Next Article in Journal
Film Growth Rates and Activation Energies for Core-Shell Nanoparticles Derived from a CVD Based Aerosol Process
Next Article in Special Issue
Structure and Transport Properties of the BiCuSeO-BiCuSO Solid Solution
Previous Article in Journal
A Critical Review of Dental Implant Materials with an Emphasis on Titanium versus Zirconia
Previous Article in Special Issue
Recent Progress on PEDOT-Based Thermoelectric Materials
 
 
Font Type:
Arial Georgia Verdana
Font Size:
Aa Aa Aa
Line Spacing:
Column Width:
Background:
Article

Fe-Doping Effect on Thermoelectric Properties of p-Type Bi0.48Sb1.52Te3

1
Department of Energy Science, Sungkyunkwan University, Suwon 440-746, Korea
2
Department of Nano Applied Engineering, Kangwon National University, Chuncheon 200-701, Korea
3
School of Energy, Materials and Chemical Engineering, Korea University of Technology and Education, Cheonan 330-708, Korea
4
Icheon Branch, Korea Institute of Ceramic Engineering and Technology, Icheon 467-843, Korea
5
Department of Electrical Engineering, Kwangwoon University, Seoul 139-701, Korea
6
Electrochemistry Department, Korea Institute of Materials Science, Changwon 641-010, Korea
7
Materials R&D Center, Samsung Advanced Institute of Technology, Samsung Electronics, Suwon 443-370, Korea
*
Authors to whom correspondence should be addressed.
These authors contributed equally to this work.
Materials 2015, 8(3), 959-965; https://doi.org/10.3390/ma8030959
Submission received: 9 January 2015 / Revised: 17 February 2015 / Accepted: 26 February 2015 / Published: 5 March 2015
(This article belongs to the Special Issue Low-Dimensional Anisotropic Thermoelectrics)

Abstract

:
The substitutional doping approach has been shown to be an effective strategy to improve ZT of Bi2Te3-based thermoelectric raw materials. We herein report the Fe-doping effects on electronic and thermal transport properties of polycrystalline bulks of p-type Bi0.48Sb1.52Te3. After a small amount of Fe-doping on Bi/Sb-sites, the power factor could be enhanced due to the optimization of carrier concentration. Additionally, lattice thermal conductivity was reduced by the intensified point-defect phonon scattering originating from the mass difference between the host atoms (Bi/Sb) and dopants (Fe). An enhanced ZT of 1.09 at 300 K was obtained in 1.0 at% Fe-doped Bi0.48Sb1.52Te3 by these synergetic effects.

Graphical Abstract

1. Introduction

The thermoelectric (TE) effect is the direct conversion of temperature difference to electric energy and vice-versa. Thus, it can be used to measure temperature, to cool objects, to heat them, or to generate electricity. However, current applications of TE devices are limited to small-scale refrigeration, high density cooling, or precise temperature control systems, mainly due to the low conversion efficiency of TE materials, which is evaluated in terms of a dimensionless figure merit ZT (=σS2T/κ, where σ is the electrical conductivity; S is the Seebeck coefficient; and κ is the total thermal conductivity at a given absolute temperature T).
Bi2Te3-based alloys (p-type Bi2–xSbxTe3 and n-type Bi2Te3–ySey) are the best TE materials near to room temperature, and are widely used for cooling applications. The compositions of commercialized p-type and n-type ingots are near Bi0.5Sb1.5Te3 and Bi2Te2.7Se0.3, respectively, and their ZT values are about 1.0 at 300 K [1,2]. Their polycrystalline bulk forms, especially for p-type materials, have been also developed because of the enhanced ZT and mechanical properties. For example, Xie et al. reported that enhanced ZT of 1.1 at 300 K could be obtained in polycrystalline Bi0.52Sb1.48Te3 made from pulverized ingot by spark plasma sintering (SPS) [3]. However, this material cannot be used for TE cooling module due to its low σ value (~670 S·cm−1 at 300 K). For cooling application, σ value at 300 K should be controlled in value above 900 S·cm−1 to optimize the heat balance among Peltier heat, Joule heat, and heat conduction.
It is well experimentally established that the σ values of p-type Bi2–xSbxTe3 can be controlled by adjusting the ratio of Bi to Sb; σ values at 300 K could be controlled from 670 S·cm−1 (Bi0.52Sb1.48Te3) [3] to 1040 S·cm−1 (Bi0.4Sb1.6Te3) [4] in polycrystalline bulks. By this compositional tuning, we could obtain simultaneously enhanced ZT (~1.07 at 360 K) and appropriate σ (~980 S·cm−1 at 300 K) in Bi0.42Sb1.58Te3. This material is a promising candidate for the application of TE power generation from low grade heat (<100 °C) because the maximum ZT temperature shifts from 300 K to 360 K. Another approach to control σ value of Bi2–xSbxTe3 is substitutional doping on Bi/Sb-site, which causes variation in carrier concentration (n) and/or modification of the density of states (DOS) [4,5,6,7,8].
In the present study, Fe-doped Bi0.48Sb1.52Te3 (Fe-B0.48ST, Bi0.48Sb1.52–xFexTe3, x = 0, 0.01, 0.02, 0.04) polycrystalline bulks were prepared by melting and SPS technique in order to clarify the effect of Fe-doping on the transport properties of p-type Bi0.48Sb1.52Te3 (BST). We investigated their TE properties and demonstrated the origin of the enhancement of electronic and thermal transport properties.

2. Results and Discussion

Figure 1a represents the schematic structure of Bi2Te3-based TE alloys. Five atomic planes of Te(Se)-Bi(Sb)-Te(Se)-Bi(Sb)-Te(Se) compose quintuple layer (QL) along the c-axis. Because of the weak van der Waals bonding between QLs, Bi2Te3-based alloys can be preferentially grown into 2-dimensional structures by controlled crystal growth technique. Figure 1b shows the X-ray diffraction (XRD) patterns for ZM-BST sample in the plane parallel to the growth direction and for BST and Fe-BST samples in the planes perpendicular to the SPS press direction, respectively, as shown in the insets of Figure 1b.
Figure 1. (a) Crystal structure of Bi2Te3-based thermoelectric materials; (b) X-ray diffraction (XRD) patterns of the zone-melted ingot of Bi0.48Sb1.52Te3 (ZM-BST) sample in the plane parallel to the growth direction and for BST and Fe-BST samples in the planes perpendicular to the spark plasma sintering (SPS) press direction.
Figure 1. (a) Crystal structure of Bi2Te3-based thermoelectric materials; (b) X-ray diffraction (XRD) patterns of the zone-melted ingot of Bi0.48Sb1.52Te3 (ZM-BST) sample in the plane parallel to the growth direction and for BST and Fe-BST samples in the planes perpendicular to the spark plasma sintering (SPS) press direction.
Materials 08 00959 g001
For all samples, the structure is of the rhombohedral R 3 ¯ m . No other diffraction peaks corresponding to secondary or other structural phases are detected in ZM-BST, BST, and 0.5 at% and 1.0 at% Fe-BSTs, while a small amount of impurity peaks were found in 2.0 at% Fe-BST. As shown in Figure 1b, there is significant orientation in ZM-BST. The relative intensities of the {00l} planes including (009), (0015), (0018), and (0021) are much stronger than those of polycrystalline samples (BST and Fe-BSTs). We calculated the ratios I(0015)/I(015) of the integrated intensity of (0015) to (015) and represented them in the inset of Figure 1b to evaluate the grain orientation anisotropy [9]. All samples show the anisotropy in crystal structure; however, the degree of anisotropic orientation is not significant in SPS consolidated polycrystalline samples. The I(0015)/I(015) value for ZM-BST (616.7%) is much higher than those for BST and Fe-BSTs (6.3%–8.2%). Figure 2a,b shows the SEM images of the fractured surface of SPS consolidated BST and 2.0 at% Fe-BST samples, respectively. From the SEM images, we find that they are consistent with the XRD result: (1) a few plate-like grains with preferred orientation are clearly observed, which suggests the increased intensities of the {00l} planes and (2) a small amount of secondary phase is observed in 2.0 at% Fe-BST (arrows). The average grain size is about 5–10 μm even though there are many grains smaller than 5 μm.
Figure 2. SEM images of fractured surface of (a) BST and (b) 2.0 at% Fe-BST samples.
Figure 2. SEM images of fractured surface of (a) BST and (b) 2.0 at% Fe-BST samples.
Materials 08 00959 g002
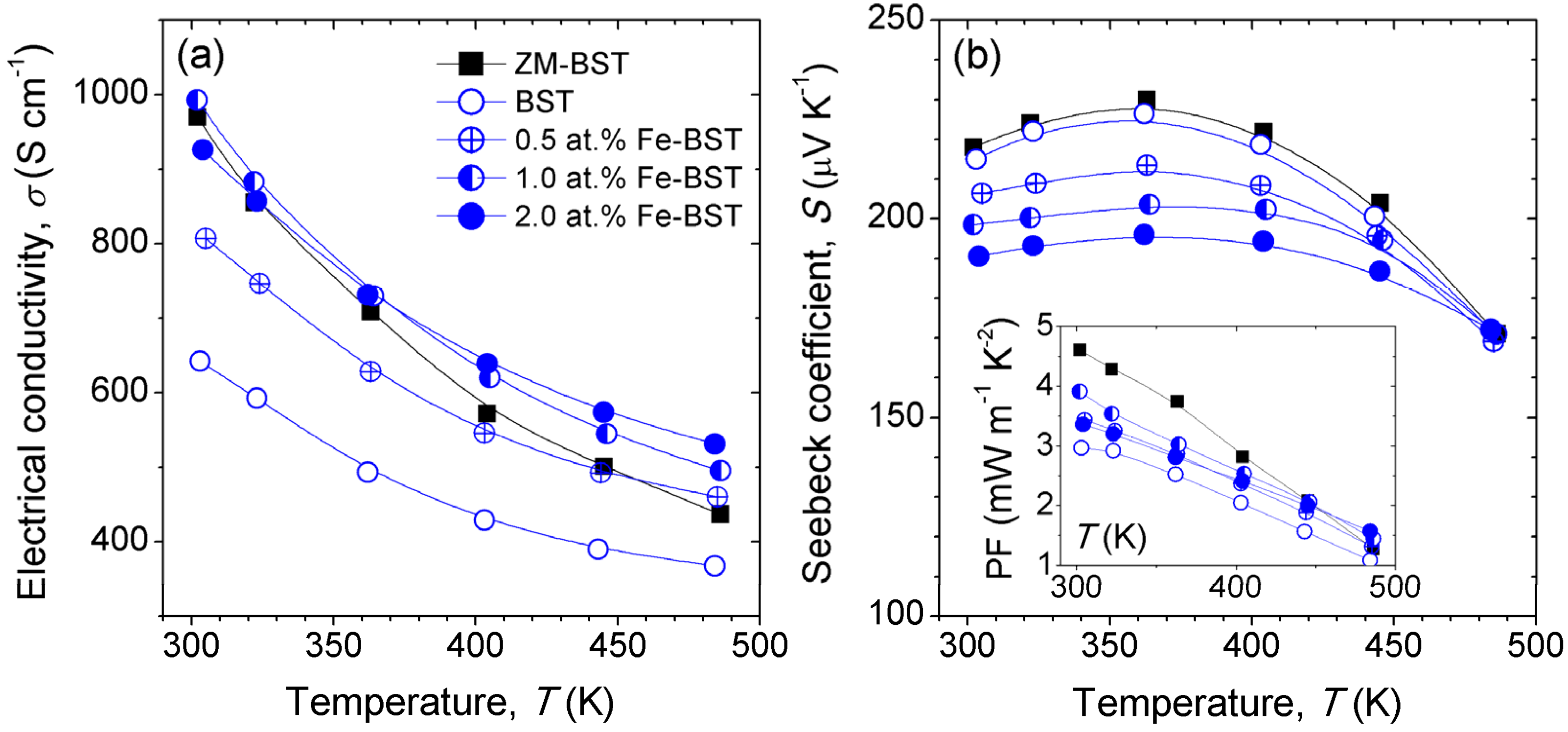
In order to clarify the effects of Fe-doping on TE properties of BST, we measured the electronic transport properties. Figure 3 shows the temperature dependence of σ and S values for ZM-BST, reference BST, and Fe-BST samples. The value of σ at 300 K for ZM-BST is about 970 S·cm−1, while that for BST is 640 S·cm−1. Because the n value of ZM-BST (~2.36 × 1019 cm−3) is almost same as that of BST (~2.47 × 1019·cm−3), higher σ value of ZM-BST mainly due to the higher μ (~256 cm2·V−1·s−1) than that of BST (~161 cm2·V−1·s−1) originated from the significant anisotropy. On the other hand, σ values of BST increases with increasing amount of Fe-doping, suggesting that Fe acts as scattering center for electron conduction, while rather decreases in 2.0 at% Fe-BST owing to the decrease in μ (~130 cm2·V−1·s−1) in the presence of secondary phases. Comparable σ value of 993 S·cm−1 to that of ZM-BST (970 S·cm−1) can be obtained in polycrystalline Fe-BST by doping of 1.0 at% Fe. Figure 3b shows the temperature dependence of S for ZM-BST, reference BST, and Fe-BST samples. The S values of the Fe-BSTs decreases with increasing Fe-doping content because of the increase in n (3.12 × 1019 cm−3 for 0.5 at% Fe-BST, 3.78 × 1019 cm−3 for 1.0 at% Fe-BST, and 4.38 × 1019 cm−3 for 2.0 at% Fe-BST), while exhibit a moderate decrease with temperature especially above 360 K. The power factor (PF, σ·S2) values increase by Fe-doping with the tuning of n. For SPS consolidated samples, the largest PF value of 3.91 mW·m−1·K−2 at 300 K is obtained in 1.0 at% Fe-BST (inset of Figure 3b).
Figure 3. Temperature dependence of (a) the electrical conductivity (σ) and (b) the Seebeck coefficient (S) of ZM-BST, BST, and Fe-BTS samples. Inset shows the power factor (σ·S2) values.
Figure 3. Temperature dependence of (a) the electrical conductivity (σ) and (b) the Seebeck coefficient (S) of ZM-BST, BST, and Fe-BTS samples. Inset shows the power factor (σ·S2) values.
Materials 08 00959 g003
Figure 4a shows the temperature dependence of the κ for ZM-BST, reference BST, and Fe-BST samples. We evaluated the κlat values, and represented them in Figure 4a. The κlat values were calculated by subtraction of κele from the total κ (κlat = κκele, where κele is the electronic contribution of thermal conduction), and the κele values was estimated using the Wiedemann-Franz law, κele = L0T σ, in which L0 denotes the Lorenz number, taken to be 2 × 10−8 W·Ω·K−2, a value reasonable for Bi2Te3-based TE materials. Room temperature values of κlat, ranging from 0.49 W·m−1·K−1 to 0.53 W·m−1·K−1, are found for Fe-BST samples. In comparison with reference BST (κlat ≈ 0.57 W·m−1·K−1 at 300 K), κlat decreases over 7% in the whole measured temperature range (300 K–480 K) by substitutional doping of Fe on Bi/Sb-site. This suggests that point-defect phonon scattering by mass difference between host atoms (Bi/Sb) and dopants (Fe) [10].
Figure 4. Temperature dependence of (a) the thermal conductivity (κ) and lattice thermal conductivity (κlat) and (b) dimensionless of figure of merit ZT of ZM-BST, BST, and Fe-BTS samples.
Figure 4. Temperature dependence of (a) the thermal conductivity (κ) and lattice thermal conductivity (κlat) and (b) dimensionless of figure of merit ZT of ZM-BST, BST, and Fe-BTS samples.
Materials 08 00959 g004
Figure 4b presents the temperature dependence of ZT for ZM-BST, reference BST, and Fe-BST samples. The ZT value at 300 K of 1.0, which is comparable to commercial p-type ingot, is obtained in ZM-BST. For polycrystalline bulk samples, peak ZT value is 1.09, which shows a 16% increase for 1.0 at% Fe-BST at 300 K compared to the reference BST sample. This high ZT value is thought to be a result of synergetic effects, including PF enhancement by tuning of n and κlat reduction by intensified point-defect phonon scattering.

3. Experimental Section

High-purity elemental Bi (99.999%, 5N Plus), Sb (99.999%, 5N Plus), Te (99.999%, 5N Plus), and Fe (99.999%, Sigma Aldrich) as starting materials. The zone-melted ingot of Bi0.48Sb1.52Te3 (ZM-BST) was prepared using Bridgman method. According to the formula of BST and 4 wt% excess Te, the mixed elements were loaded into quartz tube of 14 mm in diameter and vacuum sealed under 10−4 torr. Quartz tube was placed in the vertical gradient furnace, then the temperature of the hot zone was increased to 1073 K. After this, the quartz tube was slowly pulled down at the rate of 0.2 mm·h−1. The ZM-BST of 30 mm in length was obtained. The source ingots for BST and Fe-BST powders were fabricated by the conventional melting and quenching techniques. Quartz tubes containing the stoichiometric mixed elements were vacuum sealed and the contents were melted in a box furnace for 10 h at 1073 K for BST and 1273 K for Fe-BST, respectively, then water quenched. The ingots were ground using ball mill and consolidated by SPS using graphite die (diameter = 11 mm) under dynamic vacuum and with the application of 50 MPa of uniaxial pressure at 703 K. The relative densities of the SPS consolidated samples (11 mm in diameter and 13 mm in thickness) were found to range from 6.62 to 6.74 g·cm−3 (>96% of the theoretical value). X-ray diffraction (D/MAX-2500/PC, Rigaku, Sendagaya, Japan) analysis was performed for bulk samples to clarify the phase formation behavior. Room temperature Hall effect measurements were carried out in a constant magnetic field (1 T) and electric current (50 mA) using Keithley 7065 system. The bulk samples were structurally evaluated by performing scanning electron microscopy (SEM) using a JSM-7600F (JEOL, Akishima, Japan). The S and σ values from 300 K to 480 K were measured using a ZEM-3 system (ULVAC-RIKO, Yokohama, Japan). The κ values (κ = ρsCpλ) were calculated separated measurements of sample density (ρs), heat capacity (Cp), and thermal diffusivity (λ):Cp values obtained using a PPMS (Quantum Design physical properties measurement system) were almost constant ~0.187 J·g−1·K−1 and λ values were collected by a laser-flash method (TC-9000, ULVAC-RIKO, Yokohama, Japan). We measured all TE properties in the perpendicular to the SPS press direction for polycrystalline BST and Fe-BST samples and in the parallel to the growth direction for ZM-BST sample.

4. Conclusions

In the present study, we fabricated the polycrystalline bulks of p-type Fe-doped Bi0.48Sb1.52Te3 by conventional melting and spark plasma sintering technique, and investigated their thermoelectric transport properties. The electronic transport properties including electrical conductivity and Seebeck coefficient of Bi0.48Sb1.52Te3 could be optimized by controlled doping of Fe on Bi/Sb-sites. Simultaneously, reduced lattice thermal conductivity was observed by the intensified phonon-defect phonon scattering in the presence of substitutional Fe impurities. Thus, the enhanced ZT of 1.09 was obtained at 300 K in Bi0.48Sb1.52Te3-based materials.

Acknowledgments

This work was supported by the Human Resources Development program (No. 20124010203270) of the Korea Institute of Energy Technology Evaluation and Planning (KETEP) grant funded by the Korea government Ministry of Trade, Industry and Energy and R&D Convergence Program (Grant B551179-12-02-00) of MSIP (Ministry of Science, ICT and Future Planning) and NST (National Research Council of Science and Technology) of Republic of Korea. Jeong Hoon Lee is supported by a Research Grant from Kwangwoon University in 2014.

Author Contributions

Jong Wook Roh and Sung Wng Kim organized the research; Hyeona Mun and Kyu Hyoung Lee performed the experiments and wrote the manuscript; Suk Jun Kim, Jong-Young Kim performed data analysis; Jeong Hoon Lee, Jae-Hong Lim, and Hee Jung Park discussed the experiments and the manuscript.

Conflicts of Interest

The authors declare no conflict of interest.

References

  1. Poudel, B.; Hao, Q.; Ma, Y.; Lan, Y.; Minnich, A.; Yu, B.; Yan, X.; Wang, D.; Muto, A.; Vashaee, D.; et al. High-thermoelectric performance of nanostructured bismuth antimony telluride bulk alloys. Science 2008, 320, 634–638. [Google Scholar] [CrossRef]
  2. Snyder, G.; Toberer, E. Complex thermoelectric materials. Nat. Mater. 2008, 7, 105–114. [Google Scholar] [CrossRef] [PubMed]
  3. Xie, W.; Tang, X.; Yan, Y.; Zhang, Q.; Tritt, T.M. Unique nanostructures and enhanced thermoelectric performance of melt-spun BiSbTe alloys. Appl. Phys. Lett. 2009, 94. [Google Scholar] [CrossRef]
  4. Lee, K.; Hwang, S.; Ryu, B.; Ahn, K.; Roh, J.; Yang, D.; Lee, S.; Kim, H.; Kim, S. Enhancement of the thermoelectric performance of Bi0.4Sb1.6Te3 alloys by In and Ga doping. J. Electron. Mater. 2013, 42, 1617–1621. [Google Scholar] [CrossRef]
  5. Cui, J.L.; Xue, H.F.; Xiu, W.J. Microstructures and thermoelectric properties of p-type pseudo-binary AgxBi0.5Sb1.5–xTe3 (x = 0.05–0.4) alloys prepared by cold pressing. Mater. Lett. 2006, 60, 3669–3672. [Google Scholar] [CrossRef]
  6. Cui, J.L.; Xue, H.F.; Xiu, W.J.; Yang, W.; Xu, X.B. Thermoelectric properties of Cu-doped p-type pseudo-binary CuxBi0.5Sb1.5–xTe3 (x = 0.05–0.4) alloys prepared by spark plasma sintering. Scripta Mater. 2006, 55, 371–374. [Google Scholar] [CrossRef]
  7. Lee, J.K.; Park, S.D.; Kim, B.S.; Oh, M.W.; Cho, S.H.; Min, B.K.; Lee, H.W.; Kim, M.H. Control of thermoelectric properties through the addition of Ag in the Bi0.5Sb1.5Te3 alloy. Electron. Mater. Lett. 2010, 6, 201–207. [Google Scholar] [CrossRef]
  8. Lv, H.Y.; Kiu, H.J.; Pan, L.; Wen, Y.W.; Tan, X.J.; Shi, J.; Tang, X.F. Enhanced thermoelectric performance of (Sb0.75Bi0.25)2Te3 compound from first-principles calculations. Appl. Phys. Lett. 2010, 96. [Google Scholar] [CrossRef]
  9. Yan, X.; Poudel, B.; Ma, Y.; Liu, W.; Joshi, G.; Wang, H.; Lan, Y.; Wang, D.; Chen, G.; Ren, Z. Experimental studies on anisotropic thermoelectric properties and structures of n-Type Bi2Te2.7Se0.3. Nano Lett. 2010, 10, 3373–3378. [Google Scholar] [CrossRef] [PubMed]
  10. Goldsmid, H.J. Recent studies of bismuth telluride and its alloys. J. Appl. Phys. 1961, 32, 2198–2202. [Google Scholar] [CrossRef]

Share and Cite

MDPI and ACS Style

Mun, H.; Lee, K.H.; Kim, S.J.; Kim, J.-Y.; Lee, J.H.; Lim, J.-H.; Park, H.J.; Roh, J.W.; Kim, S.W. Fe-Doping Effect on Thermoelectric Properties of p-Type Bi0.48Sb1.52Te3. Materials 2015, 8, 959-965. https://doi.org/10.3390/ma8030959

AMA Style

Mun H, Lee KH, Kim SJ, Kim J-Y, Lee JH, Lim J-H, Park HJ, Roh JW, Kim SW. Fe-Doping Effect on Thermoelectric Properties of p-Type Bi0.48Sb1.52Te3. Materials. 2015; 8(3):959-965. https://doi.org/10.3390/ma8030959

Chicago/Turabian Style

Mun, Hyeona, Kyu Hyoung Lee, Suk Jun Kim, Jong-Young Kim, Jeong Hoon Lee, Jae-Hong Lim, Hee Jung Park, Jong Wook Roh, and Sung Wng Kim. 2015. "Fe-Doping Effect on Thermoelectric Properties of p-Type Bi0.48Sb1.52Te3" Materials 8, no. 3: 959-965. https://doi.org/10.3390/ma8030959

APA Style

Mun, H., Lee, K. H., Kim, S. J., Kim, J.-Y., Lee, J. H., Lim, J.-H., Park, H. J., Roh, J. W., & Kim, S. W. (2015). Fe-Doping Effect on Thermoelectric Properties of p-Type Bi0.48Sb1.52Te3. Materials, 8(3), 959-965. https://doi.org/10.3390/ma8030959

Article Metrics

Back to TopTop