at depths of 0–10 cm and 10–20 cm using a 25 cm metal soil corer. The fifteen cores were then combined into one composite sample per plot. Fresh samples were placed in polyethylene zip-lock bags, stored in a cooler with ice, and then transported to the laboratory, where they were preserved at −25 °C.
2.3. Measurements
We analyzed soil samples ten days after collecting them. The soil samples were mainly used to determine the concentration of soil microbial biomass nitrogen (SMN/gCkg−1) and the concentration of soil total nitrogen (STN gkg−1). To determine SMN, we used a chloroform fumigation extraction method. We analyzed the filtrate immediately after pretreatment using a Multi N/C® 3100 TOC (Analyticjena, Jena, Germany). To determine STN, we used a Se-CuSO4-K2SO4-H2SO4 boiling method and filtered and analyzed the solution using AutoAnalyzer 3 HR (Seal Analytical GmbH, Hamburg, Germany) after determining the volume. The dried leaves were grinded, screened with 1 mm, and 5 g of the sample was weighed by an analytical balance. We measured leaf total nitrogen (LTN/g kg−1) using a H2SO4-H2O2 boiling method. We filtered the boiling liquid, stored it with distilled water, and analyzed it using AutoAnalyzer 3 HR (Seal Analytical GmbH, Hamburg, Germany).
2.4. Data Analysis
To estimate the strength of leaf N utilization stability under fire intensity, we performed regression analysis and fit the data to the homeostatic model equation []: y = cx1/H, where y is LTN and x is STN or SMN (normalized to dry mass before fitting H) to calculate H, which is represented by HSTN-LTN and HSMN-LTN. Then we defined HSTN-LTN and HSMN-LTN as the stability of N utilization for leaves and soil respectively. In the equation, c is a constant. We obtained values of H and c when analyzing the relationship between y and x using regression analysis (Table S1). A high value of H indicated strong stability in N utilization.
We checked for normality of the data by using one-sample K-S (Kolmogorov-Smirnov) analysis and for homoscedasticity by using one-way analysis of variance (ANOVA) before continuing with statistical analyses. We also log-transformed all the data when fitting the H model in order to correct deviations from these assumptions. We used repeated measurements of ANOVA to test for variation across fire intensity (factors) and soil layers (x) sampled here (Figure 1). We used linear regression to assess the relationships between H and element concentrations across all treatments. We used variance analysis to assess the diversity of species (i.e., species richness (S), and H) (Table S2). Because changes in N affected plant species richness and utilization stability simultaneously, it was difficult to assess the factors individually (Duffy, 2009). We calculated Pearson correlations between species diversity and the stability of N utilization (HSTN-LTN; HSMN-LTN). All tests used a significance level of p < 0.05. All analyses were conducted using either SPSS 13.0 (SPSS Inc., Chicago, IL, USA, 2004) or R (version 2.15.2, R Development Core Team 2012). All graph analyses were performed using Origin 8.0 (Origin Lab, Northampton, MA, USA, 2008).

Figure 1.
Difference between (a) soil total nitrogen (STN) and (b) soil microbial nitrogen (SMN) in two soil layers under different fire intensities; unburned, low, medium and heavy. The significance of nitrogen (N) concentration in different soil layers is located in the upper right corner. Error bars represent standard error. Different lowercase letters represent statistically significant differences in fire intensity (p < 0.05). LOG stands for logarithmic transformation of data.
3. Results
3.1. The Concentration of Soil N and Dominant Species Changed Significantly under Different Fire Intensities
In the early stages of restoration in the burned areas, STN changed sharply at high fire intensities, tending to increase initially and then decrease (Figure 1a). Following low intensity fires, STN increased significantly. STN was lowest in areas with heavy fire intensity. A consistent trend was found when comparing the STN between soil layers; STN was higher in the 0–10 cm soil layers than the 10–20 cm layers, but this difference was not statistically significant between the layers.
The variation of SMN in the early stage of soil restoration followed a similar pattern to STN. Both increased significantly under low fire intensities, but SMN changed more sharply in the 10–20 cm layer. Unlike STN, SMN was significantly lower in the 10–20 cm layer than in the 0–10 cm layer. SMN was higher in burned plots than in unburned plots (Figure 1b).
With increasing fire intensity, LTN showed a similar response pattern to STN during the restoration process, first decreasing, then rising, and then decreasing once more (Figure 2). The STN was highest for Betula platyphylla Suk. (BPS), with an average concentration of 19.83 ± 0.88 (g kg−1), while Larix gmelinii (Rupr.) Kuzen. (LGK) was the lowest, with an average concentration of 13.69 ± 0.53 (g kg−1). The LTN of BPS did not differ significantly between burned and unburned plots, but the LTN of LGK and LPL was significantly lower in burned than unburned plots.

Figure 2.
Difference between leaf total nitrogen (LTN) of dominant species in plots subjected under different fire intensities; unburned, low, medium and heavy. LGK, Larix gmelinii (Rupr.) Kuzen; BPS, Betula platyphylla Suk.; LPL, Ledum palustre L. Error bars represent standard error. Different lowercase letters represent statistically significant differences in fire intensity (p < 0.05).
3.2. N Utilization Stability of Different Dominant Species in Burned Areas
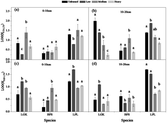
In burned areas, the stability of N utilization could be rigorously described by the stoichiometric homoeostasis model: y = cx1/H (Table S1). Using these calculated H values, we analyzed the relationship between fire intensity and H for the three dominant species. In this formulation, species with a strong ability to adapt to environmental change have large H values. We found that the N utilization stability of plants was closely related to fire intensity and species composition in burned areas. Examples of N utilization stability across fire intensities are given in Figure 3, with strong stability for LPL (a dominant shrub) and weak stability for BPS (a regenerated tree species). The HSTN-LTN of LPL and LGK in the 0–10 cm layer first decreased significantly at low fire intensity, and then increased significantly at medium fire intensity, which suggests very stable N utilization under medium intensity (Figure 3a). At 10−20 cm, the HSTN-LTN of LGK and LPL decreased significantly under heavy fire compared with low fire intensity, while BPS increased significantly at medium fire intensity (Figure 3b). At the same time, the N utilization was most stable among the dominant tree species for LPL, while it was least stable for BPS (Figure 3a,b). For HSMN-LTN in different soil layers, the N utilization stability increased significantly in LGK and LPL during the initial recovery after low fire intensity, but stability was significantly weaker following heavy fire intensity (Figure 3c,d). However, at 0–10 cm, the stability increased significantly for BPS after medium intensity.

Figure 3.
Response of dominant tree species N utilization stability to different fire intensities; unburned, low, medium and heavy. (a–d) represent the order of the sub-figure. LGK: Larix gmelinii (Rupr.) Kuzen.; BPS: Betula platyphylla Suk.; LPL: Ledum palustre L. HSTN-LTN represents the N utilization stability regulation between (STN and LTN, HSMN-LTN represents the N utilization stability regulation between SMN and LTN. Error bars indicate standard error. Different lowercase letters represent statistically significant differences in fire intensity.
3.3. N utilization Stability Showed Different Correlations to the Diversity of the Species
We have shown that the concentration of soil N and leaf N changed significantly under different fire intensities. Finally, in order to investigate how species diversity and N utilization stability changed following fire, we calculated the correlation between species diversity and N utilization stability for the dominant tree species (Table 2). In general, by using the Pearson correlation analysis, we mainly found significant correlations between the Shannon index (H) and N utilization stability in burned areas. Specifically, for LGK, HSMN-LTN was significantly and negatively correlated with H in two soil layers; the HSTN-LTN of BPS was significantly and positively correlated with the increasing H at 0–10 cm; and the HSTN-LTN of LPL showed an extremely negative and significant correlation with H at 10–20 cm.

Table 2.
Correlation analysis between species diversity and nitrogen (N) utilization stability of dominant tree species in burned areas.
4. Discussion
4.1. The Leaf Response is Consistent with Changes of Soil N in Burned Areas
Wildfire can augment soil N and soil microbial N via many mechanisms []: the thermal decomposition of forest vegetation produces a sharp increase in organic N, thereby promoting soil microbial nitrogen fixation activities. In our study, STN and SMN were significantly higher in the burned than unburned areas, especially following low fire intensity. This suggests that alterations in the physical environment may play a crucial role in determining N availability. The conclusions of our study are consistent with similar previous studies [,]. We also found that STN and SMN declined significantly more following heavy fire intensity than low fire intensity. Heavy fire intensity combustion may increase the pH value in the soil and affect microbial activity []. At the same time, our results showed that SMN is significantly higher in the 0–10 cm soil layer than the 10–20 cm layer. The increase in soil N concentration may be due to N mineralization and decreases in plant utilization, which resulted in the release of a large amount of N into the soil at the surface and contributed to the difference in N between soil layers [].
In disturbed ecosystems, plant growth and community restoration are affected the changes of N availability [,]. Proper N input can promote the photosynthetic ability of plants, but oversaturation of N can negatively alter carbon distribution patterns in plants []. In this study, the concentration of leaf N was found to decline following low-intensity fire, and then to increase following heavy-intensity fire, for all dominant tree species, which can be fully explained by the above conclusions. Rapid increases in soil N and soil microbial N forced the leaf N and overall plant resource allocation to adapt to the changing environment []. Due to the low efficiency of N absorption, the concentration of leaf N declined significantly. At the same time, the N balance of soil and soil microorganisms was destroyed, and the concentration of soil microorganism declined following heavy-intensity fires []. This lowered the utilization of leaf N during restoration. The regenerating pioneer species BPS played an important role in the restoration of the community [], leading to higher N utilization, and the largest leaf N concentration. In this way, the utilization of leaf N achieved a dynamic balance despite the changes in soil N and soil microbial N.
4.2. The Difference in N Utilization Stability among Dominant Species Depends on the Intensity of Wildfire
Plants usually respond to dynamic stoichiometry with adapting their mechanisms of nutrient absorption []. Our results show that the N utilization stability changed significantly in the context of different fire intensities, likely due to the corresponding changes in soil nutrient conditions. For soil N utilization, the stability was greatest for regenerating shrubs (LPL), while it was lowest for regenerating trees (BPS). The HSTN-LTN of shrubs and dominant trees first decreased significantly under low fire intensity, and then increased significantly under medium fire intensity, which suggests highly stable N utilization at medium fire intensities. As a forest is undergoing restoration, N utilization must be great to meet the nutrient needs required for rapid growth plant, which also reduces the stability []. The soil N concentration declined in the heavily-burned areas, so the plants likely adopted conservative growth strategies for this nutrient-deficient environment [], which thus improved N utilization stability. In contrast, N concentration in soils increased following low-intensity fires. More nitrogen was utilized to meet the needs of regenerating tree (BPS) growth, which reduced the nitrogen stability []. For LGK and LPL, the N utilization stability increased significantly at the initial stage of restoration after low fire intensity, but decreased significantly under heavy fire intensity. Because regenerating species might have better-developed regulation systems than native tree species, N utilization may be less stable when the soil N decreases []. By comparing the values of N utilization stability among the burned areas, we were able to describe how the interaction between the resource utilization strategy of the tree species and the nitrogen balance varies in the context of different burn intensities.
4.3. The Relationship between Species Diversity and N Utilization Stability Varies among Burned Areas
Many studies have shown that dominant species regulate and control key environmental resources, and thereby influence community succession []. Our study found that species diversity correlated strongly to plant N utilization stability in burned areas. Species richness also contributed to ecosystem stability []. In our study, Shannon index (H) and N utilization stability both correlated significantly with variation in burn intensity. Hautier et al. explored how species richness changed in response to N enrichment and found that nitrogen addition altered the relationship between ecosystem stability and diversity []. Utilizing soil N enhanced both the utilization stability and the stability of species diversity. Only the HSTN-LTN of BPS showed a significant positive correlation with the H at 0–10 cm, which is consistent with previous studies []. A few reports have indicated that changes in N can either have positive effects on species stability [], or no significant impact []. Previous studies have found that high species loss due to low frequency of N addition does not affect annual net primary productivity because only a negligible amount of biomass is lost []. Yang reported that nitrogen addition positively contributes to ecosystem stability, mainly because it leads to an increase in the abundance of stable dominant species []. The maintenance of species stability depends on the composition of different functional traits in the community, and it is precisely because of the species compensation mechanism that the diversity and stability of the system are maintained []. In disturbed ecosystems, the redistribution of nutrients affects the dominant species, thus the damaged system changes its species composition to achieve a new balance [].
For dominant trees (LGK), HSMN-LTN was significantly negatively correlated with H in both soil layers. Ecosystem stability was determined by dominant species rather than by the rare ones []. For LPL, HSTN-LTN was extremely negatively and significantly correlated with H at 10-20 cm. This suggests that for fire-disturbed ecosystems, species with unstable N utilization can rapidly augment their N utilization for a limited period of time []. Although different factors may affect the nature of ecosystems, stability of N utilization may be a dominant factor affecting the structure, function and stability of ecosystems []. Although, most previous studies have been done in grassland ecosystems [], forest ecosystems should not be ignored. Understanding the effects of nutrient changes on the relationship between species diversity and community stability in burned areas will assist in accurately assessing the impacts of wildfire on ecosystem functions and services.
5. Conclusions
Our study shows that wildfire promotes the soil N cycle, and also affects the stability of leaf N utilization. N homeostasis obviously varied among different fire intensities, which shows that N utilization is more stable under medium fire intensity than low fire intensity. As species diversity was restored, N utilization of dominant tree species became more stable and assisted in ecosystem recovery. Moreover, the change in soil N affected the N stability of the plants and correlated closely with species diversity. Furthermore, although we established the mechanisms of stability and restoration, the use of N utilization stability as a predictor was shown to be most valuable because many plant response mechanisms vary with the degree of disturbance. Our results also imply that it is important to restore species diversity and to stabilize the stoichiometric utilization of dominant species when managing damaged ecosystems. We need to pay attention not only to the restoration of species diversity, but also to the stoichiometric utilization stability of the dominant species that are directly related to community restoration, as they are particularly important in protecting community stability and resist interference.
Supplementary Materials
The following are available online at https://www.mdpi.com/1999-4907/10/3/207/s1, Table S1: H values and associated R2 of the 3 species in the field experiments calculated by using y = cx1⁄H to describe the relationship between tissue N content of plants leaf (y) and soil (x) or soil microbial (all p < 0.01), Table S2: Difference of species diversity with fire intensity.
Author Contributions
Z.S. analyzed the data and wrote the manuscript. Y.L. designed the study.
Funding
This research was funded by the Key Project of National Key Research and Development Plan (2017YFC0504004−1).
Acknowledgments
We gratefully acknowledge the support from the Xilinji Forestry Bureau for fieldworks. We would also like to thank Abe Miller–Rushing at Acadia National Park in US and Elizabeth Tokarz at the Yale University for assistance with English language and grammatical editing of the manuscript.
Conflicts of Interest
The authors declare no conflict of interest.
References
- Fernandez-Fernandez, M.; Rutting, T.; Gonzalez-Prieto, S. Effects of a high-severity wildfire and post-fire straw mulching on gross nitrogen dynamics in Mediterranean shrubland soil. Geoderma 2017, 305, 328–335. [Google Scholar] [CrossRef]
- Koyama, A.; Stephan, K.; Kavanagh, K.L. Fire effects on gross inorganic N transformation in riparian soils in coniferous forests of central Idaho, USA: Wildfires v. prescribed fires. Int. J. Wildland Fire 2012, 21, 69–78. [Google Scholar] [CrossRef]
- Alcaniz, M.; Outeiro, L.; Francos, M.; Ubeda, X. Effects of prescribed fires on soil properties: A review. Sci. Total Environ. 2018, 613, 944–957. [Google Scholar] [CrossRef] [PubMed]
- Smithwick, E.A.; Naithani, K.J.; Balser, T.C.; Romme, W.H.; Turner, M.G. Post-fire spatial patterns of soil nitrogen mineralization and microbial abundance. PLoS ONE 2012, 7, e50597. [Google Scholar] [CrossRef] [PubMed]
- Fajardo, A.; Gundale, M.J. Canopy cover type, and not fine-scale resource availability, explains native and exotic species richness in a landscape affected by anthropogenic fires and posterior land-use change. Biol. Invasions 2017, 20, 385–398. [Google Scholar] [CrossRef]
- Fultz, L.M.; Moore-Kucera, J.; Dathe, J.; Davinic, M.; Perry, G.; Wester, D.; Schwilk, D.W.; Rideout-Hanzak, S. Forest wildfire and grassland prescribed fire effects on soil biogeochemical processes and microbial communities: Two case studies in the semi-arid Southwest. Appl. Soil Ecol. 2016, 99, 118–128. [Google Scholar] [CrossRef]
- Boby, L.A.; Schuur, E.A.; Mack, M.C.; Verbyla, D.; Johnstone, J.F. Quantifying fire severity, carbon, and nitrogen emissions in Alaska’s boreal forest. Ecol. Appl. 2010, 20, 1633–1647. [Google Scholar] [CrossRef] [PubMed]
- Ohlson, M.; Brown, K.J.; Hjb, B.; Grytnes, J.A.; Hörnberg, G.; Niklasson, M.; Seppä, H.; Rhw, B. Invasion of Norway spruce diversifies the fire regime in boreal European forests. J. Ecol. 2015, 99, 395–403. [Google Scholar] [CrossRef]
- Wang, Q.; Zhong, M.; Wang, S. A meta-analysis on the response of microbial biomass, dissolved organic matter, respiration, and N mineralization in mineral soil to fire in forest ecosystems. For. Ecol. Manag. 2012, 271, 91–97. [Google Scholar] [CrossRef]
- Gao, B.; Taylor, A.R.; Searle, E.B.; Kumar, P.; Ma, Z.; Hume, A.M.; Chen, H.Y.H. Carbon storage declines in old boreal forests irrespective of succession pathway. Ecosystems 2017, 21, 1168–1182. [Google Scholar] [CrossRef]
- Cai, W.; Yang, J.; Liu, Z.; Hu, Y.; Weisberg, P.J. Post-fire tree recruitment of a boreal larch forest in Northeast China. For. Ecol. Manag. 2013, 307, 20–29. [Google Scholar] [CrossRef]
- Atkinson, C.L.; Capps, K.A.; Rugenski, A.T.; Vanni, M.J. Consumer-driven nutrient dynamics in freshwater ecosystems: From individuals to ecosystems. Biol. Rev. 2016, 92, 2003–2023. [Google Scholar] [CrossRef] [PubMed]
- Elser, J.J.; Hamilton, A. Stoichiometry and the new biology—The future is now. PLoS Biol. 2007, 5, 1403–1405. [Google Scholar] [CrossRef] [PubMed]
- Elser, J.; Fagan, W.; Kerkhoff, A.; Swenson, N.; Enquist, B. Biological stoichiometry of plant production: Metabolism, scaling and ecological response to global change. New Phytol. 2010, 186, 593–608. [Google Scholar] [CrossRef] [PubMed]
- Sterner, R.W.; Elser, J.J. Ecological Stoichiometry: The Biology of Elements from Molecules to the Biosphere; Princeton University Press: Princeton, NJ, USA, 2002; pp. 225–226. [Google Scholar]
- Bunemann, E.K.; Bongiorno, G.; Bai, Z.G.; Creamer, R.E.; De Deyn, G.; de Goede, R.; Fleskens, L.; Geissen, V.; Kuyper, T.W.; Mader, P.; et al. Soil quality—A critical review. Soil Biol. Biochem. 2018, 120, 105–125. [Google Scholar] [CrossRef]
- Tokuchi, N.; Hirobe, M.; Kondo, K.; Arai, H.; Hobara, S.; Fukushima, K.; Matsuura, Y. Soil Nitrogen Dynamics in Larch Ecosystem; Springer: Berlin, Germany, 2010; Volume 209, pp. 229–243. [Google Scholar]
- Güsewell, S.; Bollens, U. Composition of plant species mixtures grown at various N:P ratios and levels of nutrient supply. Basic Appl. Ecol. 2003, 4, 453–466. [Google Scholar] [CrossRef]
- Güsewell, S. N:P ratios in terrestrial plants: Variation and functional significance. New Phytol. 2004, 164, 243–266. [Google Scholar] [CrossRef]
- Butler, O.M.; Lewis, T.; Chen, C. Prescribed fire alters foliar stoichiometry and nutrient resorption in the understorey of a subtropical eucalypt forest. Plant Soil 2017, 410, 1–11. [Google Scholar] [CrossRef]
- Niu, S.; Classen, A.T.; Dukes, J.S.; Kardol, P.; Liu, L.; Luo, Y.; Rustad, L.; Sun, J.; Tang, J.; Templer, P.H. Global patterns and substrate-based mechanisms of the terrestrial nitrogen cycle. Ecol. Lett. 2016, 19, 697–709. [Google Scholar] [CrossRef] [PubMed]
- Niu, S.; Mingyu, W.U.; Han, Y.I.; Xia, J.; Zhang, Z.; Yang, H.; Wan, S. Nitrogen effects on net ecosystem carbon exchange in a temperate steppe. Glob. Chang. Biol. 2010, 16, 144–155. [Google Scholar] [CrossRef]
- Stark, S.; Männistö, M.K.; Eskelinen, A. Nutrient availability and pH jointly constrain microbial extracellular enzyme activities in nutrient-poor tundra soils. Plant Soil 2014, 383, 373–385. [Google Scholar] [CrossRef]
- Vernay, A.; Malagoli, P.; Fernandez, M.; Perot, T.; Améglio, T.; Balandier, P. Carry-over benefit of high internal N pool on growth and function of oak seedlings (Quercus petraea) competing with Deschampsia cespitosa. For. Ecol. Manag. 2018, 419–420, 130–138. [Google Scholar] [CrossRef]
- Pausas, J.G.; Bradstock, R.A.; Keith, D.A.; Keeley, J.E. Plant functional traits in relation to fire in crown-fire ecosystems. Ecology 2004, 85, 1085–1100. [Google Scholar] [CrossRef]
- Carreira, J.A.; Niell, F.X. Plant nutrient changes in a semi-arid Mediterranean shrubland after fire. J. Veg. Sci. 1992, 3, 457–466. [Google Scholar] [CrossRef]
- Peñuelas, J.; Munné-Bosch, S.; Llusia, J.; Filella, I. Leaf reflectance and photo- and antioxidant protection in field-grown summer stressed Phillyrea angustifolia. Optical signals of oxidative stress. New Phytologist. 2004, 162, 115–124. [Google Scholar] [CrossRef]
- Burnham, M.B.; Cumming, J.R.; Adams, M.B.; Peterjohn, W.T. Soluble soil aluminum alters the relative uptake of mineral nitrogen forms by six mature temperate broadleaf tree species: Possible implications for watershed nitrate retention. Oecologia 2017, 185, 327. [Google Scholar] [CrossRef] [PubMed]
- Kronzucker, H.J.; Siddiqi, M.Y.; Glass, A.D.M. Conifer root discrimination against soil nitrate and the ecology of forest succession. Nature 1996, 385, 59–61. [Google Scholar] [CrossRef]
- Delsol, R.; Loreau, M.; Haegeman, B. The relationship between the spatial scaling of biodiversity and ecosystem stability. Glob. Ecol. Biogeogr. 2018, 27, 439–449. [Google Scholar] [CrossRef] [PubMed]
- Floresmoreno, H.; Reich, P.B.; Lind, E.M.; Sullivan, L.L.; Seabloom, E.W.; Yahdjian, L.; Macdougall, A.S.; Reichmann, L.G.; Alberti, J.; Báez, S. Climate modifies response of non-native and native species richness to nutrient enrichment. Philos. Trans. R. Soc. Lond. B Biol. Sci. 2016, 371, 20150273. [Google Scholar] [CrossRef] [PubMed]
- Lee, M.R.; Bernhardt, E.S.; Bodegom, P.M.; Cornelissen, J.H.C.; Kattge, J.; Laughlin, D.C.; Niinemets, Ü.; Peñuelas, J.; Reich, P.B.; Yguel, B. Invasive species and rsquo; leaf traits and dissimilarity from natives shape their impact on nitrogen cycling: A meta-analysis. New Phytol. 2016, 213, 128. [Google Scholar] [CrossRef] [PubMed]
- Ives, A.R.; Carpenter, S.R. Stability and diversity of ecosystems. Science 2007, 317, 58–62. [Google Scholar] [CrossRef] [PubMed]
- Tatarko, A.R.; Knops, J.M.H. Nitrogen addition and ecosystem functioning: Both species abundances and traits alter community structure and function. Ecosphere 2018, 9, 1–15. [Google Scholar] [CrossRef]
- Bobbink, R.; Hicks, K.; Galloway, J.; Spranger, T.; Alkemade, R.; Ashmore, M.; Bustamante, M.; Cinderby, S.; Davidson, E.; Dentener, F. Global assessment of nitrogen deposition effects on terrestrial plant diversity: A synthesis. Ecol. Appl. 2010, 20, 30–59. [Google Scholar] [CrossRef] [PubMed]
- Arévalo, J.R.; Fernández-Lugo, S.; Naranjo, A.; Salas, M.; Ruíz, R.; Ramos, R.; Moreno, M. Post-fire recovery of an endemic Canarian pine forest. Int. J. Wildland Fire 2014, 23, 403–409. [Google Scholar] [CrossRef]
- Yu, Q.; Elser, J.J.; He, N.; Wu, H.; Chen, Q.; Zhang, G.; Han, X. Stoichiometric homeostasis of vascular plants in the Inner Mongolia grassland. Oecologia 2011, 166, 1–10. [Google Scholar] [CrossRef] [PubMed]
- Meng, S.; Liu, Q.; Zhou, G.; Jia, Q.; Zhuang, H.; Zhou, H. Aboveground tree additive biomass equations for two dominant deciduous tree species in Daxing’anling, northernmost China. J. For. Res. 2017, 22, 1–8. [Google Scholar] [CrossRef]
- Hu, T.; Sun, L.; Hu, H.; Weise, D.R.; Guo, F. Soil respiration of the Dahurian Larch (Larix gmelinii) Forest and the response to fire disturbance in Da Xing’an Mountains, China. Sci. Rep. 2017, 7, 2967. [Google Scholar] [CrossRef] [PubMed]
- Liu, Z.; Yang, J.; Chang, Y.; Weisberg, P.J.; He, H.S. Spatial patterns and drivers of fire occurrence and its future trend under climate change in a boreal forest of Northeast China. Glob. Chang. Biol. 2012, 18, 2041–2056. [Google Scholar] [CrossRef]
- Lentile, L.B.; Smith, F.W.; Shepperd, W.D. Influence of topography and forest structure on patterns of mixed severity fire in ponderosa pine forests of the South Dakota Black Hills, USA. Int. J. Wildland Fire 2006, 15, 557–566. [Google Scholar] [CrossRef]
- Alexander, M.E. Erratum: Calculating and interpreting forest fire intensities. Can. J. Bot. 1982, 60, 349–357. [Google Scholar] [CrossRef]
- Kurth, V.J.; Hart, S.C.; Ross, C.S.; Kaye, J.P.; Fulé, P.Z. Stand-replacing wildfires increase nitrification for decades in southwestern ponderosa pine forests. Oecologia 2014, 175, 395–407. [Google Scholar] [CrossRef] [PubMed]
- Kong, J.J.; Yang, J.; Chu, H.; Xiang, X. Effects of wildfire and topography on soil nitrogen availability in a boreal larch forest of northeastern China. Int. J. Wildland Fire 2015, 24, 433–442. [Google Scholar] [CrossRef]
- Li, Y.Y.; Chapman, S.J.; Nicol, G.W.; Yao, H.Y. Nitrification and nitrifiers in acidic soils. Soil Biol. Biochem. 2018, 116, 290–301. [Google Scholar] [CrossRef]
- James, J.A.; Kern, C.C.; Miesel, J.R. Legacy effects of prescribed fire season and frequency on soil properties in a Pinus resinosa forest in northern Minnesota. For. Ecol. Manag. 2018, 415–416, 47–57. [Google Scholar] [CrossRef]
- Braun, S.; Thomas, V.F.; Quiring, R.; Flückiger, W. Does nitrogen deposition increase forest production? The role of phosphorus. Environ. Pollut. 2010, 158, 2043–2052. [Google Scholar] [CrossRef] [PubMed]
- Lasse, T.; Martina, L.; Mats, R.; Torgny, N.; Göran, W. Increased needle nitrogen contents did not improve shoot photosynthetic performance of mature nitrogen-poor scots pine trees. Front. Plant. Sci. 2016, 7, 1051. [Google Scholar]
- Scoffoni, C.; Rawls, M.; Mckown, A.; Cochard, H.; Sack, L. Decline of leaf hydraulic conductance with dehydration: Relationship to leaf size and venation architecture. Plant. Physiol. 2011, 156, 832–843. [Google Scholar] [CrossRef] [PubMed]
- Stemarie, C.; Pare, D. Soil, pH and N availability effects on net nitrification in the forest floors of a range of boreal forest stands. Soil Biol. Biochem. 1999, 31, 1579–1589. [Google Scholar] [CrossRef]
- Kampowski, T.; Mylo, M.D.; Speck, T.; Poppinga, S. On the morphometry, anatomy and water stress behaviour of the anisocotyledonous Monophyllaea horsfieldii (Gesneriaceae) and their eco-evolutionary significance. Bot. J. Linn. Soc. 2017, 185, 425–442. [Google Scholar] [CrossRef]
- Wright, J.P.; Sutton-Grier, A. Does the leaf economic spectrum hold within local species pools across varying environmental conditions? Funct. Ecol. 2012, 26, 1390–1398. [Google Scholar] [CrossRef]
- Shenoy, A.; Kielland, K.; Johnstone, J.F. Effects of fire severity on plant nutrient uptake reinforce alternate;pathways of succession in boreal forests. Plant. Ecol. 2013, 214, 587–596. [Google Scholar] [CrossRef]
- Lefcheck, J.S.; Byrnes, J.E.K.; Isbell, F.; Gamfeldt, L.; Griffin, J.N.; Eisenhauer, N.; Hensel, M.J.S.; Hector, A.; Cardinale, B.J.; Duffy, J.E. Biodiversity enhances ecosystem multifunctionality across trophic levels and habitats. Nat. Commun. 2011, 6, 6936. [Google Scholar] [CrossRef] [PubMed]
- Zhang, Y.; Loreau, M.; Lü, X.; He, N.; Zhang, G.; Han, X. Nitrogen enrichment weakens ecosystem stability through decreased species asynchrony and population stability in a temperate grassland. Glob. Chang. Biol. 2016, 22, 1445–1455. [Google Scholar] [CrossRef] [PubMed]
- Hautier, Y.; Tilman, D.; Isbell, F.; Seabloom, E.W.; Borer, E.T.; Reich, P.B. Plant ecology. Anthropogenic environmental changes affect ecosystem stability via biodiversity. Science 2015, 348, 336–340. [Google Scholar] [CrossRef] [PubMed]
- Yang, H.; Jiang, L.; Li, L.; Li, A.; Wu, M.; Wan, S. Diversity-dependent stability under mowing and nutrient addition: Evidence from a 7-year grassland experiment. Ecol. Lett. 2012, 15, 619–626. [Google Scholar] [CrossRef] [PubMed]
- Yang, Z.; Ruijven, J.V.; Du, G. The effects of long-term fertilization on the temporal stability of alpine meadow communities. Plant. Soil 2011, 345, 315–324. [Google Scholar] [CrossRef]
- Grman, E.; Lau, J.A.; Schoolmaster, D., Jr.; Gross, K.L. Mechanisms contributing to stability in ecosystem function depend on the environmental context. Ecol. Lett. 2010, 13, 1400–1410. [Google Scholar] [CrossRef] [PubMed]
- Zhang, Y.; Feng, J.; Isbell, F.; Lu, X.; Han, X. Productivity depends more on the rate than the frequency of N addition in a temperate grassland. Sci. Rep. 2015, 5. [Google Scholar] [CrossRef] [PubMed]
- Bai, Y.F.; Wu, J.G.; Clark, C.M.; Naeem, S.; Pan, Q.M.; Huang, J.H.; Zhang, L.X.; Han, X.G. Tradeoffs and thresholds in the effects of nitrogen addition on biodiversity and ecosystem functioning: Evidence from inner Mongolia Grasslands. Glob. Chang. Biol. 2010, 16, 358–372. [Google Scholar] [CrossRef]
- Sasaki, T.; Lauenroth, W.K. Dominant species, rather than diversity, regulates temporal stability of plant communities. Oecologia 2011, 166, 761–768. [Google Scholar] [CrossRef] [PubMed]
- Bai, Y.; Han, X.; Wu, J.; Chen, Z.; Li, L. Ecosystem stability and compensatory effects in the Inner Mongolia grassland. Nature 2004, 431, 181–184. [Google Scholar] [CrossRef] [PubMed]
- Yu, Q.; Chen, Q.; Elser, J.J.; He, N.; Wu, H.; Zhang, G.; Wu, J.; Bai, Y.; Han, X. Linking stoichiometric homoeostasis with ecosystem structure, functioning and stability. Ecol. Lett. 2010, 13, 1390–1399. [Google Scholar] [CrossRef] [PubMed]
- Zhang, Y.; Loreau, M.; He, N.; Zhang, G.; Han, X. Mowing exacerbates the loss of ecosystem stability under nitrogen enrichment in a temperate grassland. Funct. Ecol. 2017, 31, 1637–1646. [Google Scholar] [CrossRef] [PubMed]
© 2019 by the authors. Licensee MDPI, Basel, Switzerland. This article is an open access article distributed under the terms and conditions of the Creative Commons Attribution (CC BY) license (http://creativecommons.org/licenses/by/4.0/).