Multi-Server Two-Way Communication Retrial Queue Subject to Disaster and Synchronous Working Vacation
Abstract
1. Introduction
- (1)
- Most two-way communication retrial queues in the existing literature consider a single server. This paper proposes a multi-server, two-way communication retrial queue subject to a synchronous working vacation and a disaster.
- (2)
- When the supplementary variable technique for deriving the closed form of the steady-state probabilities is no longer useful, we use the matrix geometric method to perform the steady-state analysis.
- (3)
- We derive explicit mathematical expressions for each major performance index. Through a numerical analysis, this research provides critical managerial insights for system architects or executives to evaluate system performance indices.
- (4)
- We conduct a multi-objective optimization study on a two-way communication retrial queue, considering a synchronous working vacation and a server failure caused by catastrophic events. This is very useful and helpful for system architects or executives to design management policies.
- (5)
- We compare the retrial queue without two-way communication to the retrial queue with two-way communication in terms of the average time spent in the buffer. For both discussed retrial queues, we study the impact of the outgoing generation rate on the average time spent in the buffer. By adjusting the outgoing generation rate to analyze the average time spent in the buffer, we provide actionable insights that can help system architects or executives make a more informed decision regarding the challenge of whether a server should make an outgoing call.
- (6)
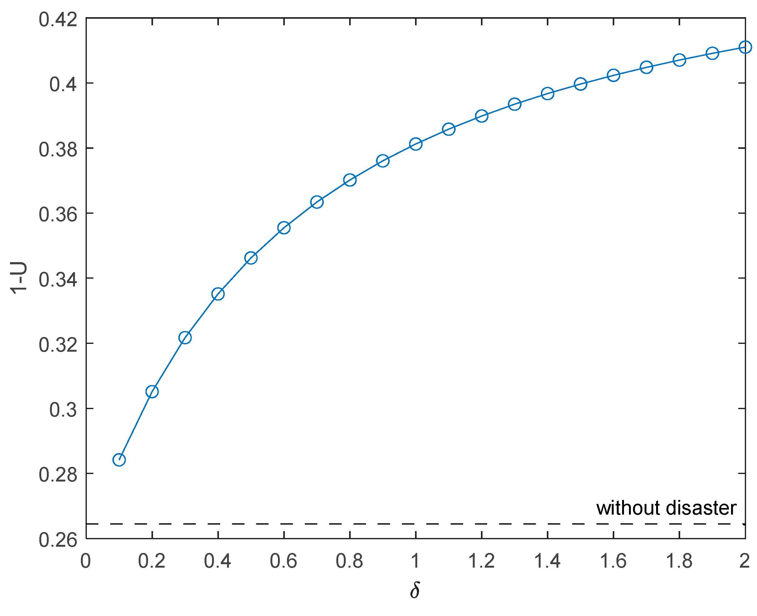
- We also compare the server idle rate of the two-way communication retrial queue without a disaster and the two-way communication retrial queue with a disaster. For both retrial queues discussed, we study the impact of disaster rate on server idle rates. By analyzing a server’s idle rate by adjusting the disaster rate, we provide actionable insights that can help system architects or administrators make more informed decisions.
2. Model Description
- Arrival and retrial process: The inbound calls obey a Poisson arrival process with rate λ. The incoming call finding that the servers fully occupied or down will either leave the system or be routed to a retrial queue and follows a constant retrial policy that attempts to seek service after an exponential distribution with rate ν. Otherwise, the call begins its service immediately. We assume that the probability of a call joining the retrial queue when the servers are in regular busy mode is bb, the probability of a call joining the retrial queue when the servers are on vacation is bv, and the probability of a call joining the retrial queue when the servers are under repair is br.
- Regular service process: The number of main servers is c. The services provided by the main servers are defined as regular services. Whenever a new incoming call or a retrial call arrives and there is at least one idle main server, the server immediately begins normal service for the call. The idle main server, after an exponentially distributed time with mean 1/α, can make an outgoing call. The time taken to serve incoming (outgoing) calls is exponentially distributed, with rate ().
- Removal rule and working breakdown process: When the main servers are in operation, a disaster happens at any time. The disaster obeys an exponential distribution with rate δ. When a disaster happens, all the main servers fail and all in-service calls are removed immediately from the system, but there is no impact to the orbit. The repair process begins immediately to restore its functionality after a failure event occurs. After the repair is completed, the main servers are in operation if there is one more customer in the system, including any in service. Otherwise, the main servers go on vacation at the same time. The repair time obeys an exponential distribution with rate γ. The standby servers give service at a lower rate of service for inbound calls while the main server is repaired. The working breakdown service time obeys an exponential distribution with rate . If there are still customers in the system when the repair is completed, the standby servers will be taken out of service and the main servers will be restarted and operate at regular service rates.
- Synchronous working vacation process: When the system is found to be empty after a service or repair is completed, all the servers will take a working vacation simultaneously. The vacation time is exponentially distributed with parameter η. The servers provide a lower service rate to incoming calls arriving during this period, following an exponentially distributed rate .
- All the stochastic processes mentioned above are assumed to be mutually independent.
3. Mathematical Model and Steady State Solution
3.1. Mathematical Model
3.2. Steady State Solution
3.2.1. Ergodicity Condition
- and ;
- for .
3.2.2. Computation of the Stationary Distribution
4. Performance Indices
- Average size of the retrial queue
- Average time spent in the retrial queue
- Probability that the servers are on vacation
- Probability that the servers are in the normal busy period
- Probability that the servers are being repaired
- The average number of incoming calls under service when the servers are in the normal busy period
- The average number of incoming calls under service when the servers are on vacation
- The average number of incoming calls under service when the servers are being repaired
- Average number of outgoing calls under service when the servers are in the normal busy period
- The utilization of the server
5. Application Example
6. Numerical Results Discussion and Optimization Analysis
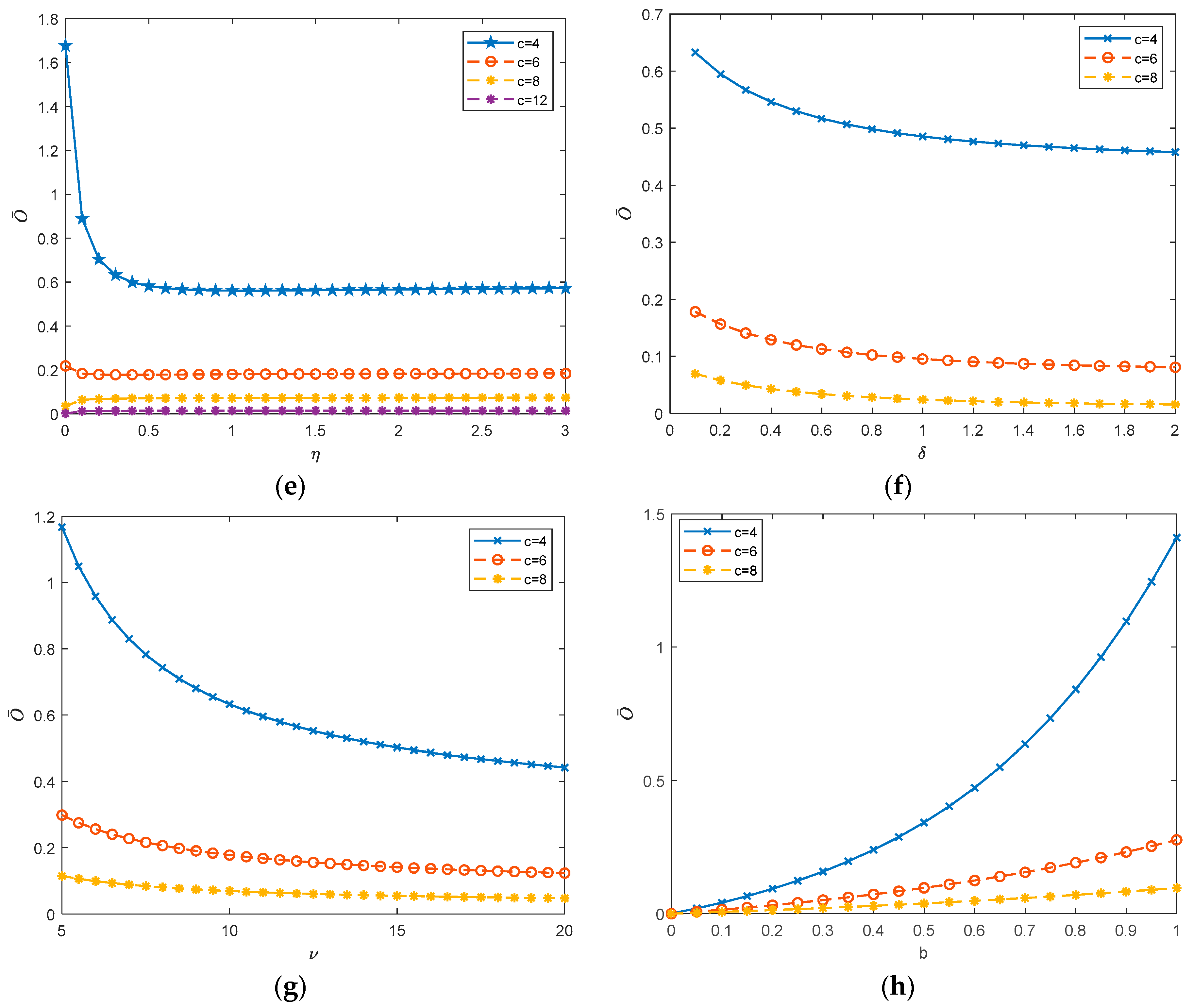
6.1. Sensitivity Analysis
6.2. Discussion and Managerial Insights
- To increase productivity, chief physicians initiate outgoing calls when there are no incoming calls to the system, reducing their idle time. An excessively high outgoing generation rate () will only lead to track congestion, while an outgoing generation rate that is too low will cause the attending the attending physician to be idle for too long, leading to a waste of personnel.
- When the maintenance time is long (), the entire service facility is always under maintenance, leading to track congestion. As increases, the probability that the chief physician is in a regular service period increases, reducing the loss of customers, thereby improving the loss of income. However, the larger the value of , the shorter the service facility maintenance time and the average buffer length at the health helpline center. The results show that the appropriate control of the maintenance rate can effectively reduce track congestion and achieve efficient operation.
6.3. Optimization Analysis
6.3.1. Multi-Objective Genetic Algorithm
- (1)
- Initialization
- (1.1)
- Create an initial population.
- (1.2)
- Set the crossover rate, mutation rate, and maximal generation time.
- (2)
- Since the stopping conditions do not apply, do the following.
- (2.1)
- Create an offspring population by mutation and crossover.
- (2.2)
- Evaluate the offspring population.
- (2.3)
- Combine the current population and the offspring population.
- (2.4)
- Compute the rank and crowding distance for all the individuals in the population obtained from (2.3).
- (2.5)
- Generate a new population.
- (2.6)
- Go to (2.1).
6.3.2. Numerical Results
6.4. Numerical Results Regarding Comparison Analysis
7. Conclusions
Author Contributions
Funding
Data Availability Statement
Conflicts of Interest
References
- Artalejo, J.; Gomez-Corral, A. Retrial Queueing Systems; Springer: Berlin/Heidelberg, Germany, 2008. [Google Scholar]
- Kim, J.; Kim, B. A survey of retrial queueing systems. Ann. Oper. Res. 2016, 247, 3–36. [Google Scholar] [CrossRef]
- Hanukov, G.; Barron, Y.; Yechiali, U. An M/G/1 queue with repeated orbit while in service. Mathematics 2024, 12, 3722. [Google Scholar] [CrossRef]
- Kalaiselvi, J.; Saravanarajan, M.C. Exploring non-Markovian dynamics: Stochastic analysis of a single-server retrial queue with recurrent clients and balking behavior under extended Bernoulli vacations. Heliyon 2024, 10, e33919. [Google Scholar]
- Ayyappan, G.; Udayageetha, J.; Somasundaram, B. Analysis of non-pre-emptive priority retrial queueing system with two-way communication, Bernoulli vacation, collisions, working breakdown, immediate feedback and reneging. Int. J. Math. Oper. Res. 2020, 16, 480–498. [Google Scholar] [CrossRef]
- Kumar, M.S.; Dadlani, A.; Kim, K. Performance analysis of an unreliable M/G/1 retrial queue with two-way communication. Oper. Res. 2020, 20, 2267–2280. [Google Scholar]
- Ayyappan, G.; Gowthami, R. Analysis of MAP, PH2OA/PH1I, PH2O/1 retrial queue with vacation, feedback, two-way communication and impatient customers. Soft Comput. 2021, 25, 9811–9838. [Google Scholar] [CrossRef]
- Lee, S.W.; Kim, B.; Kim, J. Analysis of the waiting time distribution in M/G/1 retrial queues with two way communication. Ann. Oper. Res. 2022, 310, 505–518. [Google Scholar] [CrossRef]
- Sztrik, J.; Tóth, Á.; Pintér, Á.; Bács, Z. The effect of operation time of the server on the performance of finite-source retrial queues with two-way communications to the orbit. J. Math. Sci. 2022, 267, 196–204. [Google Scholar] [CrossRef]
- Ke, J.C.; We, C.U.; Zhang, Z.G. Recent developments in vacation models: A short survey. Int. J. Oper. Res. 2010, 7, 3–8. [Google Scholar]
- Chandrasekaran, V.M.; Indhira, K.; Saravanarajan, M.C.; Rajadurai, P. A survey on working vacation queueing models. Int. J. Pure Appl. Math. 2016, 106, 33–41. [Google Scholar]
- Panta, A.P.; Ghimire, R.P.; Panthi, D.; Pant, S.R. A review of vacation queueing models in different framework. Ann. Pure Appl. Math. 2021, 24, 99–121. [Google Scholar] [CrossRef]
- Barron, Y. A threshold policy in a Markov-modulated production system with server vacation: The case of continuous and batch supplies. Adv. Appl. Probab. 2018, 50, 1246–1274. [Google Scholar] [CrossRef]
- Mohammadi, A.; Salehi Rad, M.R. An M/G/1 queueing model with k sequential heterogeneous service steps and vacation in the transient state. Qual. Technol. Quant. Manag. 2022, 19, 633–647. [Google Scholar] [CrossRef]
- Yang, D.Y.; Wu, C.H. Performance analysis and optimization of a retrial queue with working vacations and starting failures. Math. Comput. Model. Dyn. Syst. 2019, 25, 463–481. [Google Scholar] [CrossRef]
- Li, T.; Zhang, L.; Gao, S. An M/G/1 retrial queue with balking customers and Bernoulli working vacation interruption. Qual. Technol. Quant. Manag. 2019, 16, 511–530. [Google Scholar] [CrossRef]
- Do, N.H.; Van Do, T.; Melikov, A. Equilibrium customer behavior in the M/M/1 retrial queue with working vacations and a constant retrial rate. Oper. Res. 2020, 20, 627–646. [Google Scholar] [CrossRef]
- Gupta, P.; Kumar, N. Performance analysis of retrial queueing model with working vacation, interruption, waiting server, breakdown and repair. J. Sci. Res. 2021, 13, 833–844. [Google Scholar] [CrossRef]
- Jain, M.; Dhibar, S.; Sanga, S.S. Markovian working vacation queue with imperfect service, balking and retrial. J. Ambient Intell. Humaniz. Comput. 2022, 13, 1907–1923. [Google Scholar] [CrossRef]
- GnanaSekar, M.M.N.; Kandaiyan, I. Analysis of an M/G/1 retrial queue with delayed repair and feedback under working vacation policy with impatient customers. Symmetry 2022, 14, 2024. [Google Scholar] [CrossRef]
- Vijaya Laxmi, P.; Kassahun, T.W. Analysis of variant working vacation queue with reneging under a multi-server environment. Int. J. Manag. Sci. Eng. Manag. 2020, 15, 130–137. [Google Scholar] [CrossRef]
- Kadi, M.; Bouchentouf, A.A.; Yahiaoui, O.L. On a multiserver queueing system with customers’ impatience until the end of service under single and multiple vacation policies. Appl. Appl. Math. Int. J. 2020, 15, 740–763. [Google Scholar]
- Bouchentouf, A.A.; Cherfaoui, M.; Boualem, M. Analysis and performance evaluation of Markovian feedback multi-server queueing model with vacation and impatience. Am. J. Math. Manag. Sci. 2021, 40, 261–282. [Google Scholar] [CrossRef]
- Bouchentouf, A.A.; Boualem, M.; Yahiaoui, L.; Ahmad, H. A multi-station unreliable machine model with working vacation policy and customers’ impatience. Qual. Technol. Quant. Manag. 2022, 19, 766–796. [Google Scholar] [CrossRef]
- Ke, J.C.; Chang, F.M.; Liu, T.H. Bi-objective optimization of a retrial model with synchronous working vacation interruption. Qual. Technol. Quant. Manag. 2024, 1–24. [Google Scholar] [CrossRef]
- Malik, G.; Upadhyaya, S.; Sharma, R. A study on retrial G-queues under different scenarios: A review. In Proceedings of the International Conference on Scientific and Natural Computing, Online, 5–6 February 2021; Algorithms for Intelligent Systems. Singh, D., Awasthi, A.K., Zelinka, I., Deep, D., Eds.; Springer: Singapore, 2021. [Google Scholar]
- Ammar, S.I.; Rajadurai, P. Performance analysis of preemptive priority retrial queueing system with disaster under working breakdown services. Symmetry 2019, 1, 419. [Google Scholar] [CrossRef]
- Li, J.; Li, T. An M/G/1 G-queue with server breakdown, working vacations and Bernoulli vacation interruption. IAENG Int. J. Appl. Math. 2020, 50, 421–428. [Google Scholar]
- Gao, S.; Zhang, D.; Dong, H.; Wang, X. Equilibrium balking strategies in the repairable M/M/1 G-retrial queue with complete removals. Probab. Eng. Informational Sci. 2021, 35, 138–157. [Google Scholar] [CrossRef]
- Lisovskaya, E.; Fedorova, E.; Salimzyanov, R.; Moiseeva, S. Resource retrial queue with two orbits and negative customers. Mathematics 2022, 10, 321. [Google Scholar] [CrossRef]
- Kalidass, K.; Ramanath, K. A queue with working breakdowns. Comput. Ind. Eng. 2012, 63, 779–783. [Google Scholar] [CrossRef]
- Neuts, M.F. Matrix-Geometric Solutions in Stochastic Models, Series in the Mathematical Sciences; Johns Hopkins University Press: Baltimore, MD, USA, 1981. [Google Scholar]
- Phung-Duc, T.; Rogiest, W. Two way communication retrial queues with balanced call blending. In Proceedings of the Analytical and Stochastic Modeling Techniques and Applications: 19th International Conference, ASMTA 2012, Grenoble, France, 4–6 June 2012; Proceedings 19. Springer: Berlin/Heidelberg, Germany, 2012; pp. 16–31. [Google Scholar]
- Konak, A.; Coit, D.W.; Smith, A.E. Multi-objective optimization using genetic algorithms: A tutorial. Reliab. Eng. Syst. Saf. 2006, 91, 992–1007. [Google Scholar] [CrossRef]
- Zhang, X.; Zheng, X.; Cheng, R.; Qiu, J.; Jin, Y. A competitive mechanism based multi-objective particle swarm optimizer with fast convergence. Inf. Sci. 2018, 427, 63–76. [Google Scholar] [CrossRef]








| 6 | 0.047 | 19.675 | 0.746 | 0.001 | 236.416 |
| 4 | 18.199 | 14.537 | 0.076 | 30.545 | 2034.349 |
| 4 | 17.805 | 13.865 | 0.077 | 20.394 | 1425.580 |
| 4 | 17.946 | 13.654 | 0.077 | 23.447 | 1606.636 |
| 6 | 0.836 | 2.793 | 0.542 | 0.010 | 150.625 |
| 9 | 2.164 | 3.377 | 0.404 | 0.008 | 156.941 |
| 4 | 17.197 | 11.467 | 0.080 | 12.014 | 913.798 |
| 4 | 17.609 | 12.359 | 0.078 | 16.984 | 1214.696 |
| 4 | 16.866 | 11.535 | 0.082 | 9.421 | 759.495 |
| 4 | 17.418 | 12.380 | 0.079 | 14.378 | 1059.350 |
| 4 | 18.002 | 13.642 | 0.077 | 24.817 | 1688.237 |
| 4 | 18.140 | 12.231 | 0.076 | 28.664 | 1910.633 |
| 5 | 18.172 | 11.212 | 0.095 | 1.787 | 302.619 |
| 4 | 17.377 | 11.696 | 0.079 | 13.891 | 1026.901 |
| 4 | 17.726 | 12.115 | 0.078 | 18.919 | 1328.856 |
| 4 | 17.848 | 13.828 | 0.077 | 21.264 | 1477.301 |
| 4 | 17.903 | 13.078 | 0.077 | 22.458 | 1544.755 |
| 4 | 16.415 | 12.402 | 0.084 | 7.068 | 623.538 |
| 4 | 17.777 | 13.243 | 0.078 | 19.858 | 1390.523 |
| 4 | 17.869 | 12.022 | 0.077 | 21.700 | 1494.297 |
| 4 | 17.985 | 12.242 | 0.077 | 24.369 | 1654.525 |
| 4 | 18.089 | 11.270 | 0.076 | 27.162 | 1816.263 |
| 9 | 5.609 | 0.133 | 0.294 | 0.043 | 136.802 |
| 4 | 18.105 | 11.953 | 0.076 | 27.604 | 1846.024 |
| 4 | 17.072 | 11.635 | 0.081 | 10.923 | 849.573 |
| 4 | 16.639 | 13.276 | 0.083 | 8.107 | 689.851 |
| 4 | 16.073 | 13.298 | 0.086 | 5.852 | 555.488 |
| 4 | 14.420 | 13.481 | 0.095 | 2.945 | 383.013 |
| 10 | 0.031 | 0.026 | 0.616 | 0.002 | 96.835 |
| 4 | 17.555 | 12.212 | 0.078 | 16.179 | 1165.922 |
Disclaimer/Publisher’s Note: The statements, opinions and data contained in all publications are solely those of the individual author(s) and contributor(s) and not of MDPI and/or the editor(s). MDPI and/or the editor(s) disclaim responsibility for any injury to people or property resulting from any ideas, methods, instructions or products referred to in the content. |
© 2025 by the authors. Licensee MDPI, Basel, Switzerland. This article is an open access article distributed under the terms and conditions of the Creative Commons Attribution (CC BY) license (https://creativecommons.org/licenses/by/4.0/).
Share and Cite
Liu, T.-H.; Hsu, H.-Y.; Chang, F.-M. Multi-Server Two-Way Communication Retrial Queue Subject to Disaster and Synchronous Working Vacation. Algorithms 2025, 18, 24. https://doi.org/10.3390/a18010024
Liu T-H, Hsu H-Y, Chang F-M. Multi-Server Two-Way Communication Retrial Queue Subject to Disaster and Synchronous Working Vacation. Algorithms. 2025; 18(1):24. https://doi.org/10.3390/a18010024
Chicago/Turabian StyleLiu, Tzu-Hsin, He-Yao Hsu, and Fu-Min Chang. 2025. "Multi-Server Two-Way Communication Retrial Queue Subject to Disaster and Synchronous Working Vacation" Algorithms 18, no. 1: 24. https://doi.org/10.3390/a18010024
APA StyleLiu, T.-H., Hsu, H.-Y., & Chang, F.-M. (2025). Multi-Server Two-Way Communication Retrial Queue Subject to Disaster and Synchronous Working Vacation. Algorithms, 18(1), 24. https://doi.org/10.3390/a18010024
