Abstract
The thermoelectric properties of poly(3,4-ethylenedioxythiophene) (PEDOT)-based materials have attracted attention recently because of their remarkable electrical conductivity, power factor, and figure of merit. In this review, we summarize recent efforts toward improving the thermoelectric properties of PEDOT-based materials. We also discuss thermoelectric measurement techniques and several unsolved problems with the PEDOT system such as the effect of water absorption from the air and the anisotropic thermoelectric properties. In the last part, we describe our work on improving the power output of thermoelectric modules by using PEDOT, and we outline the potential applications of polymer thermoelectric generators.
1. Introduction
Thermoelectric (TE) devices are promising candidates for harvesting waste heat and solar thermal energy [1]. Previous studies of TE materials have mainly investigated inorganic materials such as bismuth-telluride (Bi-Te) and metal oxides [2]. Most of these inorganic TE materials show their optimum performance at temperatures higher than 200 °C. However, there is a huge amount of waste heat, that is at temperatures lower than 150 °C [3]. At such low temperatures, the energy conversion efficiency is low because of the small achievable temperature difference suggested by the Carnot cycle. To harvest the huge amount of thermal energy available at low temperatures, ideal materials should be cheap to produce, flexible, and suitable for large-area fabrication. Organic semiconductors meet these requirements.
Studies of the TE properties of organic semiconductors, such as the Seebeck effect, have been conducted previously. The Seebeck effect has been used as a physical parameter to determine the carrier type and relative carrier concentration in organic conducting materials such as polyaniline, polypyrrole, and polythiophene [4,5,6]. Recent studies of organic electronics, including organic solar cells and transistors, have improved the physical and chemical properties of organic conducting polymers [7]. They can now be tuned over a wide range, which may make them suitable for other energy conversion technologies such as TE devices. Poly(3,4-ethylenedioxythiophene):poly(styrenesulfonate) (PEDOT:PSS) is the most studied conducting polymer because it shows high electrical conductivity when a suitable second solvent, such as ethylene glycol (EG) or dimethyl sulfoxide (DMSO), is added to an aqueous dispersion [8,9,10]. Furthermore, PEDOT:PSS is commercially available on a large scale. In situ synthesized PEDOT:tosylate (tos) has also been widely studied because of its easy fabrication and good electrical performance [11,12,13,14,15].
In this review, we report recent progress in TE studies concerning the PEDOT system, one of the most promising organic materials for large-area TE devices designed to function around room temperature. We start from the origin of the high electrical conductivity of the PEDOT system. Then, we summarize the recent TE performance of PEDOT systems. Finally, we present our PEDOT:PSS module fabrication and outline the potential applications of organic TE devices.
2. Basis of the PEDOT System and the Origin of Its High Electrical Conductivity
Elschner et al. from H.C. Starck Clevios have published a comprehensive book covering the history of PEDOT and technical details of its synthesis [16]. In this paper, we mainly describe recent progress in improving the electrical conductivity of this system.
Figure 1a shows the chemical structure of PEDOT. The synthesis of PEDOT was first reported in 1988 [17]. It was designed and synthesized as a conducting polymer that is stable toward moisture and oxygen; existing conducting polymers, such as polyacetylene, polyaniline, and polypyrrole, exhibited low atmospheric stability, which limited their applications. The most common synthetic route to PEDOT is oxidative polymerization from 3,4-ethylenedioxythiophene (EDOT). Conductive PEDOT carries positive charges; therefore, counterions, such as chloride (Cl−), perchlorate (ClO4−), tos (Figure 1b), and polystyrene sulfonate (PSS; Figure 1c), were present in all oxidized forms of PEDOT for charge balancing. Normally, these counterions are called dopants, although these counterions cannot oxidize PEDOT, and a simple mixture of PEDOT and the counterions does not change the doping state. P-type doping in organic semiconductors is an oxidation reaction, and thus the actual dopants are oxidants, such as Fe3+, that are removed after synthesis.
Generally, conductive PEDOT films can be formed by two methods. The first method is the synthesis of the PEDOT during film formation, which is called in situ polymerization. A typical example is PEDOT:tos, which is synthesized using Fe(tos)3 as an oxidant. The highest electrical conductivity reported for a thin film of PEDOT:tos was 4300 S/cm [18]. Recently, single-crystalline PEDOT nanowires were synthesized under geometrically confined conditions using patterned substrates, and a high electrical conductivity of 8797 S/cm was achieved [19]. Metallic behavior of the in situ polymerized PEDOT films was also reported [20].
Figure 1.
Molecular structures of (a) poly(3,4-ethylenedioxythiophene) (PEDOT), (b) tosylate (tos), and (c) poly(styrenesulfonate) (PSS).
Figure 1.
Molecular structures of (a) poly(3,4-ethylenedioxythiophene) (PEDOT), (b) tosylate (tos), and (c) poly(styrenesulfonate) (PSS).

The second method of forming conductive PEDOT films is coating from a stable PEDOT dispersion. This approach is limited to using PEDOT:PSS because it is the only stable PEDOT dispersion commercially available on a large scale [16]. There are different grades of PEDOT:PSS depending on the application. Grades Al4083 and PH1000 from Heraeus (Hanau, Germany) are commonly used. Al4083 was widely used as a hole-transporting layer in organic solar cells and organic light-emitting diodes. PH1000 exhibits the highest electrical conductivity and could be used as an alternative to indium tin oxide as a transparent conducting substrate. For solution-processed PEDOT:PSS films, the addition of a high boiling point solvent, such as EG or DMSO, can increase the electrical conductivity of the film [8,9,10]. PH1000 achieved an electrical conductivity of up to 1000 S/cm. Takano et al. used synchrotron X-ray diffraction to observe the formation of PEDOT nanocrystals after cosolvents were added [21]. We focused on the film structure and reported why the addition of EG can significantly increase the electrical conductivity of PH1000 based on morphological studies using grazing-incidence wide-angle X-ray diffraction (GIWAXD) and grazing-incidence small-angle X-ray scattering (GISAXS) [22]. GIWAXD indicated that the average crystal size was increased by adding EG to the solution. PEDOT showed face-on packing, and the π-conjugated planes of the PEDOT crystal were more vertical with respect to the substrate. GISAXS suggested that the addition of EG increased the order of the PEDOT nanocrystals; these nanocrystals form a layered structure. The results showed that the cosolvent helps to improve the crystallinity and ordering of the PEDOT nanocrystals in solid films (Figure 2). The carrier mobility and carrier density in highly conductive PEDOT are very important parameters for improving the material performance; however, these parameters have remained relatively unexplored in solid PEDOT films. This is probably because of the high carrier density in PEDOT and mobile ions such as H+ in the film. As the Hall voltage is inversely proportional to the carrier density, measuring the mobility of the conducting polymer using the Hall Effect is difficult. The carrier density and mobility have been estimated using different techniques [23,24,25,26,27]. For example, Yamashita et al. demonstrated that terahertz and IR–UV (infrared-ultraviolet) spectroscopy can be used to determine the carrier mobility by fitting the results with theoretical models [27]. We studied the carrier transport properties by using ion-gel transistors combined with in situ UV–vis–NIR (near infrared) spectroscopy, because ion gel shows a large specific capacitance that could introduce a higher density of charge carriers in the transistors [22]. The carrier mobility extracted from thin film transistors of highly conductive PH1000 films with EG addition was 1.7 cm2/Vs and the carrier density was in the order of 1021 cm−3. For the film without EG addition, the carrier mobility showed a much lower value of 0.045 cm2/Vs and the carrier density was on the order of 1020 cm−3. These results provide direct evidence that the improvement in electric conductivity in PEDOT:PSS following the addition of EG is mainly caused by improving the carrier mobility, and that it also increases the calculated carrier density. It is important to note that the doping of p-type semiconductors is an oxidation reaction and that oxidizing agents, such as I2 or Fe3+, are necessary for doping. A cosolvent like EG cannot oxidize PEDOT, although oxygen in the air could act as a dopant. PEDOT with a highly ordered structure could react with oxygen more easily during annealing, which would increase the carrier density. Recently, it was reported that treating the PH1000 films in strong acid, such as a sulfuric acid, produced a very high electrical conductivity of 4380 S/cm [28,29]. The reasons for the improved carrier mobility and carrier density were investigated.
Figure 2.
Morphological change in the PEDOT:PSS films caused by the addition of ethylene glycol (EG). Reproduced with permission from [22]. Copyright 2013 Wiley−VCH Verlag GmbH & Co.
Figure 2.
Morphological change in the PEDOT:PSS films caused by the addition of ethylene glycol (EG). Reproduced with permission from [22]. Copyright 2013 Wiley−VCH Verlag GmbH & Co.

3. TE Measurements
The energy conversion efficiency is an important parameter for evaluating the energy conversion performance of TE devices. The thermodynamic limit of the energy conversion efficiency is determined by reversible Carnot cycles. For TE devices, the device efficiency cannot be easily extracted like solar cells [30]. In the simplest case, the energy conversion efficiency is related to the materials’ dimensionless figure of merit (ZT); therefore, ZT is crucial for selecting and optimizing TE materials. ZT is defined as ZT = S2σT/κ, where S is the Seebeck coefficient, σ is the electrical conductivity, T is the absolute temperature, and κ is the thermal conductivity. The power factor (PF = S2σ) is used to evaluate the power generation of a material at a certain temperature difference.
The Seebeck coefficient, S, is measured by dividing the voltage difference, ΔV, by its corresponding temperature difference, ΔT. There are several commercial measurement systems available. For example, the ZEM series from ULVAC Technologies (Chigasaki, Japan) can be used to measure the Seebeck coefficient over a very large temperature range, and the SB-100 system from MMR Technologies (Mountain View, CA, USA) is suitable for small samples on sub-millimeter scales. For conducting polymers, custom-made equipment is preferred because of the low conductance of thin films and because the composition of the films could change at different measurement environments. Our custom-made Seebeck coefficient measurement system is shown in Figure 3. The sample holder with two Peltier units was placed in a temperature/humidity-controlled oven. The temperatures of the Peltier units and the oven were controlled independently. The thermocouples are attached to the sample directly with a point contact. The temperature difference (ΔT) of the sample and the electromotive force (ΔV) were measured simultaneously by probing the pair of electrodes with a digital multimeter. The slope of the plot of ΔV versus ΔT gave S.
Figure 3.
(a) Schematic and (b) photographic images of the Seebeck measurement setup in high-humidity conditions. Reproduced with permission from [31]. Copyright 2014 Japan Society of Applied Physics.
Figure 3.
(a) Schematic and (b) photographic images of the Seebeck measurement setup in high-humidity conditions. Reproduced with permission from [31]. Copyright 2014 Japan Society of Applied Physics.

Another approach to measuring the Seebeck coefficient is through fabricating evaporated metal electrodes on the sample through a shadow mask, and probing the voltage and temperature between the two electrodes. This approach is vital for studies of organic thermoelectric materials because many materials may not form ohmic contact with the thermocouples by simple attachment. Contact between evaporated metal electrodes and organic films is generally better and the work function of the electrode can be tuned to match the energy levels of the organic film. However, the contact geometry is very important for accurate measurements [32]. To calibrate the Seebeck coefficient measurement system, pure Ni foil is a good reference because of its relatively large Seebeck coefficient and specific temperature dependence [33].
The electrical conductivity, σ, is measured by using the four-probe method to exclude the effect of contact resistance. Linear and van der Pauw geometry apply in thin conducting polymer films. The flash analysis method and differential three-omega (3ω) methods are standard methods for measuring the thermal conductivity [34,35]. The flash analysis method requires a dense freestanding film with a thickness greater than tens of micrometers. The differential 3ω method works for a thin film as thin as tens of nanometers [36].
Organic TE materials are often characterized by making a film and measuring the in-plane electrical conductivity, in-plane Seebeck coefficient, and through-plane thermal conductivity. This is because it is difficult to make a dense block on a millimeter scale using a solution-based process. The preferred molecular orientation during film formation means that the electrical conductivity, Seebeck coefficient, and thermal conductivity can be anisotropic. In other words, the calculation of ZT for organic thermoelectric materials may not be as straightforward as for their inorganic counterparts, and it could vary greatly. To estimate the TE properties of organic films reliably, measuring these parameters in both directions is critically important for understanding the thermal and carrier transport mechanism in conducting polymers and for improving their TE performance. We describe our evaluation of TE properties in the in-plane and though-plane directions later [37].
4. TE Performance of PEDOT Systems
Because it is difficult to summarize the TE properties of PEDOT films in the in-plane and through-plane directions separately at this stage, the anistropicity is not considered here. The morphology of the organic films could easily be affected by the preparation process; therefore, the anisotropicity or isotropicity could vary depending on fabrication conditions.
In early work, the reported power factors for organic TE materials were less than 10 μW/(m K2) [4,10,38,39,40,41,42,43,44]. After 2010, several groups reported high power factors and excellent ZT for materials based on PEDOT films. Katz and co-workers first reported a promising power factor of 47 μW/(m K2) for commercial PEDOT:PSS (PH1000) with a higher electrical conductivity of 900 S/cm, with a Seebeck coefficient of 20 μV/K [45].
In 2011, Crispin and colleagues reported that de-doping in situ polymerized highly conductive PEDOT:tos with tetrakis(dimethylamino)-ethylene (TDAE) can generate a remarkable power factor larger than 300 μW/(m K2) (as shown in Figure 4) and ZT of 0.25, which is mainly attributed to a high Seebeck coefficient (>200 μV/K) [46]. They also demonstrated the fabrication of π-type thermoelectric generators by using the de-doped PEDOT:tos films. In 2013, Kim and co-workers reported a different approach to controlling the doping levels of PEDOT:tos films, by using electrochemistry. The pristine in situ synthesized PEDOT films gave a power factor of 862.9 μW/(m K2), and slightly de-doped films showed a very high power factor of 1290 μW/(m K2) [47]. To explain the improved TE performance, Crispin and co-workers synthesized a series of PEDOT:tos and studied the relationship between the electrical conductivity and Seebeck coefficient. They observed an increase in Seebeck coefficient with the electrical conductivity (as shown in Figure 5), which indicates that PEDOT:tos could have semi-metallic properties [48]. Because semi-metallic polymers have zero bandgap and a very low density of states around the Fermi level, they typically exhibit a higher Seebeck coefficient and lower thermal conductivities compared with metallic polymers, and are thus suitable for TE applications. Crispin and co-workers suggested that PEDOT:tos can form a semi-metal because the carriers are only bipolarons [48]. In 2013, Pipe and colleagues reported a higher power factor of 469 μW/(m K2) and a ZT value of 0.42 at room temperature by mixing DMSO to commercial PEDOT:PSS [49]. The highest ZT was achieved after the EG treatment process for about 2 h as shown in Figure 6. They suggested that the improved TE performance can be attributed to increased carrier mobility and decreased carrier density arising from the selective removal of PSS anions. Massonnet and co-workers studied the relationship between the redox potential of the reducing agents and the Seebeck coefficient of the PEDOT:PSS film, and how the redox potential could be used to control the carrier density [50]. Furthermore, other groups also reported high power factors of over 100 μW/(m K2) on PEDOT films through chemical reduction with different chemicals (Table 1) [51,52,53].
However, the reported Seebeck coefficients or ZT values vary widely, even using commercial materials, suggesting that there are still aspects of the PEDOT system that are not well understood. Recently, we reported the effect of the measurement environment on the apparent Seebeck coefficient of PEDOT:PSS films [31]. PEDOT:PSS readily absorbs water vapor from air, and the weight percent of water in PEDOT:PSS is appreciable. Therefore, the effects of water on the TE properties of PEDOT:PSS should be considered. We confirmed an increase in the thermoelectric power factor of PEDOT:PSS from 23–355 μW/(m K2) in extremely high-humidity conditions (Figure 7). This increase was caused mainly by an increase in the apparent Seebeck coefficient, which could be related to morphological changes after water absorption or the electrochemical reactions of PEDOT in air [54,55,56]. Our results demonstrate the positive effect of water in the PEDOT:PSS film and highlight the need for well controlled measurement conditions, particularly humidity, in evaluating the performance of conducting organic materials.
Figure 4.
Seebeck coefficient (filled triangles), electrical conductivity (open triangles) and corresponding power factor (red squares) versus oxidation level of the PEDOT/tos films. Reproduced with permission from [46]. Copyright 2011 Nature Publishing Group.
Figure 4.
Seebeck coefficient (filled triangles), electrical conductivity (open triangles) and corresponding power factor (red squares) versus oxidation level of the PEDOT/tos films. Reproduced with permission from [46]. Copyright 2011 Nature Publishing Group.

Figure 5.
Seebeck coefficient versus electrical conductivity of various PEDOT derivatives including pristine PEDOT/PSS and diethylene glycol (DEG)-containing samples, chemically polymerized PEDOT/Tos as well as three VPP PEDOT/Tos samples with triblock copolymers PEG–PPG–PEG with different Mw. Reproduced with permission from [48]. Copyright 2014 Nature Publishing Group. (PEG = polyethylene glycol, PPG = polypropylene glycol).
Figure 5.
Seebeck coefficient versus electrical conductivity of various PEDOT derivatives including pristine PEDOT/PSS and diethylene glycol (DEG)-containing samples, chemically polymerized PEDOT/Tos as well as three VPP PEDOT/Tos samples with triblock copolymers PEG–PPG–PEG with different Mw. Reproduced with permission from [48]. Copyright 2014 Nature Publishing Group. (PEG = polyethylene glycol, PPG = polypropylene glycol).

Figure 6.
(a) Thermoelectric power factors and (b) thermoelectric figure-of-merit at 297 K in EG-mixed (open squares) and dimethyl sulfoxide (DMSO)-mixed (closed circles) PEDOT:PSS measured during the EG treatment (dedoping) process. Reproduced with permission from [49]. Copyright 2013 Nature Publishing Group.
Figure 6.
(a) Thermoelectric power factors and (b) thermoelectric figure-of-merit at 297 K in EG-mixed (open squares) and dimethyl sulfoxide (DMSO)-mixed (closed circles) PEDOT:PSS measured during the EG treatment (dedoping) process. Reproduced with permission from [49]. Copyright 2013 Nature Publishing Group.

Figure 7.
Seebeck coefficient measurements of PEDOT:PSS films at different humidity levels. Closed circles represent Seebeck coefficient measurements at a humidity of 30% and open circles represent Seebeck coefficient measurements at a humidity larger than 90%. Reproduced with permission from [31]. Copyright 2014 Japan Society of Applied Physics.
Figure 7.
Seebeck coefficient measurements of PEDOT:PSS films at different humidity levels. Closed circles represent Seebeck coefficient measurements at a humidity of 30% and open circles represent Seebeck coefficient measurements at a humidity larger than 90%. Reproduced with permission from [31]. Copyright 2014 Japan Society of Applied Physics.

Table 1.
Thermoelectric (TE) properties of poly(3,4-ethylenedioxythiophene) (PEDOT)-based materials. (tos = tosylate, and PSS = poly(styrenesulfonate)).
| Materials | S (μV/K) | PF (μW/m K2) | ZT | Ref. |
|---|---|---|---|---|
| PEDOT:PSS | 22 | 47 | 0.1 | [45] |
| PEDOT:tos (dedoped) | 200 | 324 | 0.25 | [46] |
| PEDOT:PSS | 73 | 469 | 0.42 | [49] |
| PEDOT:tos | ~85 | 1290 | - | [47] |
| PEDOT:tos | 55 | 453 | - | [48] |
| PEDOT:BTFMSI | ~40 | 147 | 0.22 | [53] |
| PEDOT:PSS (dedoped) | ~50 | 112 | 0.093 | [51] |
| PEDOT:PSS (dedoped) | 43 | 116 | 0.2 | [52] |
| PEDOT:PSS | 65 | 355 | ~0.3 | [31] |
Hybrid materials using conducting polymers and inorganic TE materials have been studied. A recent review article by Pentzer et al. covering recently reported polymer composites that have potential application as thermoelectric generators, is recommended [57]. There are several expected effects of using hybrid materials other than conducting polymers or inorganic TE materials, such as improved electrical conductivity because of polymer ordering, and an increased Seebeck coefficient through interface scattering and reduced thermal conductivity compared with inorganic TE materials. There are numerous studies of PEDOT/inorganic hybrid composites such as PEDOT:PSS/carbon nanotubes (CNTs) [58,59], PEDOT:PSS/Te nanorods [60,61], PEDOT:PSS/Ca3Co4O9 [62], PEDOT:PSS/PbTe [63], PEDOT:PSS/Bi2Te3 [45], PEDOT:PSS/Au nanoparticles [64,65], and PEDOT:PSS/Ge (Table 2) [66]. PEDOT:PSS/CNTs showed good thermoelectric performance because PEDOT:PSS modifies the junctions between CNTs, suppressing phonon transport while maintaining the good electronic properties. The thermal conductivity of the composites was maintained within the range of typical organic materials of 0.2–0.4 W/(m K) and a high power factor of 160 μW/(m K2) was achieved [58]. Multiwall CNTs improved the power factor further to 500 μW/(m K2) [59]. See and co-workers synthesized a water-soluble composite of Te/PEDOT:PSS with a core-shell structure. The solution-processed nanocrystal films show an improved power factor of 70.9 μW/(m K)2. Because the film retains a low thermal conductivity, a high ZT value of 0.1 was achieved [60]. Very recently, Park and co-workers fabricated PEDOT:PSS/Ge composite films by ball-milling under nitrogen. A high power factor of 165 μW/(m K2) was achieved because of the high Seebeck coefficient, and this film also retains a low thermal conductivity, resulting in a ZT of 0.1 at room temperature [66]. In hybrid materials, both the electrical conductivity and Seebeck coefficient of the films could decrease if a homogeneous mixture of the materials cannot be obtained. This is because carriers flow through each material independently.
Table 2.
TE properties of PEDOT-based hybrid films.
| Materials | S (μV/K) | PF (μW/m K2) | ZT | Ref. |
|---|---|---|---|---|
| PEDOT:PSS/SWCNT | 30 | 25 | 0.02 | [59] |
| PEDOT:PSS/MWCNT | 70 | 500 | - | [60] |
| PEDOT:PSS/Bi2Te3 | 60 | 130 | 0.1 | [45] |
| PEDOT:PSS/Te | 163 | 70.9 | 0.1 | [61] |
| PEDOT:PSS/Au NPs | 26.5 | 51.2 | ~0.1 | [65] |
| PEDOT:PSS/Au nanorods | 12 | 30 | - | [66] |
| PEDOT:PSS/Ge | ~50 | 165 | 0.1 | [67] |
The thermal stability and flexibility of PEDOT films are important for TE applications. Hokazono et al. investigated the thermal stability and flexibility of PEDOT:PSS films [67]. The thermal stability was evaluated by measuring the Seebeck coefficient and electrical conductivity for 30 heating and cooling cycles at 330–380 K. They also examined the durability of the PEDOT:PSS film by heating at 353 K in air for 4000 h. The Seebeck coefficient and electrical conductivity of PEDOT:PSS film were nearly constant during the heating cycle treatments. For the durability test, the Seebeck coefficient of the PEDOT:PSS film was unchanged before and after repeated bending for 10,000 times at a curvature radius of 10 mm. However, the electrical conductivity gradually decreased with increasing heating time. The data shows that PEDOT:PSS films are flexible and mechanically tough and also have relatively good thermal stability in air up to 3600 h.
5. Anisotropic TE Properties of PEDOT:PSS Films
Organic TE materials are often characterized by the in-plane electrical conductivity, in-plane Seebeck coefficient, and through-plane thermal conductivity of a thin film, because it is difficult to obtain the through-plane electrical conductivity, through-plane Seebeck coefficient, and in-plane thermal conductivity of a thin conducting polymer film. As many organic semiconductors form an anisotropic film, we can expect that these anisotropic films will show anisotropic TE properties.
Although measuring the through-plane four-probe electrical conductivity, through-plane Seebeck coefficient, and in-plane thermal conductivity is important for understanding the thermal transport and carrier transport mechanism in conducting polymers to improve their TE performance, it is challenging. Furthermore, the TE properties in both directions also affect thermoelectric device design. Recently, we reported an approach for studying the TE properties in both directions by using the benchmark conducting polymer PEDOT/PSS [37].
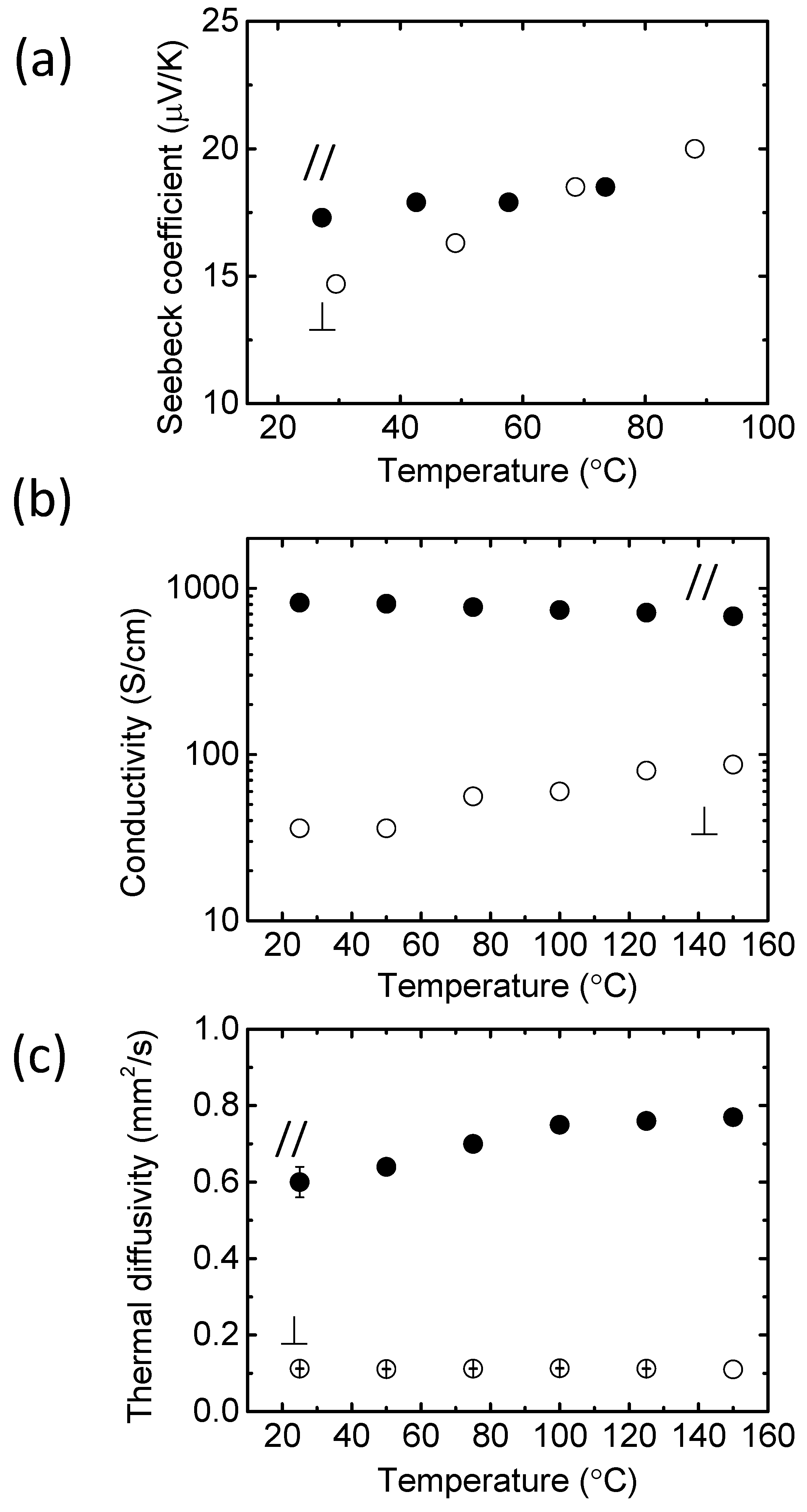
We measured the through-plane Seebeck coefficient of PEDOT/PSS by using a homemade Seebeck coefficient measurement setup. Figure 8a shows the through-plane Seebeck coefficient measurements for the free standing PEDOT/PSS film. The Seebeck coefficient in the through-plane direction was 15 μV/K at room temperature, which is close to the in-plane value.
We observed higher anisotropy in the electrical conductivity and thermal diffusivity. As shown in Figure 8b,c, the in-plane electrical conductivity of the PEDOT/PSS films was measured as 820 S/cm, which is identical to the previously reported value, suggesting this thick film had an ordered structure similar to the thin films. However, the through-plane conductivity showed a lower value of 36 S/cm. The anisotropic electronic conductivity was attributed to the morphology of the PEDOT/PSS films. We have also shown that highly conductive PEDOT/PSS films have a layered structure, and PSS may isolate the PEDOT nanocrystals in the through-plane direction [22]. We used flash analysis to measure the in-plane thermal diffusivity, using large-area, freestanding PEDOT/PSS films. We calculated the thermal conductivity by using the thermal diffusivities. The estimated thermal conductivities were 0.15 W/(m K) in the through-plane direction and 0.84 W/(m K) in the in-plane direction, suggesting that the thermal conductivity of the ordered PEDOT/PSS films was also anisotropic.
We calculated ZT at room temperature; it was 8.4 × 10−3 in the in-plane direction and 1.6 × 10−3 in the through-plane direction. The ZT calculated by using the in-plane electrical conductivity, in-plane Seebeck coefficient, and through-plane thermal conductivity gave an overestimated value of 0.05.
To improve the TE performance of PEDOT, one possible approach is to reduce the in-plane thermal conductivity by using a smaller dopant. PEDOT/tos, in which the PSS was replaced with smaller anions, showed almost isotropic thermal conductivity [46]. Therefore, small dopants and controlling the crystal orientation may be effective strategies for optimizing the TE performance.
Figure 8.
(a) Seebeck coefficient, (b) electrical conductivity, and (c) thermal diffusivity of the PEDOT/PSS films in the in-plane (closed circles) and through-plane (open circles) directions, plotted as a function of temperature. Reproduced with permission from [37]. Copyright 2014 American Chemical Society.
Figure 8.
(a) Seebeck coefficient, (b) electrical conductivity, and (c) thermal diffusivity of the PEDOT/PSS films in the in-plane (closed circles) and through-plane (open circles) directions, plotted as a function of temperature. Reproduced with permission from [37]. Copyright 2014 American Chemical Society.

6. TE Module Designing and Fabrication
Conventional inorganic TE modules have π-type structures, which combine both p-type and n-type materials to convert thermal energy to electrical energy efficiently. In principle, organic conducting polymers can be doped to form both p-type and n-type materials; however, n-type doping is difficult. Studies using only p-type conducting polymers to make TE modules are still limited at the moment. Furthermore, in the conventional device configuration, the TE performance is determined by the through-plane electrical conductivity and the through-plane Seebeck coefficient. It is difficult to make dense blocks of conducting polymers on the centimeter scale; therefore, techniques to obtain larger temperature differences are required to fabricate an organic TE module with PEDOT films. We have studied devices with a fin structure fabricated from screen-printed PEDOT:PSS on paper to achieve a larger temperature difference (Figure 9a,b) [68]. A PEDOT:PSS layer 2.5 mm × 40 mm and about 20 μm thick was screen-printed on a 300-μm-thick piece of paper. Eleven PEDOT:PSS arrays were printed on one piece of paper, and the distance between the arrays was 8 mm. Silver paste was screen-printed on the PEDOT:PSS arrays to create connections. Silver paste was used because of its high conductivity, low sintering temperature, and good wettability on PEDOT:PSS. The PEDOT/silver paste arrays were sandwiched between copper plates (Figure 9c,d), and they were connected either in series or in parallel with metal wires.
Figure 9.
Schematic representation of the (a) series and (b) parallel PEDOT:PSS array. (c) Schematic and (d) photograph of the PEDOT:PSS modules sandwiched between copper plates. (e) Schematic of the circuit for powering an LED and photograph of the LED driven by the PEDOT:PSS thermoelectric module. Reproduced with permission from [68]. Copyright 2014 The Royal Society of Chemistry.
Figure 9.
Schematic representation of the (a) series and (b) parallel PEDOT:PSS array. (c) Schematic and (d) photograph of the PEDOT:PSS modules sandwiched between copper plates. (e) Schematic of the circuit for powering an LED and photograph of the LED driven by the PEDOT:PSS thermoelectric module. Reproduced with permission from [68]. Copyright 2014 The Royal Society of Chemistry.

A temperature gradient occurs between the top and bottom of the paper (Figure 9a). There are two reasons why we used paper as the module substrate. First, paper shows better thermal stability than polymer substrates, such as polyethylene terephthalate and polyethylene naphthalate, which have a glass transition temperature lower than 150 °C. Secondly, because the PEDOT:PSS ink is water-based, it should have better wettability on paper than on typical polymer substrates such as PET films. Jiang et al. also reported that paper is an effective substrate for preparing high-performance flexible TE materials [69]. Our large-area devices gave a power output of over 50 μW at ΔT of about 100 K, which provided sufficient power to illuminate an LED (Figure 9e).
Although PEDOT:PSS showed remarkable thermal stability in air, the performance of our fabricated TE module decreased over time (Figure 10). To explain the decrease in the TE device performance during continuous operation for 100 h, we carried out further thermal electrical stability measurements for each material. Figure 11a,b show the four probe electrical conductivity and Seebeck coefficient of PEDOT:PSS as a function of time at 80 °C. Both the electrical conductivity and Seebeck coefficient were very stable over time. Figure 11c shows the four-probe electrical conductivity of the Ag paste as a function of time. During the first 10 h, the electrical conductivity increased about 20%, and then it remained almost constant. The increase in the electric conductivity may be caused by the evaporation of the solvent incorporated in the Ag paste and the aggregation of the Ag nanoparticles in the ink. These results indicate that PEDOT:PSS and the Ag paste are sufficiently thermally stable. Figure 11d shows the conductance change of the Ag paste/PEDOT:PSS/Ag paste sandwiched device. The conductance decreased to about 70% of its initial value after 100 h heating, a tendency that was similar to the decrease in the power output of the TE modules. If both PEDOT:PSS and Ag paste are stable, the decrease in conductance of the sandwiched structure must be caused by an unstable interface. To confirm the changes at the Ag/PEDOT:PSS interface, we carried out X-ray photoelectron spectroscopy (XPS) measurements. XPS showed that the PSS/PEDOT ratio increased to 3.5 after the stability test for 100 h, which is higher than the PSS/PEDOT ratio in solution and PEDOT:PSS/air interface (2.5). Because PSS is an insulator, the segregation of PSS increased the contact resistance between PEDOT:PSS and Ag paste. This suggests that the interface between the conducting polymer and electrode is important for improving the device stability.
Figure 10.
Power output of module and temperature difference as a function of the working time. Reproduced with permission from [68]. Copyright 2014 The Royal Society of Chemistry.
Figure 10.
Power output of module and temperature difference as a function of the working time. Reproduced with permission from [68]. Copyright 2014 The Royal Society of Chemistry.

Figure 11.
(a) Electrical conductivity and (b) Seebeck coefficient of PEDOT:PSS, and (c) electrical conductivity of silver paste and (d) conductance of silver paste/PEDOT:PSS/silver paste as a function of time at 80 °C. Reproduced with permission from [68]. Copyright 2014 The Royal Society of Chemistry.
Figure 11.
(a) Electrical conductivity and (b) Seebeck coefficient of PEDOT:PSS, and (c) electrical conductivity of silver paste and (d) conductance of silver paste/PEDOT:PSS/silver paste as a function of time at 80 °C. Reproduced with permission from [68]. Copyright 2014 The Royal Society of Chemistry.

Although our fin structure TE modules could harvest waste thermal energy in practical situations, the size of the module must be reduced, for example by reducing the polymer thickness and developing freestanding films. We are currently fabricating thinner TE modules using PEDOT films with a higher power density.
7. Future Outlook
Application-orientated research into organic TE devices and materials has just started, and recent efforts have shown that high ZT and power factors could be achieved by using conducting polymers. In addition to the material properties, improving the power output of the flexible devices is also important.
To increase the power output of TE modules, the temperature difference must be increased by increasing the heat radiation efficiency from the TE module or by another suitable technique. For example, for inorganic TE devices, Sakai et al. recently reported the “trade-off-free” interdependence between thermal conductivity and electrical conductivity in an inorganic Bi0.5Sb1.5Te3 multilayer [70]. They substantially increased the TE power based on the off-diagonal thermoelectric effect, which induced a transverse electrical current in response to the vertical thermal current. They obtained a higher output power of 2.5 kW/m2 with a ΔT of 85 K at a temperature of less than 100 °C [70]. If a similar approach can be used for conducting polymer TE modules, we can expect to fabricate organic TE devices with higher power outputs.
Energy harvesting, which targets very low power densities, is a possible application of organic thermoelectric devices [71]. Recent progress in semiconductor technology has decreased the power consumption of large-scale integration (LSI) devices. The combination of organic TE devices and low-power LSI devices is promising for energy harvesting [71]. Furthermore, organic TE devices could also be used in sensors, such as temperature sensors or monitors with large-area conducting polymer electrodes.
8. Conclusions
In this review, we report recent advances in improving the thermoelectric properties of PEDOT-based materials. Controlling the carrier concentration improves the material performance. The highest reported ZT value is 0.42 for PEDOT:PSS. These pioneering studies have opened new possibilities for the application of organic semiconductors. The improved material properties mean that the organic thermoelectric modules have a power output that can be used to power practical devices. This demonstrates that it is possible to convert thermal energy to electricity with organic semiconductors. For further improvement, the anisotropicity and stability at the interface should be considered.
Acknowledgments
Our work presented in this review was supported by TherMAT, Future Pioneering Projects of the Ministry of Economy, Trade and Industry, Japan. Some of our work was also supported by a Grant-in-Aid for Research Activity Start-up 25888025 from MEXT, Japan.
Conflicts of Interest
The authors declare no conflict of interest.
References
- Snyder, G.J.; Toberer, E.S. Complex thermoelectric materials. Nat. Mater. 2008, 7, 105–114. [Google Scholar] [CrossRef] [PubMed]
- Zebarjadi, M.; Esfarjani, K.; Dresselhaus, M.S.; Ren, Z.F.; Chen, G. Perspectives on thermoelectrics: From fundamentals to device applications. Energy Environ. Sci. 2012, 5, 5147–5162. [Google Scholar] [CrossRef]
- The Energy Conservation Center (Japan). Available online: http://www.asiaeec-col.eccj.or.jp/index.html (accessed on 9 February 2015).
- Mateeva, N.; Niculescu, H.; Schlenoff, J.; Testardi, L.R. Correlation of seebeck coefficient and electric conductivity in polyaniline and polypyrrole. J. Appl. Phys. 1998, 83, 3111–3117. [Google Scholar] [CrossRef]
- Reynolds, J.R.; Schlenoff, J.B.; Chien, J.C.W. Magnetic and transport properties of electrochemically oxidized polyacetylene. J. Electrochem. Soc. 1985, 132, 1131–1135. [Google Scholar] [CrossRef]
- Pohl, H.A.; Engelhardt, E.H. Synthesis and characterization of some highly conjugated semiconducting polymers. J. Phys. Chem. 1962, 66, 2085–2095. [Google Scholar] [CrossRef]
- Forrest, S.R.; Thompson, M.E. Introduction: Organic electronics and optoelectronics. Chem. Rev. 2007, 107, 923–925. [Google Scholar] [CrossRef]
- Crispin, X.; Jakobsson, F.L.E.; Crispin, A.; Grim, P.C.M.; Andersson, P.; Volodin, A.; van Haesendonck, C.; van der Auweraer, M.; Salaneck, W.R.; Berggren, M. The origin of the high conductivity of poly(3,4-ethylenedioxythiophene)−poly(styrenesulfonate) (PEDOT−PSS) plastic electrodes. Chem. Mater. 2006, 18, 4354–4360. [Google Scholar] [CrossRef]
- Ashizawa, S.; Horikawa, R.; Okuzaki, H. Effects of solvent on carrier transport in poly(3,4-ethylenedioxythiophene)/poly(4-styrenesulfonate). Synth. Met. 2005, 153, 5–8. [Google Scholar] [CrossRef]
- Kim, J.Y.; Jung, J.H.; Lee, D.E.; Joo, J. Enhancement of electrical conductivity of poly(3,4-ethylenedioxythiophene)/poly(4-styrenesulfonate) by a change of solvents. Synth. Met. 2002, 126, 311–316. [Google Scholar] [CrossRef]
- De Leeuw, D.M.; Kraakman, P.A.; Bongaerts, P.F.G.; Mutsaers, C.M.J.; Klaassen, D.B.M. Electroplating of conductive polymers for the metallization of insulators. Synth. Met. 1994, 66, 263–273. [Google Scholar]
- Heywang, G.; Jonas, F. Poly(alkylenedioxythiophene)s—New, very stable conducting polymers. Adv. Mater. 1992, 4, 116–118. [Google Scholar] [CrossRef]
- Fabretto, M.; Zuber, K.; Hall, C.; Murphy, P. High conductivity PEDOT using humidity facilitated vacuum vapour phase polymerisation. Macromol. Rapid Commun. 2008, 29, 1403–1409. [Google Scholar] [CrossRef]
- Fabretto, M.; Jariego-Moncunill, C.; Autere, J.-P.; Michelmore, A.; Short, R.D.; Murphy, P. High conductivity PEDOT resulting from glycol/oxidant complex and glycol/polymer intercalation during vacuum vapour phase polymerisation. Polymer 2011, 52, 1725–1730. [Google Scholar] [CrossRef]
- Winther-Jensen, B.; Winther-Jensen, O.; Forsyth, M.; MacFarlane, D.R. High rates of oxygen reduction over a vapor phase–polymerized PEDOT electrode. Science 2008, 321, 671–674. [Google Scholar] [CrossRef] [PubMed]
- Elschner, A.; Kirchmeyer, S.; Lövenich, W.; Merker, U.; Reuter, K. PEDOT: Principles and Applications of an Intrinsically Con-ductive Polymer; CRC Press: Boca Raton, FL, USA, 2010. [Google Scholar]
- Jonas, F.; Heywang, G.; Werner, S. Novel Polythiophenes, Process for Their Preparation, and Their Use. DE 3813589, 22 April 1988. [Google Scholar]
- Kim, J.Y.; Kwon, M.H.; Min, Y.K.; Kwon, S.; Ihm, D.W. Self-assembly and crystalline growth of poly(3,4-ethylenedioxythiophene) nanofilms. Adv. Mater. 2007, 19, 3501–3506. [Google Scholar] [CrossRef]
- Cho, B.; Park, K.S.; Baek, J.; Oh, H.S.; Koo Lee, Y.-E.; Sung, M.M. Single-crystal poly(3,4-ethylenedioxythiophene) nanowires with ultrahigh conductivity. Nano Lett. 2014, 14, 3321–3327. [Google Scholar] [CrossRef] [PubMed]
- Massonnet, N.; Carella, A.; de Geyer, A.; Faure-Vincent, J.; Simonato, J.-P. Metallic behaviour of acid doped highly conductive polymers. Chem. Sci. 2015, 6, 412–417. [Google Scholar] [CrossRef]
- Takano, T.; Masunaga, H.; Fujiwara, A.; Okuzaki, H.; Sasaki, T. PEDOT nanocrystal in highly conductive PEDOT:PSS polymer films. Macromolecules 2012, 45, 3859–3865. [Google Scholar] [CrossRef]
- Wei, Q.S.; Mukaida, M.; Naitoh, Y.; Ishida, T. Morphological change and mobility enhancement in PEDOT:PSS by adding co-solvents. Adv. Mater. 2013, 25, 2831–2836. [Google Scholar] [CrossRef] [PubMed]
- Bernards, D.A.; Malliaras, G.G. Steady-state and transient behavior of organic electrochemical transistors. Adv. Funct. Mater. 2007, 17, 3538–3544. [Google Scholar] [CrossRef]
- Lee, S.; Paine, D.C.; Gleason, K.K. Heavily doped poly(3,4-ethylenedioxythiophene) thin films with high carrier mobility deposited using oxidative CVD: Conductivity stability and carrier transport. Adv. Funct. Mater. 2014, 24, 7187–7196. [Google Scholar]
- Hsu, F.-C.; Prigodin, V.; Epstein, A. Electric-field-controlled conductance of “metallic” polymers in a transistor structure. Phys. Rev. B 2006, 74, 235219. [Google Scholar] [CrossRef]
- Okuzaki, H.; Ishihara, M.; Ashizawa, S. Characteristics of conducting polymer transistors prepared by line patterning. Synth. Met. 2003, 137, 947–948. [Google Scholar] [CrossRef]
- Yamashita, M.; Otani, C.; Shimizu, M.; Okuzaki, H. Effect of solvent on carrier transport in poly(3,4-ethylenedioxythiophene)/poly(4-styrenesulfonate) studied by terahertz and infrared-ultraviolet spectroscopy. Appl. Phys. Lett. 2011, 99, 143307. [Google Scholar] [CrossRef]
- Xia, Y.; Sun, K.; Ouyang, J. Solution-processed metallic conducting polymer films as transparent electrode of optoelectronic devices. Adv. Mater. 2012, 24, 2436–2440. [Google Scholar] [CrossRef] [PubMed]
- Kim, N.; Kee, S.; Lee, S.H.; Lee, B.H.; Kahng, Y.H.; Jo, Y.-R.; Kim, B.-J.; Lee, K. Highly conductive PEDOT:PSS nanofibrils induced by solution-processed crystallization. Adv. Mater. 2014, 26, 2268–2272. [Google Scholar] [CrossRef] [PubMed]
- Snyder, G.; Ursell, T. Thermoelectric efficiency and compatibility. Phys. Rev. Lett. 2003, 91, 148301. [Google Scholar] [CrossRef] [PubMed]
- Wei, Q.S.; Mukaida, M.; Kirihara, K.; Naitoh, Y.; Ishida, T. Thermoelectric power enhancement of PEDOT:PSS in high-humidity conditions. Appl. Phys. Express 2014, 7, 031601. [Google Scholar] [CrossRef]
- Van Reenen, S.; Kemerink, M. Correcting for contact geometry in Seebeck coefficient measurements of thin film devices. Org. Electron. 2014, 15, 2250–2255. [Google Scholar]
- Burkov, A.T.; Heinrich, A.; Konstantinov, P.P.; Nakama, T.; Yagasaki, K. Experimental set-up for thermopower and resistivity measurements at 100–1300 K. Meas. Sci. Technol. 2001, 12, 264. [Google Scholar] [CrossRef]
- Parker, W.J.; Jenkins, R.J.; Butler, C.P.; Abbott, G.L. A flash method of determining thermal diffusivity, heat capacity, and thermal conductivity. J. Appl. Phys. 1961, 32, 1679–1684. [Google Scholar] [CrossRef]
- Cahill, D.; Pohl, R. Thermal conductivity of amorphous solids above the plateau. Phys. Rev. B 1987, 35, 4067–4073. [Google Scholar] [CrossRef]
- Lee, S.M.; Cahill, D.G. Heat transport in thin dielectric films. J. Appl. Phys. 1997, 81, 2590–2595. [Google Scholar] [CrossRef]
- Wei, Q.; Mukaida, M.; Kirihara, K.; Ishida, T. Experimental studies on the anisotropic thermoelectric properties of conducting polymer films. ACS Macro Lett. 2014, 3, 948–952. [Google Scholar] [CrossRef]
- Yoshino, H.; Papavassiliou, G.C.; Murata, K. Thermoelectric figure of merit of τ-(EDO-S,S-DMEDT-TTF)2(AuBr2)1+y, (y ≤ 0.875) and (TMTSF)2PF6. Synth. Met. 2009, 159, 2387–2389. [Google Scholar] [CrossRef]
- Chang, K.-C.; Jeng, M.-S.; Yang, C.-C.; Chou, Y.-W.; Wu, S.-K.; Thomas, M.; Peng, Y.-C. The thermoelectric performance of poly(3,4-ethylenedi oxythiophene)/poly(4-styrenesulfonate) thin films. J. Electron. Mater. 2009, 38, 1182–1188. [Google Scholar] [CrossRef]
- Aïch, R.B.; Blouin, N.; Bouchard, A.; Leclerc, M. Electrical and thermoelectric properties of poly(2,7-Carbazole) derivatives. Chem. Mater. 2009, 21, 751–757. [Google Scholar] [CrossRef]
- Jiang, F.-X.; Xu, J.-K.; Lu, B.-Y.; Xie, Y.; Huang, R.-J.; Li, L.-F. Thermoelectric performance of poly(3,4-ethylenedioxythiophene):poly(styrenesulfonate). Chin. Phys. Lett. 2008, 25, 2202–2205. [Google Scholar] [CrossRef]
- Hiroshige, Y.; Ookawa, M.; Toshima, N. Thermoelectric figure-of-merit of iodine-doped copolymer of phenylenevinylene with dialkoxyphenylenevinylene. Synth. Met. 2007, 157, 467–474. [Google Scholar] [CrossRef]
- Hiroshige, Y.; Ookawa, M.; Toshima, N. High thermoelectric performance of poly(2,5-dimethoxyphenylenevinylene) and its derivatives. Synth. Met. 2006, 156, 1341–1347. [Google Scholar] [CrossRef]
- Kemp, N.T.; Kaiser, A.B.; Liu, C.J.; Chapman, B.; Mercier, O.; Carr, A.M.; Trodahl, H.J.; Buckley, R.G.; Partridge, A.C.; Lee, J.Y.; et al. Thermoelectric power and conductivity of different types of polypyrrole. J. Polym. Sci. Part B Polym. Phys. 1999, 37, 953–960. [Google Scholar] [CrossRef]
- Zhang, B.; Sun, J.; Katz, H.E.; Fang, F.; Opila, R.L. Promising thermoelectric properties of commercial PEDOT:PSS materials and their Bi2Te3 powder composites. ACS Appl. Mater. Interfaces 2010, 2, 3170–3178. [Google Scholar] [CrossRef] [PubMed]
- Bubnova, O.; Khan, Z.U.; Malti, A.; Braun, S.; Fahlman, M.; Berggren, M.; Crispin, X. Optimization of the thermoelectric figure of merit in the conducting polymer poly(3,4-ethylenedioxythiophene). Nat. Mater. 2011, 10, 429–433. [Google Scholar] [CrossRef] [PubMed]
- Park, T.; Park, C.; Kim, B.; Shin, H.; Kim, E. Flexible PEDOT electrodes with large thermoelectric power factors to generate electricity by the touch of fingertips. Energy Environ. Sci. 2013, 6, 788–792. [Google Scholar] [CrossRef]
- Bubnova, O.; Khan, Z.U.; Wang, H.; Braun, S.; Evans, D.R.; Fabretto, M.; Hojati-Talemi, P.; Dagnelund, D.; Arlin, J.-B.; Geerts, Y.H.; et al. Corrigendum: Semi-metallic polymers. Nat. Mater. 2014, 13, 190–194. [Google Scholar] [CrossRef] [PubMed]
- Kim, G.H.; Shao, L.; Zhang, K.; Pipe, K.P. Engineered doping of organic semiconductors for enhanced thermoelectric efficiency. Nat. Mater. 2013, 12, 719–723. [Google Scholar] [CrossRef] [PubMed]
- Massonnet, N.; Carella, A.; Jaudouin, O.; Rannou, P.; Laval, G.; Celle, C.; Simonato, J.-P. Improvement of the Seebeck coefficient of PEDOT:PSS by chemical reduction combined with a novel method for its transfer using free-standing thin films. J. Mater. Chem. C 2014, 2, 1278–1283. [Google Scholar] [CrossRef]
- Park, H.; Lee, S.H.; Kim, F.S.; Choi, H.H.; Cheong, I.W.; Kim, J.H. Enhanced thermoelectric properties of PEDOT:PSS nanofilms by a chemical dedoping process. J. Mater. Chem. A 2014, 2, 6532–6539. [Google Scholar] [CrossRef]
- Lee, S.H.; Park, H.; Son, W.; Choi, H.H.; Kim, J.H. Novel solution-processable, dedoped semiconductors for application in thermoelectric devices. J. Mater. Chem. A 2014, 2, 13380–13387. [Google Scholar] [CrossRef]
- Culebras, M.; Gomez, C.M.; Cantarero, A. Enhanced thermoelectric performance of PEDOT with different counter-ions optimized by chemical reduction. J. Mater. Chem. A 2014, 2, 10109–10115. [Google Scholar] [CrossRef]
- Bilal, B.A.; Tributsch, H. Thermo-electrochemical reduction of sulfate to sulfide using a graphite cathode. J. Appl. Electrochem. 1998, 28, 1073–1081. [Google Scholar] [CrossRef]
- Mua, Y.; Quickenden, T.I. Power conversion efficiency, electrode separation, and overpotential in the ferricyanide/ferrocyanide thermogalvanic cell. J. Electrochem. Soc. 1996, 143, 2558–2564. [Google Scholar] [CrossRef]
- Quickenden, T.I.; Mua, Y. A review of power generation in aqueous thermogalvanic cells. J. Electrochem. Soc. 1995, 142, 3985–3994. [Google Scholar] [CrossRef]
- McGrail, B.T.; Sehirlioglu, A.; Pentzer, E. Polymer composites for thermoelectric applications. Angew. Chem. Int. Ed. 2015, 54, 1710–1723. [Google Scholar] [CrossRef]
- Kim, D.; Kim, Y.; Choi, K.; Grunlan, J.C.; Yu, C. Improved thermoelectric behavior of nanotube-filled polymer composites with poly(3,4-ethylenedioxythiophene) poly(styrenesulfonate). ACS Nano 2010, 4, 513–523. [Google Scholar] [CrossRef] [PubMed]
- Moriarty, G.P.; Briggs, K.; Stevens, B.; Yu, C.; Grunlan, J.C. Fully organic nanocomposites with high thermoelectric power factors by using a dual-stabilizer preparation. Energy Technol. 2013, 1, 265–272. [Google Scholar] [CrossRef]
- See, K.C.; Feser, J.P.; Chen, C.E.; Majumdar, A.; Urban, J.J.; Segalman, R.A. Water-processable polymer−nanocrystal hybrids for thermoelectrics. Nano Lett. 2010, 10, 4664–4667. [Google Scholar] [CrossRef] [PubMed]
- Yee, S.K.; Coates, N.E.; Majumdar, A.; Urban, J.J.; Segalman, R.A. Thermoelectric power factor optimization in PEDOT:PSS tellurium nanowire hybrid composites. Phys. Chem. Chem. Phys. 2013, 15, 4024–4032. [Google Scholar] [CrossRef] [PubMed]
- Liu, C.; Jiang, F.; Huang, M.; Lu, B.; Yue, R.; Xu, J. Free-standing PEDOT-PSS/Ca3Co4O9 composite films as novel thermoelectric materials. J. Electron. Mater. 2011, 40, 948–952. [Google Scholar] [CrossRef]
- Wang, Y.; Cai, K.; Yao, X. Facile fabrication and thermoelectric properties of PbTe-modified poly(3,4-ethylenedioxythiophene) nanotubes. ACS Appl. Mater. Interfaces 2011, 3, 1163–1166. [Google Scholar] [CrossRef] [PubMed]
- Toshima, N.; Jiravanichanun, N. Improvement of thermoelectric properties of PEDOT/PSS films by addition of gold nanoparticles: Enhancement of Seebeck coefficient. J. Electron. Mater. 2013, 42, 1882–1887. [Google Scholar] [CrossRef]
- Yoshida, A.; Toshima, N. Gold nanoparticle and gold nanorod embedded PEDOT:PSS thin films as organic thermoelectric materials. J. Electron. Mater. 2014, 43, 1492–1497. [Google Scholar] [CrossRef]
- Park, G.O.; Roh, J.W.; Kim, J.; Lee, K.Y.; Jang, B.; Lee, K.H.; Lee, W. Enhanced thermoelectric properties of germanium powder/poly(3,4-ethylenedioxythiophene):poly(4-styrenesulfonate) composites. Thin Solid Films 2014, 566, 14–18. [Google Scholar] [CrossRef]
- Hokazono, M.; Anno, H.; Toshima, N. Thermoelectric properties and thermal stability of PEDOT:PSS films on a polyimide substrate and application in flexible energy conversion devices. J. Electron. Mater. 2014, 43, 2196–2201. [Google Scholar] [CrossRef]
- Wei, Q.S.; Mukaida, M.; Kirihara, K.; Naitoh, Y.; Ishida, T. Polymer thermoelectric modules screen-printed on paper. RSC Adv. 2014, 4, 28802–28806. [Google Scholar] [CrossRef]
- Jiang, Q.; Liu, C.; Xu, J.; Lu, B.; Song, H.; Shi, H.; Yao, Y.; Zhang, L. Paper: An effective substrate for the enhancement of thermoelectric properties in PEDOT:PSS. J. Polym. Sci. Part B Polym. Phys. 2014, 52, 737–742. [Google Scholar] [CrossRef]
- Sakai, A.; Kanno, T.; Takahashi, K.; Tamaki, H.; Kusada, H.; Yamada, Y.; Abe, H. Breaking the trade-off between thermal and electrical conductivities in the thermoelectric material of an artificially tilted multilayer. Sci. Rep. 2014, 4. [Google Scholar] [CrossRef] [PubMed]
- Matiko, J.W.; Grabham, N.J.; Beeby, S.P.; Tudor, M.J. Review of the application of energy harvesting in buildings. Meas. Sci. Technol. 2014, 25, 012002. [Google Scholar] [CrossRef]
© 2015 by the authors; licensee MDPI, Basel, Switzerland. This article is an open access article distributed under the terms and conditions of the Creative Commons Attribution license (http://creativecommons.org/licenses/by/4.0/).