Next Article in Journal / Special Issue
Experimental Study on the Seismic Performance of Recycled Concrete Brick Walls Embedded with Vertical Reinforcement
Previous Article in Journal / Special Issue
The Use of Deconstructed Tires as Elastic Elements in Railway Tracks
 
 
Font Type:
Arial Georgia Verdana
Font Size:
Aa Aa Aa
Line Spacing:
Column Width:
Background:
Article

Structural and Mechanical Characterization of Sustainable Composites Based on Recycled and Stabilized Fly Ash

1
Department of Industrial Engineering, University of Padova, via Marzolo 9, 35131 Padova, Italy
2
INSTM and Chemistry for Technologies Laboratory, University of Brescia, via Branze 38, 25123 Brescia, Italy
*
Author to whom correspondence should be addressed.
Materials 2014, 7(8), 5920-5933; https://doi.org/10.3390/ma7085920
Submission received: 13 June 2014 / Revised: 3 August 2014 / Accepted: 5 August 2014 / Published: 18 August 2014
(This article belongs to the Special Issue Recycled Materials)

Abstract

:
This paper reports the results on the use of an innovative inert, based on stabilized fly ash from municipal solid waste incineration as a filler for polypropylene. The starting material, which contains large quantities of leachable Pb and Zn, was stabilized by means of an innovative process using rice husk ash as a waste silica source, together with other fly ashes, such as coal fly ash and flue gas desulfurization residues. The use of all waste materials to obtain a new filler makes the proposed technology extremely sustainable and competitive. The new composites, obtained by using the stabilized material as a filler for polypropylene, were characterized and their mechanical properties were also investigated. A comparison with a traditional polypropylene and calcium carbonate based compound was also done. This research activity was realized in the frame of the COSMOS-RICE project, financed by the EU Commission.

Graphical Abstract

1. Introduction

Fly Ash (FA), which is produced from coal combustion in power generation plants and primarily consists of inert inorganic materials, has been regarded as a potential substitute for conventional natural fillers, as calcium carbonate (CaCO3), in the plastic industry in several systems: Epoxy [1,2,3,4,5]; polyurethane [6,7,8]; polyvinylchloride [9]; polycarbonate [10]; polyetheretherketone [11]; polyethyleneterephtalate [12]; natural rubber [13]; thermoplastic elastomers [14].
FA is also a by-product of the municipal solid waste incineration (MSWI) process that is produced when waste is burnt both to recover energy and to reduce its volume. Waste-to-energy technology produces large quantities of fly ash, with a potential health hazard due to the presence of toxic metals as well as small amounts of organic pollutants. Generally, fly ash from the MSWI process is disposed in landfills but this management option is not sustainable [15].
The literature contains many papers devoted to composites containing coal FA (see for example also ref. [16,17]). On the contrary, there are only a few papers devoted to polymer composites, containing toxic FA [18]. The reason is probably due to the fact that only in recent years has great attention been paid to the re-use of all kinds of waste materials. In addition, despite the fact that several processes have been developed to stabilize heavy metals, (see for example ref. [18] for a recent review paper about fly ash), no final solutions seem to have been developed.
Recently a new method based on the use of colloidal silica [19] has shown its effectiveness in heavy metals entrapment for MSWI fly ash stabilization. The obtained stabilized product (COSMOS, acronym for COlloidal Silica Medium to Obtain Safe inert) showed interesting performances when used as a filler in building materials as a substitute for sand [20]. Moreover the first promising results were also obtained using material to produce new plastic composites. In particular, Besco et al. [18] reported for the first time the use of stabilized FA from MSWI (COSMOS) as a filler for polypropylene (PP). Composites containing different filler amounts up to 30 wt% have been formulated and prepared by means of melt compounding. Remarkable enhancements of tensile and flexural elastic moduli together with enhancements of flexural resistance and deflection temperature under load have been observed together with a positive influence on the thermal-oxidative stability of polymer, without using surface modifiers or compatibilizing agents.
Very recently, in order to develop a more sustainable process, a new stabilization technology deriving from the COSMOS (C) process was developed. In this process rice husk ash (RHA) is used in spite of the commercial colloidal silica [21,22]. RHA is an inorganic residue deriving from the combustion of rice husk, an agricultural by-product of rice refining. RHA has a high silica content [21]. The inert material produced using RHA has been named COSMOS-RICE (CR). Another fundamental difference between this work and the first one [18], devoted to stabilized MSWI fly ash based composites, is that soluble salts are not recovered, but they remain in the CR filler. As a consequence the final stabilized material is a mixture of several amorphous and crystalline phases (like calcium carbonate and sulphate) and soluble salts (mainly NaCl and KCl). Therefore, similarly to the previously reported paper [18], the aim of this work is on the assessment of the effects of CR on structure and properties of melt compounded PP based composites by means of extensive structural (X-ray diffraction, scanning electron microscopy), physical (mechanical testing) and thermal (thermo-gravimetric, calorimetric and dynamic-mechanical analyses) analyses. The difference between the two papers concerns the use of different stabilized compounds.
Additionally, in terms of comparison CaCO3 and COSMOS (from commercial colloidal silica) based PP composites, produced and analyzed under the same conditions, have also been considered.
The idea of the paper is to promote the use of stabilized FA as a filler for several applications. Indeed, despite the fact that the stabilization process results in a safe material for humans and the environment, the discharge of this product, that is currently the main management strategy of FA, even if stabilized, is not still sustainable. The possibility offered by COSMOS-RICE technology, i.e., a low cost treatment method, must be disseminated among incinerator operators.

2. Experimental Section

2.1. Materials

COSMOS-RICE (CR) samples were produced by mixing MSWI fly ash (65 wt%), FGD fly ash (20 wt%) and coal fly ash (15 wt%). Then RHA was added (8.66 wt% with respect to the global amount of fly ash) and a sufficient amount of milli-Q water was used to promote good mixing. The mixture was heated at 100 °C for 1 h. Then after the stabilization process, CR samples were kept for 1 month at room temperature.
An industrial grade calcium carbonate (CaCO3) Calcitec V40 (Mineraria Sacilese, Sacile, Italy), with a particle diameter distribution below 40 micron (99%) was used as a reference to produce polymer filler composites to be compared with CR based ones. The polymer chosen for this study was a standard injection molding grade polypropylene (PP) homopolymer (PPH 7062, Total Petrochemicals, Feluy, Belgium) with a melt flow index of 12 g/10 min.

2.2. Composites Preparation

A co-rotating twin screw extruder (Dr. Collin Gmbh., Ebersberg, Germany, Mod. ZK25) with a screw diameter of 25 mm and an L/D ratio of 27 was used for composites production. Polymer and filler were dried overnight at 90 °C in a circulating oven and then dry-blended in a turbo-mixer before melt compounding. Composite blends containing respectively 5, 15, and 30 wt% of CR were prepared without the use of any compatibilizer. During the process a temperature profile ranging from 130 °C (feeding zone) to 180 °C (die) was used, while two screw speed levels were adopted in order to assess screw speed effects on filler dispersion and consequent composite properties: 50 rpm (low) and 100 rpm (high).
Only the formulation containing CaCO3 30 wt% (100 rpm speed) filler was produced with the method described above as comparison with PP-CR 30 wt% (100 rpm) composite. For further comparison data regarding thermal and mechanical properties about PP-C composites are also reported [18].
The pellets obtained from melt compounding were then dried in a vented oven (90 °C, 4 h) and used to produce mechanical testing specimens according to UNI ISO 527 and UNI ISO 178 standards. A temperature profile ranging from 180–200 °C was used for the setup of the injection molding press (CanBio 55V, Negri Bossi, Italy), with a mold temperature of 20 °C and injection pressure of 30 bar (post pressure of 70 bar for 30 s).
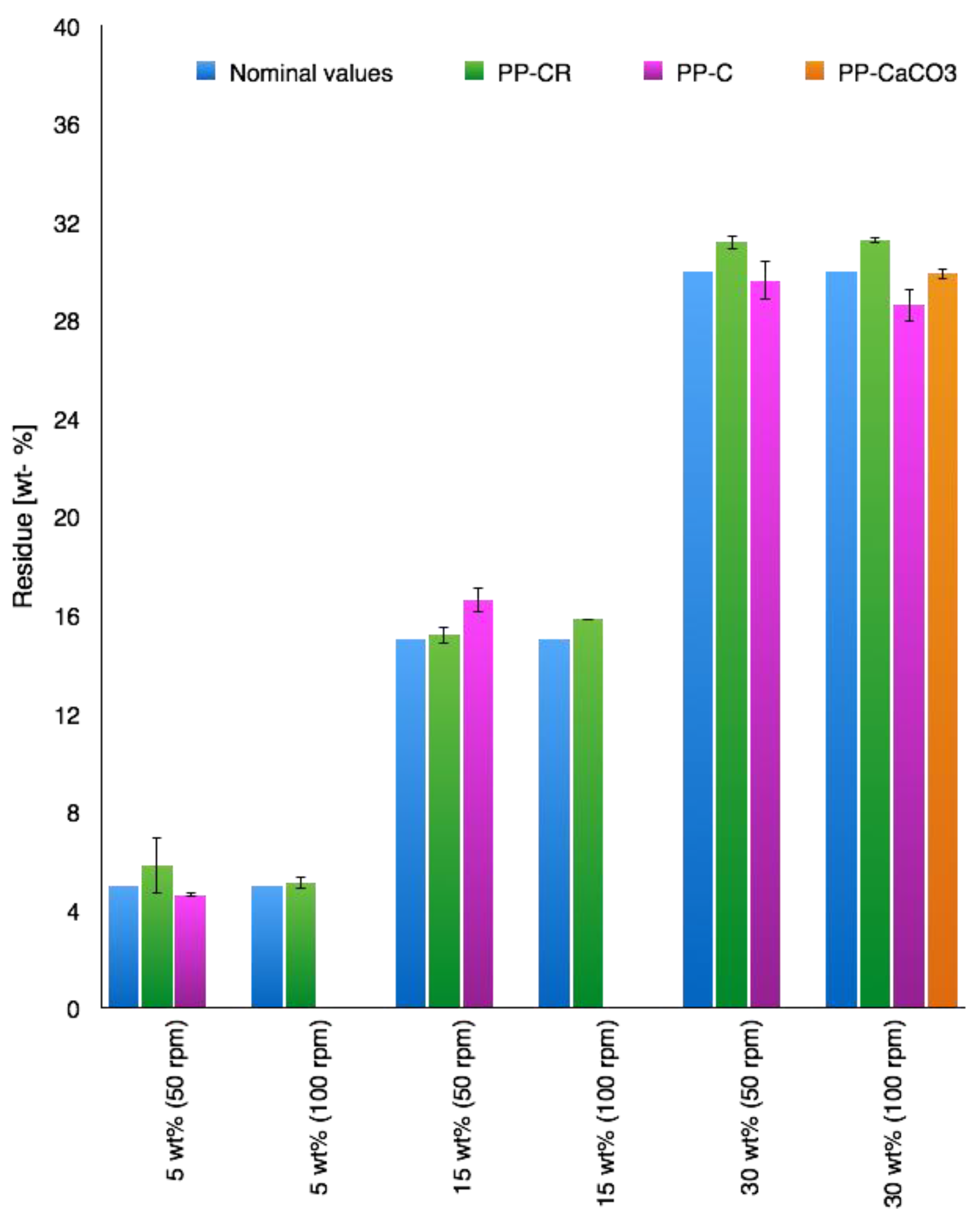
The real amount of filler in polymer/ash composites was evaluated by calcination at 800 °C in air using a thermal gravimetric analyzer (Q600, TA Instruments, New Castle, PA, USA). The experimental results are reported in Figure 1 and were calculated considering the total weight loss after the same thermal-oxidative treatment for composites and pristine components (17.1 wt% for CR, 32.5 wt% for CaCO3 and 100.0 wt% for PP).
Figure 1. Calculated residue for the composites obtained by varying filler and processing conditions, measured by thermogravimetric analysis (TGA) at 800 °C (air) and considering pristine component values evaluated at the same temperature. PP-CR, Polypropylene-COSMOS-RICE; PP-C, Polypropylene-COSMOS; PP-CaCO3, Polypropylene-calcite.
Figure 1. Calculated residue for the composites obtained by varying filler and processing conditions, measured by thermogravimetric analysis (TGA) at 800 °C (air) and considering pristine component values evaluated at the same temperature. PP-CR, Polypropylene-COSMOS-RICE; PP-C, Polypropylene-COSMOS; PP-CaCO3, Polypropylene-calcite.
Materials 07 05920 g001

2.3. Characterization

Structural and microstructural characterization was performed by D-MAX Rapid (RIGAKU, Tokyo, Japan) Diffractometer (Cu tube) equipped with an Image Plate detector that allowed the collection of 2D diffraction images. Measurements were made in reflection and transmission mode.
The particle size distribution of the COSMOS-RICE sample was evaluated using the laser diffraction and scattering method (HELOS, Sympatec, Clausthal-Zellerfeld, Germany).
Surface morphology was studied by a FEI Quanta 200 environmental scanning electron microscope (ESEM, FEI, Hillsboro, OR, USA) equipped with an analytical probe for energy dispersive X-ray spectroscopy. A voltage of 20 kV was used for the observation of sample cryofractured surfaces under low vacuum.
Tensile properties were measured with a Galdabini model SUN2500 (Galdabini, Cardano al Campo, Italy) universal machine imposing a uniaxial deformation speed of 1 mm·min−1 for the evaluation of elastic modulus and 50 mm·min−1 for yield stress and elongation at break, according to UNI ISO 527. Regarding flexural properties measurements, a crosshead speed of 2 mm·min−1 was used with a supports span of 64 mm according to UNI ISO 178. A minimum of five test specimens were tested for each sample after conditioning in air at 23 °C for at least 48 h after molding.
The filler content and thermal stability of the produced composites were measured using a thermo-gravimetric analyzer (TGA, TA Instruments model Q600, New Castle, PA, USA) and operating from ambient temperature to 900 °C at a heating rate of 20 e of 2−1 and an air flow rate of 70 cm3·min−1.
Dynamic mechanical analysis (DMA, TA Instruments model Q800, New Castle, PA, USA) measurements were carried out in order to analyze the deflection temperature under load (DTUL). Temperature ramp measurements were done in three-points bending geometry (span 15 mm) mode with a load of 3.23 N as calculated from ASTM D648 considering sample dimensions. A temperature ramp of 1 d in F−1 was used and the temperature value corresponding to a relative displacement of 0.121% was considered. The average value and standard deviation were calculated considering all the specimens tested for each sample.
Crystallization/melting properties were also investigated by means of standard differential scanning calorimeter (DSC, TA Instruments model Q200, New Castle, PA, USA). Specimens were cyclically heated and cooled from 0–220 °C, using ramps of 10 °C·min−1, under nitrogen atmosphere and using hermetic aluminum pans.

3. Results and Discussion

The real amount of filler in polymer/ash composites was evaluated by calcination at 800 °C in air using a thermal gravimetric analyzer, as described in the experimental section. The calculated residues for all samples considered in this work (obtained varying filler and processing conditions), are reported in Figure 1. It is evident that the obtained filler concentrations are in accord with those settled in the synthesis conditions. For COSMOS (C) filler, data were obtained from the previously published work [18].
As reported in the experimental section, the new filler considered in this work (CR) is different from the first considered in a recent work (C) [18] due to the use of rice husk ash as stabilizing agent, instead of colloidal silica. Moreover another important difference in respect to the first stabilized material is the presence of soluble salts in the CR filler. Indeed, in the present case, stabilized material was not washed to recover soluble salts, but verification of the possibility of its direct reuse was also considered.
CR particle size distribution is reported in Figure 2. This figure shows that CR powders are characterized by a bimodal distribution. A first population is constituted by the finest particles, with dimensions comparable to MSWI fly ash. The second one shows higher average size, in comparison to the corresponding results obtained on similar materials after soluble salts recovery [22]. This increase in the range of size dimensions of the stabilized sample may be due to crystalline salts, that recrystallize after chemical stabilization of heavy metals (the samples are dried at room temperature, as a consequence salts can slowly crystallize).
Figure 2. Particle size distribution for rice husk silica based (CR) sample determined by laser diffraction.
Figure 2. Particle size distribution for rice husk silica based (CR) sample determined by laser diffraction.
Materials 07 05920 g002
Figure 3. Diffraction patterns collected from polypropylene (PP), PP-CaCO3 and PP-CR composites.
Figure 3. Diffraction patterns collected from polypropylene (PP), PP-CaCO3 and PP-CR composites.
Materials 07 05920 g003
The 2D XRD transmission patterns of pure PP and polypropylene and PP-CR composites, obtained at 100 rpm extrusion speed, were collected and analyzed. The 2D XRD spectra of samples produced at 50 rpm extrusion speed are not reported and discussed because they are very similar to the ones of 100 rpm mixed samples. The 2D XRD analyses, that were performed upon unstressed samples, revealed no presence of preferred orientation effects. These 2D images were integrated to obtain conventional XRD patterns. Pure PP is characterized by four main peaks at about 14°, 17°, 18° and 22° (see Figure 3). PP-CaCO3 composites show the main peak of calcite at about 29.4°. In PP-CR composites spectra, the peak of calcite, which represents one of the main constituents of COSMOS-RICE, is still present and PP peaks intensity decreases along with the enhancement of filler content. As already reported [18] the absorption of X-ray radiation by inorganic filler particles cannot justify the strong decrease in the polymer peaks intensity, that can be also attributed to the reduced polymer crystallinity.
The investigation of mechanical properties was conducted to produce further factors in order to assess CR effect on the composite properties at macro scale. These experiments are reported in the following.
The 2D XRD patterns of the same samples were also collected in reflection mode (at incidence angle of 20 degrees) in correspondence to the fracture surface of broken test specimens obtained from tensile tests. These images are reported in Figure 4. The inhomogeneous intensity of Debye rings suggests the presence of the fibers preferred orientation phenomena due to the applied force, during the tensile test. This is particularly evident in the case of the pure PP pattern. Orientation effects in the polymer seem to be reduced by the presence of CR filler.
Figure 4. 2D diffraction images collected from PP and PP-CR composites (varying CR content).
Figure 4. 2D diffraction images collected from PP and PP-CR composites (varying CR content).
Materials 07 05920 g004
Table 1. Tensile and flexural modulus, maximum stress (flexural), crystallization temperature behavior, deflection temperature under load (DTUL), and temperatures corresponding to the 50% of weight loss, for rice husk silica based (CR), colloidal silica based (C) and CaCO3 based composites varying processing conditions (the values are normalized in respect to the pristine polypropylene (PP)). A minimum of 5 specimens have been tested for each sample evaluating the average value and the experimental standard deviation (st. dev.).
Table 1. Tensile and flexural modulus, maximum stress (flexural), crystallization temperature behavior, deflection temperature under load (DTUL), and temperatures corresponding to the 50% of weight loss, for rice husk silica based (CR), colloidal silica based (C) and CaCO3 based composites varying processing conditions (the values are normalized in respect to the pristine polypropylene (PP)). A minimum of 5 specimens have been tested for each sample evaluating the average value and the experimental standard deviation (st. dev.).
%Filler (n rpm)Tensile modulusFlexural modulus
PP-CRst. dev.PP-Cst. dev.PP-CaCO3st. dev.PP-CRst. dev.PP-Cst. dev.PP-CaCO3st. dev.
5 wt% (50 rpm)1.080.041.040.05--1.070.051.160.04--
5 wt% (100 rpm)1.170.03----1.080.04- --
15 wt% (50 rpm)1.270.031.410.09--1.360.061.290.08--
15 wt% (100 rpm)1.390.14----1.400.08- --
30 wt% (50 rpm)1.930.291.850.08--1.830.021.890.06--
30 wt% (100 rpm)2.000.161.950.052.020.151.840.012.070.011.930.08
%Filler (n rpm)Maximum stress flexuralCrystallization temperature
PP-CRst. dev.PP-Cst. dev.PP-CaCO3st. dev.PP-CRst. dev.PP-Cst. dev.PP-CaCO3st. dev.
5 wt% (50 rpm)1.020.011.060.04--1.040.011.000.02--
5 wt% (100 rpm)1.020.01----1.030.01----
15 wt% (50 rpm)1.110.011.080.01--1.050.001.010.02--
15 wt% (100 rpm)1.150.01----1.050.00----
30 wt% (50 rpm)1.170.011.110.01--1.090.011.060.02--
30 wt% (100 rpm)1.180.011.440.041.120.011.100.001.040.021.030.01
%Filler (n rpm)Deflection temperature (DTUL)Temperature @50% weight loss
PP-CRst. dev.PP-Cst. dev.PP-CaCO3st. dev.PP-CRst. dev.PP-Cst. dev.PP-CaCO3st. dev.
5 wt% (50 rpm)1.100.031.070.02--1.070.011.020.01--
5 wt% (100 rpm)1.150.03----1.090.02----
15 wt% (50 rpm)1.210.031.110.03--1.120.021.050.01--
15 wt% (100 rpm)1.190.03----1.120.01----
30 wt% (50 rpm)1.370.041.310.04--1.160.011.070.01--
30 wt% (100 rpm)1.360.041.360.041.250.011.160.011.080.011.130.01
The effectiveness of filler dispersion can be measured indirectly from mechanical properties evaluation.
Table 1 reports the values of normalized tensile elastic modulus varying CR content and melt compounding speed. In order to have a more direct comparison with pristine polymer properties, normalized values obtained by the ratios between composites and matrix ones are reported in the Table. As already specified the values regarding C based composites were recovered from a recent publication and used in terms of comparison [18]. It appears evident that tensile modulus increase can be observed as a function of CR content, up to a maximum value corresponding to about +100% for PP-CR 30 wt% composites (100 rpm) if compared with pristine PP. Moreover, regarding PP-CR composites, and considering experimental errors, screw speed variation seems to have negligible effects on stiffness, leading to only slightly higher values for the samples obtained at 100 rpm.
Moreover, from the comparison between rice husk silica based (CR) and colloidal silica based (C) stabilized fly ash fillers there are no remarkable differences that can be highlighted. Regarding the comparison with CaCO3 based formulation it can be observed that C and CR based composites (30 wt% filler content, 100 rpm) show comparable values in terms of stiffness increase with respect to pristine polymer performances.
A very similar trend can be observed for normalized flexural elastic modulus, as reported in Table 1 as a function of filler typology (C, CR, CaCO3), filler content (5, 15, 30 wt%) and compounding screw speed (50 or 100 rpm). If compared with tensile modulus values the maximum increases reached for the different samples are lower on average; only PP-C 30 wt% (100 rpm) composite shows a +100% increase with respect to pristine PP. Moreover, considering samples containing 30% of fillers, CR based composite shows a flexural modulus lower than C and CaCO3 based ones obtained under the same conditions.
Table 1 also reports the trends evaluated for maximum flexural stress (normalized) varying samples composition and processing conditions. Considering C and CR based samples, a clear increase of maximum flexural stress as a function of filler content can be evidenced, even if these values are well below those observed for elastic moduli. The most remarkable result concerns the PP-C 30 wt% (100 rpm) sample, that shows a maximum flexural stress about +20% higher than the corresponding ones measured for CR and CaCO3 based composites, obtained with the same formulation and using the same processing conditions. Moreover these results highlight the little or negligible influence of processing conditions on the macroscale mechanical behavior of the CR based composites.
Table 1 reports the results regarding the thermal properties, normalized melt crystallization temperature behavior, as a function of composition and processing parameters. The parameter was obtained by calculating the ratio between composite and matrix crystallization temperatures for each sample considered in this work. A proportional increase up to about +10% (corresponding to an increase of 18 °C if respect to pristine PP) can be observed proportionally with the increase of CR content, while for colloidal silica based materials (C) the increase appears to be much more contained. CaCO3 based polypropylene composite (30 wt% filler content, 100 rpm) shows the lowest increase in melt crystallization temperature if compared with the corresponding C and CR based composites. The increase of crystallization temperature can have remarkable effects on manufacturing costs regarding injection molding processes due to the possibility of reducing the cooling step and hence shortening production cycles.
Deflection temperature under load (DTUL) was measured by means of a dynamic mechanical analyzer and the results are reported in Table 1 (normalized values, composite to matrix ratio). A remarkable increase of DTUL can be observed for CR based composites, in particular at the highest filler contents (the increase corresponds to +35% if compared to pristine PP), with a shift from about 50 °C (PP) up to 68 °C (PP-CR 30 wt%). A similar trend is found for the composites obtained with standard colloidal silica stabilized fly ash (C), while for PP-CaCO3 30 wt% (100 rpm) composite the DTUL increases but with lower values (+25%).
The thermal stability of the composites was evaluated using thermal-gravimetric analysis and comparing the temperatures corresponding to the 50% of weight loss for the different samples. The trends obtained using different fillers, amounts and mixing speeds are reported in Table 1. Also for this thermal property a proportional increase, with respect to filler content, can be observed regarding CR based composites while, considering the experimental errors, processing conditions also do not influence thermal stability. The comparison within PP-CR and PP-CaCO3 samples (30 wt% filler = content) highlights the higher stabilizing effect of the former, while PP-C seems to show an intermediate behavior.
Figure 5 shows all the parameters reported in Table 1, for PP-CR composites. The values are normalized with respect to the pristine PP. This allows global visualization of the change in some mechanical and thermal properties of polypropylene composites, due to the addition of CR.
Figure 5. Parameters reported in Table 1 for PP-CR samples. The values are normalized with respect to the pristine PP.
Figure 5. Parameters reported in Table 1 for PP-CR samples. The values are normalized with respect to the pristine PP.
Materials 07 05920 g005
Figure 6. Scanning electron microscopy (SEM) analysis on cryofractured samples surfaces obtained with different fillers (30 wt% amount, 100 rpm).
Figure 6. Scanning electron microscopy (SEM) analysis on cryofractured samples surfaces obtained with different fillers (30 wt% amount, 100 rpm).
Materials 07 05920 g006
Filler particles dispersion and distribution within the polymer matrix were assessed by electron microscopy (SEM) observing the fractured surfaces of injection molded bars. In Figure 6 SEM images of PP-CR 30 wt%, PP-C 30 wt% and PP-CaCO3 30 wt% based composites obtained at 100 rpm are reported. From a qualitative observation and comparing the different pictures obtained at the same magnifications, a remarkable difference can be observed between stabilized fly ash based composites on the one side, and CaCO3 based composite on the other. For the former a non-homogeneous dispersion of well distributed particles with different dimensions, characterized by large agglomerates reaching up to 200 µm in diameter, can be observed. On the other hand, regarding CaCO3, an homogeneous distribution is associated with a better dispersion, with maximum diameters well below 50 µm. This enables the conclusion that for the new fillers (C and CR) particle agglomeration occurs. Despite the fact that mechanical and thermal properties of PP-C and PP-CR composites are very good, the filler agglomeration should be avoided. This may contribute to increase the performances of MSWI FA based composites additionally.

4. Conclusions

Recently a new FA stabilization technology, based on the use of rice husk, obtained from burning rice husk, has been developed. This new process is sustainable because it is based on the use of all waste materials. In this paper the effects of COSMOS-RICE filler on the structure and properties of melt compounded polypropylene based composites were assessed by means of extensive structural and thermal analyses. In terms of comparison, CaCO3 and a standard COSMOS grade, obtained from commercial colloidal silica, were used to formulate PP composites that were produced and analyzed under the same conditions.
Regarding mechanical properties of the new PP-CR composites, the comparison with CaCO3 based formulation (30 wt% filler content, 100 rpm) shows comparable values in terms of tensile and flexural stiffness that were increased with respect to pristine polymer performances. Little or negligible influence of processing conditions on the macroscale mechanical behavior was observed from the results of tensile and flexural analyses.
XRD structural characterization shows the influence of filler on the polymer’s crystallinity, further assessed by means of thermal analyses. An increase of crystallization temperature was observed for PP-CR based composites, with a possibly positive and remarkable effect on manufacturing costs regarding injection molding processes, due to the possibility of reducing the cooling step and hence shortening production cycles. Heat deflection temperature results were positively influenced by CR content while the comparison between CR and CaCO3 based materials (30 wt% filler content) in terms of thermal stability highlights the higher stabilizing effect of the new filler.
In summary it is possible to conclude that the new proposed filler, made from recycled FA, with the application of a new low cost technology, can be used in PP composites production, instead of calcite, resulting in not only similar mechanical and structural performances, but also great environmental benefits.

Acknowledgments

This study was supported by LIFE+, the financial instrument of the European Community to support environmental projects (LIFE+ 2011 project ENV/IT/000256). The authors are grateful to Directorate-General Environment, European Commission for inclusion of COSMOS-RICE project in Science for Environment Policy, information service (see http://ec.europa.eu/environment/integration/research/newsalert/pdf/383na2_en.pdf).

Author Contributions

Michele Modesti and Stefano Besco conceived and designed the mechanical experiments; Alberto Bosio prepared the samples; Alessandra Lorenzetti and Stefano Besco realized the mechanical experiments; Renato Bonora made the morphological analysis; Mariangela Brisotto and Laura E. Depero realized the XRD analysis; Elza Bontempi analysed the data and wrote the paper.

Conflicts of Interest

The authors declare no conflict of interest.

References

  1. Chaowasakoo, T.; Sombatsompop, N. Mechanical and morphological properties of fly ash/epoxy composites using conventional thermal and microwave curing methods. Compos. Sci. Technol. 2007, 67, 2282–2291. [Google Scholar] [CrossRef]
  2. Srivastava, V.K.; Shembekar, P.S. Tensile and fracture properties of epoxy resin filled with flyash particles. J. Mater. Sci. 1990, 25, 3513–3516. [Google Scholar] [CrossRef]
  3. Singla, M.; Chawla, V. Mechanical properties of epoxy resin–fly ash composite. J. Miner. Mater. Charact. Eng. 2010, 3, 199–210. [Google Scholar]
  4. Ramakrishna, H.V.; Rai, S.K. A Study on the mechanical and water absorption properties of granite powder/epoxy toughened with PMMA and fly ash/epoxy toughened with PMMA composites. J. Reinf. Plast. Compos. 2005, 24, 1809–1816. [Google Scholar] [CrossRef]
  5. Ramakrishna, H.V.; Padma Priya, S.; Rai, S.K. Effect of fly ash content on impact, compression, and water absorption properties of epoxy toughened with epoxy phenol cashew nut shell liquid-fly ash composites. J. Reinf. Plast. Compos. 2006, 25, 455–462. [Google Scholar] [CrossRef]
  6. Usta, N. Investigation of fire behavior of rigid polyurethane foams containing fly ash and intumescent flame retardant by using a cone calorimeter. J. Appl. Polym. Sci. 2012, 124, 3372–3382. [Google Scholar] [CrossRef]
  7. Tarakcza, A.R. The effects of intumescent flame retardant including ammonium polyphosphate/pentaerythritol and fly ash fillers on the physicomechanical properties of rigid polyurethane foams. J. Appl. Polym. Sci. 2011, 120, 2095–2102. [Google Scholar] [CrossRef]
  8. Hagan, J.T.; Vipulanandan, C. Filling of Polyurethane with Fly Ash. Available online: http://cigmat.cive.uh.edu/sites/cigmat/files/files/conference/poster/2007/john.pdf (accessed on 9 June 2014).
  9. Supri, H. Morphological properties of fly ash filled recycled Poly (vinil chloride)/Acrylonitrile Butadiene rubber blends. J. Technol. Process 2006, 5, 58–63. [Google Scholar]
  10. Soyama, M.; Inoue, K.; Iji, M. Flame retardancy of polycarbonate enhanced by adding fly ash. Polym. Adv. Technol. 2007, 18, 386–391. [Google Scholar] [CrossRef]
  11. Rahail Parvaiz, M.; Mohanty, S.; Nayak, S.K.; Mahanwar, P.A. Polyetheretherketone (PEEK) composites reinforced with fly ash and mica. J. Miner. Mater. Charact. Eng. 2010, 9, 25–41. [Google Scholar]
  12. Li, Y.; White, D.J.; Lee Peyton, R. Composite material from fly ash and post-consumer PET. Resour. Conserv. Recycl. 1998, 24, 87–93. [Google Scholar] [CrossRef]
  13. Menon, A.R.R.; Sonia, T.A.; Sudha, J.D. Studies on fly-ash-filled natural rubber modified with cardanol derivatives: Processability, mechanical properties, fracture morphology, and thermal decomposition characteristics. J. Appl. Polym. Sci. 2006, 102, 4801–4808. [Google Scholar] [CrossRef]
  14. Sreekanth, M.S.; Bambole, V.A.; Mhaske, S.T.; Mahanwar, P.A. Effect of particle size and concentration of fly ash on properties of polyester thermoplastic elastomer composites. J. Miner. Mater. Charact. Eng. 2009, 8, 237–248. [Google Scholar]
  15. Zacco, A.; Borgese, L.; Gianoncelli, A.; Struis, R.P.W.J.; Depero, L.E.; Bontempi, E. Review of fly ash inertisation treatments and recycling. Environ. Chem. Lett. 2014, 12, 153–175. [Google Scholar] [CrossRef]
  16. Ahmad, I.; Mahanwar, P.A. Mechanical properties of fly ash filled high density polyethylene. J. Miner. Mater. Charact. Eng. 2010, 9, 183–198. [Google Scholar]
  17. Baglari, S.; Kole, M.; Dey, T.K. Effective thermal conductivity and coefficient of linear thermal expansion of high-density polyethylene–fly ash composites. Indian J. Phys. 2011, 85, 559–573. [Google Scholar] [CrossRef]
  18. Besco, S.; Brisotto, M.; Gianoncelli, A.; Depero, L.E.; Bontempi, E.; Lorenzetti, A.; Modesti, M. Processing and properties of polypropylene-based composites containing inertized fly ash from municipal solid waste incineration. J. Appl. Polym. Sci. 2013, 130, 4157–4164. [Google Scholar]
  19. Bontempi, E.; Zacco, A.; Borgese, L.; Gianoncelli, A.; Ardesi, R.; Depero, L.E. A new method for municipal solid waste incinerator (MSWI) fly ash inertization, based on colloidal silica. J. Environ. Monit. 2010, 12, 2093–2099. [Google Scholar] [CrossRef] [PubMed]
  20. Zacco, A.; Gianoncelli, A.; Ardesi, R.; Sacrato, S.; Guerini, L.; Bontempi, E.; Tomasoni, G.; Alberti, M.; Depero, L.E. Use of colloidal silica to obtain a new inert from municipal solid waste incinerator (MSWI) fly ash: First results about reuse. Clean Technol. Environ. Policy 2012, 14, 291–297. [Google Scholar] [CrossRef]
  21. Bosio, A.; Rodella, N.; Gianoncelli, A.; Zacco, A.; Borgese, L.; Depero, L.E.; Bingham, P.A.; Bontempi, E. A new method to inertize incinerator toxic fly ash with silica from rice husk ash. Environ. Chem. Lett. 2013, 11, 329–333. [Google Scholar] [CrossRef]
  22. Bosio, A.; Zacco, A.; Borgese, L.; Rodella, N.; Colombi, P.; Benassi, L.; Depero, L.E.; Bontempi, E. A sustainable technology for Pb and Zn stabilization based on the use of only waste materials: A green chemistry approach to avoid chemicals and promote CO2 sequestration. Chem. Eng. J. 2014, 253, 377–384. [Google Scholar] [CrossRef]

Share and Cite

MDPI and ACS Style

Besco, S.; Bosio, A.; Brisotto, M.; Depero, L.E.; Lorenzetti, A.; Bontempi, E.; Bonora, R.; Modesti, M. Structural and Mechanical Characterization of Sustainable Composites Based on Recycled and Stabilized Fly Ash. Materials 2014, 7, 5920-5933. https://doi.org/10.3390/ma7085920

AMA Style

Besco S, Bosio A, Brisotto M, Depero LE, Lorenzetti A, Bontempi E, Bonora R, Modesti M. Structural and Mechanical Characterization of Sustainable Composites Based on Recycled and Stabilized Fly Ash. Materials. 2014; 7(8):5920-5933. https://doi.org/10.3390/ma7085920

Chicago/Turabian Style

Besco, Stefano, Alberto Bosio, Mariangela Brisotto, Laura E. Depero, Alessandra Lorenzetti, Elza Bontempi, Renato Bonora, and Michele Modesti. 2014. "Structural and Mechanical Characterization of Sustainable Composites Based on Recycled and Stabilized Fly Ash" Materials 7, no. 8: 5920-5933. https://doi.org/10.3390/ma7085920

APA Style

Besco, S., Bosio, A., Brisotto, M., Depero, L. E., Lorenzetti, A., Bontempi, E., Bonora, R., & Modesti, M. (2014). Structural and Mechanical Characterization of Sustainable Composites Based on Recycled and Stabilized Fly Ash. Materials, 7(8), 5920-5933. https://doi.org/10.3390/ma7085920

Article Metrics

Back to TopTop