Optimizing Parameters for Enhanced Iterative Image Reconstruction Using Extended Power Divergence
Abstract
1. Introduction
2. Image Reconstruction
2.1. MLEM Method
2.2. PDEM Method
3. Proposed Method
- Euclidean distance:
- KL-divergence:
- EPD:where
- WEPD:where
4. Experiments
4.1. Experimental Method
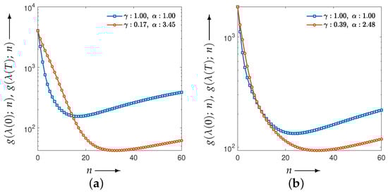
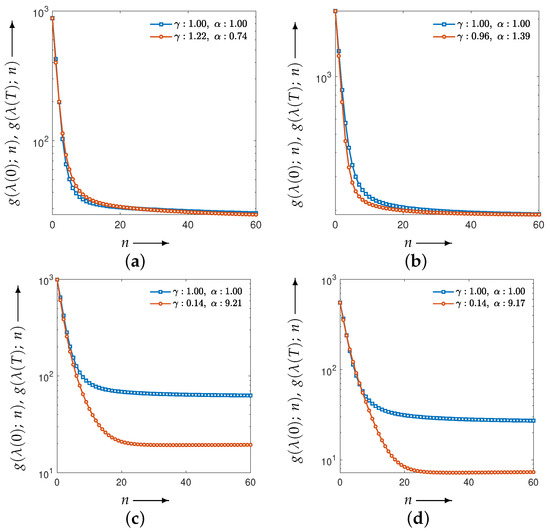
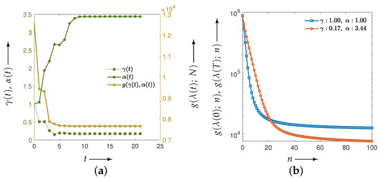
4.2. Experimental Results
5. Discussion
6. Conclusions
Author Contributions
Funding
Institutional Review Board Statement
Informed Consent Statement
Data Availability Statement
Conflicts of Interest
References
- Kak, A.C.; Slaney, M. Principles of Computerized Tomographic Imaging; IEEE Press: Piscataway, NJ, USA, 1988. [Google Scholar]
- Stark, H. Image Recovery: Theory and Application; Academic Press: Palm Bay, FL, USA, 1987. [Google Scholar] [CrossRef]
- Gordon, R.; Bender, R.; Herman, G. Algebraic Reconstruction Techniques (ART) for three-dimensional electron microscopy and X-ray photography. J. Theor. Biol. 1970, 29, 471–481. [Google Scholar] [CrossRef] [PubMed]
- Shepp, L.; Vardi, Y. Maximum Likelihood Reconstruction for Emission Tomography. IEEE Trans. Med. Imaging 1982, 1, 113–122. [Google Scholar] [CrossRef] [PubMed]
- Badea, C.; Gordon, R. Experiments with the nonlinear and chaotic behaviour of the multiplicative algebraic reconstruction technique (MART) algorithm for computed tomography. Phys. Med. Biol. 2004, 49, 1455–1474. [Google Scholar] [CrossRef] [PubMed]
- Withers, P.J.; Bouman, C.; Carmignato, S.; Cnudde, V.; Grimaldi, D.; Hagen, C.K.; Maire, E.; Manley, M.; Du Plessis, A.; Stock, S.R. X-ray computed tomography. Nat. Rev. Methods Prim. 2021, 1, 18. [Google Scholar] [CrossRef]
- Prakash, P.; Kalra, M.K.; Kambadakone, A.K.; Pien, H.; Hsieh, J.; Blake, M.A.; Sahani, D.V. Reducing Abdominal CT Radiation Dose with Adaptive Statistical Iterative Reconstruction Technique. Investig. Radiol. 2010, 45, 202–210. [Google Scholar] [CrossRef] [PubMed]
- Singh, S.; Kalra, M.K.; Gilman, M.D.; Hsieh, J.; Pien, H.H.; Digumarthy, S.R.; Shepard, J.O. Adaptive Statistical Iterative Reconstruction Technique for Radiation Dose Reduction in Chest CT: A Pilot Study. Radiology 2011, 259, 565–573. [Google Scholar] [CrossRef] [PubMed]
- Singh, S.; Kalra, M.K.; Do, S.; Thibault, J.B.; Pien, H.; O’Connor, O.J.; Blake, M.A. Comparison of Hybrid and Pure Iterative Reconstruction Techniques with Conventional Filtered Back Projection: Dose Reduction Potential in the Abdomen. J. Comput. Assist. Tomogr. 2012, 36, 347–353. [Google Scholar] [CrossRef] [PubMed]
- Beister, M.; Kolditz, D.; Kalender, W.A. Iterative reconstruction methods in X-ray CT. Phys. Med. 2012, 28, 94–108. [Google Scholar] [CrossRef] [PubMed]
- Boedeker, K. AiCE Deep Learning Reconstruction: Bringing the Power of Ultra-High Resolution CT to Routine Imaging. 2019. Available online: https://global.medical.canon/publication/ct/2019WP_AiCE_Deep_Learning (accessed on 27 September 2024).
- Koetzier, L.R.; Mastrodicasa, D.; Szczykutowicz, T.P.; van der Werf, N.R.; Wang, A.S.; Sandfort, V.; van der Molen, A.J.; Fleischmann, D.; Willemink, M.J. Deep Learning Image Reconstruction for CT: Technical Principles and Clinical Prospects. Radiology 2023, 306, e221257. [Google Scholar] [CrossRef] [PubMed]
- Kullback, S.; Leibler, R.A. On Information and Sufficiency. Ann. Math. Stat. 1951, 22, 79–86. [Google Scholar] [CrossRef]
- Kasai, R.; Yamaguchi, Y.; Kojima, T.; Abou Al-Ola, O.M.; Yoshinaga, T. Noise-Robust Image Reconstruction Based on Minimizing Extended Class of Power-Divergence Measures. Entropy 2021, 23, 1005. [Google Scholar] [CrossRef] [PubMed]
- Kojima, T.; Yoshinaga, T. Iterative Image Reconstruction Algorithm with Parameter Estimation by Neural Network for Computed Tomography. Algorithms 2023, 16, 60. [Google Scholar] [CrossRef]
- Yabuki, R.; Yamaguchi, Y.; Abou Al-Ola, O.M.; Kojima, T.; Yoshinaga, T. Iterative Tomographic Image Reconstruction Algorithm Based on Extended Power Divergence by Dynamic Parameter Tuning. J. Imaging 2024, 10, 178. [Google Scholar] [CrossRef] [PubMed]
- Hadamard, J. Sur les Problèmes Aux Dérivées Partielles et Leur Signification Physique. Princet. Univ. Bull. 1902, 13, 49–52. [Google Scholar]
- Byrne, C.L. Block-iterative methods for image reconstruction from projections. IEEE Trans. Image Process. 1996, 5, 792–794. [Google Scholar] [CrossRef] [PubMed]
- Byrne, C.L. Block-Iterative Algorithms. Int. Trans. Oper. Res. 2009, 16, 427–463. [Google Scholar] [CrossRef]
- Read, T.R.C.; Cressie, N.A.C. Goodness-of-Fit Statistics for Discrete Multivariate Data; Springer: New York, NY, USA, 1988. [Google Scholar]
- Pardo, L. Statistical Inference Based on Divergence Measures; Chapman Hall Probab. ser.: London, UK, 2005; pp. 1–492. [Google Scholar]
- Liese, F.; Vajda, I. On Divergences and Informations in Statistics and Information Theory. IEEE Trans. Inf. Theory 2006, 52, 4394–4412. [Google Scholar] [CrossRef]
- Pardo, L. New Developments in Statistical Information Theory Based on Entropy and Divergence Measures. Entropy 2019, 21, 391. [Google Scholar] [CrossRef] [PubMed]
- Beran, R. Minimum Hellinger distance estimates for parametric models. Ann. Stat. 1977, 5, 445–463. [Google Scholar] [CrossRef]
- Kagaku, K. CT Whole Body Phantom PBU-60. Available online: https://www.kyotokagaku.com/en/products_data/ph-2b/ (accessed on 1 June 2024).












| Method | Dist. Func. | SSIM | Std. Dev. | ||
|---|---|---|---|---|---|
| MLEM | — | 1 | 1 | 0.816 | 0.111 |
| (a) | 1.219 | 0.744 | 0.813 | 0.122 | |
| (b) | 0.957 | 1.39 | 0.798 | 0.118 | |
| PDEM | (c) | 0.139 | 9.21 | 0.983 | 0.0719 |
| (d) | 0.143 | 9.17 | 0.982 | 0.0727 | |
| (e) | 0.166 | 3.45 | 0.981 | 0.0517 |
| Method | Dist. Func. | SSIM | ||
|---|---|---|---|---|
| MLEM | — | 1 | 1 | 0.900 |
| (a) | 1.34 | 0.764 | 0.889 | |
| (b) | 0.959 | 1.40 | 0.889 | |
| PDEM | (c) | 0.156 | 8.31 | 0.928 |
| (d) | 0.169 | 7.86 | 0.932 | |
| (e) | 0.393 | 2.48 | 0.939 |
Disclaimer/Publisher’s Note: The statements, opinions and data contained in all publications are solely those of the individual author(s) and contributor(s) and not of MDPI and/or the editor(s). MDPI and/or the editor(s) disclaim responsibility for any injury to people or property resulting from any ideas, methods, instructions or products referred to in the content. |
© 2024 by the authors. Licensee MDPI, Basel, Switzerland. This article is an open access article distributed under the terms and conditions of the Creative Commons Attribution (CC BY) license (https://creativecommons.org/licenses/by/4.0/).
Share and Cite
Kojima, T.; Yamaguchi, Y.; Abou Al-Ola, O.M.; Yoshinaga, T. Optimizing Parameters for Enhanced Iterative Image Reconstruction Using Extended Power Divergence. Algorithms 2024, 17, 512. https://doi.org/10.3390/a17110512
Kojima T, Yamaguchi Y, Abou Al-Ola OM, Yoshinaga T. Optimizing Parameters for Enhanced Iterative Image Reconstruction Using Extended Power Divergence. Algorithms. 2024; 17(11):512. https://doi.org/10.3390/a17110512
Chicago/Turabian StyleKojima, Takeshi, Yusaku Yamaguchi, Omar M. Abou Al-Ola, and Tetsuya Yoshinaga. 2024. "Optimizing Parameters for Enhanced Iterative Image Reconstruction Using Extended Power Divergence" Algorithms 17, no. 11: 512. https://doi.org/10.3390/a17110512
APA StyleKojima, T., Yamaguchi, Y., Abou Al-Ola, O. M., & Yoshinaga, T. (2024). Optimizing Parameters for Enhanced Iterative Image Reconstruction Using Extended Power Divergence. Algorithms, 17(11), 512. https://doi.org/10.3390/a17110512

