Abstract
A systematic investigation of structural, mechanical, anisotropic, and electronic properties of SiC2 and SiC4 at ambient pressure using the density functional theory with generalized gradient approximation is reported in this work. Mechanical properties, i.e., the elastic constants and elastic modulus, have been successfully obtained. The anisotropy calculations show that SiC2 and SiC4 are both anisotropic materials. The features in the electronic band structures of SiC2 and SiC4 are analyzed in detail. The biggest difference between SiC2 and SiC4 lies in the universal elastic anisotropy index and band gap. SiC2 has a small universal elastic anisotropy index value of 0.07, while SiC2 has a much larger universal elastic anisotropy index value of 0.21, indicating its considerable anisotropy compared with SiC2. Electronic structures of SiC2 and SiC4 are calculated by using hybrid functional HSE06. The calculated results show that SiC2 is an indirect band gap semiconductor, while SiC4 is a quasi-direct band gap semiconductor.
Keywords:
silicon carbide; mechanical properties; electronic properties; 62.20.de; 62.20.dq; 71.20.-b PACS:
62.20.de; 62.20.dq; 71.20.-b
1. Introduction
Silicon carbide has been investigated since 1907, when Captain H. J. Round first found that silicon carbide can be used as a material for making light-emitting diodes and detectors in early radios [1,2]. SiC is a candidate of choice for high-speed, high-temperature, high-power, and high-frequency device applications because of its wonderful physical properties and electronic properties, such as wide bandgaps, high saturated electron drift velocities, high thermal conductivities, and high-breakdown electric fields. Furthermore, SiC is hard, chemically stable, and resistant to radiation damage. In addition to these extraordinary mechanical properties, SiC is also highly resistant to irradiation, which makes this material a first-choice candidate for various nuclear applications, such as a structural material in future fusion reactors [3,4]. SiC has potential applications in weighty bad circumstances due to its high chemical stability with a good resistance to corrosion. Like silicon, as a semiconductor, SiC can also be doped due to its electronic properties. Moreover, SiC is used in high-power and high-temperature devices. The combination of all these mechanical, electrical, and thermal properties makes SiC a highly sought-after material for biosensor applications [5].
Five independent elastic constants of 4H- and 6H-SiC single crystals have been determined via Brillouin scattering [6]. Elastic constants and sound velocities, calculated using first-principles calculations as a function of pressure, were presented for 2H-SiC by Sarasamaker et al. [7]. The stability and mobility of non-dissociated screw dislocations in 2H-, 4H- and 3C-SiC have been investigated using first-principles calculations. For SiC, it has in fact been shown that plasticity properties at low temperatures are mainly due to these extended defects, regarding which, very little is known. Previous optical work [8,9,10,11] on SiC has focused on the 3C and 6H polytypes because only small attention could be paid to other polytypes; however, 50-mm-thin 4H- and 6H-SiC wafers have become commercially available in recent years. The structural stability and electronic properties of the SimCn graphyne-like monolayers with 18-, 18-, 24-graphyne type structures have been systematically studied using a transferable and reliable semi-empirical Hamiltonian by Yan et al. [12]; they found that the flat SiC and SiC9 graphyne-like monolayers have semiconductor properties with an energy gap of 0.96 eV and 0.69 eV, respectively. The slightly buckled Si2C8 graphyne-like monolayer, on the other hand, behaves like a tiny gap material.
The carbon-rich, silicon-rich, and germanium-rich binary compounds have also been investigated by using density functional theory methodology [13,14,15]. Two new phases of Si8C4 and Si4C8 with P42/nm symmetry were proposed by Zhang et al. [15]; both Si8C4 and Si4C8 were proven to be dynamically and mechanically stable. The band structures of Si8C4 and Si4C8 indicate that they are both indirect semiconductors. Moreover, the density functional theory has also been successfully applied to predict the physical and chemical properties of some other binary compound materials, such as Ca-Mg [16], Si-Ge [17,18], and XBi3 (where X = B, Al, Ga, and In) [19].
Using first-principles calculations, two new SiC2 and SiC4 phases of carbon-rich silicon carbide are proposed in this paper. We propose SiC2 (space group: P42nm) and t-SiC4 (space group: P21/m), whose structures are based on t-SiCN [20] and P21/m-carbon [21], with Si substituting for C. In the present work, we will investigate the structural, chemical bonding, elastic, mechanical anisotropy, and electronic properties of SiC2 and SiC4.
2. Materials and Methods
The calculations were performed using density functional theory (DFT) [22,23], within Vanderbilt ultra-soft pseudo-potentials [24], generalized gradient approximation (GGA), in the form of Perdew–Burke–Ernzerhof (PBE) [25], PBEsol [26], and local density approximation (LDA), in the form of Ceperley and Alder data as parameterized by Perdew and Zunger (CA-PZ) [27], as implemented in the Cambridge Serial Total Energy Package (CASTEP) [28] code. C-2s22p2 and Si-3s23p2 were treated as valence electrons. The cut-off energy was selected as 400 eV, and the k-point sampling of the Brillouin zone was constructed using the Monkhorst–Pack scheme [29], with 10 × 10 × 6 and 5 × 12 × 8 grids in primitive cells of SiC2 and SiC4, respectively. The electronic properties of SiC2 and SiC4 were calculated by using the Heyd–Scuseria–Ernzerhof (HSE06) hybrid functional [30]. The equilibrium crystal structures were achieved by utilizing geometry optimization in the Broyden–Fletcher–Goldfarb–Shanno (BFGS) [31] minimization scheme. The self-consistent convergence of the total energy was 5 × 10−6 eV/atom; the maximum force on the atom was 0.01 eV/Å; the maximum ionic displacement was within 5 × 10−4 Å; and the maximum stress was within 0.02 GPa. The phonon spectra of SiC2 and SiC4 required using the linear response approach, called the density functional perturbation theory (DFPT), which is one of the most popular methods for the ab initio calculation of lattice dynamics [32].
3. Results and Discussion
The crystal structures of SiC2 and SiC4 are shown in Figure 1. There are 12 and 10 atoms in a conventional cell of SiC2 and SiC4, respectively. There are twelve atoms in the conventional cell of SiC2, with atomic positions (Fractional coordinates) of C (0.3650, 0.3650, 0.3577) and (0.3650, 0.3650, 0.1342) and Si (0, 0.5, −0.0039); there are ten atoms in the conventional cell of SiC4, with atomic positions (Fractional coordinates) of C (0.4862, 0.25, 0.6069), (0.7057, 0.75, 0.1069), (0.0263, 0.75, 0.4019), and (0.9484, 0.75, 0.0992) and Si (0.3015, 0.75, 0.1714). SiC2 has a tetragonal crystal structure, with the space group of P42nm (No. 102), while SiC4 has a monoclinic crystal structure, with the space group of P21/m (No. 11). The calculated equilibrium lattice parameters of SiC2 and SiC4 are listed in Table 1. At zero pressure, the lattice constants calculated from GGA of SiC2 are a = 4.1968 Å and c = 7.1067 Å, while the lattice parameters of SiC4 are a = 6.7550 Å, b = 2.7629 Å, c = 4.3794 Å, and β = 75.782°. The densities of SiC2 and SiC4 are 2.765 g/cm3 and 3.191 g/cm3, respectively.
Figure 1.
Unit cell crystal structures of SiC2 (a) and SiC4 (b).
Table 1.
The calculated lattice parameters and elastic moduli of SiC2, SiC4, and 3C-SiC. (Space group: SG).
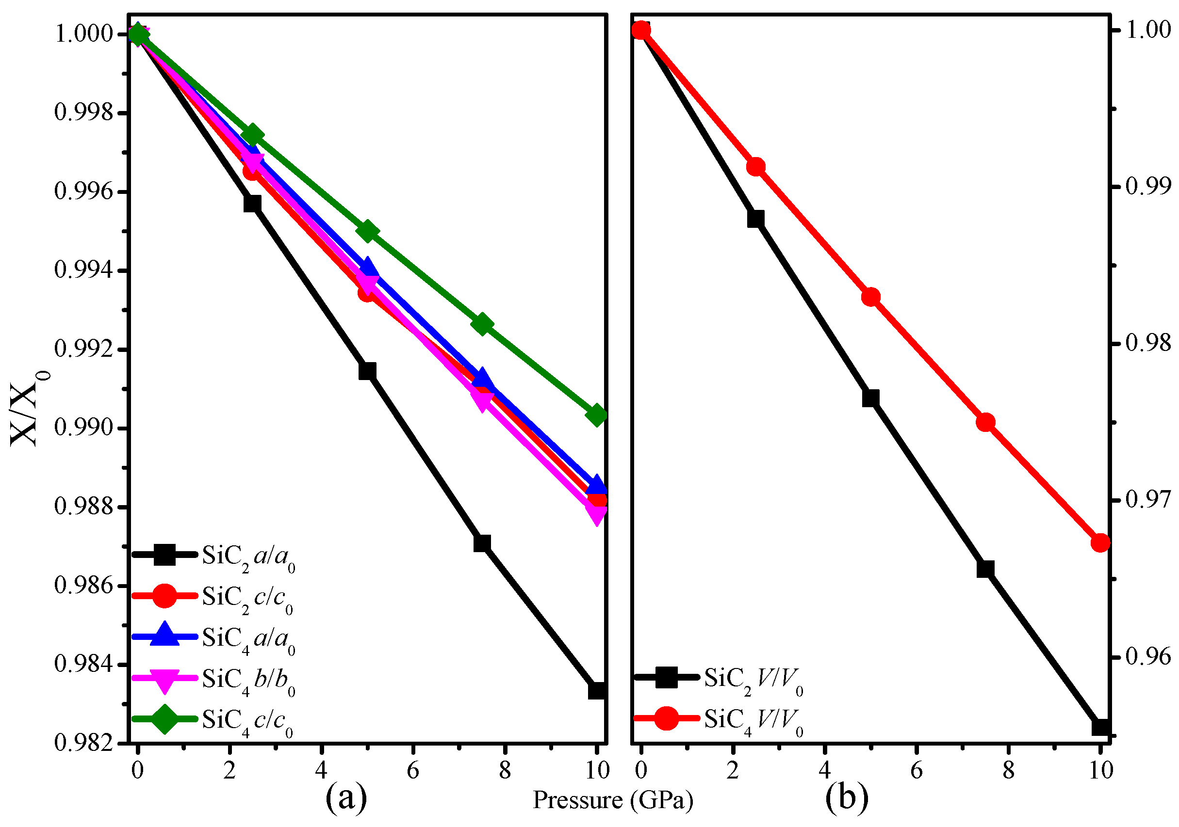
In Figure 2, we illustrate the pressure dependence of the equilibrium lattice parameters for SiC2 and SiC4 under pressure from 0 to 10 GPa. For SiC2, it can be easily observed that the compressibility along the a-axis (b-axis) is easier than along the c-axis. For SiC4, the incompressibility of the c-axis is slightly greater than that of the a-axis and b-axis. Figure 2b shows that the incompressibility of SiC4 is slightly greater than that of SiC2. SiC2 has four different bond lengths, namely, C–C bonds are 1.589 Å and 1.603 Å, while C–Si bonds are 1.905 Å and 1.906 Å. SiC4 has five different bond lengths, namely, C–C bonds are 1.562 Å, 1.615 Å and 1.633 Å, while C–Si bonds are 1.865 Å and 1.898 Å. The average C–C and C–Si bonds are 1.592 Å and 1.906 Å, 1.608 Å and 1.882 Å for SiC2 and SiC4, respectively. The C–C and C–Si bonds for diamond and SiC are 1.535 Å and 1.892 Å for comparison, respectively.
Figure 2.
The compression lattice constants a/a0, b/b0, c/c0 as functions of pressure SiC2 (a) and SiC4 (b).
The elastic constant is used to describe the mechanical resistance of crystalline materials to externally applied stresses. The calculated elastic constants of SiC2 and SiC4 are shown in Table 2. From Table 2, it is evident that both SiC2 and SiC4 are mechanically stable because the elastic constants can simultaneously satisfy all of Born’s criteria for the mechanical stability of tetragonal and monoclinic symmetry [33,34]. To ensure the stability of SiC2 and SiC4, the phonon spectra are calculated at ambient pressure (0 K and 0 GPa). Figure 3 shows the phonon dispersions of SiC2 and SiC4. There is no imaginary frequency, which means that SiC2 and SiC4 are stable at ambient pressure. The elastic constants and phonon calculation have confirmed that the predicted SiC2 and SiC4 are mechanically and dynamically stable, respectively.
Table 2.
The calculated elastic constants of SiC2, SiC4, and 3C-SiC.
Figure 3.
Phonon spectra for SiC2 (a) and SiC4 (b).
Using the Voigt–Reuss–Hill method [41,42,43], the bulk modulus (B) and shear modulus (G) are estimated [44,45]. Young’s modulus (E) and Poisson’s ratio (ν) are significant elastic parameters of materials; they are calculated using the formula E = 9BG/(3B + G) and v = (3B − 2G)/[2(3B + G)], respectively. The calculated elastic modulus and Poisson’s ratio of SiC2 and SiC4 are also shown in Table 1. For 3C-SiC, the elastic constants and elastic moduli are much closer to the experimental values; thus, we use the results within LDA to compare the big or small values of the elastic modulus. The bulk modulus, shear modulus, and Young’s modulus of SiC4 are greater than those of SiC2. The bulk modulus, shear modulus, and Young’s modulus of SiC2 are close to those of 3C-SiC. The Young’s modulus of SiC4 is much greater than that of 3C-SiC and SiC2. According to Pugh [46], a larger B/G value (B/G > 1.75) for a solid represents ductility, while a smaller B/G value (B/G < 1.75) usually means brittleness. The B/G values of SiC2 and SiC4 are 1.25 and 1.10, respectively. In other words, SiC4 is more brittle than SiC2. Poisson’s ratio is a factor for the degree of directionality of chemical bonds [47], being v = 0.1 for covalent materials and typically v = 0.25 for ionic materials [48]. In SiC2 and SiC4, the Poisson’s ratios are 0.18 and 0.15, respectively, suggesting the complex bond essence in SiC2 and SiC4.
Moreover, the hardness of SiC2 and SiC4 is calculated using Lyakhov and Oganov’s model [34]. The hardness of SiC2 and SiC4 is 33.6 and 44.0 GPa, respectively. These results match well with our previous prediction. Thus, SiC2 is a hard material, and SiC4 is a superhard material, with potential technological and industrial applications. The value of hardness of SiC, calculated using this model, is 29.3 GPa. The hardness of SiC2 and SiC4 is slightly greater than that of SiC because there is no C–C bond in SiC. The calculated and experimental hardness of diamond is 91.2 GPa [49] and 90.0 GPa [50], respectively, for comparison.
Anisotropy is the property of being directionally dependent, as opposed to isotropy, which implies identical properties in all directions. It can be defined as a difference, when measured along different axes, in a material’s physical or mechanical properties. Young’s modulus for all possible directions and the 2D representation of Young’s modulus in the xy, xz, and yz planes for SiC2 and SiC4 are shown in Figure 4a–d, respectively. For an isotropic system, the 3D directional dependence would show a spherical shape, while the deviation degree from the spherical shape reflects the content of anisotropy [51]. The Young’s modulus of SiC2 varies between 332 and 411 GPa; for SiC4, Young’s modulus varies between 476 and 688 GPa. The ratios of Emax and Emin are 1.24 and 1.45 for SiC2 and SiC4, respectively. SiC4 exhibits a larger anisotropy in its Young’s modulus than that of SiC2. Another way of measuring the elastic anisotropy is given by the universal anisotropic index (AU), which is defined as AU = 5GV/GR + BV/BR − 6, where B and G denote the bulk modulus and shear modulus, respectively, and the subscripts V and R represent the Voigt and Reuss approximations, respectively. Moreover, there must be AU greater than or equal to zero; for isotropic materials, AU must be equal to zero. The AU of SiC2 is 0.07, which shows that SiC2 exhibits a smaller anisotropy; for SiC4, the larger AU (0.21) shows a larger anisotropy.
Figure 4.
The directional dependence of Young’s modulus for SiC2 (a) and SiC4 (c); 2D representation of Young’s modulus in the xy plane, xz plane, and yz plane for SiC2 (b) and SiC4 (d).
It is well known that the electronic structure determines the fundamental physical and chemical properties of materials. The failure of LDA and GGA to accurately predict the band gaps of semiconducting materials is caused by a functional derivative discontinuity of the exchange–correlation potential, which can be avoided by using the hybrid functional. Thus, we calculate the band structure and density of states (DOS) of SiC2 and SiC4 by using the HSE06 functional, which are illustrated in Figure 5. From Figure 5, we can easily find that SiC2 and SiC4 are semiconductors with a band gap of 0.91 eV and 2.28 eV, respectively. For SiC2, the conduction band minimum (CBM) is at (0.2353 0.2353 0.5000) (Fractional coordinates) along the Z–A direction, while the valence band maximum (VBM) is located at (0.5000 0.5000 0.0714) along the A–M direction (see Figure 5a). For SiC4, CBM is at the D point, while the VBM is located at the G point (see Figure 5b). The direct gap at D is 2.34 eV, which is slightly larger than the indirect gap of 2.28 eV. Thus, SiC4 has a quasi-direct band gap. Figure 6a shows the partial density of state (PDOS) of SiC2; the PDOS is divided into three parts: the first is the energy range from −18 eV to −10 eV, where the contribution from Si-p is very small compared with that of other orbitals, and the main contributions to the upper band are from the C-s orbital. The middle band is in the range from –10 eV to 0 eV; the main contributions in this part are from the C-p orbital and Si-p orbital. The last band has energies above the Fermi level. In the upper band, the contribution from the Si-p orbital is great compared with that of other orbitals for the first place, while for the second, the contribution from the C-p orbital is great. From Figure 6b, we find that the PDOS of SiC4 is similar to that of SiC2. For the energy range from −25 eV to −15 eV, the contribution from C-s is very great compared with that from the other orbitals. For the energy range from −15 eV to 15 eV, the main contribution comes from the C-p and Si-p orbitals.
Figure 5.
Electronic band structures of SiC2 (a) and SiC4 (b). The red and blue points indicate the conduction band minimum and valence band maximum, respectively.

Figure 6.
The partial density of states of SiC2 (a) and SiC4 (b).
4. Conclusions
The structural, mechanical, anisotropic, and electronic properties of SiC2 and SiC4 have been investigated for the first time, utilizing first-principle calculations based on density functional theory. The elastic constants and phonon calculations reveal that SiC2 and SiC4 are mechanically and dynamically stable at ambient pressure. Moreover, by analyzing the B/G ratio, SiC2 and SiC4 are naturally brittle. The anisotropic calculations show that SiC2 and SiC4 are anisotropic materials and that SiC4 exhibits a greater anisotropy than SiC2. Finally, the band structure calculations predict that SiC4 is a quasi-direct band gap semiconductor, with a band gap of 2.28 eV, while SiC2 is an indirect band gap semiconductor, with a band gap of 0.91 eV.
Acknowledgments
This work was supported by the Natural Science Foundation of China (No. 61474089) and the Open Fund of Key Laboratory of Complex Electromagnetic Environment, Science and Technology, China Academy of Engineering Physics (No. 2015-0214. XY.K).
Author Contributions
Qingyang Fan and Qun Wei designed the project; Qingyang Fan, Changchun Chai, and Qun Wei performed the calculations; Qingyang Fan, Qun Wei, and Yintang Yang determined the results; Qingyang Fan and Changchun Chai wrote the manuscript.
Conflicts of Interest
The authors declare no conflict of interest.
References
- Round, H.J. A note on carborundum. Electr. World 1907, 49, 309. [Google Scholar]
- Zheludev, N. The life and times of the LED—A 100-year history. Nat. Photonics 2007, 1, 189–192. [Google Scholar] [CrossRef]
- Katoh, Y.; Snead, L.L.; Henager, C.H., Jr.; Hasegawa, A.; Kohyama, A.; Riccardi, B.; Hegeman, H. Current status and critical issues for development of SiC composites for fusion applications. J. Nucl. Mater. 2007, 659–671. [Google Scholar] [CrossRef]
- Harris, G.L. Properties of Silicon Carbide; INSPEC: London, UK; Institution of Electrical Engineers: London, UK, 1995. [Google Scholar]
- Hinoki, T.; Katoh, Y.; Snead, L.; Jung, H.C.; Ozawa, K.; Katsui, H.; Zhong, Z.H.; Kondo, S.; Park, Y.H.; Shih, C.H.; et al. Silicon carbide and silicon carbide composites for fusion reactor application. Mater. Trans. 2013, 54, 472–476. [Google Scholar] [CrossRef]
- Kamitani, K.; Grimsditch, M.; Nipko, J.C.; Loong, C.K.; Okada, M.; Kimura, I. The elastic constants of silicon carbide: A Brillouin-scattering study of 4H and 6H SiC single crystals. J. Appl. Phys. 1997, 82, 3152. [Google Scholar] [CrossRef]
- Sarasamak, K.; Limpijumnong, S.; Lambrecht, W.R.L. Pressure-dependent elastic constants and sound velocities of wurtzite SiC, GaN, InN, ZnO, and CdSe, and their relation to the high-pressure phase transition: A first-principles study. Phys. Rev. B 2010, 82, 035201. [Google Scholar] [CrossRef]
- Feldman, D.W.; Parker, J.H.; Choyke, W.J.; Patrick, L. Phonon Dispersion Curves by Raman Scattering in SiC, Polytypes 3C, 4H, 6H, 15R, and 21R. Phys. Rev. 1968, 173, 787. [Google Scholar] [CrossRef]
- Choyke, W.J.; Palik, E.D. Handbook of Optical Constants; Academic Press: New York, NY, USA, 1985; p. 587. [Google Scholar]
- Pizzagalli, L. Stability and mobility of screw dislocations in 4H, 2H and 3C silicon carbide. Acta. Mater. 2014, 78, 236. [Google Scholar] [CrossRef]
- Ninomiya, S.; Adachi, S. Optical Constants of 6H–SiC Single Crystals. Jpn. J. Appl. Phys. 1994, 33, 2479. [Google Scholar] [CrossRef]
- Yan, X.; Xin, Z.H.; Tian, L.J.; Yu, M. Structural and electronic properties of SimCn graphyne-like monolayers. Comput. Materi. Sci. 2015, 107, 8–14. [Google Scholar] [CrossRef]
- Zhang, X.D.; Ying, C.H.; Quan, S.Y.; Shi, G.M.; Li, Z.J. A first principles investigation on the structural, phonon, elastic and thermodynamic properties of the Si0.5Sn0.5 cubic alloy. Solid State Commun. 2012, 152, 955–959. [Google Scholar] [CrossRef]
- Zhang, Y.X.; Xiang, G.; Gu, G.X.; Li, R.; He, D.W.; Zhang, X. Nonlinear Concentration-Dependent Electronic and Optical Properties of Si1−xGex Alloy Nanowires. J. Phys. Chem. C 2012, 116, 17934. [Google Scholar] [CrossRef]
- Zhang, Q.; Wei, Q.; Yan, H.Y.; Fan, Q.Y.; Zhu, X.M.; Zhang, J.Q.; Zhang, D.Y. Mechanical and electronic properites of P42/mnm silicon carbides. Z. Naturforschung A 2015. [Google Scholar] [CrossRef]
- Fan, Q.Y.; Chai, C.C.; Wei, Q.; Yang, Y.T.; Qiao, L.P.; Zhao, Y.B.; Zhou, P.K.; Xing, M.J.; Zhang, J.Q.; Yao, R.H. Mechanical and electronic properties of Ca1-xMgxO alloys. Mater. Sci. Semicond. Proc. 2015, 40, 676–684. [Google Scholar] [CrossRef]
- Fan, Q.Y.; Chai, C.C.; Wei, Q.; Yang, Y.T.; Yang, Q.; Chen, P.Y.; Xing, M.J.; Zhang, J.Q.; Yao, R.H. Prediction of novel phase of silicon and Si–Ge alloys. J. Solid State Chem. 2016, 233, 471–483. [Google Scholar] [CrossRef]
- Fan, Q.Y.; Chai, C.C.; Wei, Q.; Yang, Q.; Zhou, P.K.; Xing, M.J.; Yang, Y.T. Mechanical and electronic properties of Si, Ge and their alloys in P42/mnm structure. Mater. Sci. Semicond. Proc. 2016, 43, 187–195. [Google Scholar] [CrossRef]
- Freitas, R.R.Q.; de Brito Mota, F.; Rivelino, R.; de Castilho, C.M.C.; Kakanakova-Georgieva, A.; Gueorguiev, G.K. Spin-orbit-induced gap modification in buckled honeycomb XBi and XBi3 (X = B, Al, Ga, and In) sheets. J. Phys. Condens. Matter 2015, 27, 485306. [Google Scholar] [CrossRef] [PubMed]
- Cui, L.; Wang, Q.Q.; Xu, B.; Yu, D.L.; Liu, Z.Y.; Tian, Y.J.; He, J.L. Prediction of Novel SiCN compounds: First-principles calculations. J. Phys. Chem. C 2013, 117, 21943. [Google Scholar] [CrossRef]
- Zhang, X.X.; Wang, Y.C.; Lv, J.; Zhu, C.Y.; Li, Q.; Zhang, M.; Li, Q.; Ma, Y.M. First-principles structural design of superhard materials. J. Chem. Phys. 2013, 138, 114101. [Google Scholar] [CrossRef] [PubMed]
- Hohenberg, P.; Kohn, W. Inhomogeneous electron gas. Phys. Rev. 1964, 136, B864. [Google Scholar] [CrossRef]
- Kohn, W.; Sham, L.J. Self-Consistent Equations Including Exchange and Correlation Effects. Phys. Rev. 1965, 140, A1133. [Google Scholar] [CrossRef]
- Vanderbilt, D. Soft self-consistent pseudopotentials in a generalized eigenvalue formalism. Phys. Rev. B 1990, 41, 7892R. [Google Scholar] [CrossRef]
- Perdew, J.P.; Burke, K.; Ernzerhof, M. Generalized gradient approximation made simple. Phys. Rev. Lett. 1996, 77, 3865. [Google Scholar] [CrossRef] [PubMed]
- Perdew, J.P.; Ruzsinszky, A.; Csonka, G.I.; Vydrov, O.A.; Scuseria, G.E.; Constantin, L.A.; Zhou, X.; Burke, K. Restoring the density-gradient expansion for exchange in solids and surfaces. Phys. Rev. Lett. 2008, 100, 136406. [Google Scholar] [CrossRef] [PubMed]
- Perdew, J.P.; Zunger, A. Self-interaction correction to density-functional approximations for many-electron systems. Phys. Rev. B 1981, 23, 5048–5079. [Google Scholar] [CrossRef]
- Clark, S.J.; Segall, M.D.; Pickard, C.J.; Hasnip, P.J.; Probert, M.I.J.; Refson, K.; Payne, M.C. First principles methods using CASTEP. Z. Kristallogr. 2005, 220, 567–570. [Google Scholar] [CrossRef]
- Monkhorst, H.J.; Pack, J.D. Special points for Brillouin-zone integrations. Phys. Rev. B 1976, 13, 5188–5192. [Google Scholar] [CrossRef]
- Krukau, A.V.; Vydrov, O.A.; Izmaylov, A.F.; Scuseria, G.E. Influence of the exchange screening parameter on the performance of screened hybrid functionals. J. Chem. Phys. 2006, 125, 224106. [Google Scholar] [CrossRef] [PubMed]
- Pfrommer, B.G.; Côté, M.; Louie, S.G.; Cohen, M.L. Relaxation of crystals with the Quasi-Newton method. J. Comput. Phys. 1997, 131, 233–240. [Google Scholar] [CrossRef]
- Baroni, S.; de Gironcoli, S.; dal Corso, A.; Giannozzi, P. Phonons and related crystal properties from density-functional perturbation theory. Rev. Mod. Phys. 2001, 73, 515. [Google Scholar] [CrossRef]
- Wu, Z.H.; Zhao, E.J.; Xiang, H.P.; Hao, X.F.; Liu, X.J.; Meng, J. Crystal structures and elastic properties of superhard IrN2 and IrN3 from first principles. Phys. Rev. B 2007, 76, 054115. [Google Scholar] [CrossRef]
- Fan, Q.Y.; Wei, Q.; Yan, H.Y.; Zhang, M.G.; Zhang, D.Y.; Zhang, J.Q. A New Potential Superhard Phase of OsN2. Acta Phys. Pol. A 2014, 126, 740–746. [Google Scholar] [CrossRef]
- Karch, K.; Pavone, P.; Windl, W.; Schutt, O.; Strauch, D. Ab initio calculation of structural and lattice-dynamical properties of silicon carbide. Phys. Rev. B 1994, 50, 17054. [Google Scholar] [CrossRef]
- Madelung, O.; Rossler, U.; Schulz, M. Group IV Elements, IVIV and III-V Compounds. Part B; Springer: Berlin, Germamy, 2002; pp. 1–11. [Google Scholar]
- Lee, D.H.; Joannopoulos, J.D. Simple Scheme for Deriving Atomic Force Constants: Application to SiC. Phys. Rev. Lett. 1982, 48, 1846. [Google Scholar] [CrossRef]
- Madelung, O. Physics of Group IV and III–V Compounds, Group III, Part. A; Springer: Berlin, Germany, 1982. [Google Scholar]
- Carnahan, R.D. Elastic Properties of Silicon Carbide. J. Am. Ceram. Soc. 1968, 51, 223–224. [Google Scholar] [CrossRef]
- Lambrecht, W.R.L.; Segall, B.; Methfessel, M.; van Schilfgaarde, M. Calculated elastic constants and deformation potentials of cubic SiC. Phys. Rev. B 1991, 44, 3685. [Google Scholar] [CrossRef]
- Voigt, W. Lehrburch der Kristallphysik; Teubner: Leipzig, Germany, 1928. [Google Scholar]
- Reuss, A. Berechnung der Fließgrenze von Mischkristallen auf Grund der Plastizitätsbedingung für Einkristalle. J. Appl. Math. Mech. 1929, 9, 49–58. [Google Scholar] [CrossRef]
- Hill, R. The elastic behaviour of a crystalline aggregate. Phys. Soc. Lond. Sect. A 1952, 65, 349. [Google Scholar] [CrossRef]
- Ding, Y.C.; Chen, M.; Gao, X.Y.; Jiang, M.H. Theoretical investigation on the electronic structure, elastic properties, and intrinsic hardness of Si2N2O. Chin. Phys. B 2012, 21, 067101. [Google Scholar] [CrossRef]
- Watt, J.P.; Peselnick, L. Clarification of the Hashin-Shtrikman bounds on the effective elastic moduli of polycrystals with hexagonal, trigonal, and tetragonal symmetries. J. Appl. Phys. 1980, 51, 1525. [Google Scholar] [CrossRef]
- Pugh, S.F. Relations between the elastic moduli and the properties of polycrystalline pure plastic metals. Lond. Edinb. Dublin Philos. Mag. J. Sci. 1954, 45, 823–843. [Google Scholar] [CrossRef]
- Korozlu, N.; Colakoglu, K.; Deligoz, E.; Aydin, S. The elastic and mechanical properties of MB12 (M = Zr, Hf, Y, Lu) as a function of pressure. J. Alloys Compd. 2013, 546, 157–164. [Google Scholar] [CrossRef]
- Özişik, H.; Çiftci, Y.; Çolakoglu, K.; Deligöz, E. The structural, elastic and vibrational properties of the DyX (X = P, As) compounds. Phys. Scr. 2011, 83, 035601. [Google Scholar] [CrossRef]
- Lyakhov, A.O.; Oganov, A.R. Evolutionary search for superhard materials: Methodology and applications to forms of carbon and TiO2. Phys. Rev. B 2011, 84, 092103. [Google Scholar] [CrossRef]
- Brookes, C.A.; Brookes, E.J. Diamond in perspective: A review of mechanical properties of natural diamond. Diamond Relat. Mater. 1991, 1, 13–17. [Google Scholar] [CrossRef]
- Hu, W.C.; Liu, Y.; Li, D.J.; Zeng, X.Q.; Xu, C.S. First-principles study of structural and electronic properties of C14-type Laves phase Al2Zr and Al2Hf. Comput. Mater. Sci. 2014, 83, 27–34. [Google Scholar] [CrossRef]
© 2016 by the authors; licensee MDPI, Basel, Switzerland. This article is an open access article distributed under the terms and conditions of the Creative Commons Attribution (CC-BY) license (http://creativecommons.org/licenses/by/4.0/).






