Changes in Soil C:N:P Stoichiometry and Microbial Structure along Soil Depth in Two Forest Soils
Abstract
1. Introduction
2. Material and Methods
2.1. Study Site
2.2. Experimental Design and Field Sampling
2.3. Soil Physicochemical Properties
2.4. Soil Microbial Biomass
2.5. Data Analysis
3. Results
3.1. Soil Physical Properties
3.2. Soil C:N:P Stoichiometry
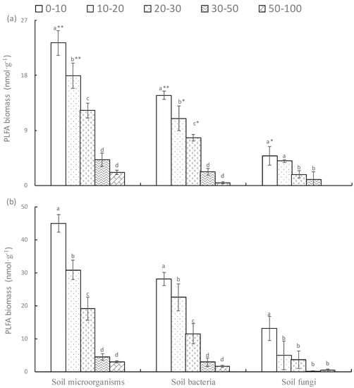
3.3. Soil Microbial Properties
3.4. The Effects of Soil Type and Soil Depth on Soil Physiochemical Properties and Soil Microbial Biomass
4. Discussion
5. Conclusions
Author Contributions
Funding
Acknowledgments
Conflicts of Interest
References
- Wang, S.Q.; Yu, G.R. Ecological stoichiometry characteristics of ecosystem carbon, nitrogen and phosphorus elements. Acta Ecol. Sin. 2008, 28, 3937–3947. [Google Scholar]
- Stevenson, F.J.; Cole, M.A. Cycles of Soils: Carbon, Nitrogen, Phosphorus, Sulfur, Micronutrients; John Wiley and Sons: Hoboken, NJ, USA, 1999. [Google Scholar]
- Aitkenhead, J.A.; McDowell, W.H. Soil C:N ratio as a predictor of annual riverine DOC flux at local and global scales. Glob. Biogeochem. Cycle 2000, 14, 127–138. [Google Scholar] [CrossRef]
- Tessier, J.T.; Raynal, D.J. Use of nitrogen to phosphorus ratios in plant tissue as an indicator of nutrient limitation and nitrogen saturation. J. Appl. Ecol. 2003, 40, 523–534. [Google Scholar] [CrossRef]
- McGroddy, M.E.; Daufresne, T.; Hedin, L.O. Scaling of C:N:P stoichiometry in forests worldwide: Implications of terrestrial red field-type ratios. Ecology 2004, 85, 2390–2401. [Google Scholar] [CrossRef]
- Peng, P.Q.; Zhang, W.J.; Tong, C.L.; Qiu, S.J.; Zhang, W.C. Soil C, N and P contents and their relationships with soil physical properties in wetlands of Dongting Lake floodplain. Chin. J. Appl. Ecol. 2005, 16, 1872–1878. [Google Scholar]
- Wu, H.; Guo, Z.; Peng, C. Land use induced changes of organic carbon storage in soils of China. Glob. Chang. Biol. 2003, 9, 305–315. [Google Scholar] [CrossRef]
- Zhang, Z.; Lu, X.; Song, X.; Guo, Y.; Xue, Z. Soil C, N and P stoichiometry of Deyeuxia angustifolia and Carex lasiocarpa wetlands in Sanjiang Plain, Northeast China. J. Soil Sediments 2012, 12, 1309–1315. [Google Scholar] [CrossRef]
- Shang, S.; Jiang, P.; Chang, S.X.; Song, Z.; Liu, J.; Sun, L. Soil organic carbon in particle size and density fractionations under four forest vegetation-land use types in subtropical China. Forests 2014, 5, 1391–1408. [Google Scholar] [CrossRef]
- Yang, Y.H.; Fang, J.Y.; Guo, D.L.; Ji, C.J.; Ma, W.H. Vertical patterns of soil carbon, nitrogen and carbon: Nitrogen stoichiometry in Tibetan grasslands. Biogeosci. Discuss. 2010, 1, 1–24. [Google Scholar] [CrossRef]
- Růžek, L.; Voříšek, K.; Strnadova, S.; Nováková, M.; Barabasz, W. Microbial characteristics, carbon and nitrogen content in cambisols and luvisols. Plant Soil Environ. 2004, 50, 196–204. [Google Scholar] [CrossRef]
- Strickland, M.S.; Rousk, J. Considering fungal: Bacterial dominance in soils-Methods, controls, and ecosystem implications. Soil Biol. Biochem. 2010, 42, 1385–1395. [Google Scholar] [CrossRef]
- Fanin, N.; Bertrand, I. Aboveground litter quality is a better predictor than belowground microbial communities when estimating carbon mineralization along a land-use gradient. Soil Biol. Biochem. 2016, 94, 48–60. [Google Scholar] [CrossRef]
- Filip, Z. Ecological, legal and methodical approaches to biological indication of soil quality. In Proceedings of the 50th Anniversary Conference Crop Science on the Verge of the 21st Century-Opportunities and Challenges, Prague, Czech Republic, 11–13 September 2001. [Google Scholar]
- Bååth, E.; Anderson, T.H. Comparison of soil fungal/bacterial ratios in a pH gradient using physiological and PLFA-based techniques. Soil Biol. Biochem. 2003, 35, 955–963. [Google Scholar] [CrossRef]
- Xu, X.; Thornton, P.E.; Post, W.M. A global analysis of soil microbial biomass carbon, nitrogen and phosphorus in terrestrial ecosystems. Glob. Ecol. Biogeogr. 2013, 22, 737–749. [Google Scholar] [CrossRef]
- Song, Y.L.; Wang, K.Q. Research progress of forestry ecosystem soil carbon storage accounting methods at home and aboard. J. Green Sci. Technol. 2018, 9, 1–6. [Google Scholar]
- Qi, G.X. The main forest soil type in Qinghai Province. Cent. South For. Invent Plan. 1994, 50, 29–31. [Google Scholar]
- Hu, L.; Xiang, Z.; Wang, G.; Rafique, R.; Liu, W.; Wang, C. Changes in soil physicochemical and microbial properties along elevation gradients in two forest soils. Scand. J. For. Res. 2016, 31, 242–253. [Google Scholar] [CrossRef]
- Bardgett, R.D.; Hobbs, P.J.; Frostegård, Å. Changes in soil fungal: Bacterial biomass ratios following reductions in the intensity of management of an upland grassland. Biol. Fertil. Soils 1996, 22, 261–264. [Google Scholar] [CrossRef]
- Frostegård, Å.; Tunlid, A.; Bååth, E. Phospholipid fatty acid composition, biomass, and activity of microbial communities from two soil type experimentally exposed to different heavy metals. Appl. Environ. Microbiol. 1993, 59, 3605–3617. [Google Scholar] [PubMed]
- McKinley, V.L.; Peacock, A.D.; White, D.C. Microbial community PLFA and PHB responses to ecosystem restoration in tallgrass prairie soils. Soil Biol. Biochem. 2005, 37, 1946–1958. [Google Scholar] [CrossRef]
- Margesin, R.; Jud, M.; Tscherko, D.; Schinner, F. Microbial communities and activities in alpine and subalpine soils. FEMS Microbiol. Ecol. 2008, 67, 208–218. [Google Scholar] [CrossRef]
- Tomohiro, Y.; Fujio, H.; Tokuchi, N. Seasonal effects on microbial community structure and nitrogen dynamics in temperate forest soil. Forests 2018, 9, 153. [Google Scholar]
- Xuan, Y.; Lin, Y.; Fei, S.X.; Ma, Z.T.; Hao, R.Q.; Zhao, Z. Effect of soil layer and plant-soil interaction on soil microbial diversity and function after canopy gap disturbance. Forests 2018, 9, 680. [Google Scholar]
- Benites, V.M.; Machado, P.L.; Fidalgo, E.C.; Coelho, M.R.; Madari, B.E. Pedotransfer functions for estimating soil bulk density from existing soil survey reports in Brazil. Geoderma 2007, 139, 90–97. [Google Scholar] [CrossRef]
- Wang, J.; Zhong, Z.; Wang, Z.; Yu, C.; Shen, Z.; Da, C.; Zhang, X.; Hu, X.; Da, C. Soil C/P distribution characteristics of alpine steppe ecosystem in Qinghai-Tibetan Plateau. Acta Pratacult. Sin. 2014, 23, 9–19. [Google Scholar]
- Liu, L.; Gundersen, P.; Zhang, T.; Mo, J. Effects of phosphorus addition on soil microbial biomass and community composition in three forest types in tropical China. Soil Biol. Biochem. 2012, 44, 31–38. [Google Scholar] [CrossRef]
- Jobbágy, E.G.; Jackson, R.B. The vertical distribution of soil organic carbon and its relation to climate and vegetation. Ecol. Appl. 2000, 10, 423–436. [Google Scholar] [CrossRef]
- Taylor, D.L.; Herriott, L.C.; Stone, K.E.; McFarlar, J.W.; Booth, M.G.; Leigh, M.B. Structure and resilience of fungal communities in Alaskan boreal forest soils. Can. J. For. Res. 2010, 40, 1288–1301. [Google Scholar] [CrossRef]
- Wang, M.; Qu, L.Y.; Ma, K.M.; Yuan, X. Soil microbial properties under different vegetation types on Mountain Han. Sci. China Life Sci. 2013, 56, 561–570. [Google Scholar] [CrossRef]




| Sample Plot | Geographical Location | Altitude (m) | Slope (°) | Canopy Density (%) | Mean Tree Height (m) | Mean Forest DBH (cm) | Number of Trees | Forest Age (year) | Plot Size (m2) |
|---|---|---|---|---|---|---|---|---|---|
| HaL#1 | 36°01′48″ N 98°11′38″ E | 3796 | 33 | 50 | 8.07 | 28.2 | 112 | 30 | 600 |
| HaL#2 | 36°04′01″ N 98°13′39″ E | 3798 | 31 | 45 | 6.72 | 21.9 | 111 | 30 | 600 |
| HaL#3 | 36°04′03″ N 98°13′32″ E | 3778 | 31 | 45 | 9.54 | 25.1 | 88 | 30 | 600 |
| EuC#1 | 35°59′49″ N 98°06′10″ E | 3619 | 36 | 65 | 9.98 | 25.5 | 107 | 40–50 | 600 |
| EuC#2 | 35°59′18″ N 98°06′37″ E | 3718 | 36 | 45 | 11.37 | 31.4 | 110 | 40–50 | 600 |
| EuC#3 | 35°59′16″ N 98°06′33″ E | 3726 | 37 | 45 | 10.32 | 28.6 | 92 | 40–50 | 600 |
| Variable | Soil Type (ST) | Soil Depth (SD) | ST × SD | |||
|---|---|---|---|---|---|---|
| F | p | F | p | F | p | |
| Soil bulk density (g·cm−3) | 120.810 | <0.001 ** | 3.671 | 0.026 * | 8.705 | <0.001 ** |
| Soil water content (%) | 1.898 | 0.240 | 2.516 | 0.083 | 0.549 | 0.702 |
| C:N ratio (C/N) | 19.221 | 0.012 * | 23.414 | 0.001 ** | 2.149 | 0.122 |
| C:P ratio (C/P) | 35.268 | 0.004 ** | 11.222 | <0.001 ** | 7.423 | 0.001 ** |
| N:P ratio (N/P) | 23.721 | 0.008 ** | 22.612 | <0.001 ** | 7.799 | 0.001 * |
| Soil microbial biomass (nmol·g−1) | 54.546 | 0.002 ** | 220.926 | <0.001 ** | 24.746 | <0.001 ** |
| Soil bacterial biomass (nmol·g−1) | 50.365 | 0.002 ** | 84.992 | <0.001 ** | 9.625 | <0.001 ** |
| Soil fungal biomass (nmol·g−1) | 1.798 | 0.251 | 20.853 | <0.001 ** | 5.153 | 0.007 ** |
| Response Variables | Estimate | Standard Error | p | ||
|---|---|---|---|---|---|
| SBD | <--- | Soil type | −0.199 | 0.026 | <0.001 ** |
| SBD | <--- | Soil depth | 0.001 | 0.000 | 0.046 * |
| SWC | <--- | Soil type | −0.025 | 0.008 | 0.002 * |
| SWC | <--- | Soil depth | 0.000 | 0.000 | 0.070 |
| TC | <--- | Soil type | −12.532 | 7.091 | 0.077 |
| TC | <--- | Soil depth | −0.196 | 0.068 | 0.004 * |
| TC | <--- | SBD | −54.070 | 27.502 | 0.049 * |
| TC | <--- | SWC | 7.985 | 89.177 | 0.929 |
| TN | <--- | Soil type | −0.105 | 0.432 | 0.808 |
| TN | <--- | Soil depth | −0.017 | 0.004 | <0.001 ** |
| TN | <--- | SBD | −3.421 | 1.675 | 0.041 * |
| TN | <--- | SWC | 2.972 | 5.430 | 0.584 |
| TP | <--- | Soil type | −0.062 | 0.038 | 0.107 |
| TP | <--- | Soil depth | −0.001 | 0.000 | 0.002 * |
| TP | <--- | SBD | −0.039 | 0.149 | 0.793 |
| TP | <--- | SWC | 0.657 | 0.483 | 0.174 |
| Bacteria | <--- | Soil type | −4.166 | 1.631 | 0.011 * |
| Bacteria | <--- | Soil depth | −0.143 | 0.031 | <0.001 ** |
| Bacteria | <--- | Fungi | 0.906 | 0.236 | <0.001 ** |
| Fungi | <--- | Soil type | 3.584 | 1.659 | 0.031 * |
| Fungi | <--- | Soil depth | −0.060 | 0.017 | <0.001 ** |
| Fungi | <--- | TC | 0.172 | 0.043 | <0.001 ** |
| Fungi | <--- | SBD | 26.899 | 6.814 | <0.001 ** |
| Factors | Effects | SWC | SBD | TC | TN | TP | Bacteria | Fungi |
|---|---|---|---|---|---|---|---|---|
| Soil type | Direct | −0.480 | −0.797 | −0.462 | −0.055 | −0.409 | −0.229 | 0.419 |
| Indirect | 0.390 | 0.318 | −0.058 | −0.105 | −0.667 | |||
| Total | −0.480 | −0.797 | −0.072 | 0.263 | −0.468 | −0.335 | −0.247 | |
| Soil depth | Direct | 0.280 | 0.210 | −0.461 | −0.572 | −0.472 | 0.502 | −0.448 |
| Indirect | −0.100 | −0.071 | 0.050 | −0.251 | −0.141 | |||
| Total | 0.280 | 0.210 | −0.561 | −0.643 | −0.422 | −0.754 | −0.590 | |
| SWC | Direct | 0.015 | 0.082 | 0.229 | ||||
| Indirect | 0.004 | 0.008 | ||||||
| Total | 0.015 | 0.082 | 0.229 | 0.004 | 0.008 | |||
| SBD | Direct | −0.499 | −0.448 | −0.065 | 0.787 | |||
| Indirect | 0.220 | −0.272 | ||||||
| Total | −0.499 | −0.448 | −0.065 | 0.220 | 0.515 | |||
| TC | Direct | 0.546 | ||||||
| Indirect | 0.233 | |||||||
| Total | 0.233 | 0.546 | ||||||
| Fungi | Direct | 0.426 | ||||||
| Total | 0.426 |
© 2019 by the authors. Licensee MDPI, Basel, Switzerland. This article is an open access article distributed under the terms and conditions of the Creative Commons Attribution (CC BY) license (http://creativecommons.org/licenses/by/4.0/).
Share and Cite
Hu, L.; Ade, L.; Wu, X.; Zi, H.; Luo, X.; Wang, C. Changes in Soil C:N:P Stoichiometry and Microbial Structure along Soil Depth in Two Forest Soils. Forests 2019, 10, 113. https://doi.org/10.3390/f10020113
Hu L, Ade L, Wu X, Zi H, Luo X, Wang C. Changes in Soil C:N:P Stoichiometry and Microbial Structure along Soil Depth in Two Forest Soils. Forests. 2019; 10(2):113. https://doi.org/10.3390/f10020113
Chicago/Turabian StyleHu, Lei, Luji Ade, Xinwei Wu, Hongbiao Zi, Xueping Luo, and Changting Wang. 2019. "Changes in Soil C:N:P Stoichiometry and Microbial Structure along Soil Depth in Two Forest Soils" Forests 10, no. 2: 113. https://doi.org/10.3390/f10020113
APA StyleHu, L., Ade, L., Wu, X., Zi, H., Luo, X., & Wang, C. (2019). Changes in Soil C:N:P Stoichiometry and Microbial Structure along Soil Depth in Two Forest Soils. Forests, 10(2), 113. https://doi.org/10.3390/f10020113

