Crystal Symmetry-Inspired Algorithm for Optimal Design of Contemporary Mono Passivated Emitter and Rear Cell Solar Photovoltaic Modules
Abstract
1. Introduction
- This study aims to introduce a new nature-inspired intelligence OA named CrSA, which will be used to estimate the parameters of Mono PERC solar PV modules.
- The mathematical modeling of the SDiM and DDiM of the Mono PERC solar PV modules has been analyzed.
- The error between practical values and simulation results has been examined for high accuracy at short circuit, open circuit, and maximum power points for the PV modules under consideration.
- The proposed method has been compared with the recent OAs in the literature by using convergence analysis.
2. Crystal Structure Algorithm
- 1
- No internal parameters are required: The CrSA does not require any internal parameters to be tuned in its optimization process.
- 2
- Position updating process: In its position updating process, the candidate solutions are updated in four main phases, ensuring that very efficient searches of local and global areas of the search space are conducted.
Mathematical Modelling of the CrSA
- “Cubicle” with :
- “Cubicle” with :
- “Cubicle” with :
- “Cubicle” with and :
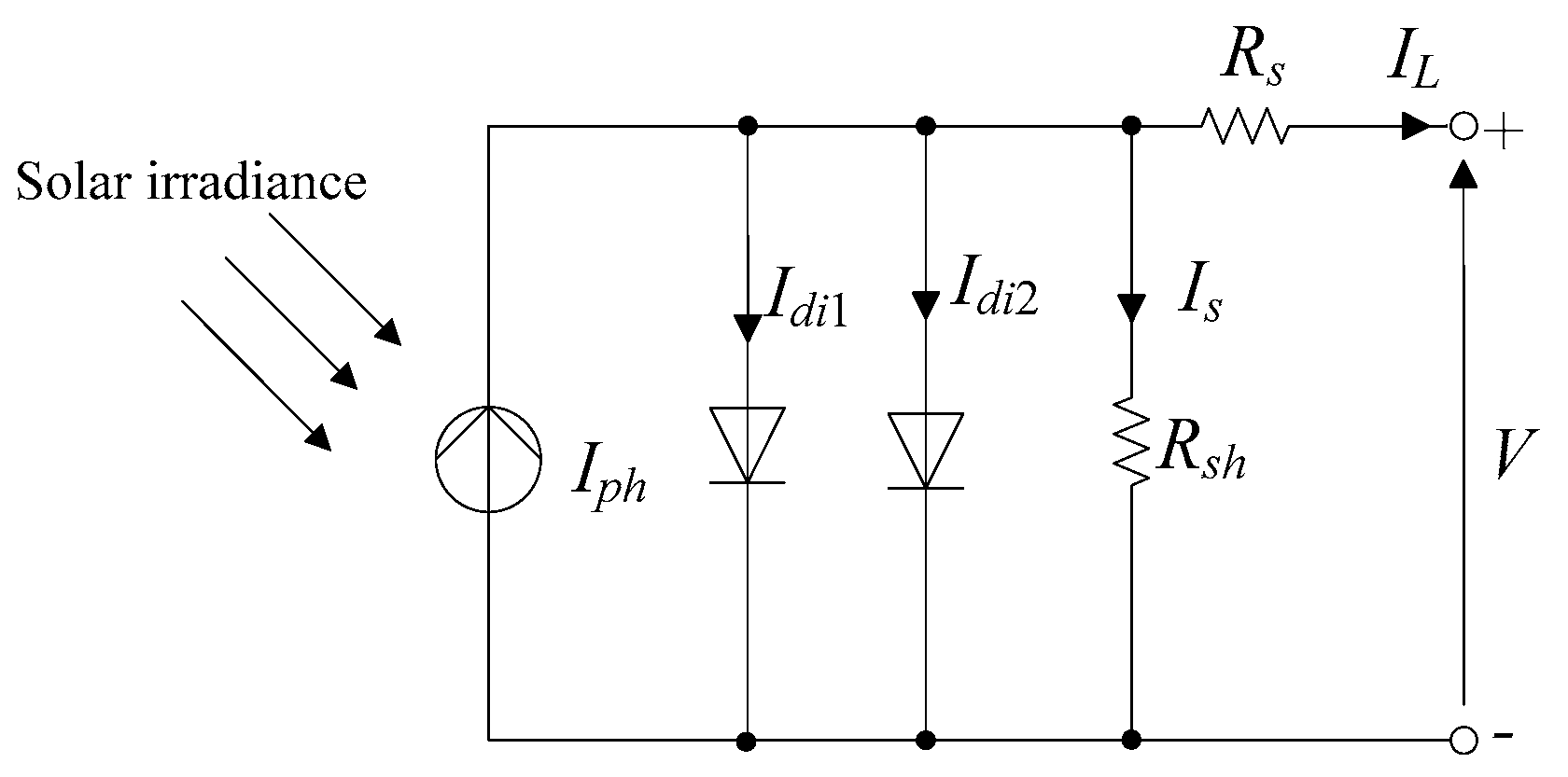
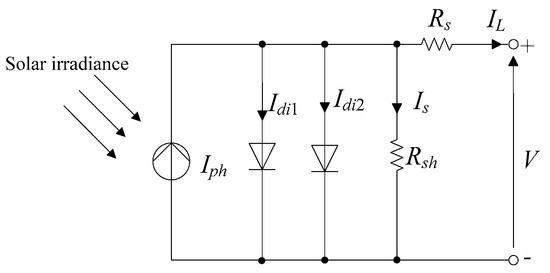
3. Mathematical Modeling of PV Models
3.1. Single-Diode Model
3.2. Double-Diode Model
4. Application of the CrSA for Parameter Extraction of the Solar Module
4.1. Formulation of the Objective Function
4.2. Procedure for Estimating PV Module Parameters
- Validate the upper limit of the iteration count before proceeding to the subsequent phases. If the condition is not met, proceed to Step 7.
- Consider the SDiM and DDiM for the solar PV module under discussion using Equations (7)–(21).
- Utilize Equations (3)–(6) to execute the proposed CrSA for the study work being examined.
- Minimize the overall error, as defined by Equations (25) and (29), for Steps 3 and 4 in each iteration.
- Increment the iteration count and go to Step 2.
- Conduct a comprehensive analysis of different solar PV modules and identify the optimal values for the corresponding circuit parameters.
5. Simulation Results
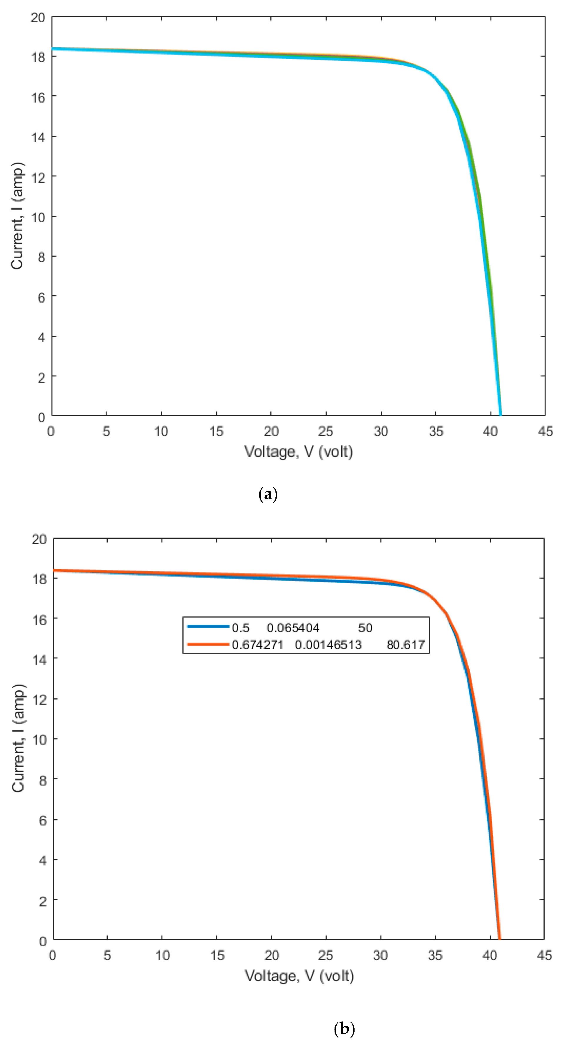
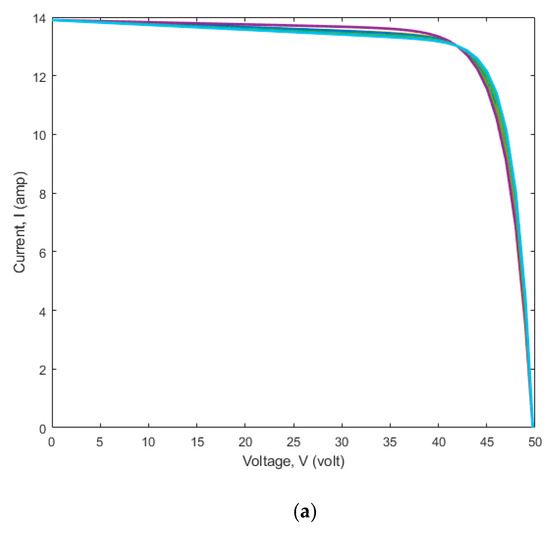
5.1. Results for the SDiM of Mono PERC Solar PV Modules
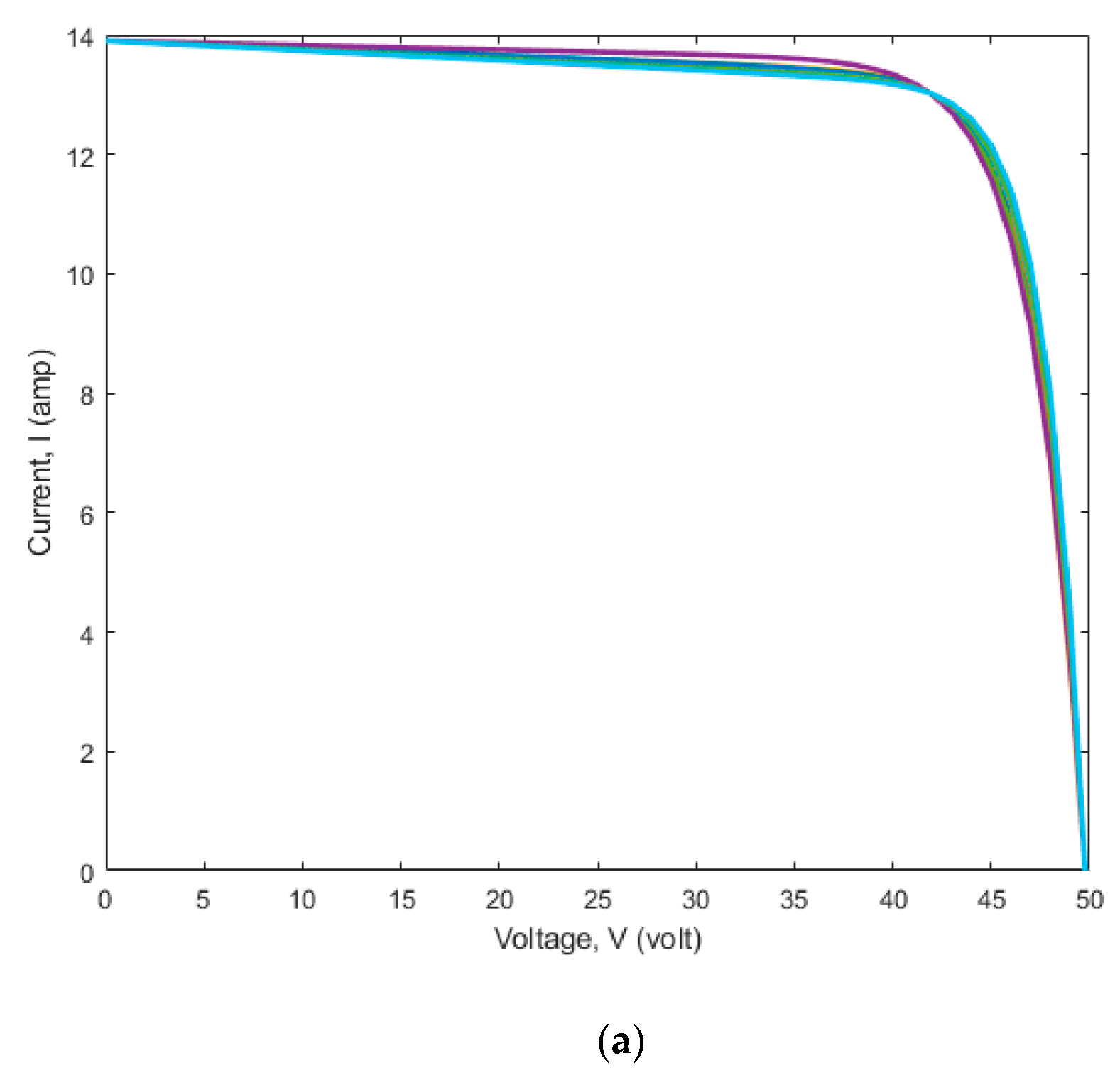
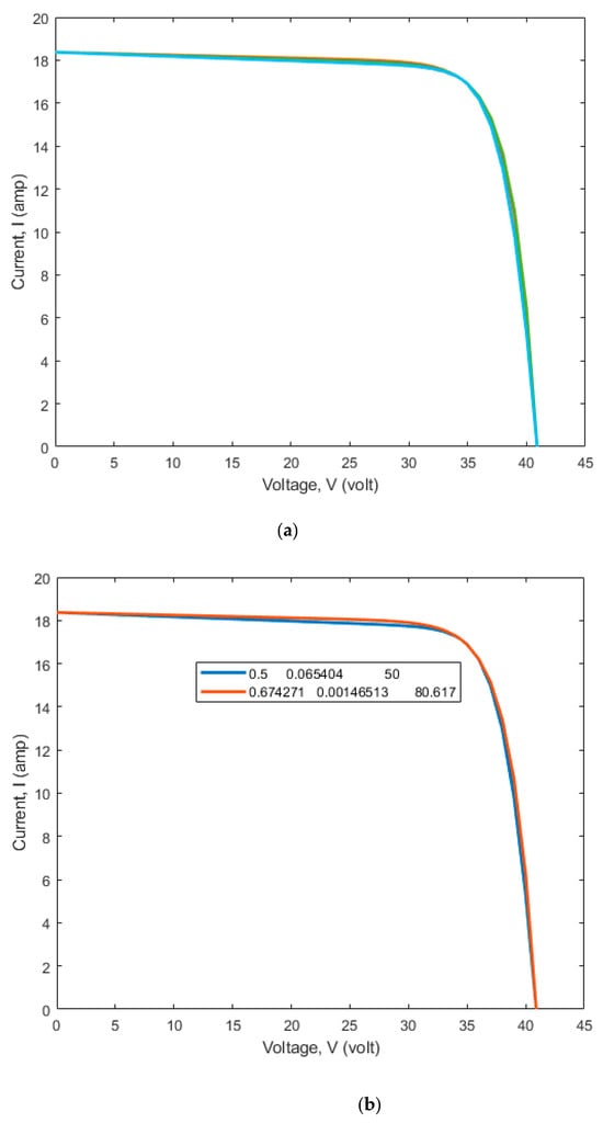
5.2. Results for the DDiM of Mono PERC Solar PV Modules
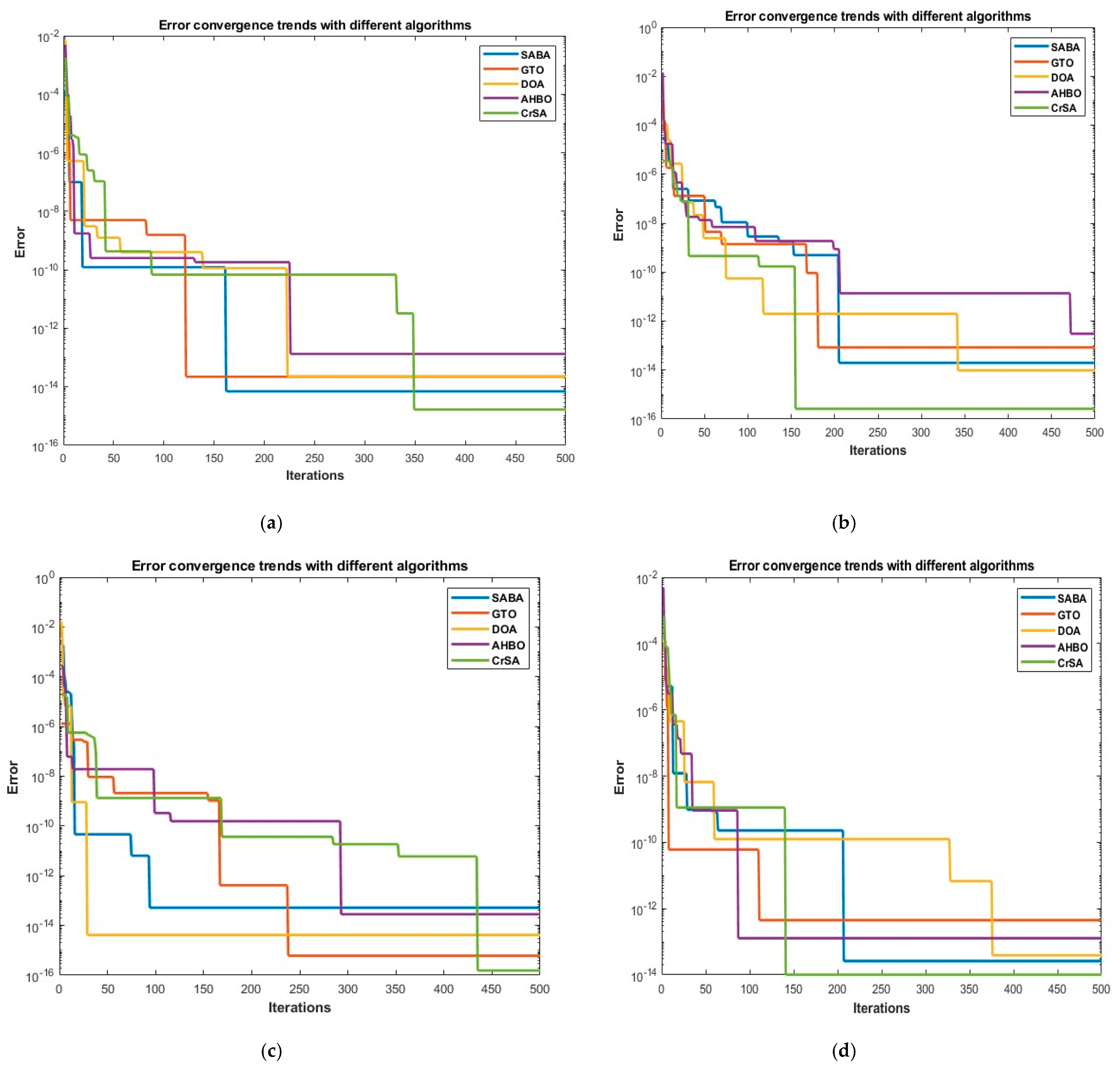
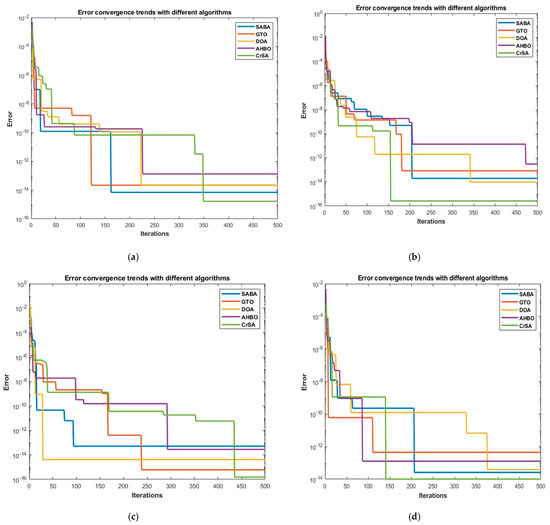
5.3. Convergence Analysis
5.4. Discussion
- (a)
- In over 20 trials, the CrSA consistently produces highly accurate results when using the provided error function as the objective function.
- (b)
- The simulation results indicate that the estimated parameters yield V-I curves that accurately pass through all three crucial points, with an error of approximately 10−14.
- (c)
- The proposed method has been compared with the recent OAs in the literature by using convergence analysis. It has been observed that the proposed approach exhibited the fastest rate of convergence on each of the PV panels.
- (d)
- The results indicate that the proposed algorithm demonstrated satisfactory performance characteristics and its practical application is highly recommended.
6. Conclusions
Author Contributions
Funding
Data Availability Statement
Conflicts of Interest
References
- Mahajan, M.; Kumar, S.; Pant, B.; Khan, R. Improving Accuracy of Air Pollution Prediction by Two Step Outlier Detection. In Proceedings of the 2021 International Conference on Advances in Electrical, Computing, Communication and Sustainable Technologies (ICAECT), Bhilai, India, 19–20 February 2021; pp. 1–7. [Google Scholar]
- Bošnjaković, M.; Santa, R.; Crnac, Z.; Bošnjaković, T. Environmental Impact of PV Power Systems. Sustainability 2023, 15, 11888. [Google Scholar] [CrossRef]
- Parida, B.; Iniyan, S.; Goic, R. A review of solar photovoltaic technologies. Renew. Sustain. Energy Rev. 2011, 15, 1625–1636. [Google Scholar] [CrossRef]
- Sheng, H.; Li, C.; Wang, H.; Yan, Z.; Xiong, Y.; Cao, Z.; Kuang, Q. Parameters Extraction of Photovoltaic Models Using an Improved Moth-Flame Optimization. Energies 2019, 12, 3527. [Google Scholar] [CrossRef]
- Li, S.; Gong, W.; Gu, Q. A comprehensive survey on meta-heuristic algorithms for parameter extraction of photovoltaic models. Renew. Sustain. Energy Rev. 2021, 141, 110828. [Google Scholar] [CrossRef]
- Moustafa, G. Parameter Identification of Solar Photovoltaic Systems Using an Augmented Subtraction-Average-Based Optimizer. Eng 2023, 4, 1818–1836. [Google Scholar] [CrossRef]
- Ghetas, M.; Elshourbagy, M. Parameters extraction of photovoltaic models using enhanced generalized normal distribution optimization with neighborhood search. Neural Comput. Applic 2024. [Google Scholar] [CrossRef]
- Sallam, K.M.; Hossain, M.A.; Chakrabortty, R.K.; Ryan, M.J. An improved gaining-sharing knowledge algorithm for parameter extraction of photovoltaic models. Energy Convers. Manag. 2021, 237, 114030. [Google Scholar] [CrossRef]
- Lin, P.; Cheng, S.; Yeh, W.; Chen, Z.; Wu, L. Parameters extraction of solar cell models using a modifed simplifed swarm optimization algorithm. Sol. Energy 2017, 144, 594–603. [Google Scholar] [CrossRef]
- Louzazni, M.; Khouya, A.; Al-Dahidi, S.; Mussetta, M.; Amechnoue, K. Analytical optimization of photovoltaic output with Lagrange Multiplier Method. Optik 2019, 199, 163379. [Google Scholar] [CrossRef]
- Ezzahra Ait Salah, F.; Maouhoub, N.; Tifidat, K.; Nam, Y.; Abouhawwash, M. An efficient analytical approach for forecasting the peak power of PV panels working in outdoor conditions based on explicit model. Energy Convers. Manag. 2023, 20, 100423. [Google Scholar]
- Toledo, F.J.; Blanes, J.M. Analytical and quasi-explicit four arbitrary point method for extraction of solar cell single-diode model parameters. Renew. Energy 2016, 92, 346–356. [Google Scholar] [CrossRef]
- Gnetchejo, P.J.; Ndjakomo Essiane, S.; Dadjé, A.; Ele, P. A combination of Newton-Raphson method and heuristics algorithms for parameter estimation in photovoltaic modules. Heliyon 2021, 7, e06673. [Google Scholar] [CrossRef] [PubMed]
- Romero, B.; del Pozo, G.; Arredondo, B. Exact analytical solution of a two diode circuit model for organic solar cells showing S-shape using Lambert W-functions. Sol. Energy 2012, 86, 3026–3029. [Google Scholar] [CrossRef]
- Ginidi, A.; Ghoneim, S.M.; Elsayed, A.; El-Sehiemy, R.; Shaheen, A.; El-Fergany, A. Gorilla troops optimizer for electrically based single and double-diode models of solar photovoltaic systems. Sustainability 2021, 13, 9459. [Google Scholar] [CrossRef]
- Vais, R.I.; Sahay, K.; Chiranjeevi, T.; Devarapalli, R.; Knypiński, Ł. Parameter Extraction of Solar Photovoltaic Modules Using a Novel Bio-Inspired Swarm Intelligence Optimisation Algorithm. Sustainability 2023, 15, 8407. [Google Scholar] [CrossRef]
- El-Sehiemy, R.; Shaheen, A.; El-Fergany, A. Electrical parameters extraction of PV modules using artificial hummingbird optimizer. Sci. Rep. 2023, 13, 9240. [Google Scholar] [CrossRef] [PubMed]
- Ahmadianfar, I.; Gong, W.; Heidari, A.A.; Golilarz, N.A.; Samadi-Koucheksaraee, A.; Chen, H. Gradient-based optimization with ranking mechanisms for parameter identifcation of photovoltaic systems. Energy Rep. 2021, 7, 3979–3997. [Google Scholar] [CrossRef]
- Song, Y.; Wu, D.; Mohamed, A.W.; Zhou, X.; Zhang, B.; Deng, W. Enhanced Success History Adaptive DE for Parameter Optimization of Photovoltaic Models. Complexity 2021, 20212, 6660115. [Google Scholar] [CrossRef]
- Yuan, S.; Ji, Y.; Chen, Y.; Liu, X.; Zhang, W. An Improved Differential Evolution for Parameter Identification of Photovoltaic Models. Sustainability 2023, 15, 13916. [Google Scholar] [CrossRef]
- Li, S.; Gong, W.; Wang, L.; Yan, X.; Hu, C. A hybrid adaptive teaching–learning-based optimization and diferential evolution for parameter identifcation of photovoltaic models. Energy Convers. Manag. 2020, 225, 113474. [Google Scholar] [CrossRef]
- Song, Y.; Wu, D.; Deng, W.; Gao, X.-Z.; Li, T.; Zhang, B.; Li, Y. MPPCEDE: Multi-population parallel co-evolutionary diferential evolution for parameter optimization. Energy Convers. Manag. 2021, 228, 113661. [Google Scholar] [CrossRef]
- Izci, D.; Ekinci, S.; Hussien, A.G. Efficient parameter extraction of photovoltaic models with a novel enhanced prairie dog optimization algorithm. Sci. Rep. 2024, 114, 7945. [Google Scholar] [CrossRef] [PubMed]
- Premkumar, M.; Babu, T.S.; Umashankar, S.; Sowmya, R. A new metaphor-less algorithms for the photovoltaic cell parameter estimation. Optik 2020, 208, 164559. [Google Scholar] [CrossRef]
- Yu, K.; Liang, J.J.; Qu, B.Y.; Cheng, Z.; Wang, H. Multiple learning backtracking search algorithm for estimating parameters of photovoltaic models. Appl. Energy 2018, 226, 408–422. [Google Scholar] [CrossRef]
- Wu, H.; Chen, Y.; Cai, Z.; Asghar Heidari, A.; Chen, H.; Zhang, Y. Super-evolutionary mechanism and Nelder-Mead simplex enhanced salp swarm algorithm for photovoltaic model parameter estimation. IET Renew. Power Gener. 2023, 1–29. [Google Scholar] [CrossRef]
- Fathy, A.; Rezk, H. Parameter estimation of photovoltaic system using imperialist competitive algorithm. Renew. Energy 2017, 111, 307–320. [Google Scholar] [CrossRef]
- Jian, X.; Cao, Y. A Chaotic Second Order Oscillation JAYA Algorithm for Parameter Extraction of Photovoltaic Models. Photonics 2022, 9, 131. [Google Scholar] [CrossRef]
- Wang, L.; Huang, C. A novel Elite Opposition-based Jaya algorithm for parameter estimation of photovoltaic cell models. Optik 2018, 155, 351–356. [Google Scholar] [CrossRef]
- Xavier, F.J.; Pradeep, A.; Premkumar, M.; Kumar, C. Orthogonal learning-based Gray Wolf Optimizer for identifying the uncertain parameters of various photovoltaic models. Optik 2021, 247, 167973. [Google Scholar] [CrossRef]
- Reddy, S.S.; Yammani, C. A novel two step method to extract the parameters of the single diode model of Photovoltaic module using experimental Power-Voltage data. Optik 2021, 248, 167977. [Google Scholar] [CrossRef]
- Devarapalli, R.; Rao, B.V.; Al-Durra, A. Optimal parameter assessment of Solar Photovoltaic module equivalent circuit using a novel enhanced hybrid GWO-SCA algorithm. Energy Rep. 2022, 8, 12282–12301. [Google Scholar] [CrossRef]
- Abd El-Mageed, A.A.; Al-Hamadi, A.; Bakheet, S.; Abd El-Rahiem, A.H. Hybrid Sparrow Search-Exponential Distribution Optimization with Differential Evolution for Parameter Prediction of Solar Photovoltaic Models. Algorithms 2024, 17, 26. [Google Scholar] [CrossRef]
- Vandrasi, R.K.; Kumar, B.S.; Devarapalli, R. Solar photovoltaic module parameter extraction using a novel hybrid chimp-sine cosine algorithm,” Energy Sources A: Recover. Util. Environ. Eff. 2022, 1–20. [Google Scholar] [CrossRef]
- Gatla, V.R.; Injeti, S.K.; Kotte, S.; Polamarasetty, P.K.; Nuvvula, R.S.S.; Vardhan, A.S.S.; Singh, M.; Khan, B. An Effective Approach for Extracting the Parameters of Solar PV Models Using the Chaotic War Strategy Optimization Algorithm With Modified Newton Raphson Method. IEEE J. Electron Devices Soc. 2023. [Google Scholar] [CrossRef]
- Naraharisetti, J.N.L.; Devarapalli, R.; Bathina, V. Parameter extraction of solar photovoltaic module by using a novel hybrid marine predators–success history based adaptive differential evolution algorithm,” Energy Sources A: Recover. Utili. Environ. Eff. 2020, 1–23. [Google Scholar] [CrossRef]
- Fathy, A.; Elaziz, M.A.; Sayed, E.T.; Olabi, A.G.; Rezk, H. Optimal parameter identifcation of triple-junction photovoltaic panel based on enhanced moth search algorithm. Energy 2019, 188, 116025. [Google Scholar] [CrossRef]
- Rezk, H.; Fathy, A. A novel optimal parameters identifcation of triple-junction solar cell based on a recently meta-heuristic water cycle algorithm. Sol. Energy 2017, 157, 778–791. [Google Scholar] [CrossRef]
- Houssein, E.H.; Nassef, A.M.; Fathy, A.; Mahdy, M.A.; Rezk, H. Modifed search and rescue optimization algorithm for identifying the optimal parameters of high efciency triple-junction solar cell/module. Int. J. Energy Res. 2022, 46, 13961–13985. [Google Scholar] [CrossRef]
- Wolpert, D.H.; Macready, W.G. No free lunch theorems for optimization. IEEE Trans. Evol. Comput. 1997, 1, 67–82. [Google Scholar] [CrossRef]
- Abd El-Mageed, A.A.; Gad, A.G.; Sallam, K.M.; Munasinghe, K.; Abohany, A.A. Improved binary adaptive wind driven optimization algorithm-based dimensionality reduction for supervised classification. Comput. Ind. Eng. 2022, 167, 107904. [Google Scholar] [CrossRef]
- Talatahari, S.; Azizi, M.; Tolouei, M.; Talatahari, B.; Sareh, P. Crystal Structure Algorithm (CryStAl): A Metaheuristic Optimization Method. IEEE Access 2021, 9, 71244–71261. [Google Scholar] [CrossRef]
- ARKA_SERIES_WSMD_515_545. Available online: https://cdn.enfsolar.com/z/pp/g9bqbs274a/ARKA-SERIES-WSMD-515-545-WEL-E-PD-515-545-144-MP-HC-06-17-11.pdf (accessed on 25 April 2024).
- Canadian_Solar_CS7L_MS_575_605. Available online: https://static.csisolar.com/wp-content/uploads/sites/2/2020/10/02101505/Canadian_Solar-Datasheet-CS7L-MS-575-605-V1.6C1_AU.pdf (accessed on 10 June 2024).











| Reference | Metaheuristic Approach | Analytical Approach | Models |
|---|---|---|---|
| [4] | Improved Moth-Flame | ---- | SDiM, DDiM, PV module |
| [6] | Subtraction average-based algorithm (SABA) | ---- | SDiM, DDiM |
| [7] | Enhanced generalized normal distribution optimization with neighborhood search | ---- | SDiM, DDiM, PV module |
| [8] | Improved gaining sharing knowledge algorithm | ---- | SDiM, DDiM, PV module |
| [9] | Modified simplified swarm optimization | ---- | SDiM, DDiM |
| [10] | Lagrange multiplier method | SDiM, DDiM | |
| [12] | Analytical and quasi-explicit method | SDiM | |
| [13] | Drone squadron | SDiM, DDiM | |
| [14] | Lambert W-functions | SDiM, DDiM | |
| [15] | GTO | ---- | SDiM, DDiM |
| [16] | DOA | ---- | SDiM, DDiM |
| [17] | AHBO | ---- | SDiM, DDiM |
| [18] | Gradient-based optimization | ---- | SDiM, DDiM, PV module |
| [19,20] | Enhanced DE | ---- | SDiM, DDiM, PV module |
| [21] | DE combined with TLBO | ---- | SDiM, DDiM, PV module |
| [22] | DE with a reversible learning process | ---- | SDiM, DDiM, PV module |
| [23] | Enhanced prairie dog | ---- | SDiM, DDiM, PV module |
| [24] | Rao-2 and Rao-3 | ---- | SDiM, DDiM, Three diode model (TDiM) |
| [25] | Backtracking search technique | ---- | SDiM, DDiM, PV module |
| [26] | Nelder mead salp swarm | ---- | SDiM, DDiM, TDiM |
| [27] | Imperialist competitive | ---- | SDiM, DDiM |
| [28,29] | JAYA method | ---- | SDiM, DDiM |
| [30] | Orthogonal learning strategy-based grey wolf method | ---- | SDiM, DDiM, PV module |
| [32] | Hybrid grey wolf—sine cosine algorithm | ---- | SDiM, DDiM |
| [33] | Hybrid sparrow search—exponential distribution based DE | ---- | SDiM, DDiM |
| [34] | Hybrid chimp—sine cosine algorithm | ---- | SDiM, DDiM |
| [35] | Chaotic war strategy | ---- | TDiM |
| [36] | Hybrid marine predators—success history based DE | ---- | SDiM, DDiM |
| [37] | Moth search | ---- | TDiM |
| [38] | Water cycle | ---- | TDiM |
| [39] | Heap optimizer | ---- | TDiM |
| Generate random values for the initial positions () of initial crystals () |
| Determine the fitness values of every crystal |
| while (< maximum number of iterations) |
| for i = 1: number of initial crystals |
| Generate |
| Generate new crystals by Equation (3) |
| Generate |
| Generate new crystals by Equation (4) |
| Generate |
| Generate new crystals by Equation (5) |
| Generate new crystals by Equation (6) |
| if newly formed crystals transcend boundary restrictions Manage and modify the positional restrictions for new crystals |
| end if |
| Assess the fitness values of recently formed crystals |
| If a superior option is discovered, update Global Best (GB) |
| end for |
| end while |
| Return GB |
| Parameter | Mono PERC Solar Cell | |
|---|---|---|
| WSMD-545 [43] | CS7L-590 MS [44] | |
| 41.90 V | 34.50 V | |
| 13.02 A | 17.11 A | |
| 49.76 V | 40.90 | |
| 13.90 A | 18.37 A | |
| Number of solar cells in series () | 144 | 120 |
| SDiM | DDiM |
|---|---|
| , , | , , , |
| Run | CSrA | Analytical Approach | ||||
|---|---|---|---|---|---|---|
| 1 | 0.501029 | 0.022692 | 63.61758 | 2.88 × 10−11 | 13.90496 | 3.11 × 10−11 |
| 2 | 0.503419 | 0.065547 | 73.08772 | 3.30 × 10−11 | 13.91247 | 5.07 × 10−11 |
| 3 | 0.5 | 0.12396 | 99.11782 | 2.79 × 10−11 | 13.91738 | 6.90 × 10−12 |
| 4 | 0.501688 | 0.040186 | 66.74294 | 3.00 × 10−11 | 13.90837 | 6.52 × 10−12 |
| 5 | 0.5 | 0.056305 | 69.76227 | 2.74 × 10−11 | 13.91122 | 9.32 × 10−12 |
| 6 | 0.502743 | 0.002558 | 61.13818 | 3.15 × 10−11 | 13.90058 | 1.67 × 10−15 |
| 7 | 0.598257 | 0.001 | 84.50782 | 2.29 × 10−09 | 13.90016 | 6.14 × 10−11 |
| 8 | 0.506087 | 0.019663 | 64.05815 | 3.77 × 10−11 | 13.90427 | 2.82 × 10−11 |
| 9 | 0.507647 | 0.003679 | 62.02638 | 4.08 × 10−11 | 13.90082 | 2.41 × 10−10 |
| 10 | 0.5 | 0.033091 | 65.10647 | 2.73 × 10−11 | 13.90706 | 1.32 × 10−12 |
| 11 | 0.5 | 0.121537 | 97.26173 | 2.79 × 10−11 | 13.91737 | 9.27 × 10−11 |
| 12 | 0.500023 | 0.021923 | 63.32316 | 2.73 × 10−11 | 13.90481 | 1.94 × 10−11 |
| 13 | 0.5 | 0.041692 | 66.66604 | 2.74 × 10−11 | 13.90869 | 4.64 × 10−12 |
| 14 | 0.5 | 0.001 | 60.55438 | 2.72 × 10−11 | 13.90023 | 4.03 × 10−11 |
| 15 | 0.52647 | 0.003887 | 65.30085 | 1.06 × 10−10 | 13.90083 | 4.03 × 10−13 |
| 16 | 0.5 | 0.001 | 60.55388 | 2.72 × 10−11 | 13.90023 | 5.57 × 10−13 |
| 17 | 0.523443 | 0.001 | 64.28816 | 9.10 × 10−11 | 13.90022 | 2.11 × 10−10 |
| 18 | 0.508511 | 0.016304 | 63.97484 | 4.28 × 10−11 | 13.90354 | 3.08 × 10−11 |
| 19 | 0.510646 | 0.026697 | 66.1212 | 4.79 × 10−11 | 13.90561 | 9.26 × 10−11 |
| 20 | 0.550704 | 0.001 | 69.86 | 3.26 × 10−10 | 13.9002 | 1.31 × 10−10 |
| Run | CSrA | Analytical Approach | ||||
|---|---|---|---|---|---|---|
| 1 | 0.534559 | 0.044989 | 50.43807 | 2.93 × 10−10 | 18.38639 | 2.45 × 10−10 |
| 2 | 0.5 | 0.065398 | 50 | 5.28 × 10−11 | 18.39403 | 9.50 × 10−11 |
| 3 | 0.674271 | 0.001465 | 80.61703 | 5.10 × 10−08 | 18.37033 | 2.96 × 10−12 |
| 4 | 0.654749 | 0.001 | 67.96168 | 2.82 × 10−08 | 18.37027 | 5.02 × 10−13 |
| 5 | 0.5 | 0.065399 | 50 | 5.28 × 10−11 | 18.39403 | 4.04 × 10−11 |
| 6 | 0.520421 | 0.06244 | 55.18443 | 1.50 × 10−10 | 18.39079 | 2.55 × 10−10 |
| 7 | 0.5 | 0.065401 | 50 | 5.28 × 10−11 | 18.39403 | 3.12 × 10−11 |
| 8 | 0.5 | 0.065399 | 50 | 5.28 × 10−11 | 18.39403 | 4.78 × 10−11 |
| 9 | 0.504224 | 0.06363 | 50.404 | 6.59 × 10−11 | 18.39319 | 1.12 × 10−10 |
| 10 | 0.5 | 0.065404 | 50 | 5.28 × 10−11 | 18.39403 | 6.70 × 10−10 |
| 11 | 0.5 | 0.065398 | 50 | 5.28 × 10−11 | 18.39403 | 1.03 × 10−10 |
| 12 | 0.5 | 0.065402 | 50 | 5.28 × 10−11 | 18.39403 | 1.12 × 10−10 |
| 13 | 0.500096 | 0.06536 | 50.00961 | 5.30 × 10−11 | 18.39401 | 2.41 × 10−11 |
| 14 | 0.5 | 0.065397 | 50 | 5.28 × 10−11 | 18.39403 | 3.78 × 10−10 |
| 15 | 0.5 | 0.0654 | 50 | 5.28 × 10−11 | 18.39403 | 4.09 × 10−13 |
| 16 | 0.5 | 0.065401 | 50 | 5.28 × 10−11 | 18.39403 | 6.75 × 10−11 |
| 17 | 0.5 | 0.0654 | 50 | 5.28 × 10−11 | 18.39403 | 5.18 × 10−14 |
| 18 | 0.5 | 0.065402 | 50 | 5.28 × 10−11 | 18.39403 | 1.31 × 10−10 |
| 19 | 0.640819 | 0.001 | 61.59842 | 1.81 × 10−08 | 18.3703 | 3.02 × 10−11 |
| 20 | 0.5 | 0.065398 | 50 | 5.28 × 10−11 | 18.39403 | 1.02 × 10−10 |
| Run | CrSA | Analytical Approach | ||||||
|---|---|---|---|---|---|---|---|---|
| 1 | 0.665423 | 0.5 | 0.044369 | 67.1908 | 1.00 × 10−12 | 2.74 × 10−11 | 13.90918 | 2.62 × 10−16 |
| 2 | 0.846636 | 0.511733 | 0.001693 | 62.4105 | 1.00 × 10−12 | 5.05 × 10−11 | 13.90038 | 3.30 × 10−12 |
| 3 | 1.263774 | 0.544015 | 0.046843 | 81.9756 | 8.69 × 10−07 | 2.43 × 10−10 | 13.90794 | 8.48 × 10−13 |
| 4 | 0.5 | 0.52135 | 0.001 | 63.7887 | 1.00 × 10−12 | 7.91 × 10−11 | 13.90022 | 2.65 × 10−11 |
| 5 | 1.264447 | 0.540702 | 0.037732 | 77.5655 | 9.01 × 10−07 | 2.08 × 10−10 | 13.90676 | 4.21 × 10−11 |
| 6 | 1.819716 | 0.5 | 0.013479 | 62.1266 | 1.08 × 10−07 | 2.72 × 10−11 | 13.90302 | 3.26 × 10−13 |
| 7 | 0.5 | 0.515526 | 0.001 | 62.8402 | 1.00 × 10−12 | 5.90 × 10−11 | 13.90022 | 1.11 × 10−12 |
| 8 | 0.918244 | 0.5 | 0.002202 | 81.4347 | 8.82 × 10−07 | 2.34 × 10−11 | 13.90038 | 2.26 × 10−11 |
| 9 | 1.025365 | 0.500127 | 0.024585 | 66.1247 | 3.88 × 10−07 | 2.71 × 10−11 | 13.90517 | 1.57 × 10−11 |
| 10 | 1.053516 | 0.501863 | 0.001 | 61.7812 | 2.53 × 10−07 | 2.99 × 10−11 | 13.90022 | 1.79 × 10−11 |
| 11 | 0.922842 | 0.645466 | 0.006487 | 134.859 | 3.50 × 10−07 | 1.14 × 10−08 | 13.90067 | 2.98 × 10−11 |
| 12 | 0.5 | 0.5 | 0.021587 | 63.2699 | 1.00 × 10−12 | 2.63 × 10−11 | 13.90474 | 1.46 × 10−13 |
| 13 | 0.5 | 0.543886 | 0.001 | 67.9983 | 1.00 × 10−12 | 2.31 × 10−10 | 13.9002 | 5.49 × 10−14 |
| 14 | 1.333384 | 0.5 | 0.011382 | 62.2241 | 8.78 × 10−07 | 2.72 × 10−11 | 13.90254 | 5.99 × 10−12 |
| 15 | 0.804775 | 0.511794 | 0.001 | 66.8173 | 4.38 × 10−08 | 4.78 × 10−11 | 13.90021 | 1.17 × 10−12 |
| 16 | 0.5 | 0.508976 | 0.011769 | 63.3165 | 1.00 × 10−12 | 4.22 × 10−11 | 13.90258 | 2.51 × 10−11 |
| 17 | 0.539756 | 0.530727 | 0.001054 | 65.6487 | 1.07 × 10−12 | 1.29 × 10−10 | 13.90022 | 1.01 × 10−12 |
| 18 | 1.260688 | 0.5 | 0.009842 | 62.0336 | 5.61 × 10−07 | 2.72 × 10−11 | 13.90221 | 2.62 × 10−14 |
| 19 | 1.179774 | 0.521524 | 0.005751 | 65.1547 | 3.42 × 10−07 | 8.27 × 10−11 | 13.90123 | 7.00 × 10−13 |
| 20 | 1.230883 | 0.5 | 0.001 | 60.7836 | 2.81 × 10−07 | 2.72 × 10−11 | 13.90023 | 1.30 × 10−12 |
| Run | CrSA | Analytical Approach | ||||||
|---|---|---|---|---|---|---|---|---|
| 1 | 0.5 | 0.5 | 0.065399 | 50 | 1.00 × 10−12 | 5.18 × 10−11 | 18.39403 | 1.47 × 10−11 |
| 2 | 0.788935 | 0.566649 | 0.010533 | 52.18604 | 1.00 × 10−07 | 1.06 × 10−09 | 18.37371 | 2.61 × 10−14 |
| 3 | 0.5 | 0.5 | 0.0654 | 50 | 1.00 × 10−12 | 5.18 × 10−11 | 18.39403 | 3.53 × 10−12 |
| 4 | 0.5 | 0.508498 | 0.060241 | 50 | 1.00 × 10−12 | 8.06 × 10−11 | 18.39213 | 2.18 × 10−12 |
| 5 | 0.5 | 0.5 | 0.065399 | 50 | 1.00 × 10−12 | 5.18 × 10−11 | 18.39403 | 8.24 × 10−11 |
| 6 | 0.5 | 0.5 | 0.0654 | 50 | 1.00 × 10−12 | 5.18 × 10−11 | 18.39403 | 2.35 × 10−12 |
| 7 | 0.5 | 0.5 | 0.065401 | 50 | 1.00 × 10−12 | 5.18 × 10−11 | 18.39403 | 5.31 × 10−11 |
| 8 | 0.792137 | 0.561627 | 0.014868 | 61.18466 | 1.92 × 10−07 | 7.78 × 10−10 | 18.37446 | 3.53 × 10−11 |
| 9 | 0.5 | 0.5 | 0.0654 | 50 | 1.00 × 10−12 | 5.18 × 10−11 | 18.39403 | 5.35 × 10−14 |
| 10 | 0.5 | 0.5 | 0.065402 | 50 | 1.00 × 10−12 | 5.18 × 10−11 | 18.39403 | 1.12 × 10−10 |
| 11 | 0.5 | 0.5 | 0.065399 | 50 | 1.00 × 10−12 | 5.18 × 10−11 | 18.39403 | 2.52 × 10−11 |
| 12 | 0.5 | 0.5 | 0.065401 | 50 | 1.00 × 10−12 | 5.18 × 10−11 | 18.39403 | 1.76 × 10−11 |
| 13 | 0.87361 | 0.5 | 0.007132 | 51.43143 | 9.19 × 10−07 | 4.19 × 10−11 | 18.37255 | 1.15 × 10−11 |
| 14 | 0.5 | 0.5 | 0.0654 | 50 | 1.00 × 10−12 | 5.18 × 10−11 | 18.39403 | 1.48 × 10−12 |
| 15 | 0.5 | 0.5 | 0.0654 | 50 | 1.00 × 10−12 | 5.18 × 10−11 | 18.39403 | 2.16 × 10−12 |
| 16 | 0.50005 | 0.500022 | 0.065386 | 50.00362 | 2.55 × 10−11 | 2.74 × 10−11 | 18.39402 | 2.96 × 10−12 |
| 17 | 0.5 | 0.5 | 0.0654 | 50 | 1.00 × 10−12 | 5.18 × 10−11 | 18.39403 | 5.03 × 10−12 |
| 18 | 0.5 | 0.5 | 0.0654 | 50 | 1.00 × 10−12 | 5.18 × 10−11 | 18.39403 | 3.48 × 10−12 |
| 19 | 0.5 | 0.5 | 0.075953 | 56.02769 | 1.00 × 10−12 | 5.20 × 10−11 | 18.3949 | 7.72 × 10−11 |
| 20 | 0.5 | 0.5 | 0.0654 | 50 | 1.00 × 10−12 | 5.18 × 10−11 | 18.39403 | 2.96 × 10−12 |
Disclaimer/Publisher’s Note: The statements, opinions and data contained in all publications are solely those of the individual author(s) and contributor(s) and not of MDPI and/or the editor(s). MDPI and/or the editor(s) disclaim responsibility for any injury to people or property resulting from any ideas, methods, instructions or products referred to in the content. |
© 2024 by the authors. Licensee MDPI, Basel, Switzerland. This article is an open access article distributed under the terms and conditions of the Creative Commons Attribution (CC BY) license (https://creativecommons.org/licenses/by/4.0/).
Share and Cite
Vais, R.I.; Sahay, K.; Chiranjeevi, T.; Devarapalli, R.; Knypiński, Ł. Crystal Symmetry-Inspired Algorithm for Optimal Design of Contemporary Mono Passivated Emitter and Rear Cell Solar Photovoltaic Modules. Algorithms 2024, 17, 297. https://doi.org/10.3390/a17070297
Vais RI, Sahay K, Chiranjeevi T, Devarapalli R, Knypiński Ł. Crystal Symmetry-Inspired Algorithm for Optimal Design of Contemporary Mono Passivated Emitter and Rear Cell Solar Photovoltaic Modules. Algorithms. 2024; 17(7):297. https://doi.org/10.3390/a17070297
Chicago/Turabian StyleVais, Ram Ishwar, Kuldeep Sahay, Tirumalasetty Chiranjeevi, Ramesh Devarapalli, and Łukasz Knypiński. 2024. "Crystal Symmetry-Inspired Algorithm for Optimal Design of Contemporary Mono Passivated Emitter and Rear Cell Solar Photovoltaic Modules" Algorithms 17, no. 7: 297. https://doi.org/10.3390/a17070297
APA StyleVais, R. I., Sahay, K., Chiranjeevi, T., Devarapalli, R., & Knypiński, Ł. (2024). Crystal Symmetry-Inspired Algorithm for Optimal Design of Contemporary Mono Passivated Emitter and Rear Cell Solar Photovoltaic Modules. Algorithms, 17(7), 297. https://doi.org/10.3390/a17070297

